Next Article in Journal
Exception-Driven Security: A Risk-Aware Permission Adjustment for High-Availability Embedded Systems
Previous Article in Journal
On the Multiplication Operators from the Natural μ-Bloch-Type Space into Another Natural ω-Bloch-Type Space
 
 
Font Type:
Arial Georgia Verdana
Font Size:
Aa Aa Aa
Line Spacing:
Column Width:
Background:
Article

Modeling Portfolio Selection Under Intuitionistic Fuzzy Environments

Department of Industrial Engineering, Baskent University, 06790 Ankara, Turkey
*
Author to whom correspondence should be addressed.
Mathematics 2025, 13(20), 3303; https://doi.org/10.3390/math13203303
Submission received: 15 September 2025 / Revised: 8 October 2025 / Accepted: 11 October 2025 / Published: 16 October 2025
(This article belongs to the Section E5: Financial Mathematics)

Abstract

Portfolio optimization is a multifaceted process aimed at achieving a balance between investors’ risk tolerance and expected returns. However, the inherent uncertainty and unpredictability of financial markets significantly hinder the attainment of this balance. Therefore, there is an increasing need for models capable of representing these uncertainties in a more realistic manner. In this study, novel intuitionistic fuzzy mathematical models are proposed to provide alternative portfolio options that align with diverse investor expectations and risk perceptions. By utilizing mathematical programming formulations incorporating intuitionistic fuzzy parameters, the study contributes to the theoretical framework and enables the analysis of portfolio structures that vary in response to imprecisely defined return levels. The intuitionistic fuzzy parameters are modeled using appropriate membership and non-membership functions, and mean absolute deviation is employed as the risk measure within the proposed models. Various alternative solutions are generated by considering different lower and upper bound constraints, thereby allowing for the construction of flexible investment strategies suitable for different investor profiles. The practical applicability of the proposed models is demonstrated using real-world stock data obtained from Borsa Istanbul. The empirical results reveal that the models provide solutions that are sensitive to individual risk preferences and adaptable to changing market conditions. Accordingly, the developed intuitionistic fuzzy models serve as effective tools for determining optimal portfolio allocations and developing resilient investment strategies.

1. Introduction

The capital directed by investors towards the right assets plays a critical role in economic growth and market stability within financial markets. The foundation of investment decisions lies in determining which financial instruments should be selected and the criteria upon which these selections will be based. Portfolio optimization is a significant decision problem that allows investors to balance their return objectives with risk tolerance. With the increasing volatility in financial markets today, portfolio optimization has become a strategic necessity for both individual and institutional investors. This process exhibits a dynamic structure depending on investors’ risk perceptions and changing market conditions. In general, a portfolio consists of financial assets such as stocks, mutual funds, bonds, and cash-like instruments. However, the abundance of available options complicates the process of creating an optimal portfolio for investors [1].
Mathematically, the key components of portfolio optimization are risk and return. When investors aim to achieve higher returns, they must also accept more risk. Therefore, the primary objective of portfolio optimization is to effectively balance risk and return [2]. In traditional portfolio theory, the concepts of risk and return are considered using quantitative measures. However, in modern investment decisions, not only these two factors but also different constraints and multiple criteria are taken into account.
The Markowitz portfolio model, developed by Harry Markowitz in 1952, is considered one of the cornerstones of modern portfolio theory [3]. This model assumes that investors make rational decisions and try to minimize risks while maximizing their returns. The model emphasizes the importance of portfolio diversification by considering not only the risk and return of individual assets but also the correlation between assets [4]. Since the emergence of the Markowitz model, numerous studies have been conducted on portfolio optimization, and alternative risk measures have been proposed. Hogan and Warren [5] modeled investment risk using semi-variance, while Konno [6] suggested using Mean Absolute Deviation (MAD) as a risk measure. Speranza [7] employed the semi-absolute deviation measure, and entropy was proposed as an alternative risk measure [8,9]. Campbell et al. [10] adopted the Value at Risk (VaR) approach, followed by the Conditional Value at Risk (CVaR) method [11]. Additionally, Polak et al. [12] used minimax-type risk measures to address the portfolio selection problem.
Many researchers have attempted to incorporate practical aspects of portfolio management, such as fixed and variable transaction costs, investment limits for each asset, and cardinality constraints [13,14,15,16,17]. The modification introduced by Chang et al. [13], which added a cardinality constraint to the portfolio selection problem, is considered one of the most significant innovations in portfolio optimization literature.
Investment decisions in financial markets generally involve uncertainty and risk. Traditional portfolio optimization methods provide solutions aimed at balancing risk and return under certain assumptions [18,19,20]. However, most of these methods fail to adequately reflect the uncertainties and complex dynamics in the markets. At this point, fuzzy logic and fuzzy set theory offer a revolutionary approach to modeling uncertainty and abstract concepts. Fuzzy portfolio models provide a robust framework for portfolio optimization by addressing the effects of uncertainty more effectively. This method enables the optimization of portfolio composition in a more flexible and realistic manner by utilizing fuzzy definitions of returns, risks, and other critical variables. Fuzzy portfolio management allows investors to dynamically manage their portfolios while considering the returns and risks of different assets. Furthermore, the goal is to develop more flexible and adaptive strategies, taking into account market fluctuations and future uncertainties. The inherent uncertainty in investor preferences may not be fully expressed using traditional quantitative methods. Therefore, fuzzy logic enhances decision-making processes, supporting investors in making informed and strategic decisions. In the context of increasingly important complex financial products and new investment opportunities, fuzzy approaches contribute to a more comprehensive perspective on investment decisions.
Fuzzy set theory, developed by Zadeh [21] in 1965, offers a more flexible framework for problems by defining sets with uncertain and gradual membership degrees rather than strict boundaries. Numerous studies in the literature have applied fuzzy set theory to portfolio optimization. Zimmermann [22], and Bellman and Zadeh [23] developed fuzzy linear programming models, while Katagiri and Ishii [24] conducted one of the pioneering works applying fuzzy theory to portfolio selection problems.
Mehlawat [25] addressed the reliability-mean-entropy model for the fuzzy multi-objective multi-selection portfolio optimization problem. Deng and Li [26] proposed a portfolio optimization model that includes borrowing constraints, using fuzzy mean, fuzzy variance, and fuzzy covariance measures. Zhang and Zhang [27] developed a new multi-period fuzzy portfolio selection model incorporating transaction costs, borrowing constraints, threshold constraints, and cardinality constraints, using MAD as the risk measure. Zhang et al. [28] proposed a multi-objective optimization model for portfolio selection based on probabilistic entropy measure and designed a new hybrid intelligent algorithm to solve this model. Bhattacharyya et al. [29] extended the classical mean-variance portfolio selection model to a mean-variance-skewness model using the concept of interval numbers in fuzzy set theory, considering transaction costs. Based on Data Envelopment Analysis (DEA), Mehlawat et al. [30] presented a fuzzy multi-objective portfolio model equipped with higher moments and developed several recommendations for investors with different attitudes. Zhang [31] proposed an uncertain multi-period MAD portfolio selection model, including threshold, cardinality constraints, transaction costs, and risk control.
Classical fuzzy set theory considers only the membership degree and does not fully allow for modeling the uncertainty in investor decisions. In contrast, Intuitionistic Fuzzy Set (IFS) theory extends this framework by incorporating both membership and non-membership degrees, enabling the explicit modeling of hesitation, which can be effectively minimized to enhance portfolio performance. Despite its potential, limited studies have explored portfolio selection within an Intuitionistic Fuzzy (IF) context. IFS, developed by Atanassov [32] and Atanassov and Gargov [33], extends classical fuzzy set theory by allowing each element to have both membership and non-membership degrees. This framework explicitly captures investor hesitation, which is often overlooked in prior fuzzy portfolio models, providing a more nuanced representation of decision uncertainty.
There is a growing body of literature on portfolio optimization using IFS. Chen et al. [34] developed a mean-variance-skewness portfolio model using IF min-max operators, while Deng and Pan [35] proposed an IF optimization framework for the multi-objective portfolio selection problem. Within an IF framework, Gupta et al. [2] used entropy and higher moments to solve the multi-objective portfolio selection problem using polynomial goal programming.
Wu et al. [36] aim to model stock prices using the fractional uncertain differential equation and develop an investment risk reduction approach based on the optimization model. First, the renewal process is introduced in the two-factor fractional Liu uncertain model. Following the proposal of two techniques to detect and isolate the jump data, formulas are established to calibrate the model’s parameters based on the market data utilizing the properties of the fractional Liu and the renewal processes. Mohseny-Tonekabony et al. [37] propose a two-stage methodology that integrates Data Envelopment Analysis (DEA) with Goal Programming for portfolio selection, marking an innovative effort to combine these techniques in this domain. This approach enhances the traditional risk–return model by integrating supplementary financial variables and accounting for data uncertainty, enabling a comprehensive analysis of portfolio performance that aligns with investor preferences and varying degrees of risk aversion. Kumar et al. [38] propose a credibilistic multi-objective, multi-period portfolio selection model that incorporates uncertainty using credibility theory. It integrates DEA to evaluate and select efficient portfolios over multiple time periods under fuzzy environments. Yadav et al. [39] present a multi-objective financial portfolio selection model that incorporates sustainability criteria within an IF framework to better handle uncertainty and investor hesitation. The approach balances risk, return, and sustainability by integrating fuzzy logic with advanced optimization techniques.
Although there exists a substantial body of research applying fuzzy set concepts to portfolio selection, much of the prior work remains descriptive rather than comparative. Several studies extend the classical mean–variance and MAD frameworks with fuzzy or interval-valued parameters and apply diverse solution methods (e.g., goal programming, possibilistic, or credibilistic approaches). However, these contributions typically (i) focus on representing imprecision via single-component fuzzy numbers (membership only), (ii) rarely quantify the role of hesitation explicitly in numerical experiments, and (iii) provide limited cross-model comparisons under alternative uncertainty constructions, highlighting the need for a more comprehensive and systematic framework.
The recent literature on alternative mean–risk criteria and multi-period or AI-assisted rebalancing highlights both methodological diversity and the need for rigorous comparative benchmarks. For example, Ji et al. [40] provide an extended study of Mean–Gini formulations and computational strategies emphasizing cross-model testing, while Jiang et al. [41] present a modern multi-period rebalancing framework integrating machine learning to adjust risk aversion. These studies underline the importance of systematic comparison and robustness checks, motivating the adoption of an intuitionistic fuzzy approach in this study.
This study proposes new portfolio optimization models using intuitionistic fuzzy mathematical programming (IFMP). The proposed models offer a more flexible framework for investors’ risk perceptions and decision-making processes under uncertainty. The main contributions of the study are summarized as follows:
(a)
The portfolio optimization problem is addressed through an advanced IFMP framework, enabling a more comprehensive handling of uncertainty and investor hesitation compared to conventional methods.
(b)
IFS are employed to overcome the inherent limitations of classical fuzzy set theory by simultaneously incorporating membership, non-membership, and hesitation degrees, thereby enhancing the robustness of decision-making under ambiguity.
(c)
Two novel IF portfolio selection models are developed, each tailored to accommodate three distinct investor profiles characterized by varying levels of risk tolerance, thus offering personalized and flexible investment strategies.
(d)
A detailed sensitivity analysis is conducted to evaluate the responsiveness of the proposed models to changes in membership and non-membership degrees, highlighting the models’ adaptability and stability under varying decision environments.
(e)
MAD is adopted as a risk metric due to its computational efficiency and interpretability, while uncertainty in expected returns is captured using the IF framework, allowing for a more realistic and nuanced modeling of financial data.
(f)
The practical implications of the proposed models on investment decision-making are thoroughly examined, and potential directions for future research and model enhancement are identified, thereby contributing to the ongoing development of sustainable and uncertainty-aware portfolio optimization methodologies.
The remainder of the paper is organized as follows: Section 2 presents the theoretical foundation of the proposed method. Section 3 demonstrates the applicability of the model through a numerical example. Section 4 concludes the study and discusses future research directions.

