Mathematical Modelling of Viscoelastic Media Without Bulk Relaxation via Fractional Calculus Approach
Abstract
1. Introduction
2. Models of Viscoelasticity Involving Fractional-Order Operators with Time-Dependent Poisson’s Ratio
2.1. Preliminary Remarks
2.2. Modelling of the Shear Operator Using the Fractional Derivative Kelvin–Voigt Model
2.3. Modelling the Shear Operator Using the Fractional Derivative Maxwell Model
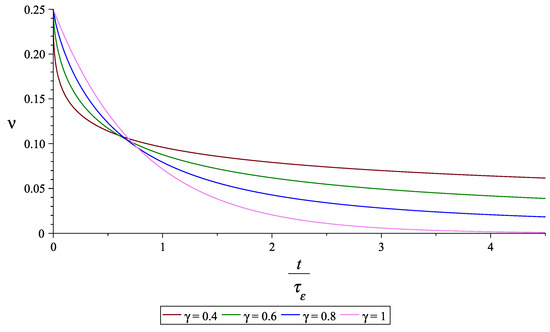
2.4. Scott-Blair Model for Shear Relaxation
2.5. Modelling the Shear Operator via the Fractional Derivative Standard Linear Solid Model
2.6. Modelling the Relaxation of the First Lamé Parameter via the Fractional Derivative Standard Linear Solid Model
2.7. Modelling the P-Wave Modulus via Fractional Derivative Standard Linear Solid Model
3. Analysis of the Fractional Derivative Models of Viscoelasticity Involving Time-Dependent Poisson’s Ratio and Without Volume Relaxation
- Models describing the behaviour of ’traditional’ viscoelastic isotropic materials, i.e., materials with positive magnitudes of Poisson’s ratio within the thermodynamically admissible range —models No. 3, 4, 7, 8, 11, 12, 16;
- Models describing the behaviour of isotropic viscoelastic materials with negative Poisson’s ratios within the thermodynamically admissible range —models No. 5, 6, 9, 10, 14;
- Physically meaningless models, i.e., models with Poisson’s ratios lying outside of the thermodynamically admissible domain either from the left with —models 1 and 2, or from the right with —models 13 and 15.
4. Conclusions
Author Contributions
Funding
Data Availability Statement
Acknowledgments
Conflicts of Interest
References
- Rabotnov, Y.N. Creep Problems in Structural Members; North-Holland: Amsterdam, The Netherlands, 1969. [Google Scholar]
- Rabotnov, Y.A. Elements of Hereditary Solid Mechanics; Nauka: Moscow, Russia, 1980. [Google Scholar]
- Christensen, R.M. Theory of Viscoelasticity. An Introduction; Academic Press: New York, NY, USA; London, UK, 1971. [Google Scholar]
- Bland, D.R. The Theory of Linear Viscoelasticity; Pergamon Press: New York, NY, USA, 1960. [Google Scholar]
- Tschoegl, N.W. The Phenomenological Theory of Linear Viscoelastic Behavior; Springer: Berlin/Heidelberg, Germany, 1989. [Google Scholar]
- Samko, S.G.; Kilbas, A.A.; Marichev, O.I. Fractional Integrals and Derivatives and Some of Their Applications; Nauka i Tekhnika: Minsk, Belarus, 1987; Gordon and Breach Science Publishers: London, UK, 1993. [Google Scholar]
- Podlubny, I. Fractional Differential Equations. An Introduction to Fractional Derivatives, Fractional Differential Equations, to Methods of Their Solution and Some of Their Applications; Academic Press: London, UK, 1999. [Google Scholar]
- Diethelm, K. The Analysis of Fractional Differential Equations. An Application-Oriented Exposition Using Differential Operators of Caputo Type; Springer: Berlin/Heidelberg, Germany, 2004. [Google Scholar]
- Kilbas, A.; Srivastava, H.M.; Trujillo, J.J. Theory and Applications of Fractional Differential Equations; Elsevier: Amsterdam, The Netherlands, 2006. [Google Scholar]
- Mainardi, F. Fractional Calculus and Waves in Linear Viscoelasticity; Imperial College Press: London, UK, 2010. [Google Scholar]
- Ortigueira, M.D. Fractional Calculus for Scientists and Engineers; Springer: Berlin/Heidelberg, Germany, 2011. [Google Scholar]
