Customized Random Maintenance Policies After the Expiration of a Renewal Repair–Replacement Warranty with Random Charge
Abstract
1. Introduction
2. Renewal Warranty Policy
2.1. The Definition and Modeling of Renewal Warranty Policy
2.1.1. The Definition of Renewal Warranty Policy
- If the failure occurs within the warranty duration , a replacement action is initiated to provide a new identical product. This can be carried out in two scenarios: ① If the usage types are uncertain until the failure happens before the warranty duration , the related product is replaced with a new identical one at a cost determined by the arrival time of such a failure; and ② if complete information about usage types is obtained until the failure occurs before the warranty duration , then a new identical product is provided as a replacement at a cost based on the working time produced by mission cycles.
- The warranty will expire at the end of the warranty duration if the failure does not occur until the warranty duration .
- All failures preceding both replacements and warranty expiration are eliminated through minimal repairs, and the warranty service is renewed upon unit replacement.
2.1.2. The Modeling of the RRRW-RC
2.2. Special Case
3. Random Maintenance Policies to Manage the Post-Warranty Reliability
3.1. Customized Random Maintenance Policy A
3.1.1. The Definition of Customized Random Maintenance Policy A
- In the case where the usage type belongs to the weight type, if the first failure of the product through the RRRW-RC occurs before the end of the mission cycle or the time duration , whichever occurs first, then the related product is correctively replaced at such a failure; otherwise, the related product is preventively replaced at the end of the mission cycle or the time duration , whichever occurs first.
- In the case where the usage type belongs to the light type, if the first failure of the product through the RRRW-RC occurs before the end of the mission cycle or the time duration , whichever occurs first, then the related product is correctively replaced at such a failure; otherwise, the related product will undergo the following replacements: it is correctively replaced at the first failure after the end of the mission cycle if the first failure does not occur until the end of the mission cycle before the time duration , or it is preventively replaced at the time duration before the end of the mission cycle if the first failure does not occur until the time duration before the end of the mission cycle.
3.1.2. The Modeling of the CBRMF
3.2. Customized Random Maintenance Policy B
3.2.1. The Definition of Customized Random Maintenance Policy B
- In the case where the usage type belongs to the weight type, if the first failure of the product through the RRRW-RC occurs before the end of the mission cycle or the time duration , whichever occurs last, then the related product is correctively replaced at such a failure; otherwise, the related product is preventively replaced at the end of the mission cycle or the time duration , whichever occurs last.
- In the case where the usage type belongs to the light type, if the first failure of the product through the RRRW-RC occurs before the end of the mission cycle or the time duration , then the related product is correctively replaced at such a failure; otherwise, the related product will undergo the following replacements: it is correctively replaced at the first failure after the time duration if the first failure does not occur until the time duration after the end of the mission cycle, or it is preventively replaced at the end of the mission cycle after the time duration if the first failure does not occur until the end of the mission cycle after the time duration .
3.2.2. The Modeling of the CBRML
3.3. Analysis and Discussion
3.3.1. Analysis and Discussion of the CBARF
3.3.2. Analysis and Discussion of the CBARL
4. Numerical Investigation
4.1. Numerical Investigation of the RRRW-RC