2. Materials and Methods

2.1. The Concept of Intuitionistic Fuzzy Sets

A helpful technique for figuring out whether a degree of information hesitation is offered is the IFS idea, which may be utilized to address ambiguity. Type 1 fuzzy sets are expanded upon by IFS. For recovering systems that involve uncertainty or ignorance, this theory is perfect. When there is little or no prior knowledge about the model parameters, IFMP will eliminate this uncertainty as efficiently as possible by using both belonging and non-belonging degrees to ensure the accuracy of the parameter values produced using distributions and prior knowledge.
The fuzzy set theory is aimed at improving the oversimplified model; as a result, a more robust and flexible model can be developed to solve real-world complex systems involving human views [42]. The theory of IFS, originally proposed by Atanassov [32], is a generalization of classical fuzzy set theory introduced by Zadeh [21]. A fuzzy set A in a universe of discourse X is characterized by a membership function μ A : X [ 0,1 ] . Formally, a fuzzy set can be represented as
A = { x , μ A x | x X } .
where μ A x indicates the degree of membership of element x to set A . The degree of non-membership is 1 μ A x . However, a human being who can easily express the degree of membership of a given element in a fuzzy set usually cannot express the corresponding degree of non-membership. It is a well-known fact that linguistic negation is not always identified with logical negation. The notion of IFS was defined by Atanassov [43], who also generalized the idea of fuzzy sets. An IFS is characterized by two functions, a membership function and a non-membership function. They seem to be useful when modeling many real-life cases, such as negotiation processes [32].
Let X be universe of discourse. An IFS A ~ in X is defined as follows [44]:
A ~ = { x , μ A ~ x , v A ~ x | x X }
where μ A ~ : X [ 0,1 ] is the membership function, indicating the degree to which the element x belongs to the set A , v A ~ : X [ 0 , 1 ] , is the non-membership function, indicating the degree to which x does not belong to A ~ . For x X ,the condition 0   μ A ~ x + v A ~ x 1 must be satisfied.
In addition, the hesitation degree or indeterminacy degree, denoted by π A ~ x , represents the lack of knowledge about whether x belongs to A ~ and is calculated as π A ~ x = 1 μ A ~ x v A ~ x , x X and 0 π A ~ x 1 [45].
Thus, each element in an IFS is characterized by a triplet x , μ A ~ x , v A ~ x , incorporating not only the degree of membership but also non-membership and hesitation, which collectively enable a richer and more nuanced representation of uncertainty compared to classical fuzzy sets.
The notion of intuitionistic fuzzy sets provides a powerful mathematical foundation for handling uncertainty. When this concept is adapted to the representation of numerical quantities under uncertainty, the result is known as an intuitionistic fuzzy number (IFN). An IFN is a specific type of IFS defined on the real number line R , where the membership and non-membership functions satisfy additional properties to represent uncertain numerical values.
An IFN A ~ is an intuitionistic fuzzy set on R , such that A ~ = { x , μ A ~ x , v A ~ x | x R } with the following conditions: μ A ~ : R [ 0,1 ] and v A ~ : R [ 0,1 ] .
An intuitionistic fuzzy number (IFN) is indicated as A ~ = ( μ A ~ , v A ~ , π A ~ ) . Let A ~ = ( μ A ~ , v A ~ , π A ~ ) and B ~ = ( μ B ~ , v B ~ , π B ~ ) be two IFNs, λ [ 0,1 ] and some basic operations are given as follows [32,46].
i.
A ~ + B ~ = ( ( μ A ~ + μ B ~ μ A ~ × μ B ~ ) , v A ~ × v B ~ ) ,
ii.
A ~ × B ~ = ( μ A ~ × μ B ~ , ( v A ~ + v B ~ v A ~ × v B ~ ) ) ,
iii.
λ A ~ = ( 1 ( 1 μ A ~ ) λ , v A ~ λ ) ;   λ 0 ,
iv.
A ~ λ = ( μ A ~ λ , 1 ( 1 v A ~ ) λ ); λ 0 .

