Abstract
For topology optimization problems under harmonic excitation in a frequency band, a large number of displacement and adjoint displacement vectors for different frequencies need to be computed. This leads to an unbearable computational cost, especially for large-scale problems. An effective approach, the Second-Order Arnoldi (SOAR) method, effectively solves the response and adjoint equations by projecting the original model to a reduced order model. The SOAR method generalizes the well-known Krylov subspace in a specified frequency point and can give accurate solutions for the frequencies near the specified point by using only a few basis vectors. However, for a wide frequency band, more expansion points are needed to obtain the required accuracy. This brings up the question of how many points are needed for an arbitrary frequency band. The traditional reduced order method improves the accuracy by uniformly increasing the expansion points. However, this leads to the redundancy of expansion points, as some frequency bands require more expansion points while others only need a few. In this paper, a bisection-based adaptive SOAR method (ASOAR), in which the points are added adaptively based on a local error estimation function, is developed to solve this problem. In this way, the optimal number and position of expansion points are adaptively determined, which avoids the insufficient efficiency or accuracy caused by too many or too few points in the traditional strategy where the expansion points are uniformly distributed. Compared to the SOAR, the ASOAR can deal with wide low/mid-frequency bands both for response and adjoint equations with high precision and efficiency. Numerical examples show the validation and effectiveness of the proposed method.
Keywords:
topology optimization; frequency response problem; second-order Arnoldi method; adaptive SOAR MSC:
03C98
1. Introduction
Structural vibration reduction design under the harmonic load is widely applied in engineering, such as car bodies, aerospace, etc. How to avoid the resonance phenomenon or reduce the peak amplitude has been of great concern in the design process for improving the structural dynamic performance. Topology optimization is regarded as one of the most generic types of optimization problems [1,2,3]. It is used to improve the initial designs by variation of its geometrics concerning a set of prescribed objectives and constraints and can give some new, sometimes unanticipated, design ideas to engineers [4,5,6]. Thus, topology optimization for frequency response problems has attracted researchers’ attention.
Initial research on topology optimization using the homogenization method was published in the early 1990s [7]. Then, it was extended into a density-based method [8,9], a level-set method [10,11], and an evolutionary structural optimization method [12]. Other than the widely employed dynamic compliance index, numerous physical problems, such as vibration suppression [13], guided transport of vibration energy [14], damping material layout [15], the loss of propagating waves [16], fluid-structure interaction systems [17], etc., were studied. To reduce the dependence of the initial design and avoid falling into the local optimum solution, Du and Olhoff [18,19] proposed a generalized incremental frequency method for topological design. However, this method is only efficient for minimum dynamic compliance subject to forced vibration at a prescribed frequency value. Another interesting work was presented by Ferrari et al. [20], in which the structural topology optimization aimed at maximizing the fundamental frequency of vibration is solved by solving a frequency problem.
Although the topology optimization for frequency response is widely exploited, the computational cost for the structures subject to the periodic excitation at a wide frequency band is still challenging. For a specified frequency band, it is necessary to finely discretize the band for computing the structural dynamic performance, particularly when some resonance peaks exist. The harmonic analysis state equations should be solved in all discretized frequency points, which means significant numbers of linear equations should be solved, and the computational cost may be prohibitive for large-scale problems. Moreover, for the non-self-adjoint optimization problem, the adjoint equations need to be solved, which also needs a considerable computational cost. Avoiding solving a large number of linear equations directly on the original scale is the key to reducing the computational cost of dynamic response analysis. An effective technique is to project the original problem to a simplified subspace using a reduced order model (ROM) to quickly calculate the approximate dynamic response of the structure [21]. The modal displacement method (MDM) is the first ROM applied to topology optimization, which uses the truncated modal space as an approximate subspace [22,23,24,25]. The number of modal vectors included in the subspace normally determines the accuracy. However, due to the computational cost of the eigenvalue problem, its efficiency in large-scale and high-frequency problems is limited. Yoon [26] compared the Quasi-Static Ritz Vector (QSRV) and the MDM for use in topology optimization and proved that the QSRV has better accuracy and robustness. Recently, Li [27] applied the second-order Krylov subspace method [28,29] to dynamic topology optimization and obtained computational accuracy and efficiency far superior to the QSRV and the MDM.
