Coupled Dynamical Systems for Solving Linear Inverse Problems
Abstract
1. Introduction
2. Proposed Systems
2.1. Linear Coupled Dynamical System
- If the discriminant is positive, the eigenvalues will be real, distinct, and negative, and the system will show monotonic convergence.
- If the discriminant is zero, the eigenvalues will coincide at the same real negative value, and the system will show non-oscillatory convergence.
- If the discriminant is negative, the eigenvalues will form a complex conjugate pair with negative real parts, and the system will show oscillatory but asymptotically stable dynamics.
2.2. Nonlinear Coupled Dynamical Systems
3. Numerical Experiments
3.1. Discrete Systems
- (1)
- Linear Discrete System.
- (2)
- EM-Type Nonlinear Discrete System.
- (3)
- MA-Type Nonlinear Discrete System.
3.2. Experimental Setup
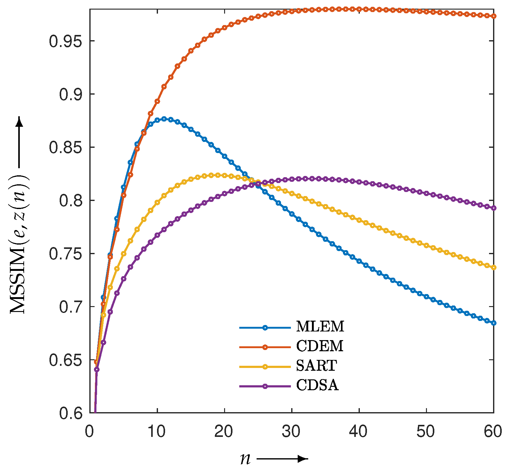
3.3. Experimental Results
4. Discussion
5. Conclusions
Author Contributions
Funding
Institutional Review Board Statement
Informed Consent Statement
Data Availability Statement
Conflicts of Interest
References
- Tarantola, A. Inverse Problem Theory and Methods for Model Parameter Estimation; Society for Industrial and Applied Mathematics: Philadelphia, PA, USA, 2005. [Google Scholar]
- Hansen, P.C. Discrete Inverse Problems: Insight and Algorithms; Society for Industrial and Applied Mathematics: Philadelphia, PA, USA, 2010. [Google Scholar]
- Bertero, M.; Boccacci, P. Introduction to Inverse Problems in Imaging; Institute of Physics Publishing: Bristol, UK, 1998. [Google Scholar]
- Engl, H.W.; Hanke, M.; Neubauer, A. Regularization of Inverse Problems; Springer Science & Business Media: Berlin/Heidelberg, Germany, 1996; Volume 375. [Google Scholar]
- Aster, R.C.; Borchers, B.; Thurber, C.H. Parameter Estimation and Inverse Problems, 2nd ed.; Elsevier: Amsterdam, The Netherlands, 2013. [Google Scholar]
- Hansen, P.C. Rank-Deficient and Discrete Ill-Posed Problems: Numerical Aspects of Linear Inversion; Society for Industrial and Applied Mathematics: Philadelphia, PA, USA, 1998. [Google Scholar]
- Vogel, C.R. Computational Methods for Inverse Problems; Society for Industrial and Applied Mathematics: Philadelphia, PA, USA, 2002. [Google Scholar]
- Kaipio, J.; Somersalo, E. Statistical and Computational Inverse Problems; Springer: New York, NY, USA, 2005. [Google Scholar]
- Haber, E.; Ruthotto, L. Stable architectures for deep neural networks. Inverse Probl. 2017, 34, 014004. [Google Scholar] [CrossRef]
- Scherzer, O.; Grasmair, M.; Grossauer, H.; Haltmeier, M.; Lenzen, F. Variational Methods in Imaging; Springer: New York, NY, USA, 2009. [Google Scholar]
- Chen, R.T.Q.; Rubanova, Y.; Bettencourt, J.; Duvenaud, D.K. Neural Ordinary Differential Equations. In Proceedings of the Advances in Neural Information Processing Systems, Montréal, QC, Canada, 3–8 December 2018; Bengio, S., Wallach, H., Larochelle, H., Grauman, K., Cesa-Bianchi, N., Garnett, R., Eds.; Curran Associates, Inc.: Red Hook, NY, USA, 2018; Volume 31, pp. 6571–6583. [Google Scholar]
- Raissi, M.; Perdikaris, P.; Karniadakis, G.E. Physics-informed neural networks: A deep learning framework for solving forward and inverse problems involving nonlinear partial differential equations. J. Comput. Phys. 2019, 378, 686–707. [Google Scholar] [CrossRef]
- Simon, D. Optimal State Estimation: Kalman, H Infinity, and Nonlinear Approaches; John Wiley & Sons: Hoboken, NJ, USA, 2006. [Google Scholar]