2.2. Intuitionistic Fuzzy Mathematical Programming

A sophisticated optimization framework called IFMP was created to address decision-making issues in situations including uncertainty and imprecise, conflicting, or incomplete information. By adding the richer informative structure of IFS, which concurrently captures membership, non-membership, and hesitation degrees, this method expands on both classical and fuzzy mathematical programming.
In classical linear programming formulations, the parameters involved in the objective function and constraint set are usually considered to be known precisely and treated as crisp numerical values. However, such an assumption often fails to reflect the complexities of real-world decision-making environments, where data may be vague, incomplete, or imprecise due to human subjectivity, lack of historical information, or rapidly changing conditions. Particularly in financial and engineering systems, the values of certain parameters—such as expected returns, resource capacities, or demand levels—are frequently derived from expert opinions, estimations, or linguistic assessments rather than exact measurements.
To better capture this imprecision, parameters can be modeled using IFNs, which extend classical fuzzy sets by incorporating three components: a membership degree (indicating the degree of belief), a non-membership degree (indicating the degree of disbelief), and a hesitation degree, which quantifies the uncertainty or lack of knowledge regarding the parameter. This richer representation enables a more realistic modeling of uncertainty compared to traditional fuzzy or crisp approaches. The inclusion of a hesitation degree is especially important in practical scenarios where data may be partially known, imprecisely reported, or entirely unavailable. For example, in sustainable finance, an investor may be somewhat confident that a given asset aligns with environmental goals (membership), somewhat doubtful due to lack of third-party verification (non-membership), and hesitant due to limited disclosure (hesitation). Such nuanced judgments cannot be fully modeled using only fuzzy membership values. Therefore, incorporating IFNs into optimization models enhances both the descriptive accuracy and decision quality, offering a mathematically rigorous yet practically meaningful representation of uncertainty [47].
Let the IFMP model be represented by Equations (3)–(5),
M i n   z = j = 1 n c j x j
j = 1 n a j x j b ~ i ,   i = 1 , , m
x j 0 ,   j = 1 , , n
where the right-hand side parameters b j are IFNs and c j and a j parameters are crisp. Then the constraint handling mechanism is adjusted to incorporate the membership, non-membership, and hesitation degrees associated with the IFN representation of parameters. So proposed IFMP model is as follows:
M i n   z = j = 1 n c j x j
μ b i ~ x α ,   i = 1 , , m
v b i ~ x β ,   i = 1 , , m
α + β 1
α β
where μ b i ~ x is the membership function which is defined as Equation (10)
μ b i ~ x = 0 j = 1 n a j x j L b i 1 U b i j = 1 n a j x j U b i L b i , L b i < j = 1 n a j x j < U b i 1 j = 1 n a j x j U b i
and v b ~ x is the non-membership function, which is defined as Equation (11):
v b i ~ x = 1 j = 1 n a j x j L b i 1 j = 1 n a j x j L b i M b i L b i , L b i < j = 1 n a j x j < M b i 0 j = 1 n a j x j M b i
And α is the minimum acceptable degree of membership, where 0 α 1 ; β is the maximum acceptable degree of non-membership, where 0 β 1 .
Here, L and U notations represent the lower and upper confidence levels of the confidence intervals, respectively. M represents the midpoint of the length of the confidence interval and calculated by M = L + U L 2 . In statistical analyses, having high confidence levels when constructing confidence intervals is a desirable situation. Therefore, it is important to work with different confidence levels. When constructing confidence intervals, calculations were made based on the t or z distribution, depending on the characteristics of the dataset. The confidence intervals were calculated using Equation (12) or Equation (13).
P b ¯ + z α / 2 σ b n < μ b < b ¯ + z α / 2 σ b n = 1 α
P b ¯ + t α / 2 S b n < μ b < X b ¯ + t α / 2 S b n = 1 α
α is confidence levels, 0 α 1 .

2.3. Model Description and Notation

The Konno–Yamazaki (KY) model [48] is a well-established approach in portfolio optimization that minimizes the MAD as a risk measure while ensuring a minimum expected return.
First, the KY model should be defined. Let R j represent the rate of return (per period) of the asset S j , j = 1,2 , , n , which is a random variable. Additionally, let x j represent the proportion of the total fund M 0 that will be invested in S j . An investment’s expected return is provided by
E j = 1 n R j x j = j = 1 n E R j x j
where E . represents the expected value of the random variable and the investor wants to maximize the expected value in Equation (14). The MAD defined as the risk measure by KY is given by Equation (15) [48].
E j = 1 n R j x j E j = 1 n R j x j
Equation (15) is approximated as Equation (16):
1 T t = 1 T j = 1 n r j t r j x j
r j t is the realization of the random variable R j during period t . E R j , which is expected value of R j , can be approximated by the average return of the j -th stock over T periods r j = t = 1 T r j t / T . Additionally, the average of the average return rates of the n stocks over T periods is r ¯ = j = 1 n r j n . Then Equation (16) can be rewritten as Equation (17).
1 T t = 1 T j = 1 n a j t x j
where a j t = r j t r j , j = 1,2 , , n , t = 1,2 , , T . As a result of the linearization of Equation (17), the KY model [48] is given by Equations (18)–(23). The notations, parameters, and decision variables used in this study are summarized in Table 1 for the readers’ convenience.
M i n t = 1 T y t / T
y t + j = 1 n a j t x j 0 ,   t = 1 , , T
y t j = 1 n a j t x j 0 ,   t = 1 , , T
j = 1 n r j x j ρ M 0
j = 1 n x j = M 0
0 x j u j ,   j = 1 , , n
The objective of the KY model, given by Equation (18), is to minimize the risk of the portfolio while achieving a specific level of return [48]. It uses the MAD as a risk measure. The MAD of a portfolio is a risk indicator that measures how much the portfolio’s returns deviate from the expected return. Equations (19) and (20) allow for the calculation of the portfolio’s MAD. The investor may request the portfolio to achieve a certain minimum expected return. Equation (21) ensures that the expected return of the portfolio does not fall below a certain threshold. Equation (22) represents the capital budget constraint; this constraint guarantees that the total investment in all stocks in the portfolio does not exceed M 0 . Equation (23) ensures that the amount invested in each stock in the portfolio does not exceed a specified upper limit. Limiting the investment amounts to a certain upper boundary is used to control the diversification of the portfolio and prevent giving an excessively large share to any single stock.
In this study, MAD is employed as the primary risk measure due to its computational simplicity, interpretability, and robustness. Unlike variance-based measures that require the estimation of a variance-covariance matrix and involve quadratic programming, MAD is a linear and easily implementable risk metric. This linearity significantly simplifies the portfolio optimization model and allows for faster solution times, especially in large-scale problems. Additionally, MAD is less sensitive to extreme values compared to variance, making it more robust in the presence of outliers and irregular data distributions—a common scenario in emerging markets. Moreover, MAD provides a more intuitive understanding of risk, representing the average absolute deviation from the mean return, which can be more practical for decision-makers without advanced statistical backgrounds. Given these advantages, MAD is considered a suitable and effective choice for modeling risk within the proposed IF portfolio optimization framework. In this study, the MAD risk-based IF expected return rate optimization was created. Traditionally, the expected returns are treated as deterministic or fuzzy values. However, to address the vagueness, incompleteness, and hesitancy in real-world return estimation, we extend the KY model by representing the expected returns as IFNs.
The proposed method employs IFS theory to represent uncertainty through the degrees of membership and non-membership. We define R ( x ) , the IFS to expected return as Equation (24):
R x = { x , μ ρ M 0 ~ x , v ρ M 0 ~ x | x X }
where μ ρ M 0 ~ x is the membership function which is defined as Equation (25)
μ ρ M 0 ~ x = 0 j = 1 n r j x j L ρ M 0 1 U ρ M 0 j = 1 n r j x j U ρ M 0 L ρ M 0 , L ρ M 0 < j = 1 n r j x j < U ρ M 0 1 j = 1 n r j x j U ρ M 0
and v ρ M 0 ~ x is the non-membership function, which is defined as Equation (26)
v ρ M 0 ~ x = 1 j = 1 n r j x j L ρ M 0 1 j = 1 n r j x j L ρ M 0 M ρ M 0 L ρ M 0 , L ρ M 0 < j = 1 n r j x j < M ρ M 0 0 j = 1 n r j x j M ρ M 0
Membership and non-membership functions are represented graphically in Figure 1. The horizontal axis represents the expected return level, while the vertical axis indicates the degree of membership/non-membership.
The notation, parameters, and decision variables used in the proposed IFMP models follow those defined in the Konno–Yamazaki model (Section 2.3) and are detailed in Table 1. The proposed IFMP model for portfolio optimization (M1) is defined as
  • Model 1: M1
M i n t = 1 T y t / T
1 U ρ M 0 j = 1 n r j x j U ρ M 0 L ρ M 0 α
1 j = 1 n r j x j L ρ M 0 M ρ M 0 L ρ M 0 β
y t + j = 1 n a j t x j 0 ,   t = 1 , , T
y t j = 1 n a j t x j 0 ,   t = 1 , , T
j = 1 n x j = M 0
0 x j u j ,   j = 1 , , n
α + β 1
α β
Furthermore, when the model is examined, based on the concept of IFS, the constraint α β and α + β 1 are directly adapted into the M1 thus M2 is derived.
According to IFS theory, the membership and non-membership functions given in Equation (2) must satisfy the condition 0   μ ρ M 0 ~ x + v ρ M 0 ~ x 1 . Then, by rearranging Equations (25) and (26), Equations (31) and (32) are obtained, respectively, as follows:
μ ρ M 0 ~ x = 1 U ρ M 0 j = 1 n r j x j U ρ M 0 L ρ M 0 = j = 1 n r j x j L ρ M 0 U ρ M 0 L ρ M 0           L ρ M 0 < j = 1 n r j x j < U ρ M 0
v ρ M 0 ~ x = 1 j = 1 n r j x j L ρ M 0 M ρ M 0 L ρ M 0 = M ρ M 0 j = 1 n r j x j M ρ M 0 L ρ M 0           L ρ M 0 < j = 1 n r j x j < M ρ M 0  
To ensure that the condition μ ρ M 0 ~ x + v ρ M 0 ~ x 1 is satisfied, Equation (33) is obtained as
j = 1 n r j x j L ρ M 0 U ρ M 0 L ρ M 0 + M ρ M 0 j = 1 n r j x j M ρ M 0 L ρ M 0   1
In the proposed model M2, the membership function corresponding to the expected return is defined as an increasing function, reflecting the objective of maximizing the expected return. Conversely, the non-membership function is modeled as a decreasing function with respect to the expected return. This formulation ensures that higher levels of expected return correspond to higher degrees of membership and lower degrees of non-membership.
To reflect a rational decision-making behavior that favors portfolios with higher expected returns, an additional constraint is imposed such that the membership degree must be greater than or equal to the non-membership degree. This condition μ ρ M 0 ~ x > v ρ M 0 ~ x guarantees that the selected portfolios are evaluated as being more strongly associated with the desired level of return than being excluded from it. This assumption is consistent with the underlying intuitionistic fuzzy set framework and supports a more optimistic assessment of favorable investment alternatives.
The constraint formulated by incorporating the membership degrees is presented in Equation (34).
j = 1 n r j x j L ρ M 0 U ρ M 0 L ρ M 0 > M ρ M 0 j = 1 n r j x j M ρ M 0 L ρ M 0
Based on this constraint, the enhanced IFMP model for portfolio optimization model, denoted as M2, is constructed and presented below.
  • Model 2: M2
M i n t = 1 T y t / T
j = 1 n r j x j L ρ M 0 U ρ M 0 L ρ M 0 + M ρ M 0 j = 1 n r j x j M ρ M 0 L ρ M 0   1
j = 1 n r j x j L ρ M 0 U ρ M 0 L ρ M 0 > M ρ M 0 j = 1 n r j x j M ρ M 0 L ρ M 0
y t + j = 1 n a j t x j 0 ,   t = 1 , , T
y t j = 1 n a j t x j 0 ,   t = 1 , , T
j = 1 n x j = M 0
0 x j u j ,   j = 1 , , n