For the application of the second-order Krylov subspace method, the position of expansion points and the number of moments per expansion point have to be selected manually by experienced users. Increasing the number of expansion points or the number of moments may or may not reduce this error, but in any case, it will increase the state space dimension of the ROM. Furthermore, the number of basis vectors determines the number of large-scale linear equations to be solved such that the number of expansion points has a dominant impact on the computation time needed for generating the ROM. Finally, the optimal choice of these parameters requires a priori knowledge of system characteristics that could only be made available with high computational effort, comparable to the costs of simulating the full order model (FOM); that is, without order reduction. In this paper, the optimal number and position of expansion points are adaptively determined based on the bisection method and the local error evaluation function. This method reduces the human consumption and empirical dependence in the selection of expansion points. Meanwhile, the optimal expansion point distribution based on error estimation function significantly reduces the computational cost caused by redundant expansion points in the traditional strategy where the expansion points are uniformly distributed.
The rest of this paper is organized as follows. Section 2 presents the mathematical formulation of the dynamic model, and the bisection-based adaptive SOAR method is given in Section 3. Several numerical examples are presented in Section 4. Finally, this paper closes with a discussion and summary in Section 5.
2. Topology Optimization Model
This section lists the studied optimization model. Firstly, the frequency response analysis is reviewed briefly. Then, the robust formulation of the topology optimization for minimizing the frequency response is given. In the end, the sensitivity analysis is derived for using the gradient-based optimization method.
2.1. Basic Formulation of Frequency Response Analysis
For general dynamic problems, the state equation can be written in terms of the matrix form as follows:
where , and denote the global stiffness, damping, and mass matrices, respectively. and are the time-dependent displacement and force vectors. A dot denotes differentiation with respect to time and and are the velocity and acceleration vectors. Assuming the structure subjected to a time-harmonic external force and substituting the solution into Equation (1) yields the following:
where is the excitation angular frequency and i is the pure imaginary number satisfying . F represents the amplitude of a time-harmonic external input. Equation (2) is the state equation of frequency response analysis. For convenient description, it can be defined as follows:
and the state Equation (2) can be written as follows:
For structural topology optimization design under a periodic excitation at frequency band , we should discretize the band into a large number of frequency points and solve linear Equation (4) repetitively. Furthermore, the coefficient matrix in the left term of Equation (4) is frequency-dependent, we cannot decompose it in advance. This brings unbearable computational cost.
2.2. Topology Optimization Formulation
Multiple types of objective functions have been studied in previous works; readers can refer to Ref. [30] for a review of the objective functions for minimizing the vibration response of continuum structures subjected to external harmonic excitation. In this paper, the minimization of the vibrating magnitude at a line or area of a structure is studied. The reason for choosing this objective function is that it has physical meaning and it is a non-self-adjoint problem. The formulation is written as follows:
where Nf is the number of discretized frequency points in the frequency band, Ji is the quadratic sum of the displacements at a specified domain for the ith frequency point. Subscript H represents the Hermite transposition and L is a zero matrix with ones at the diagonal elements corresponding to the degrees of freedom of the node, line, or domain to be minimized. By using the robust formulation proposed by Wang et al. [31], the optimization problem is written as follows:
where is the design variable and represents the number of elements within the design domain. Superscripts d, e, and i represent the dilation, erode, and immediate fields, respectively. The volume constraint is imposed on the dilated design. Every 20 iterations, the volume fraction is updated using , so the volume of the intermediate design becomes equal to a prescribed value , where and are the volumes of the intermediate field and dilated field and is the volume of the element. In this paper, two materials are considered and the modified SIMP interpolation [32] is applied:
where and are the element stiffness matrices corresponding to the two given solid materials, while and are the element mass matrices. r and q are the penalization powers for 0–1 solutions. is the physical density computed by the following equation:
where determines the steepness of the projection. means a linear relation is modeled and with , a Heaviside function is modeled. is the filtering density, written as follows:
where and represent the density and the volume of the jth element, respectively. and are the weight function and the coordinate vector of the central point. denotes a neighborhood setting of the elements whose central point lies within the circular filtering area, denotes the 2-norm, and is the filtering radius. Following the idea as in Sigmund [33], dilated , intermediate , and eroded designs can be formulated utilizing the threshold projection with thresholds , 0.5, and , respectively.
2.3. Sensitivity Analysis
In topology optimization design, the sensitivity of the function with respect to (w.r.t.) the design variables should be derived for using the gradient-based optimization algorithm. Since the sensitivity of the volume constraint function w.r.t. the design variables are trivial, they are not given in this paper. The sensitivity of the objective function w.r.t. can be obtained based on the adjoint method as follows:
with
where is the adjoint vector which satisfies the following:
where is the complex conjugate vector of displacement . The term can be obtained by differentiating the Equations (7)–(10):
where
Compared to the state Equation (4), we can find that the adjoint Equation (13) has the same left term but with different force vectors. Therefore, it is also the main computational cost for the frequency response topology optimization design.