- Rossikhin, Y.A.; Shitikova, M.V. Application of fractional calculus for dynamic problems of solid mechanics: Novel trends and recent results. Appl. Mech. Rev. 2010, 63, 010801. [Google Scholar] [CrossRef]
- Rossikhin, Y.A.; Shitikova, M.V. Fractional calculus in structural mechanics. In Handbook of Fractional Calculus with Applications, Vol. 7, Applications in Engineering, Life and Social Sciences, Part A; Baleanu, D., Lopes, A.M., Eds.; De Gruyter: Berlin, Germany; Boston, MA, USA, 2019; pp. 159–192. [Google Scholar]
- Li, G. Dynamical behaviors of Timoshenko beam with fractional derivative constitutive relation. Int. J. Nonlinear Sci. Num. Simul. 2002, 3, 67–73. [Google Scholar] [CrossRef]
- Li, M. Fractional Vibrations with Applications to Euler-Bernoulli Beams; CRC Press: Boca Raton, FL, USA, 2023. [Google Scholar]
- Lewandowski, R.; Litewka, P.; Łasecka-Plura, M.; Pawlak, Z.M. Dynamics of structures, frames, and plates with viscoelastic dampers or layers: A literature review. Buildings 2023, 13, 2223. [Google Scholar] [CrossRef]
- Rossikhin, Y.A.; Shitikova, M.V. Applications of fractional calculus to dynamic problems of linear and nonlinear hereditary mechanics of solids. Appl. Mech. Rev. 1997, 50, 15–67. [Google Scholar] [CrossRef]
- Rossikhin, Y.A.; Shitikova, M.V. Fractional calculus models in dynamic problems of viscoelasticity. In Handbook of Fractional Calculus with Applications, Vol. 7, Applications in Engineering, Life and Social Sciences, Part A; Baleanu, D., Lopes, A.M., Eds.; De Gruyter: Berlin, Germany; Boston, MA, USA, 2019; pp. 139–158. [Google Scholar]
- Shitikova, M.V.; Krusser, A.I. Models of viscoelastic materials: A review on historical development and formulation. Adv. Struct. Mater. 2022, 175, 285–326. [Google Scholar]
- Atanacković, T.M.; Pilipović, S.; Stanković, B.; Zorica, D. Fractional Calculus with Applications in Mechanics: Wave Propagation, Impact and Variational Principles; Wiley: London, UK, 2014. [Google Scholar]
- Schiessel, H.; Metzler, R.; Blumen, A.; Nonnenmacher, T.F. Generalized viscoelastic models: Their fractional equations with solutions. J. Phys. A Math Gen. 1995, 28, 6567–6584. [Google Scholar] [CrossRef]
- Shitikova, M.V. Fractional operator viscoelastic models in dynamic problems of mechanics of solids: A review. Mech. Solids 2022, 57, 1–33. [Google Scholar] [CrossRef]
- Rossikhin, Y.A.; Shitikova, M.V.; Estrada, M.M.G. Modeling of the impact response of a beam in a viscoelastic medium. Appl. Math. Sci. 2016, 10, 2471–2481. [Google Scholar] [CrossRef]
- Rossikhin, Y.A.; Shitikova, M.V.; Trung, P.T. Application of the fractional derivative Kelvin-Voigt model for the analysis of impact response of a Kirchhoff-Love plate. WSEAS Trans. Math. 2016, 15, 498–501. [Google Scholar]
- Spanos, P.D.; Malara, G. Nonlinear random vibrations of beams with fractional derivative elements. J. Eng. Mech. 2014, 140, 04014069. [Google Scholar] [CrossRef]
- Hilton, H.H. The elusive and fickle viscoelastic Poisson’s ratio and its relation to the elastic-viscoelastic correspondence principle. J. Mech. Mater. Struct. 2009, 4, 1341–1364. [Google Scholar] [CrossRef]
- Hilton, H.H. Implications and constraints of time-independent Poisson ratios in linear isotropic and anisotropic viscoelasticity. J. Elasticity 2001, 63, 221–251. [Google Scholar] [CrossRef]
- Hilton, H.H. Clarifications of certain ambiguities and failings of Poisson’s ratios in linear viscoelasticity. J. Elasticity 2011, 104, 303–318. [Google Scholar] [CrossRef]