3. Results

In this study, two mathematical models (M1 and M2) based on IFS theory are proposed for solving the Portfolio Optimization problem. To examine the portfolio options generated by the proposed models, data from the stocks of 50 companies listed on Borsa İstanbul (BIST) were utilized. The proposed fuzzy models were compared with the KY model. Comparison criteria included expected return, risk value, and the number of selected stocks. Furthermore, sensitivity analyses were conducted for M1 and M2 by solving the models using different tolerance levels for the expected return to assess the effects on the solutions.
During the solution phase, the CPLEX solver (version 21.10) was employed. All numerical analyses were performed on a computer equipped with an Intel Core i7-9700 3.00 GHz processor and 8 GB of RAM.
Daily returns were calculated based on the 30-month daily closing prices of the BIST 50 stocks, and each monthly dataset was coded as a separate problem. For instance, P1 represents the data for the first month, P2 for the second month, and…, P30 for the thirtieth month. Solutions for M1 and M2 were obtained and analyzed for these 30 periods. This dataset is sufficient to test the validity and accuracy of the models and can also be easily applied to large-scale problems.
During the 30-month period considered in this study, the constituents of the BIST50 index remained unchanged, and no adjustments occurred. This ensures that there is no survivorship bias arising from additions or removals of stocks. The analysis focuses on periods without dividend distributions or stock splits, and portfolio returns are calculated arithmetically. The relevant formulas and calculation procedures are provided below in a step-by-step manner. The entire dataset is available at this link and can also be accessed via the Borsa İstanbul website at https://borsaistanbul.com/ (accessed on 20 August 2025).
It should be emphasized that this cross-sectional framework was deliberately adopted to represent the short-term market uncertainty faced by investors in each decision period. Using 30 months of historical data, independent cross-sectional distributions were constructed for each month, and corresponding L, M, and U values were derived to build separate membership and non-membership functions. This design focuses on the relative behavior of assets within each period rather than forecasting future movements, thus maintaining consistency with the single-period structure of the Konno–Yamazaki (KY) model. While time-series approaches can capture long-term volatility dynamics, they may introduce additional complexity and data dependency without necessarily improving the interpretability or comparability of results across months. Therefore, the proposed method provides a valid and coherent basis for evaluating the relative performance of the M1, M2, and KY models under identical short-term uncertainty conditions.
The steps followed in the implementation are detailed below. Additionally, the algorithm was executed for the first monthly period, corresponding to the P1 problem.
Step 1: Calculate average return of the j -th stock over T periods ( r j )
k j t ; j = 1 , 2 , , n , t = 1 , , T , denotes the closing price of the j -th stock at the end of period t . The return of the j -th stock at the end of period t + 1 was calculated using Equation (35).
r j ( t + 1 ) = k j ( t + 1 ) k j t k j t , j = 1 , , n , t = 1 , , T 1
Step 2: Calculate the average of the average return rates of the n stocks over T periods ( r ¯ ) and standard deviation ( S )
The standard deviation of the average return of the j -th stock over T periods is calculated using Equation (36).
S = 1 n 1 j = 1 n r j r ¯ 2
For the P1 problem, the average return and standard deviation of the 50 stocks over the 25-day period were calculated as r ¯ = 0.055410 and S = 0.653554 , respectively.
Step 3: Determine the tolerance values for the expected returns.
To generate parameters with IF returns, tolerance values were constructed based on confidence intervals. The normality of the average returns ( r j , j = 1 , 2 , , 25 ) was assessed using the Kolmogorov–Smirnov test at a 0.05 significance level. The data for the P1 problem were found to conform to a normal distribution ( p > 0.05 ). Since the sample size is less than 30 and the population variance is unknown, the confidence intervals were obtained based on the t-distribution. The confidence intervals, constructed based on the t-distribution at a ( 1 α ) confidence level, were obtained using Equation (37).
P ρ M 0 ¯ + t α / 2 S ρ M 0 n < μ ρ M 0 < ρ M 0 ¯ + t α / 2 S ρ M 0 n = 1 α
P L ρ M 0 < μ ρ M 0 < U ρ M 0 = 1 α
In the confidence interval given by Equation (38), L ρ M 0 represents the lower bound, U ρ M 0 represents the upper bound, and M ρ M 0 denotes the midpoint of the interval. The 95% confidence interval for r ¯ is provided by Equation (39).
P 0.131355 < μ ρ M 0 < 0.242175 = 0.95
The length of the confidence interval was determined to be 0.37353 , resulting in a midpoint value of M ρ M 0 = 0.055410 . Based on this, the membership function associated with the expected return was constructed and is illustrated in Figure 2. The x-axis shows the expected return values, and the y-axis shows their corresponding membership degrees.
Step 4: Based on the tolerance values, the membership functions were constructed.
For the P1 problem, the membership functions constructed using Equations (13) and (14) are presented in Equations (40) and (41).
μ ρ M 0 ~ x = 0 j = 1 n r j x j 0.131355 1 0.242175 j = 1 n r j x j 0.242175 + 0.131355 , 0.131355 < j = 1 n r j x j < 0.242175 1 j = 1 n r j x j 0.242175
v ρ M 0 ~ x = 1 j = 1 n r j x j 0.131355 1 j = 1 n r j x j + 0.131355 0.055410 + 0.131355 , 0.131355 < j = 1 n r j x j < 0.055410 0 j = 1 n r j x j 0.055410
Step 5: The solutions of the M1 and M2 models were obtained using the membership functions.