3. Adaptive SOAR Method
For solving the state Equation (4) and adjoint Equation (13) efficiently, especially for the problems with a wide frequency band (require substantial-frequency points), an effective method is to use the ROM to project the original model into a subspace and decrease the degrees of freedom. In this section, the Second-Order Arnoldi method (SOAR) [34] is presented first. By using a sandwich beam, we investigate the influence of the expansion points and subspace dimensions on the results. Then a bisection-based adaptive strategy for determining the used expansion points in generating the reduced basis vectors is proposed. A discussion about the proposed method to solve the adjoint equation is given at the end.
3.1. Second-Order Arnoldi Method (SOAR)
The SOAR was developed by Bai et al. [34,35] for solving a large-scale quadratic eigenvalue problem. The Krylov subspace is generalized by a sequence of vectors defined via a second-order linear homogeneous recurrence relation with coefficient matrices and an initial vector. The authors have given a comparison between the SOAR and some other common methods applied in the topology optimization. Results proved that the SOAR exhibits a superior performance, both in efficiency, stability, and convergence, than other methods. The pseudocode of the computational flowchart is given here (Algorithm 1).
| Algorithm 1 [Second-Order Arnoldi method (SOAR)] |
| Input: K, M, C Output
|
Lines 1–3 and 5–6 correspond to the second-order Krylov procedure and the for-loop in lines 7–10 is an orthogonalization procedure with respect to the vectors. The vector sequence is an auxiliary sequence. represents the inner prod of two vectors and denotes the 2-norm of a vector.
Pre-multiplying into the dynamic Equation (2), the state equation can be rewritten as follows:
with
and
The dimension of the subspace is n, which is far smaller than the model degrees of freedom (DOFs). The greatest computational cost in the SOAR is solving the linear equation to calculate basis vectors. Nevertheless, for a specified , remains unchanged and can be advanced through decomposition. Thus, generating n basis vectors is very fast even though n is large. However, too large an n will cause the reduced order model to have a substantial degree of freedom, which cannot reduce the computational cost in solving the harmonic analysis equation. Increasing the number of subspaces can decompose the problem into multiple small-dimensional problems to ensure the efficiency of frequency response analysis.
3.2. Adaptive SOAR Strategy (ASOAR)
Thus, in using this method, there are two questions that need to be solved. The first one is how to choose the expansion points and the other one is how many bases (n) are needed for an arbitrary problem. Especially in the topology optimization process, the structural topology changed for every iteration. We cannot give a reasonable strategy in advance.
In this paper, we propose a bisection-based adaptive SOAR method (ASOAR) to determine the needed expansion points. For a given frequency band and an error tolerance , the calculation flow chart (shown in Figure 1) is written as follows:
- (1)
- Let and ;
- (2)
- Apply the SOAR method at and independently. We can get two subspaces, and . Unless stated, ten basis vectors are used (n = 10) for each expansion point;
- (3)
- Choose and use the two subspaces to calculate the displacement vector and ;
- (4)
- Calculate the error tolerance:
If the error tolerance is less than , stop and output the basis vectors. Otherwise, divide the frequency band into two parts and repeat the steps above until the error tolerance is satisfied for all bands. Note that the numerator in this formulation is the infinite norm and this can ensure local precision for all nodal displacements;
- (5)
- Orthogonalization of the obtained basis vectors.
Figure 1.
The calculation flow chart of the adaptive SOAR method.
Figure 1.
The calculation flow chart of the adaptive SOAR method.

3.3. Testing of the SOAR and the ASOAR
In this section, we take a sandwich beam shown in Figure 2 as an example to study these two methods. The size of the beam is 1.2 m × 0.15 m and the left and right sides are fixed. Two materials are used in this structure: the upper and lower layers are filled with elastic material and the core is the viscoelastic material, which has a high damping ratio. The material properties of the two materials are listed in Table 1. An exciting force is applied in the middle of the upper line with a frequency band [0, 5000] Hz. Here, we discretize the frequency band into 1001 frequency points uniformly for solving the state equation.
Figure 2.
The structure used to validate the SOAR method.
Table 1.
The material properties used in the examples.