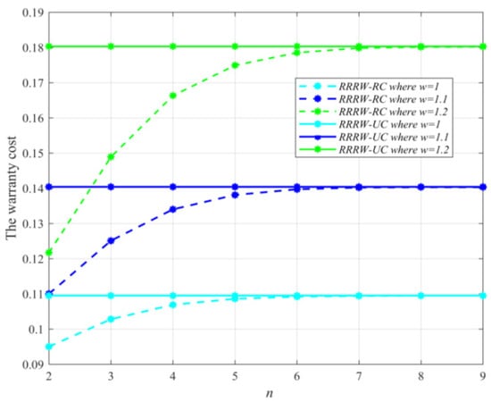
4.2. Numerical Investigation of the Proposed Random Maintenance Policies
4.2.1. Numerical Investigation of the CBARF
4.2.2. Numerical Investigation of the CBARL
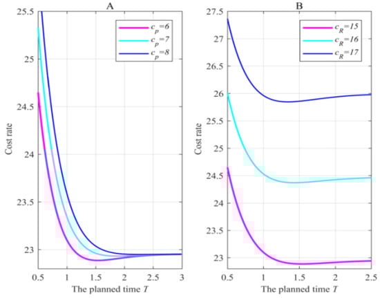
4.3. Performance Investigation of the Proposed Policies
4.3.1. Performance Investigation of the RRRW-RC
4.3.2. Performance Investigation of the CBARF and CBARL
5. Conclusions
Author Contributions
Funding
Data Availability Statement
Conflicts of Interest
References
- Ye, Z.S.; Xie, M. Stochastic modelling and analysis of degradation for highly reliable products. Appl. Stoch. Models Bus. Ind. 2015, 31, 16–32. [Google Scholar] [CrossRef]
- Qiu, Q.; Cui, L.; Dong, Q. Preventive maintenance policy of single-unit systems based on shot-noise process. Qual. Relia. Eng. Int. 2019, 35, 550–560. [Google Scholar] [CrossRef]
- Qiu, Q.; Cui, L. Gamma process based optimal mission abort policy. Reliab. Eng. Syst. Saf. 2019, 190, 106496. [Google Scholar] [CrossRef]
- Zhu, W.; Fouladirad, M.; Bérenguer, C. Condition-based maintenance policies for a combined wear and shock deterioration model with covariates. Comput. Ind. Eng. 2015, 85, 268–283. [Google Scholar] [CrossRef]
- Zhao, X.; Sun, J.; Qiu, Q.; Chen, K. Optimal inspection and mission abort policies for systems subject to degradation. Eur. J. Oper. Res. 2020, 292, 610–621. [Google Scholar] [CrossRef]
- Zhao, X.; Fan, Y.; Qiu, Q.; Chen, K. Multi-criteria mission abort policy for systems subject to two-stage degradation process. Eur. J. Oper. Res. 2021, 295, 233–245. [Google Scholar] [CrossRef]
- Zhang, S.; Zhai, Q.; Li, Y. Degradation modeling and RUL prediction with Wiener process considering measurable and unobservable external impacts. Reliab. Eng. Syst. Saf. 2023, 231, 109021. [Google Scholar] [CrossRef]
- Guo, B.; Wang, B.X.; Xie, M. A study of process monitoring based on inverse Gaussian distribution. Comput. Ind. Eng. 2014, 76, 49–59. [Google Scholar] [CrossRef]
- Xu, A.; Hu, J.; Wang, P. Degradation modeling with subpopulation heterogeneities based on the inverse Gaussian process. Appl. Math. Model. 2020, 81, 177–193. [Google Scholar] [CrossRef]
- Yang, L.; Zhao, Y.; Peng, R.; Ma, X. Opportunistic maintenance of production systems subject to random wait time and multiple control limits. J. Manuf. Syst. 2018, 47, 12–34. [Google Scholar] [CrossRef]
- Yang, L.; Chen, Y.; Ma, X.; Qiu, Q.; Peng, R. A prognosis-centered intelligent maintenance optimization framework under uncertain failure threshold. IEEE Trans. Reliab. 2024, 73, 115–130. [Google Scholar] [CrossRef]
- Yang, L.; Zhou, S.; Ma, X.; Chen, Y.; Jia, H.; Dai, W. Group machinery intelligent maintenance: Adaptive health prediction and global dynamic maintenance decision-making. Reliab. Eng. Syst. Saf. 2024, 252, 110426. [Google Scholar] [CrossRef]
- Shang, L.; Si, S.; Sun, S.; Jin, T. Optimal warranty design and post-warranty maintenance for products subject to stochastic degradation. IISE Trans. 2018, 50, 913–927. [Google Scholar] [CrossRef]
- Zhang, N.; Fouladirad, M.; Barros, A. Evaluation of the warranty cost of a product with type III stochastic dependence between components. Appl. Math. Model. 2018, 59, 39–53. [Google Scholar] [CrossRef]
- Wang, X.; Liu, B.; Zhao, X. A performance-based warranty for products subject to competing hard and soft failures. Int. J. Prod. Econ. 2021, 233, 107974. [Google Scholar] [CrossRef]
- Shang, L.; Qiu, Q.; Wu, C.; Du, Y. Random replacement policies to sustain the post-warranty reliability. J. Qual. Maint. Eng. 2023, 29, 481–508. [Google Scholar] [CrossRef]
- Shang, L.; Qiu, Q.; Wang, X. Random periodic replacement models after the expiry of 2D-warranty. Comput. Ind. Eng. 2022, 164, 107885. [Google Scholar] [CrossRef]
- Shang, L.; Liu, B.; Qiu, Q.; Yang, L. Three-dimensional warranty and post-warranty maintenance of products with monitored mission cycles. Reliab. Eng. Syst. Saf. 2023, 239, 109506. [Google Scholar] [CrossRef]