3.1. Solutions of the M1 Model and Comparison Analysis

The M1 model was initially solved for the P1 problem using different values of the membership degree ( α ) and non-membership degree ( β ) that satisfy the conditions α + β 1 , α β , α 0 and β 0 . For α , the values 0.1, 0.2, 0.3, 0.4, 0.5, 0.6, 0.7, 0.8, 0.9, and 1.0 were used, and for β , the values 0.1, 0.2, 0.3, 0.4, and 0.5 were employed. This resulted in 36 different parameter pairs that satisfy the specified conditions. The expected return and risk values corresponding to the feasible solutions are presented in Table 2. Since solutions that do not satisfy the condition α β were excluded, the corresponding cells in Table 2 are left blank.
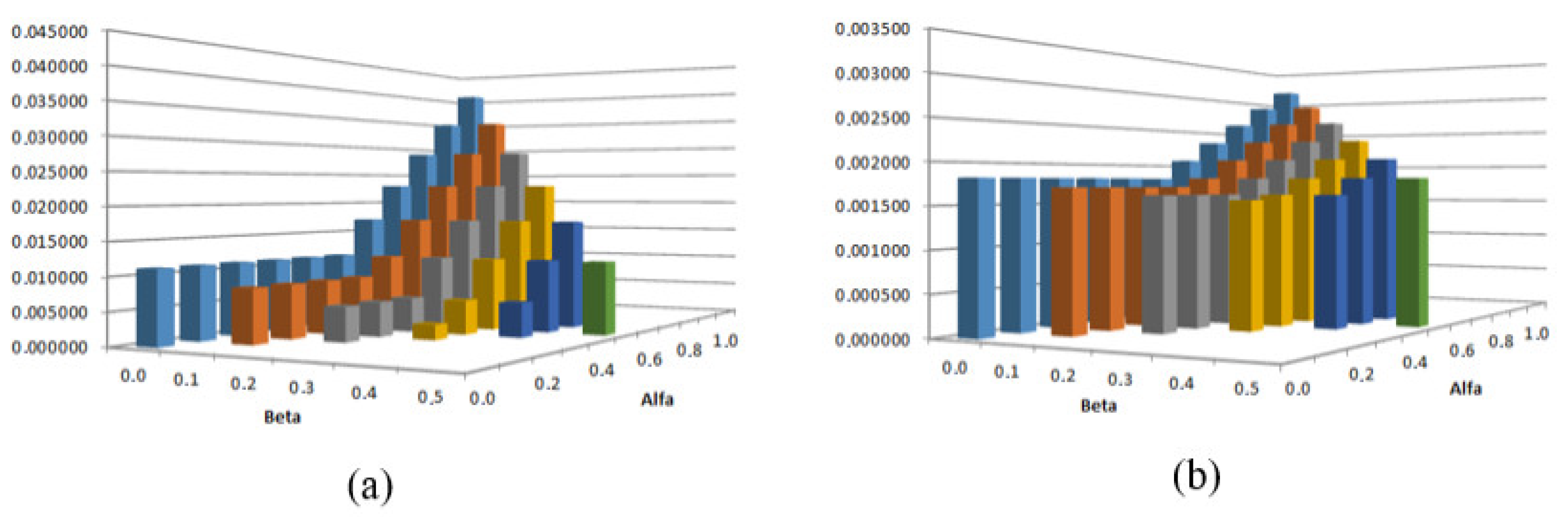
According to Table 2, for α = 0.3 and β = 0.3 , the lowest return and risk values were obtained as 0.002279 and 0.001552, respectively. The highest return (0.040722) and highest risk (0.003178) were observed for α = 1.0 and β = 0.0 . These results support the theory that higher-risk investments generally offer higher potential returns. Investors who are willing to accept greater risk expect potential returns that compensate for that risk.
When examining changes in return and risk values across different α and β values, it is observed that as the return increases, the risk also rises. Consequently, the solution with the lowest risk also corresponds to the lowest return. A similar pattern is observed for the highest-risk and highest-return solutions. Although there is a single solution each for the lowest and highest risk–return pairs, the risk and return values were identical for all solutions with α 0.5 and β = 0.0 . Moreover, for α ( 0.5 , 0.9 ) , the results were found to be the same regardless of the value of β . Graphs illustrating the expected returns and risk values for all solutions of M1 across different α and β values are presented in Figure 3.
The sensitivity of Model M1 to the α and β parameters arises from the structure of the membership functions that represent the uncertainty of expected returns. These functions are constructed from the L, M, and U values derived from the cross-sectional distribution of stock returns for each month.
For any α and β values satisfying α β and α + β 1 , only one of the constraints in Equations (27) and (28) becomes binding, while the other remains inactive. The active constraint depends directly on the chosen α and β values. Although the solution remains stable for some α β combinations, varying β can still yield distinct outcomes; for example, when α = 0.4, different β values lead to diverse portfolio selections.
The definition of the membership and non-membership functions ( μ ρ M 0 ~ and v ρ M 0 ~ ), together with their increasing or decreasing structure, determines the relative influence of α and β on the solutions. Numerical experiments show that variations in α have a stronger effect on the results compared to β . This behavior can be attributed to two structural aspects of the model. First, since the IF constraint set includes α + β 1 and α β , the feasible range of β is generally narrower than that of α, reducing the likelihood that β becomes binding. Second, the piecewise-linear membership and non-membership functions place critical decision thresholds primarily on the membership ( α ) side, meaning that increasing α tightens the acceptable lower bound of expected returns, while the non-membership threshold β often remains non-binding for the considered datasets.
The investment allocations of the stocks in the solutions corresponding to the lowest and highest risk–return values obtained for different α and β levels are presented in Figure 4. The x-axis represents stock indices, and the y-axis represents the proportion of investment in each stock. Analyzing the distribution shares of the stocks shown in Figure 4, it is observed that the solution with the lowest risk includes investments in 22 stocks, whereas the solution with the highest risk involves 20 stocks. In both solutions, 18 stocks are common, although the allocation proportions differ.
After a detailed examination of the P1 problem, the aim was to compare the KY and the M1 solutions for 30 independently considered portfolio optimization problems (P1, P2, …, P30). At this stage, a total of 1080 problems were solved for sensitivity analysis, corresponding to 36 different α , β pairs that satisfy the constraints for each problem. Detailed results based on the M1 solutions, including the lowest and highest risk–return values and the corresponding number of selected stocks (NS) for each problem, are presented in Appendix A (Table A1).
Upon examining Table A1, it is observed that the lowest risk and return values for each problem were obtained at different α and β levels, indicating that these solutions represent alternative optimal solutions. In contrast, the highest risk and return values were consistently obtained at α = 1.0 and β = 0.0 . Comparing the model solutions with the lowest risk–return values obtained using M1 to those from the KY model, identical solutions were found for 18 out of the 30 problems. For the remaining 12 problems, the M1 solutions exhibited lower risk values. When comparing the solutions in terms of the number of selected stocks, the stock counts were identical for solutions with the same lowest risk–return values. For problems P1, P8, and P11, where M1 identified lower-risk investment plans, the number of selected stocks increased by one, whereas for problems P7 and P16, the number decreased by one. For the remaining problems, the number of selected stocks remained unchanged.
In the M1 model, obtaining the highest return at membership degrees of α = 1.0 and β = 0.0 is an expected outcome. This result corresponds to investment plans that, among the high-return options permitted by the membership functions, exhibit the lowest risk. The risk and return values of these investment plans are higher compared to the solutions of the KY model. Similarly to the KY model, the objective function employed in M1 is to minimize risk. Furthermore, the M1 model allows investors to explore both the lowest-risk and highest-risk portfolio options within a given expected return range when different α and β values are considered.

3.2. Solutions of the M2 Model and Comparison Analysis

The second proposed model, M2, was obtained by directly incorporating the membership and non-membership functions into the model. In this context, the IFNs were developed to satisfy the conditions α + β 1 , α β , α 0 and β 0 . The model includes the functions directly, without explicitly using membership degrees. Therefore, the comparative analyses were intended to observe the effects of changes in tolerance values. Within this study, the tolerance values were derived from confidence intervals. Consequently, the analysis was based on monitoring the variations corresponding to the lower ( L ρ M 0 ), upper ( U ρ M 0 ), and midpoint ( M ρ M 0 ) values obtained at different confidence levels. To determine these lower, upper, and midpoint values, three different confidence levels—90%, 95%, and 99%—were considered. The results of the 30 problems, obtained using the membership and non-membership functions constructed based on the lower, upper, and midpoint values for the different confidence levels, are presented in Appendix B (Table A2).
Upon examining the solutions presented in Table A2, it is observed that for 12 out of the 30 problems (P1, P5, P6, P7, P8, P9, P11, P12, P16, P21, P22, P30), the M2 model provided lower risk solutions than the KY model across all three confidence levels. In these lower-risk solutions, the corresponding return values are also reduced.
Furthermore, the problems for which M1 and M2 yielded lower-risk solutions compared to the KY model are identical. For the remaining 18 problems, the solutions of M2 and the KY model were found to be the same. The primary reason for the identical solutions in these cases is related to the problem dataset: even though the expected return levels were adjusted in the IF models, there was no investment plan with a lower risk than the one identified by the KY model for the given expected return level. Although the expected return was decreased, the risk value in the solution did not change due to the model structure, which prevents negative risk values. This phenomenon is associated with the data distribution; in datasets with higher variance, the model results exhibit more variation.
As the confidence level increases, the corresponding confidence interval widens. With a wider confidence interval, solutions with lower risk and return values are obtained. For example, for the P9 problem, the KY model yields a solution with a risk of 0.000881 and a return of 0.021982. Examining the solutions obtained using the M2 model for the same problem, the portfolio options are as follows: at a 90% confidence level, risk = 0.000578 and return = 0.011189; at a 95% confidence level, risk = 0.000570 and return = 0.008914; and at a 99% confidence level, risk = 0.000562 and return = 0.006820.
Thus, the M2 model not only provides alternative investment options compared to the KY model but also offers portfolios with lower risk levels. Moreover, it is observed that as the confidence level in M2 increases, both the return and risk values decrease simultaneously.