- Dempster, A.P.; Laird, N.M.; Rubin, D.B. Maximum likelihood from incomplete data via the EM algorithm. J. R. Stat. Soc. Ser. B (Methodol.) 1977, 39, 1–22. [Google Scholar] [CrossRef]
- Shepp, L.A.; Vardi, Y. Maximum likelihood reconstruction for emission tomography. IEEE Trans. Med. Imaging 1982, 1, 113–122. [Google Scholar] [CrossRef] [PubMed]
- Byrne, C. Iterative optimization in inverse problems. Inverse Probl. 1993, 9, 597. [Google Scholar]
- Vishampayan, S.; Stamos, J.; Mayans, R.; Koral, K.; Clinthorne, N.; Rogers, W.L. Maximum likelihood image reconstruction for SPECT. J. Nuc. Med. (Abs. Book) 1985, 26, 20. [Google Scholar]
- Lyapunov, A.M. Stability of Motion; Academic Press: New York, NY, USA, 1966. [Google Scholar]
- Tateishi, K.; Yamaguchi, Y.; Abou Al-Ola, O.M.; Yoshinaga, T. Continuous Analog of Accelerated OS-EM Algorithm for Computed Tomography. Math. Probl. Eng. 2017, 2017, 1564123. [Google Scholar] [CrossRef]
- Gordon, R.; Bender, R.; Herman, G.T. Algebraic reconstruction techniques (ART) for three-dimensional electron microscopy and X-ray photography. J. Theor. Biol. 1970, 29, 471–481. [Google Scholar] [CrossRef] [PubMed]
- Badea, C.; Gordon, R. Experiments with the nonlinear and chaotic behaviour of the multiplicative algebraic reconstruction technique (MART) algorithm for computed tomography. Phys. Med. Biol. 2004, 49, 1455–1474. [Google Scholar] [CrossRef] [PubMed]
- Wang, Z.; Bovik, A.C.; Sheikh, H.R.; Simoncelli, E.P. Image quality assessment: From error visibility to structural similarity. IEEE Trans. Image Process. 2004, 13, 600–612. [Google Scholar] [CrossRef] [PubMed]









| Abbreviation | Description |
|---|---|
| SART | Simultaneous Algebraic Reconstruction Technique |
| MLEM | Maximum Likelihood Expectation–Maximization |
| MART | Multiplicative Algebraic Reconstruction Technique |
| CDSA | Coupled Dynamical System extending SART (linear), described by Equation (17) |
| CDEM | Coupled Dynamical System extending MLEM (EM-type, nonlinear), described by Equation (18) |
| CDMA | Coupled Dynamical System extending MART (MA-type, nonlinear), described by Equation (19) |
Disclaimer/Publisher’s Note: The statements, opinions and data contained in all publications are solely those of the individual author(s) and contributor(s) and not of MDPI and/or the editor(s). MDPI and/or the editor(s) disclaim responsibility for any injury to people or property resulting from any ideas, methods, instructions or products referred to in the content. |
© 2025 by the authors. Licensee MDPI, Basel, Switzerland. This article is an open access article distributed under the terms and conditions of the Creative Commons Attribution (CC BY) license (https://creativecommons.org/licenses/by/4.0/).
Share and Cite
Kasai, R.; Abou Al-Ola, O.M.; Yoshinaga, T. Coupled Dynamical Systems for Solving Linear Inverse Problems. Mathematics 2025, 13, 3347. https://doi.org/10.3390/math13203347
Kasai R, Abou Al-Ola OM, Yoshinaga T. Coupled Dynamical Systems for Solving Linear Inverse Problems. Mathematics. 2025; 13(20):3347. https://doi.org/10.3390/math13203347
Chicago/Turabian StyleKasai, Ryosuke, Omar M. Abou Al-Ola, and Tetsuya Yoshinaga. 2025. "Coupled Dynamical Systems for Solving Linear Inverse Problems" Mathematics 13, no. 20: 3347. https://doi.org/10.3390/math13203347
APA StyleKasai, R., Abou Al-Ola, O. M., & Yoshinaga, T. (2025). Coupled Dynamical Systems for Solving Linear Inverse Problems. Mathematics, 13(20), 3347. https://doi.org/10.3390/math13203347