- Yeh, R.H.; Ho, W.-T.; Tseng, S.-T. Optimal production run length for products sold with warranty. Eur. J. Oper. Res. 2000, 120, 575–582. [Google Scholar] [CrossRef]
- Chen, C.K.; Lo, C.C.; Weng, T.C. Optimal production run length and warranty period for an imperfect production system under selling price dependent on warranty period. Eur. J. Oper. Res. 2017, 259, 401–412. [Google Scholar] [CrossRef]
- Ye, Z.; Murthy, D.N.P.; Xie, M.; Tang, L. Optimal burn-in for repairable products sold with a two-dimensional warranty. IIE Trans. 2013, 45, 164–176. [Google Scholar] [CrossRef]
- Huang, Y.-S.; Huang, C.-D.; Ho, J.-W. A customized two-dimensional extended warranty with preventive maintenance. Eur. J. Oper. Res. 2017, 257, 971–978. [Google Scholar] [CrossRef]
- Su, P.; Jiang, W.; Wei, L.; Wang, X.L. A new cost-sharing preventive maintenance program under two-dimensional warranty. Int. J. Prod. Econ. 2022, 254, 108580. [Google Scholar]
- Wang, Y.; Liu, Y.; Liu, Z.; Li, X. On reliability improvement program for second-hand products sold with a two-dimensional warranty. Reliab. Eng. Syst. Saf. 2017, 167, 452–463. [Google Scholar] [CrossRef]
- Wang, X.; Zhao, X.; Liu, B. Design and pricing of extended warranty menus based on the multinomial logit choice model. Eur. J. Oper. Res. 2020, 287, 237–250. [Google Scholar] [CrossRef]
- Liu, B.; Wu, J.; Xie, M. Cost analysis for multi-component system with failure interaction under renewing free-replacement warranty. Eur. J. Oper. Res. 2015, 243, 874–882. [Google Scholar] [CrossRef]
- Park, M.; Jung, K.M.; Park, D.H. Optimal maintenance strategy under renewable warranty with repair time threshold. Appl. Math. Model. 2017, 43, 498–508. [Google Scholar] [CrossRef]
- Shang, L.; Liu, B.; Cai, Z.; Wu, C. Random maintenance policies for sustaining the reliability of the product through 2D-warranty. Appl. Math. Model. 2022, 111, 363–383. [Google Scholar] [CrossRef]
- Shang, L.; Liu, B.; Qiu, Q.; Yang, L.; Du, Y. Designing warranty and maintenance policies for products subject to random working cycles. Reliab. Eng. Syst. Saf. 2023, 234, 109187. [Google Scholar] [CrossRef]
- Park, M.; Pham, H. Cost models for age replacement policies and block replacement policies under warranty. Appl. Math. Model. 2016, 40, 5689–5702. [Google Scholar] [CrossRef]
- Liu, P.; Wang, G. Generalized non-renewing replacement warranty policy and an age-based post-warranty maintenance strategy. Eur. J. Oper. Res. 2023, 311, 567–580. [Google Scholar] [CrossRef]
- Shang, L.; Si, S.; Cai, Z. Optimal maintenance–replacement policy of products with competing failures after expiry of the warranty. Comput. Ind. Eng. 2016, 98, 68–77. [Google Scholar] [CrossRef]
- Qiao, P.; Shen, J.; Zhang, F.; Ma, Y. Optimal warranty policy for repairable products with a three-dimensional renewable combination warranty. Comput. Ind. Eng. 2022, 168, 108056. [Google Scholar] [CrossRef]
- Karar, A.N.; Labib, A.; Jones, D. Post-warranty maintenance strategy selection using shape packages process. Int. J. Prod. Econ. 2023, 255, 108702. [Google Scholar] [CrossRef]
- Lim, J.H.; Park, D.H.; Kim, D.K. Optimal post-warranty replacement policy based on number of product failures for the second-hand product. Proc. Inst. Mech. Eng. Part O J. Risk Reliab. 2023, 238, 995–1008. [Google Scholar] [CrossRef]
- Qiao, P.; Luo, M.; Ma, Y.; Jabbar, A. Optimal warranty option and post-warranty maintenance strategy under a warranty menu: From a consumer perspective. Int. J. Prod. Res. 2023, 62, 1586–1608. [Google Scholar] [CrossRef]
- Zheng, R.; Zhang, Y.; Gu, L. Optimal post-warranty maintenance contracts for wind turbines considering availability. Int. J. Green Energy 2020, 17, 373–381. [Google Scholar] [CrossRef]
- Shang, L.; Liu, B.; Gao, K.; Yang, L. Random Warranty and Replacement Models Customizing from the Perspective of Heterogeneity. Mathematics 2023, 11, 3330. [Google Scholar] [CrossRef]
- Wang, J.; Qiu, Q.; Wang, H.; Lin, C. Optimal condition-based preventive maintenance policy for balanced systems. Reliab. Eng. Syst. Saf. 2021, 211, 107606. [Google Scholar] [CrossRef]