4. Conclusions

This study proposes an innovative portfolio selection model based on the IFS theory developed by [43], aiming to address uncertainties in financial markets more effectively and offer greater flexibility in investor preferences. Unlike traditional portfolio theories, which inadequately capture uncertainty, the IFS approach enhances decision-making by incorporating both membership and non-membership degrees.
The model was tested using historical data from the Istanbul Stock Exchange. Results indicate that the IFS-based approach enables the construction of flexible portfolio alternatives tailored to varying risk profiles, offering a more nuanced assessment of the risk–return trade-off. The use of MAD instead of standard deviation as a risk measure improved model performance. Moreover, defining solution boundaries through statistical analysis and selecting appropriate membership functions played a critical role in achieving realistic and reliable outcomes.
The results reveal consistent and interpretable trends across different α β configurations. As α increases, portfolios become more optimistic, exhibiting higher expected return and greater risk, whereas smaller α values correspond to more conservative portfolios with lower risk–return combinations. The proposed M1 and M2 models exhibit stable behavior under these varying tolerance settings, outperforming the baseline KY model in terms of adaptability and robustness. These findings confirm that the incorporation of intuitionistic fuzzy parameters provides a more flexible and realistic framework for decision-making under uncertainty, enhancing the practical value of the proposed formulations. The intuitionistic fuzzy formulation also enables investors to construct portfolios aligned with their individual hesitation levels, which highlights its applicability in dynamic financial environments.
Overall, the comparative analyses demonstrate that both proposed models (M1 and M2) achieve higher stability and improved adaptability compared to the classical KY model. The incorporation of intuitionistic fuzzy parameters allows for a more flexible treatment of uncertainty, particularly in short-term decision-making environments.
The proposed models demonstrate promising potential for applicability under different market conditions. However, since the validation in this study was based solely on historical data from the Istanbul Stock Exchange (BIST50), further empirical testing is required to confirm generalizability across other markets and asset classes. Future research will therefore focus on extending the models to additional financial markets (e.g., U.S. and European exchanges) and asset types (e.g., bonds, cryptocurrencies), and evaluating their effectiveness with alternative risk measures such as variance and CVaR. Integration with artificial intelligence-based optimization techniques, including genetic algorithms and deep learning, could further enhance the model’s adaptability and performance under dynamic market conditions.

Author Contributions

Conceptualization, T.D. and M.G.K.; Methodology, T.D. and K.D.A.; Software, T.D.; Validation, T.D., M.G.K. and K.D.A.; Formal analysis, T.D.; Investigation, T.D.; Resources, M.G.K.; Data curation M.G.K.; Writing—original draft preparation, T.D. and K.D.A.; Writing—review and editing, T.D., M.G.K. and K.D.A.; Visualization, K.D.A.; Supervision, T.D. and K.D.A.; Project administration, T.D. All authors have read and agreed to the published version of the manuscript.

Funding

This research received no external funding.

Data Availability Statement

The data used in this study are publicly available and were obtained from the Borsa Istanbul (BIST) website. Specifically, the closing prices of the stocks included in the BIST 50 index were used. The dataset can be accessed at: https://www.borsaistanbul.com (accessed on 20 August 2025).

Conflicts of Interest

The authors declare no conflicts of interest. The funders had no role in the design of the study; in the collection, analyses, or interpretation of data; in the writing of the manuscript; or in the decision to publish the results.

Abbreviations

The following abbreviations are used in this manuscript:
MADMean Absolute Deviation
VaRValue at Risk
CVaRConditional Value at Risk
DEAData Envelopment Analysis
IFSIntuitionistic Fuzzy Set
IFIntuitionistic Fuzzy
IFMPIntuitionistic Fuzzy Mathematical Programming
IFNIntuitionistic Fuzzy Number

Appendix A

This appendix provides the detailed solutions obtained from Model M1. For each benchmark problem, the results include the lowest and highest risk–return values and the corresponding number of selected stocks (NS). The complete numerical results are summarized in Table A1.
Table A1. Comparison of M1 and KY Model Solutions for 30 Different Problems.
Table A1. Comparison of M1 and KY Model Solutions for 30 Different Problems.
KYLowest Risk—Lowest Return Solution Obtained Using M1Highest Risk—Highest Return Solution Obtained Using M1
P. NoReturnRiskNSAlfaBetaReturnRiskNSAlfaBetaReturnRiskNS
P1−0.0105200.00639220α = 0.3β = 0.3−0.0226100.00623121α = 1.0β = 0.00.0297800.01008618
P2−0.0049580.00000122α = 0.6β = 0.4−0.0049580.00000122α = 1.0β = 0.00.0208280.00233022
P30.0126770.00796119α = 0.7β = 0.30.0126770.00796119α = 1.0β = 0.00.0255170.00836318
P40.0560180.00000322α = 0.5β = 0.50.0560180.00000322α = 1.0β = 0.00.0560180.00000322
P5−0.0108660.00165522α = 0.3β = 0.3−0.0237540.00123622α = 1.0β = 0.00.0320940.00445622
P6−0.0261080.00325221α = 0.3β = 0.3−0.0364730.00321221α = 1.0β = 0.00.0084430.00383221
P70.0205580.00137521α = 0.4β = 0.40.0138680.00094320α = 1.0β = 0.00.0573440.00566920
P80.0111500.00181821α = 0.3β = 0.30.0022790.00155222α = 1.0β = 0.00.0407220.00317820
P90.0219820.00088122α = 0.3β = 0.30.0103410.00057522α = 1.0β = 0.00.0607840.00471121
P100.0283410.00166421α = 0.5β = 0.50.0283410.00166421α = 1.0β = 0.00.0559170.00324422
P11−0.0372200.00091122α = 0.3β = 0.3−0.0497060.00000723α = 1.0β = 0.00.0043990.00532822
P120.0206560.00000123α = 0.3β = 0.20.0136930.00000023α = 1.0β = 0.00.0554710.00323120
P130.0293600.00847619α = 0.7β = 0.30.0293600.00847619α = 1.0β = 0.00.0437530.00869918
P14−0.0059940.00000023α = 0.9β = 0.1−0.0059940.00000023α = 1.0β = 0.0−0.0045690.00000123
P150.0208440.00000023α = 0.5β = 0.50.0208440.00000023α = 1.0β = 0.00.0208440.00000023
P160.0554100.03245321α = 0.3β = 0.3−0.0006200.03082620α = 1.0β = 0.00.2421750.04916421
P170.2204660.00358721α = 0.5β = 0.50.2204660.00358721α = 1.0β = 0.00.2370350.00462822
P180.1512250.00000322α = 0.5β = 0.50.1512250.00000322α = 1.0β = 0.00.1512250.00000322
P19−0.0064930.00000023α = 0.5β = 0.5−0.0064930.00000023α = 1.0β = 0.0−0.0064930.00000023
P20−0.1419310.00000023α = 0.7β = 0.3−0.1419310.00000023α = 1.0β = 0.0−0.0286550.00899821
P21−0.1123020.01077822α = 0.3β = 0.3−0.1660050.00500122α = 1.0β = 0.00.0667070.03785119
P22−0.3081940.01021322α = 0.3β = 0.3−0.3618940.00723322α = 1.0β = 0.0−0.1291930.02777721
P23−0.0049710.00000023α = 0.5β = 0.5−0.0049710.00000023α = 1.0β = 0.0−0.0049710.00000023
P24−0.1519820.00000023α = 0.5β = 0.5−0.1519820.00000023α = 1.0β = 0.0−0.1519820.00000023
P25−0.1946470.00000522α = 0.7β = 0.3−0.1946470.00000522α = 1.0β = 0.0−0.0943780.00000723
P260.1869080.00000023α = 0.5β = 0.50.1869080.00000023α = 1.0β = 0.00.1869080.00000023
P27−0.1548440.00504620α = 0.8β = 0.2−0.1548440.00504620α = 1.0β = 0.0−0.0985860.00905521
P280.4202990.00000023α = 0.5β = 0.50.4202990.00000023α = 1.0β = 0.00.4202990.00000023
P29−0.0308820.00000023α = 0.5β = 0.5−0.0308820.00000023α = 1.0β = 0.0−0.0308820.00000023
P30−0.3472120.00854322α = 0.3β = 0.3−0.3958620.00643922α = 1.0β = 0.0−0.1850440.03024220