- Tschoegl, N.W.; Knauss, W.G.; Emri, I. Poisson’s ratio in linear viscoelasticity—A critical review. Mech. Time-Depend. Mater. 2002, 6, 3–51. [Google Scholar] [CrossRef]
- Mainardi, F.; Spada, G. Creep, relaxation and viscosity properties for basic fractional models in rheology. Eur. Phys. J. Spec. Top. 2011, 193, 133–160. [Google Scholar] [CrossRef]
- Bhullar, S.K. Three decades of auxetic polymers: A review. E-Polymers 2015, 15, 205–215. [Google Scholar] [CrossRef]
- Carneiro, V.H.; Meireles, J.; Puga, H. Auxetic materials—A review. Mater. Sci. 2013, 31, 561–571. [Google Scholar] [CrossRef]
- Gorodtsov, V.A.; Lisovenko, D.S. Auxetics among materials with cubic anisotropy. Mech. Solids 2020, 55, 461–474. [Google Scholar] [CrossRef]
- Lim, T.-C. Auxetic Materials and Structures; Springer: Singapore, 2015. [Google Scholar]
- Seyedkazemi, M.; Wenqi, H.; Jing, G.; Ahmadi, P.; Khajehdezfuly, A. Auxetic structures with viscoelastic behavior: A review of mechanisms, simulation, and future perspectives. Structures 2024, 70, 107610. [Google Scholar] [CrossRef]
- Rossikhin, Y.A.; Shitikova, M.V. Two approaches for studying the impact response of viscoelastic engineering systems: An overview. Comput. Math. Appl. 2013, 66, 755–773. [Google Scholar] [CrossRef]
- Shitikova, M.V. Impact response of a viscoelastic plate made of a material with negative Poisson’s ratio. Mech. Adv. Mater. Struct. 2023, 30, 982–994. [Google Scholar] [CrossRef]
- Teimouri, H.; Faal, R.T.; Milani, A.S. Impact response of fractionally damped rectangular plates made of viscoelastic composite materials. Appl. Math. Model. 2025, 137, 115678. [Google Scholar] [CrossRef]
- Love, A.E.H. A Treatise on the Mathematical Theory of Elasticity; Cambridge University Press: Cambridge, UK, 1892. [Google Scholar]
- Landau, L.D.; Lifshits, E.M. Mechanics of Continua: Hydrodynamics and Theory of Elasticity; OGIZ: Moscow-Leningrad, Russia, 1944. (In Russian) [Google Scholar]
- Rossikhin, Y.A.; Shitikova, M.V.; Krusser, A.I. To the question on the correctness of fractional derivative models in dynamic problems of viscoelastic bodies. Mech. Res. Commun. 2016, 77, 44–49. [Google Scholar] [CrossRef]
- Rossikhin, Y.A.; Shitikova, M.V. The fractional derivative Kelvin-Voigt model of viscoelasticity with and without volumetric relaxation. J. Phys. Conf. Ser. 2018, 991, 012069. [Google Scholar] [CrossRef]
- Modestov, K.A.; Shitikova, M.V. Harmonic wave propagation in viscoelastic media modelled via fractional derivative models. Izv. Saratov Univ. Math. Mech. Inform. 2025, 25, 1–18. [Google Scholar]
- Rossikhin, Y.A.; Shitikova, M.V. Features of fractional operators involving fractional derivatives and their applications to the problems of mechanics of solids. In Fractional Calculus: History, Theory and Applications; Daou, R., Xavier, M., Eds.; Nova Science Publishers: New York, NY, USA, 2015; pp. 165–226. [Google Scholar]
- Zhu, Z.Y.; Li, G.G.; Cheng, C.J. Quasi-static and dynamical analysis for viscoelastic Timoshenko beam with fractional derivative constitutive relation. Appl. Math. Mech. 2002, 23, 1–12. [Google Scholar]
- Makris, N. Three-dimensional constitutive viscoelastic laws with fractional order time derivatives. J. Rheol. 1997, 41, 1007–1020. [Google Scholar] [CrossRef]