Firstly, we investigate the influence of the number of basis vectors and the position of the expansion points on the computational accuracy. Here, we choose s0 = 0, s0 = 2500, and 5000 Hz as examples, and the numbers of basis vectors n are chosen as 5, 10, 20, and 50, respectively. Figure 3 shows the frequency response curves for the FOM and the SOAR with different numbers of basis vectors and different positions of the expansion points. From these figures, we can find that, for one expansion point, only a small frequency range near the expansion point can be computed accurately.
Figure 3.
The response curves of the SOAR with different numbers of basis vectors and different positions of expansion points: (a) s0 = 0; (b) s0 = 2500; (c) s0 = 5000.
The definition of a relative error-index between the ROM and the FOM is written as follows:
The ranges that can be computed accurately (with a relative error ) for different n, when s0 is set to 0 Hz, are [0, 580] Hz, [0, 820] Hz, [0, 1050] Hz, and [0, 1200] Hz, respectively. We can find that, with the doubling of the order, the expansion of the ranges that can be computed accurately is not significant. Thus, it is uneconomical just to increase the number of basis vectors.
Inspired by the conclusions above, we tried to add more uniformly distributed expansion points (the number of the expansion points is EN) in the frequency band. Since the number of the basis vectors plays a small role in the computational accuracy, ten basis vectors are used for each point. Figure 4 shows the frequency response curves for the SOAR with EN = 3, 6, and 12 expansion points. Obviously, more expansion points will give more accurate results. The blue curve is computed by 12 expansion points and is nearly coincident with the curve obtained by the FOM. Nevertheless, we do not know how many expansion points are needed for a specified problem. Using too many expansion points will waste computational resources.
Figure 4.
The response curves of different numbers of expansion points.
For the same example described in the above subsection, we use the ASOAR proposed in this paper to solve it. = 0.01 is employed here and the ASOAR results in 12 expansion points. Figure 5 denotes the relative errors of the results obtained by the SOAR with uniform distributions of expansion points and the ASOAR. The relative error of the ASOAR is significantly lower than that of the SOAR with EN = 12 and is similar to that of the SOAR with EN = 24. This is reasonable and shows the effectiveness of the proposed method. The distributions of the expansion points in the frequency band are shown in Figure 6. Compared to the distribution of the uniform distribution, the ASOAR puts more points in frequency band [1500, 2500] Hz. This is also the reason why the accuracy of the SOAR with EN = 12 is low within this range. The time cost of different methods is shown in Table 2. It can be seen from the table that although increasing the number of expansion points can improve the accuracy, the time cost it brings also doubles. Therefore, the ASOAR proposed in this paper can effectively avoid the computational cost caused by blindly increasing the expansion points.
Figure 5.
The relative errors of the results obtained by the SOAR with uniform distributions of expansion points and the ASOAR method.
Figure 6.
The distribution of the expansion points.
Table 2.
The time cost of different methods.
4. Numerical Examples
In this section, numerical examples are shown here to verify the effectiveness of the proposed ASOAR method. The example considered in this paper is a two-dimensional beam, whose design domain and boundary conditions are shown in Figure 7. The size of the design domain is 1.2 m × 0.15 m and the left and right sides are fixed. A harmonically varying force of magnitude 1000 KN is vertically applied in the middle of the top line. Since this example is symmetric, half of the domain is used for analysis and the symmetric boundary condition is imposed. Then, 120 × 30 four-nodes bilinear square elements are used to discretize the domain and the three-element layers in the top and bottom domain are set as non-design domain, which remains elastic material in the optimization process. The volume fraction of the elastic material in the optimization model is set as . The initial values of the design variables are set to be equal to the volume fraction . The filtering radius is and the threshold is . All the optimization problems are solved using the gradient driven MMA algorithm. The convergence criterion is chosen as and the maximum iteration number is 400. The material properties used in all examples are listed in Table 1. For all examples, the code was implemented by MATLAB R2024a. The used computer has two Intel(R) Xeon(R) Gold 6126 CPU @ 2.60 GHz and the memory is 256 GB (Intel, Santa Clara, CA, USA). No parallel computing was used for all examples.
Figure 7.
Design domain and boundary conditions of the example.
4.1. Example 1: Vibration Problem in Frequency Band [0, 500] Hz
First, we consider that the frequency band of the force excitation is [0, 500] Hz and it is uniformly discretized into 251 frequency points. Thus, the state equation and adjoint equation should be solved 251 times. In this case, the force excitation is low frequency, near the first-order natural frequency, and 10 basis vectors are used for the ASOAR. The optimized results obtained by the FOM and the ASOAR are shown in Figure 8. The red part denotes the elastic material and the cyan part denotes the viscoelastic material. The optimized results obtained by the ASOAR are nearly the same as that of the FOM. The frequency curves for the initial design and the optimized designs by the FOM and the ASOAR are shown in Figure 9. Note that all the curves are computed by the FOM. Only a slight difference exists for the results obtained by the FOM and the ASOAR.