Appendix B

This appendix presents the detailed results of Model M2 for the 30 benchmark problems. The model outcomes are reported for three confidence levels (90%, 95%, and 99%), based on the corresponding lower, upper, and midpoint values derived from the membership and non-membership functions. The complete numerical results are summarized in Table A2.
Table A2. Comparison of the KY and M2 Solutions at 90%, 95%, and 99% Confidence Levels.
Table A2. Comparison of the KY and M2 Solutions at 90%, 95%, and 99% Confidence Levels.
KYM2 (%90)M2 (%95)M2 (%99)
P. NoReturnRiskNSReturnRiskNSReturnRiskNSReturnRiskNS
P1−0.0105200.00639220−0.0218310.00624121−0.0238770.00621621−0.0285290.00615921
P2−0.0049580.00000122−0.0049580.00000122−0.0049580.00000122−0.0049580.00000122
P30.0126770.007961190.0126770.007961190.0126770.007961190.0126770.00796119
P40.0560180.000003220.0560180.000003220.0560180.000003220.0560180.00000322
P5−0.0108660.00165522−0.0228500.00126522−0.0251100.00119322−0.0300140.00104421
P6−0.0261080.00325221−0.0357150.00321421−0.0377300.00320921−0.0380110.00320920
P70.0205580.001375210.0138680.000943200.0138680.000943200.0138680.00094320
P80.0111500.001818210.0028770.001564220.0011700.00153022−0.0021000.00146322
P90.0219820.000881220.0111890.000578220.0089140.000570220.0068200.00056221
P100.0283410.001664210.0283410.001664210.0283410.001664210.0283410.00166421
P11−0.0372200.00091122−0.0487300.00000723−0.0509890.00000623−0.0557900.00000323
P120.0206560.000001230.0110320.000000230.0098410.000000230.0098410.00000023
P130.0293600.008476190.0293600.008476190.0293600.008476190.0293600.00847619
P14−0.0059940.00000023−0.0059940.00000023−0.0059940.00000023−0.0059940.00000023
P150.0208440.000000230.0208440.000000230.0208440.000000230.0208440.00000023
P160.0554100.032453210.0035250.03085620−0.0068540.03078020−0.0278870.03064320
P170.2204660.003587210.2204660.003587210.2204660.003587210.2204660.00358721
P180.1512250.000003220.1512250.000003220.1512250.000003220.1512250.00000322
P19−0.0064930.00000023−0.0064930.00000023−0.0064930.00000023−0.0064930.00000023
P20−0.1419310.00000023−0.1419310.00000023−0.1419310.00000023−0.1419310.00000023
P21−0.1123020.01077822−0.1620230.00516822−0.1719540.00475122−0.1921320.00390522
P22−0.3081940.01021322−0.3579170.00738922−0.3678630.00699922−0.3880320.00620922
P23−0.0049710.00000023−0.0049710.00000023−0.0049710.00000023−0.0049710.00000023
P24−0.1519820.00000023−0.1519820.00000023−0.1519820.00000023−0.1519820.00000023
P25−0.1946470.00000522−0.1946470.00000522−0.1946470.00000522−0.1946470.00000522
P260.1869080.000000230.1869080.000000230.1869080.000000230.1869080.00000023
P27−0.1548440.00504620−0.1548440.00504620−0.1548440.00504620−0.1548440.00504620
P280.4202990.000000230.4202990.000000230.4202990.000000230.4202990.00000023
P29−0.0308820.00000023−0.0308820.00000023−0.0308820.00000023−0.0308820.00000023
P30−0.3472120.00854322−0.3922710.00659422−0.4012590.00620522−0.4195550.00541422