- Levin, V.; Sevostianov, I. Micromechanical modeling of the effective viscoelastic properties of inhomogeneous materials using fractional-exponential operators. Int. J. Fract. 2005, 134, L37–L44. [Google Scholar] [CrossRef]
- Ji, S.; Sun, S.; Wang, Q.; Marcotte, D. Lamé parameters of common rocks in the Earth’s crust and upper mantle. J. Geophys. Res. 2010, 115, B06314. [Google Scholar] [CrossRef]
- Lechleiter, A.; Schlasche, J.W. Identifying Lamé parameters from time-dependent elastic wave measurements. Inverse Probl. Sci. Eng. 2017, 25, 2–26. [Google Scholar] [CrossRef]
- Holm, S. Waves with Power-Law Attenuation; Springer: Cham, Switzerland, 2019. [Google Scholar]
- Rao, S.S. Vibration of Continuous Systems; Wiley: New York, NY, USA, 2007. [Google Scholar]
- Meshkov, S.I. Description of internal friction in the memory theory of elasticity using kernels with a weak singularity. J. Appl. Mech. Tech. Phys. 1967, 8, 100–102. [Google Scholar] [CrossRef]








| Material Constants | Young’s Modulus E | 1st Lamé’s Parameter | Shear Modulus | Poisson’s Ratio | P-Wave Modulus M |
|---|---|---|---|---|---|
| - | |||||
| - | |||||
| - | |||||
| - | |||||
| - |
| Type of the Model Involving Fractional Derivatives | ||
|---|---|---|
| A. Modelling the Young’s operator | ||
| (1) Scott-Blair model | ||
| (2) Kelvin–Voigt model | ||
| (3) Maxwell model | ||
| (4) Standard linear solid model | ||
| B. Modelling the shear operator (second Lamé parameter) | ||
| (5) Scott-Blair model | ||
| (6) Kelvin–Voigt model | ||
| (7) Maxwell model | ||
| (8) Standard linear solid model | ||
| Type of the Model Involving Fractional Derivatives | ||
|---|---|---|
| C. Modelling of the first Lamé parameter | ||
| (9) Scott-Blair model | ||
| 0 | ||
| (10) Kelvin–Voigt model | ||
| (11) Maxwell model | ||
| 0 | ||
| (12) Standard linear solid model | ||
| D. Modelling the P-wave modulus operator | ||
| (13) Scott-Blair model | ||
| 1 | ||
| (14) Kelvin–Voigt model | ||
| (15) Maxwell model | ||
| 1 | ||
| (16) Standard linear solid model | ||
Disclaimer/Publisher’s Note: The statements, opinions and data contained in all publications are solely those of the individual author(s) and contributor(s) and not of MDPI and/or the editor(s). MDPI and/or the editor(s) disclaim responsibility for any injury to people or property resulting from any ideas, methods, instructions or products referred to in the content. |
© 2025 by the authors. Licensee MDPI, Basel, Switzerland. This article is an open access article distributed under the terms and conditions of the Creative Commons Attribution (CC BY) license (https://creativecommons.org/licenses/by/4.0/).
Share and Cite
Shitikova, M.V.; Modestov, K.A. Mathematical Modelling of Viscoelastic Media Without Bulk Relaxation via Fractional Calculus Approach. Mathematics 2025, 13, 350. https://doi.org/10.3390/math13030350
Shitikova MV, Modestov KA. Mathematical Modelling of Viscoelastic Media Without Bulk Relaxation via Fractional Calculus Approach. Mathematics. 2025; 13(3):350. https://doi.org/10.3390/math13030350
Chicago/Turabian StyleShitikova, Marina V., and Konstantin A. Modestov. 2025. "Mathematical Modelling of Viscoelastic Media Without Bulk Relaxation via Fractional Calculus Approach" Mathematics 13, no. 3: 350. https://doi.org/10.3390/math13030350
APA StyleShitikova, M. V., & Modestov, K. A. (2025). Mathematical Modelling of Viscoelastic Media Without Bulk Relaxation via Fractional Calculus Approach. Mathematics, 13(3), 350. https://doi.org/10.3390/math13030350