Figure 8.
The optimized designs for frequency band [0, 500] Hz: (a) FOM; (b) ASOAR.
Figure 9.
The frequency curves of the optimized result in example 1.
Figure 10 is the relative error curve of the ASOAR for the optimized result compared with the FOM. The error is lower than 1 × 10−8, which verifies the effectiveness of the ASOAR. It is worth noting that three expansion points are uniformly distributed within the frequency band, so the ASOAR has the same effect as the traditional SOAR method in this example.
Figure 10.
The relative error curve of the ASOAR for the optimized result in example 1.
The time costs and the objective values of the results are given in Table 3. The time cost in the analysis, including solving the state equation and adjoint equation, is 1.66 × 105 s for the FOM and 7.20 × 103 s for the ASOAR. The objective values of the results obtained by the FOM and the ASOAR are 6.112 × 104 and 6.126 × 104, respectively. For the result obtained by the ASOAR, we used the FOM to compute the objective value and it is also 6.126 × 104.
Table 3.
The time cost and objective values of different methods for frequency band [0, 500] Hz.
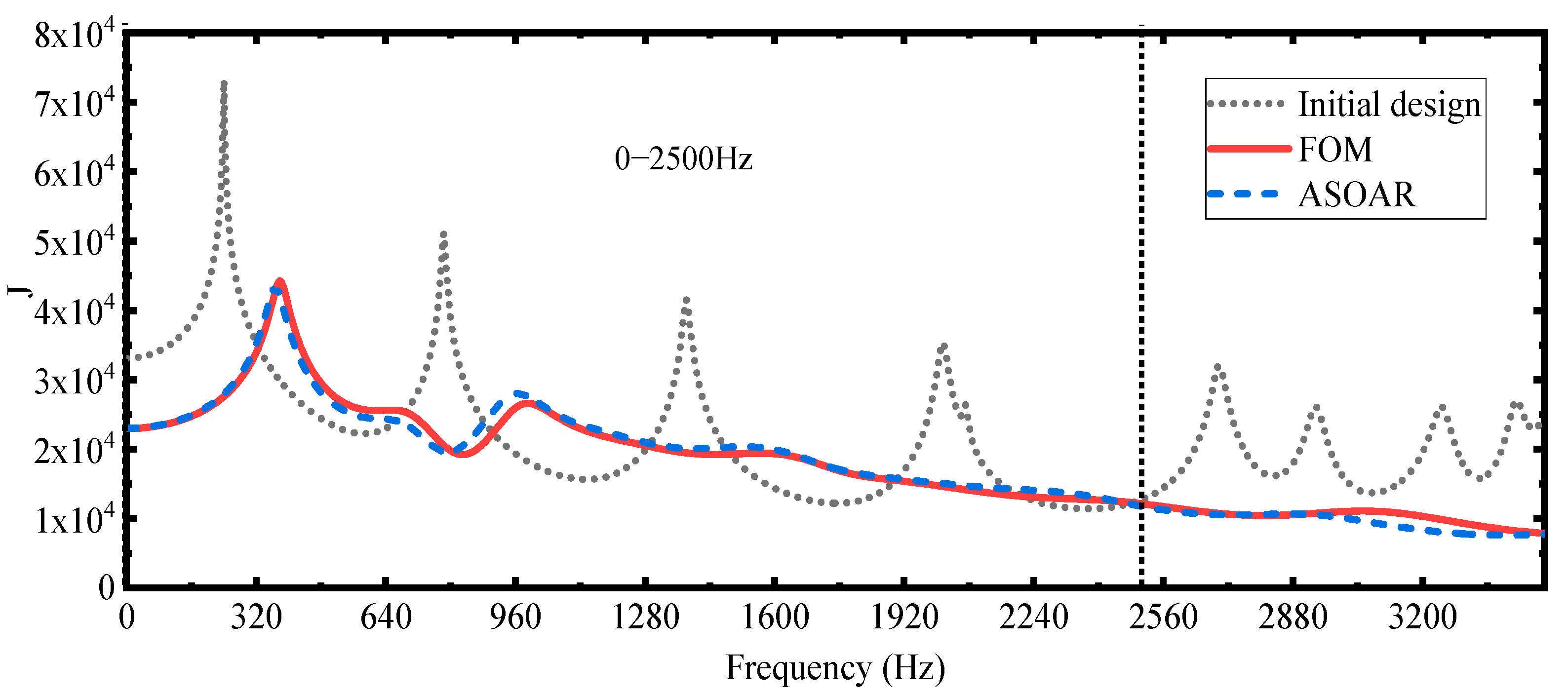
4.2. Example 2: Vibration Problem in Frequency Band [0, 2500] Hz
Then, we consider another frequency band [0, 2500] Hz, which is discretized into 1001 frequency points. The optimized results for different methods are shown in Figure 11. The first result is obtained by the FOM and used as a reference and the other results are obtained by the ASOAR (EN = 7 in the optimized result). The frequency curves for the initial design and the optimized designs obtained by the FOM and the ASOAR are shown in Figure 11. The objective values of the optimized results obtained by the FOM and ASOAR are 5.842 × 104 and 5.798 × 104, respectively. For the results obtained by the ASOAR, we used the FOM to compute the objective values and they remain unchanged. The frequency curves for the initial design and the optimized designs by the FOM and the ASOAR are shown in Figure 12.