References

  1. Sharpe, W.F. Portfolio Theory and Capital Markets; McGraw-Hill: New York, NY, USA, 1970. [Google Scholar]
  2. Gupta, P.; Mehlawat, M.K.; Yadav, S.; Kumar, A. A polynomial goal programming approach for intuitionistic fuzzy portfolio optimization using entropy and higher moments. Appl. Soft Comput. 2019, 85, 105781. [Google Scholar] [CrossRef]
  3. Markowitz, H.M. Portfolio Selection. J. Financ. 1952, 7, 77–91. [Google Scholar] [CrossRef]
  4. Markowitz, H.M. Portfolio Selection: Efficient Diversification of Investments; Wiley: New York, NY, USA, 1959. [Google Scholar]
  5. Hogan, W.W.; Warren, J.M. Toward the development of an equilibrium capital-market model based on semivariance. J. Financ. Quant. Anal. 1974, 9, 1–11. [Google Scholar] [CrossRef]
  6. Konno, H. Piecewise linear risk function and portfolio optimization. J. Oper. Res. Soc. Jpn. 1990, 33, 139–156. [Google Scholar] [CrossRef]
  7. Speranza, M.G. Linear programming models for portfolio optimization. Finance 1993, 14, 107–123. [Google Scholar]
  8. Kapur, J.N.; Kesavan, H.K. Entropy Optimization Principles and Their Applications. In Entropy and Energy Dissipation in Water Resources; Springer: Dordrecht, The Netherlands, 1992; pp. 3–20. [Google Scholar]
  9. Bera, A.K.; Park, S.Y. Optimal portfolio diversification using the maximum entropy principle. Econom. Rev. 2008, 27, 484–512. [Google Scholar] [CrossRef]
  10. Campbell, R.; Huisman, R.; Koedijk, K. Optimal portfolio selection in a Value-at-Risk framework. J. Bank. Financ. 2001, 25, 1789–1804. [Google Scholar] [CrossRef]
  11. Rockafellar, R.T.; Uryasev, S. Conditional value-at-risk for general loss distributions. J. Bank. Financ. 2002, 26, 1443–1471. [Google Scholar] [CrossRef]
  12. Polak, G.G.; Rogers, D.F.; Sweeney, D.J. Risk management strategies via minimax portfolio optimization. Eur. J. Oper. Res. 2010, 207, 409–419. [Google Scholar] [CrossRef]
  13. Chang, T.J.; Meade, N.; Beasley, J.E.; Sharaiha, Y.M. Heuristics for cardinality constrained portfolio optimisation. Comput. Oper. Res. 2000, 27, 1271–1302. [Google Scholar] [CrossRef]
  14. Ruiz-Torrubiano, R.; Suárez, A. A hybrid optimization approach to index tracking. Ann. Oper. Res. 2009, 166, 57–71. [Google Scholar] [CrossRef]
  15. Anagnostopoulos, K.P.; Mamanis, G. A portfolio optimization model with three objectives and discrete variables. Comput. Oper. Res. 2010, 37, 1285–1297. [Google Scholar] [CrossRef]
  16. Kobayashi, K.; Takano, Y.; Nakata, K. Cardinality-constrained distributionally robust portfolio optimization. Eur. J. Oper. Res. 2023, 309, 1173–1182. [Google Scholar] [CrossRef]
  17. Wang, Z.; Zhu, X.; Qu, S.; Nadeem, M.F.; Zhang, B. Distributionally robust sparse portfolio optimization model under satisfaction criterion. Math. Found. Comput. 2025, 8, 347–371. [Google Scholar] [CrossRef]
  18. Fabozzi, F.J.; Kolm, P.N.; Pachamanova, D.A.; Focardi, S.M. Robust Portfolio Optimization and Management; John Wiley & Sons: Hoboken, NJ, USA, 2007. [Google Scholar]
  19. Belabbes, K.; Guennoun, Z.E.A. Uncertain Portfolio Optimization Problems: Systematic Review. Stat. Optim. Inf. Comput. 2025, 13, 961–976. [Google Scholar] [CrossRef]
  20. Șerban, F. Sustainable Portfolio Rebalancing Under Uncertainty: A Multi-Objective Framework with Interval Analysis and Behavioral Strategies. Sustainability 2025, 17, 5886. [Google Scholar] [CrossRef]
  21. Zadeh, L.A. Fuzzy sets. Inf. Control. 1965, 8, 338–353. [Google Scholar] [CrossRef]
  22. Zimmermann, H.J. Fuzzy programming and linear programming with several objective functions. Fuzzy Sets Syst. 1978, 1, 45–55. [Google Scholar] [CrossRef]
  23. Bellman, R.E.; Zadeh, L.A. Decision-making in a fuzzy environment. Manag. Sci. 1970, 17, B-141–B-164. [Google Scholar] [CrossRef]
  24. Katagiri, H.; Ishii, H. Fuzzy Portfolio Selection Problem. In Proceedings of the 1999 IEEE International Conference on Systems, Man, and Cybernetics (SMC’99), Tokyo, Japan, 12–15 October 1999; IEEE: New York, NY, USA, 1999; Volume 3, pp. 973–978. [Google Scholar]
  25. Mehlawat, M.K. Credibilistic mean-entropy models for multi-period portfolio selection with multi-choice aspiration levels. Inf. Sci. 2016, 345, 9–26. [Google Scholar] [CrossRef]
  26. Deng, X.; Li, R. A portfolio selection model with borrowing constraint based on possibility theory. Appl. Soft Comput. 2012, 12, 754–758. [Google Scholar] [CrossRef]
  27. Zhang, P.; Zhang, W.G. Multiperiod mean absolute deviation fuzzy portfolio selection model with risk control and cardinality constraints. Fuzzy Sets Syst. 2014, 255, 74–91. [Google Scholar] [CrossRef]
  28. Zhang, W.G.; Liu, Y.J.; Xu, W.J. A possibilistic mean-semivariance-entropy model for multi-period portfolio selection with transaction costs. Eur. J. Oper. Res. 2012, 222, 341–349. [Google Scholar] [CrossRef]
  29. Bhattacharyya, R.; Kar, S.; Majumder, D.D. Fuzzy mean–variance–skewness portfolio selection models by interval analysis. Comput. Math. Appl. 2011, 61, 126–137. [Google Scholar] [CrossRef]
  30. Mehlawat, M.K.; Kumar, A.; Yadav, S.; Chen, W. Data envelopment analysis based fuzzy multi-objective portfolio selection model involving higher moments. Inf. Sci. 2018, 460, 128–150. [Google Scholar] [CrossRef]
  31. Zhang, P. Multiperiod mean absolute deviation uncertain portfolio selection with real constraints. Soft Comput. 2019, 23, 5081–5098. [Google Scholar] [CrossRef]
  32. Atanassov, K.T. Intuitionistic fuzzy sets. Fuzzy Sets Syst. 1986, 20, 87–96. [Google Scholar] [CrossRef]
  33. Atanassov, K.; Gargov, G. Interval valued intuitionistic fuzzy sets. Fuzzy Sets Syst. 1989, 31, 343–349. [Google Scholar] [CrossRef]
  34. Chen, G.; Luo, Z.; Liao, X.; Yu, X.; Yang, L. Mean–variance–skewness fuzzy portfolio selection model based on intuitionistic fuzzy optimization. Procedia Eng. 2011, 15, 2062–2066. [Google Scholar] [CrossRef][Green Version]
  35. Deng, X.; Pan, X. The research and comparison of multi-objective portfolio based on intuitionistic fuzzy optimization. Comput. Ind. Eng. 2018, 124, 411–421. [Google Scholar] [CrossRef]
  36. Wu, J.; Gomez-Aguilar, J.F.; Taleghani, R. Portfolio optimization under the uncertain financial model. Comput. Econ. 2024, 66, 571–592. [Google Scholar] [CrossRef]
  37. Mohseny-Tonekabony, N.; Sadjadi, S.J.; Mohammadi, E.; Tamiz, M.; Jones, D.F. Robust, extended goal programming with uncertainty sets: An application to a multi-objective portfolio selection problem leveraging DEA. Ann. Oper. Res. 2025, 346, 1497–1552. [Google Scholar] [CrossRef]
  38. Kumar, A.; Yadav, S.; Gupta, P.; Mehlawat, M.K. A credibilistic multiobjective multiperiod efficient portfolio selection approach using data envelopment analysis. IEEE Trans. Eng. Manag. 2021, 70, 2334–2348. [Google Scholar] [CrossRef]
  39. Yadav, S.; Kumar, A.; Mehlawat, M.K.; Gupta, P.; Charles, V. A multi-objective sustainable financial portfolio selection approach under an intuitionistic fuzzy framework. Inf. Sci. 2023, 646, 119379. [Google Scholar] [CrossRef]
  40. Ji, R.; Lejeune, M.A.; Prasad, S.Y. Properties, formulations, and algorithms for portfolio optimization using Mean-Gini criteria. Ann. Oper. Res. 2017, 248, 305–343. [Google Scholar] [CrossRef]
  41. Jiang, Z.; Ji, R.; Chang, K.C. A machine learning integrated portfolio rebalance framework with risk-aversion adjustment. J. Risk Financ. Manag. 2020, 13, 155. [Google Scholar] [CrossRef]
  42. Lai, Y.J.; Hwang, C.L. Fuzzy Mathematical Programming. In Fuzzy Mathematical Programming; Springer: Berlin, Germany, 1992; pp. 74–186. [Google Scholar] [CrossRef]
  43. Atanassov, K.T. More on intuitionistic fuzzy sets. Fuzzy Sets Syst. 1989, 33, 37–45. [Google Scholar] [CrossRef]
  44. De, S.K.; Biswas, R.; Roy, A.R. Some operations on intuitionistic fuzzy sets. Fuzzy Sets Syst. 2000, 114, 477–484. [Google Scholar] [CrossRef]
  45. Atanassov, K.T. Intuitionistic Fuzzy Sets. In Intuitionistic Fuzzy Sets: Theory and Applications; Physica-Verlag HD: Heidelberg, Germany, 1999; pp. 1–137. [Google Scholar]
  46. Xu, Z. Intuitionistic fuzzy aggregation operators. IEEE Trans. Fuzzy Syst. 2007, 15, 1179–1187. [Google Scholar] [CrossRef]
  47. Xu, Z.; Yager, R.R. Some geometric aggregation operators based on intuitionistic fuzzy sets. Int. J. Gen. Syst. 2006, 35, 417–433. [Google Scholar] [CrossRef]
  48. Konno, H.; Yamazaki, H. Mean-absolute deviation portfolio optimization model and its applications to Tokyo stock market. Manag. Sci. 1991, 37, 519–531. [Google Scholar] [CrossRef]
Figure 1. Membership and non-membership functions of the IF expected return.
Figure 1. Membership and non-membership functions of the IF expected return.
Mathematics 13 03303 g001
Figure 2. Membership functions of the expected return rates for the P1 problem.
Figure 2. Membership functions of the expected return rates for the P1 problem.
Mathematics 13 03303 g002
Figure 3. Solutions of the P1 Problem for the M1 Model Across Different α and β Values: (a) Return values (b) Risk values.
Figure 3. Solutions of the P1 Problem for the M1 Model Across Different α and β Values: (a) Return values (b) Risk values.
Mathematics 13 03303 g003
Figure 4. Stock allocation shares in the M1 solutions for the P1 problem: (a) Solution with the lowest risk–return value; (b) Solution with the highest risk–return value.
Figure 4. Stock allocation shares in the M1 solutions for the P1 problem: (a) Solution with the lowest risk–return value; (b) Solution with the highest risk–return value.
Mathematics 13 03303 g004
Table 1. Symbols, parameters, and decision variables used in the study.
Table 1. Symbols, parameters, and decision variables used in the study.
SymbolsDescription
n Number of stocks
j Stock index j = 1 , 2 , , n
T Number of periods
t Any period within the T period t = 1 , 2 , , T
ParametersDescription
r j t The return rate of the j -th stock in period t
r j The average return rate of the j -th stock
a j t The difference between the return of the j -th stock in the t -th period and its average return over the T periods. a j t = r j t r j ,   j = 1 , 2 , , n , t = 1 , 2 , , T
u j The upper limit of the investment amount in the j -th stock
μ 0 Total investment amount
ρ Expected return rate
M 0 Large number
ρ M 0 Expected return amount
α The minimum acceptable degree of membership
β The maximum acceptable degree of non-membership
U ρ M 0 Upper bound of the confidence interval
M ρ M 0 Midpoint of the length of the confidence interval
L ρ M 0 Lower bound of the confidence interval
VariablesDescription
x j Investment share of stock j
y t Auxiliary variable
Table 2. Solutions of M1 for the P1 Problem under Different α and β Values.
Table 2. Solutions of M1 for the P1 Problem under Different α and β Values.
β = 0.0 β = 0.1 β = 0.2 β = 0.3 β = 0.4 β = 0.5
α = 0.0Return0.011150
Risk0.001818
α = 0.1Return0.0111500.008193
Risk0.0018180.001706
α = 0.2Return0.0111500.0081930.005236
Risk0.0018180.0017060.001612
α = 0.3Return0.0111500.0081930.0052360.002279
Risk0.0018180.0017060.0016120.001552
α = 0.4Return0.0111500.0081930.0052360.0052360.005236
Risk0.0018180.0017060.0016120.0016120.001612
α = 0.5Return0.0111500.0111500.0111500.0111500.0111500.011150
Risk0.0018180.0018180.0018180.0018180.0018180.001818
α = 0.6Return0.0170640.0170640.0170640.0170640.017064
Risk0.0020690.0020690.0020690.0020690.002069
α = 0.7Return0.0229790.0229790.0229790.022979
Risk0.0023330.0023330.0023330.002333
α = 0.8Return0.0288930.0288930.028893
Risk0.0026150.0026150.002615
α = 0.9Return0.0348070.034807
Risk0.0028970.002897
α = 1.0Return0.040722
Risk0.003178
Disclaimer/Publisher’s Note: The statements, opinions and data contained in all publications are solely those of the individual author(s) and contributor(s) and not of MDPI and/or the editor(s). MDPI and/or the editor(s) disclaim responsibility for any injury to people or property resulting from any ideas, methods, instructions or products referred to in the content.

Share and Cite

MDPI and ACS Style

Derya, T.; Kelce, M.G.; Atalay, K.D. Modeling Portfolio Selection Under Intuitionistic Fuzzy Environments. Mathematics 2025, 13, 3303. https://doi.org/10.3390/math13203303

AMA Style

Derya T, Kelce MG, Atalay KD. Modeling Portfolio Selection Under Intuitionistic Fuzzy Environments. Mathematics. 2025; 13(20):3303. https://doi.org/10.3390/math13203303

Chicago/Turabian Style

Derya, Tusan, Mehveş Güliz Kelce, and Kumru Didem Atalay. 2025. "Modeling Portfolio Selection Under Intuitionistic Fuzzy Environments" Mathematics 13, no. 20: 3303. https://doi.org/10.3390/math13203303

APA Style

Derya, T., Kelce, M. G., & Atalay, K. D. (2025). Modeling Portfolio Selection Under Intuitionistic Fuzzy Environments. Mathematics, 13(20), 3303. https://doi.org/10.3390/math13203303

Note that from the first issue of 2016, this journal uses article numbers instead of page numbers. See further details here.

Article Metrics

Back to TopTop