Figure 11.
The optimized designs for frequency band [0, 2500] Hz obtained by the FOM and the ASOAR.
Figure 12.
The frequency curves of the optimized results in example 2.
To verify the effectiveness of the proposed ASOAR, the SOAR with different numbers of expansion points is used for comparison. Since the number of expansion points required in the SOAR cannot be directly determined, we solved the frequency response of the optimized design obtained by the FOM using the SOAR with EN = 7 and EN = 14. The relative error curves and the distribution of the expansion points are shown in Figure 13 and Figure 14, respectively. It can be seen from the figure that the SOAR with EN = 7 has relatively large errors in the high-frequency band. While in the ASOAR, the expansion points are concentrated in the high-frequency range, effectively reducing the error, although the number of expansion points of both is the same. The SOAR with EN = 14 increases expansion points and thereby compensates for high-frequency errors. That is to say, the ASOAR (EN = 7) produces same level of epsilon as the SOAR with EN = 14.
Figure 13.
The relative error curve of the ASOAR and the SOAR with different EN for the optimized result in example 2.
Figure 14.
The distribution of the expansion points in example 2.
Furthermore, the SOAR with EN = 7 and EN = 14 are applied to the above topology optimization design and the optimized designs are shown in Figure 15. The four optimized results are not the same but have similar topology and objective values. This is because, for the high frequency, the optimization problem is not stable. Even a tiny numerical error causes different results. The time costs and the objective values of the results are given in Table 4. The objective functions of the four schemes are similar. In terms of time costs, although the number of expansion points of the ASOAR and the SOAR with EN = 7 in the final optimization result is the same, the number of expansion points required in the early stage of optimization is less than seven, which leads to less time consumption for the ASOAR. The time-saving effects of the ASOAR with respect to the FOM and the SOAR with EN = 14 are 94.05% and 53.37%, respectively.
Figure 15.
The optimized designs for frequency band [0, 2500] Hz: (a) SOAR with EN = 7; (b) SOAR with EN = 14.
Table 4.
The time cost and objective values of different methods for frequency band [0, 2500] Hz.
5. Conclusions
Aiming at the problem of wide-band frequency response and adapting to the real-time variation of the model in the iterative process of topology optimization, this paper constructs a bisection-based adaptive strategy to add expansion points independently and successfully applies it to the SOAR, which ensures the universality of the SOAR. In this method, based on the bisection method and the local error evaluation function, the optimal position and quantity of the expansion points are adaptively and rapidly determined, which greatly reduces the computational cost caused by redundant expansion points in the traditional SOAR strategy where the expansion points are uniformly distributed. Numerical examples show that compared with the traditional SOAR, the adaptive SOAR can reduce the number of frequency expansion points and, thus, effectively decrease the computational cost of building the reduced order model.
Author Contributions
Methodology, Y.Q.; Validation, Y.Q., Y.Z. and Y.L.; Writing—original draft, Y.Q.; Writing—review & editing, Y.Z. and Y.L.; Visualization, Y.L. All authors have read and agreed to the published version of the manuscript.
Funding
This work is supported by Dreams Foundation of Jianghuai Advance Technology Center (Grant No. 2023-ZM01X005), National Natural Science Foundation of China (Grant No. 52375253 and No. 12202154) and Excellent Youth Foundation of Shandong Provincial Natural Science Foundation (Grant No. ZR2024YQ036).
Data Availability Statement
The original contributions presented in this study are included in the article. Further inquiries can be directed to the corresponding authors.
Conflicts of Interest
The authors declare no conflict of interest.
References
- Sigmund, O.; Maute, K. Topology optimization approaches. Struct. Multidiscip. Optim. 2013, 48, 1031–1055. [Google Scholar] [CrossRef]
- Guo, X.; Cheng, G.-D. Recent development in structural design and optimization. Acta Mech. Sin. 2010, 26, 807–823. [Google Scholar] [CrossRef]
- Rozvany, G.I.N. A critical review of established methods of structural topology optimization. Struct. Multidiscip. Optim. 2009, 37, 217–237. [Google Scholar] [CrossRef]
- Liu, S.; Hu, R.; Li, Q.; Zhou, P.; Dong, Z.; Kang, R. Topology optimization-based lightweight primary mirror design of a large-aperture space telescope. Appl. Opt. 2014, 53, 8318–8325. [Google Scholar] [CrossRef] [PubMed]
- Zhu, J.-H.; Zhang, W.-H.; Xia, L. Topology optimization in aircraft and aerospace structures design. Arch. Comput. Methods Eng. 2015, 23, 595–622. [Google Scholar] [CrossRef]
- Aage, N.; Andreassen, E.; Lazarov, B.S.; Sigmund, O. Giga-voxel computational morphogenesis for structural design. Nature 2017, 550, 84–86. [Google Scholar] [CrossRef]
- Ma, Z.D.; Kikuchi, N.; Hagiwara, I. Structural topology and shape optimization for a frequency response problem. Comput. Mech. 1993, 13, 157–174. [Google Scholar] [CrossRef]
- Jog, C.S. Topology design of structures subjected to periodic loading. J. Sound Vib. 2002, 253, 687–709. [Google Scholar] [CrossRef]
- Sigmund, O. A 99 line topology optimization code written in Matlab. Struct. Multidiscip. Optim. 2001, 21, 120–127. [Google Scholar] [CrossRef]
- Shu, L.; Wang, M.Y.; Fang, Z.; Ma, Z.; Wei, P. Level set based structural topology optimization for minimizing frequency response. J. Sound Vib. 2011, 330, 5820–5834. [Google Scholar] [CrossRef]
- Li, H.; Luo, Z.; Gao, L.; Wu, J. An improved parametric level set method for structural frequency response optimization problems. Adv. Eng. Softw. 2018, 126, 75–89. [Google Scholar] [CrossRef]
- Rong, J.H.; Xie, Y.M.; Yang, X.Y.; Liang, Q.Q. Topology Optimization of Structures Under Dynamic Response Constraints. J. Sound Vib. 2000, 234, 177–189. [Google Scholar] [CrossRef]
- Takezawa, A.; Daifuku, M.; Nakano, Y.; Nakagawa, K.; Yamamoto, T.; Kitamura, M. Topology optimization of damping material for reducing resonance response based on complex dynamic compliance. J. Sound Vib. 2016, 365, 230–243. [Google Scholar] [CrossRef]
- Larsen, A.A.; Laksafoss, B.; Jensen, J.S.; Sigmund, O. Topological material layout in plates for vibration suppression and wave propagation control. Struct. Multidiscip. Optim. 2009, 37, 585–594. [Google Scholar] [CrossRef]
- Kang, Z.; Zhang, X.; Jiang, S.; Cheng, G. On topology optimization of damping layer in shell structures under harmonic excitations. Struct. Multidiscip. Optim. 2012, 46, 51–67. [Google Scholar] [CrossRef]
- Andreassen, E.; Jensen, J.S. Topology optimization of periodic microstructures for enhanced dynamic properties of viscoelastic composite materials. Struct. Multidiscip. Optim. 2014, 49, 695–705. [Google Scholar] [CrossRef]
- Vicente, W.M.; Picelli, R.; Pavanello, R.; Xie, Y.M. Topology optimization of frequency responses of fluid–structure interaction systems. Finite Elem. Anal. Des. 2015, 98, 1–13. [Google Scholar] [CrossRef]
- Olhoff, N.; Du, J. Topological design for minimum dynamic compliance of structures under forced vibration. In Topology Optimization in Structural and Continuum Mechanics; Springer: Vienna, Austria, 2014; pp. 325–339. [Google Scholar]
- Olhoff, N.; Du, J. Generalized incremental frequency method for topological design of continuum structures for minimum dynamic compliance subject to forced vibration at a prescribed low or high value of the excitation frequency. Struct. Multidiscip. Optim. 2016, 54, 1113–1141. [Google Scholar] [CrossRef]
- Ferrari, F.; Lazarov, B.S.; Sigmund, O. Eigenvalue topology optimization via efficient multilevel solution of the frequency response. Int. J. Numer. Methods Eng. 2018, 115, 872–892. [Google Scholar] [CrossRef]
- Freund, R.W. Recent Advances in Structure-Preserving Model Order Reduction. In Simulation and Verification of Electronic and Biological Systems; Li, P., Silveira, L.M., Feldmann, P., Eds.; Springer: Dordrecht, The Netherlands, 2011; pp. 43–70. [Google Scholar]
- Cornwell, R.E.; Craig, R.R., Jr.; Johnson, C.P. On the application of the mode-acceleration method to structural engineering problems. Earthq. Eng. Struct. Dyn. 1983, 11, 679–688. [Google Scholar] [CrossRef]
- Zhao, X.; Wu, B.; Li, Z.; Zhong, H. A method for topology optimization of structures under harmonic excitations. Struct. Multidiscip. Optim. 2018, 58, 475–487. [Google Scholar] [CrossRef]
- Zhao, J.; Yoon, H.; Youn, B.D. An adaptive hybrid expansion method (AHEM) for efficient structural topology optimization under harmonic excitation. Struct. Multidiscip. Optim. 2020, 61, 895–921. [Google Scholar] [CrossRef]
- Liu, H.; Zhang, W.; Gao, T. A comparative study of dynamic analysis methods for structural topology optimization under harmonic force excitations. Struct. Multidiscip. Optim. 2015, 51, 1321–1333. [Google Scholar] [CrossRef]
- Yoon, G.H. Structural topology optimization for frequency response problem using model reduction schemes. Comput. Methods Appl. Mech. Eng. 2010, 199, 1744–1763. [Google Scholar] [CrossRef]
- Li, Q.; Sigmund, O.; Jensen, J.S.; Aage, N. Reduced-order methods for dynamic problems in topology optimization: A comparative study. Comput. Methods Appl. Mech. Eng. 2021, 387, 114149. [Google Scholar] [CrossRef]
- Demmel, J.W. Applied Numerical Linear Algebra; SIAM: Philadelphia, PA, USA, 1997. [Google Scholar]
- Bai, Z.; Demmel, J.; Dongarra, J.; Ruhe, A.; van der Vorst, H. Templates for the Solution of Algebraic Eigenvalue Problems: A Practical Guide; SIAM: Philadelphia, PA, USA, 2000. [Google Scholar]
- Niu, B.; He, X.; Shan, Y.; Yang, R. On objective functions of minimizing the vibration response of continuum structures subjected to external harmonic excitation. Struct. Multidiscip. Optim. 2018, 57, 2291–2307. [Google Scholar] [CrossRef]
- Wang, F.; Lazarov, B.S.; Sigmund, O. On projection methods, convergence and robust formulations in topology optimization. Struct. Multidiscip. Optim. 2011, 43, 767–784. [Google Scholar] [CrossRef]
- Bendsøe, M.P.; Sigmund, O. Material interpolation schemes in topology optimization. Arch. Appl. Mech. 1999, 69, 635–654. [Google Scholar] [CrossRef]
- Sigmund, O. Morphology-based black and white filters for topology optimization. Struct. Multidiscip. Optim. 2007, 33, 401–424. [Google Scholar] [CrossRef]
- Bai, Z.; Su, Y. SOAR: A Second-order Arnoldi Method for the Solution of the Quadratic Eigenvalue Problem. SIAM J. Matrix Anal. Appl. 2005, 26, 640–659. [Google Scholar] [CrossRef]
- Bai, Z.; Su, Y. Dimension Reduction of Large-Scale Second-Order Dynamical Systems via a Second-Order Arnoldi Method. SIAM J. Sci. Comput. 2005, 26, 1692–1709. [Google Scholar] [CrossRef]
Disclaimer/Publisher’s Note: The statements, opinions and data contained in all publications are solely those of the individual author(s) and contributor(s) and not of MDPI and/or the editor(s). MDPI and/or the editor(s) disclaim responsibility for any injury to people or property resulting from any ideas, methods, instructions or products referred to in the content. |
© 2025 by the authors. Licensee MDPI, Basel, Switzerland. This article is an open access article distributed under the terms and conditions of the Creative Commons Attribution (CC BY) license (https://creativecommons.org/licenses/by/4.0/).