- Wang, J.; Zhou, S.; Peng, R.; Qiu, Q.; Yang, L. An inspection-based replacement planning in consideration of state-driven imperfect inspections. Reliab. Eng. Syst. Saf. 2023, 232, 109064. [Google Scholar] [CrossRef]
- Wang, J.; Longyan, T.; Ma, X.; Gao, K.; Jia, H.; Yang, L. Prognosis-driven reliability analysis and replacement policy optimization for two-phase continuous degradation. Reliab. Eng. Syst. Saf. 2023, 230, 108909. [Google Scholar] [CrossRef]
- Peng, R.; He, X.; Zhong, C.; Kou, G.; Xiao, H. Preventive maintenance for heterogeneous parallel systems with two failure modes. Reliab. Eng. Syst. Saf. 2022, 220, 108310. [Google Scholar] [CrossRef]
- Peng, R.; Liu, B.; Zhai, Q.; Wang, W. Optimal maintenance strategy for systems with two failure modes. Reliab. Eng. Syst. Saf. 2019, 188, 624–632. [Google Scholar] [CrossRef]
- Yang, L.; Chen, Y.; Ma, X. A State-age-dependent Opportunistic Intelligent Maintenance Framework for Wind Turbines Under Dynamic Wind Conditions. IEEE Trans. Ind. Inform. 2023, 19, 10434–10443. [Google Scholar] [CrossRef]
- Qiu, Q.; Cui, L.; Gao, H. Availability and maintenance modelling for systems subject to multiple failure modes. Comput. Ind. Eng. 2017, 108, 192–198. [Google Scholar] [CrossRef]
- Qiu, Q.; Cui, L.; Shen, J.; Yang, L. Optimal maintenance policy considering maintenance errors for systems operating under performance-based contracts. Comput. Ind. Eng. 2017, 112, 147–155. [Google Scholar] [CrossRef]
- Qiu, Q.; Cui, L.; Shen, J. Availability and maintenance modeling for systems subject to dependent hard and soft failures. Appl. Stoch. Models Bus. Ind. 2018, 34, 513–527. [Google Scholar] [CrossRef]
- Qiu, Q.; Cui, L.; Kong, D. Availability and maintenance modeling for a two-component system with dependent failures over a finite time horizon. Proc. Inst. Mech. Eng. Part O J. Risk Reliab. 2018, 233, 200–210. [Google Scholar] [CrossRef]
- Qiu, Q.; Cui, L. Availability analysis for general repairable systems with repair time threshold. Commun. Stat.-Theory Methods 2019, 48, 628–647. [Google Scholar] [CrossRef]
- Qiu, Q.; Cui, L.; Shen, J. Availability analysis and maintenance modelling for inspected Markov systems with down time threshold. Qual. Technol. Quant. Manag. 2019, 16, 478–495. [Google Scholar] [CrossRef]
- Qiu, Q.; Cui, L.; Kong, D. Availability analysis and optimal inspection policy for systems with neglected down time. Commun. Stat.—Theory Methods 2019, 48, 2787–2809. [Google Scholar] [CrossRef]
- Qiu, Q.; Cui, L. Availability analysis for periodically inspected systems subject to multiple failure modes. Int. J. Syst. Sci. Oper. Logist. 2019, 6, 258–271. [Google Scholar] [CrossRef]
- Qiu, Q.; Cui, L. Optimal mission abort policy for systems subject to random shocks based on virtual age process. Reliab. Eng. Syst. Saf. 2019, 189, 11–20. [Google Scholar] [CrossRef]
- Qiu, Q.; Liu, B.; Lin, C.; Wang, J. Availability analysis and maintenance optimization for multiple failure mode systems considering imperfect repair. Proc. Inst. Mech. Eng. Part O J. Risk Reliab. 2021, 235, 982–997. [Google Scholar] [CrossRef]
- Qiu, Q.; Kou, M.; Chen, K.; Deng, Q.; Kang, F.; Lin, C. Optimal stopping problems for mission oriented systems considering time redundancy. Reliab. Eng. Syst. Saf. 2020, 205, 107226. [Google Scholar] [CrossRef]
- Zhao, X.; Chai, X.; Cao, S.; Qiu, Q. Dynamic loading and condition-based maintenance policies for multi-state systems with periodic inspection. Reliab. Eng. Syst. Saf. 2023, 240, 109586. [Google Scholar] [CrossRef]
- Yang, L.; Wei, F.; Qiu, Q. Mission risk control via joint optimization of sampling and abort decisions. Risk Anal. 2024, 44, 666–685. [Google Scholar] [CrossRef]
- Barlow 2023, R.E.; Proschan, F. Mathematical Theory of Reliability; John Wiley & Sons: Hoboken, NJ, USA, 1965. [Google Scholar]






| w | m = 2 | m = 3 | m = 4 | m = 5 | m = 6 | m = 7 | m = 8 |
|---|---|---|---|---|---|---|---|
| WC | WC | WC | WC | WC | WC | WC | |
| 1.8 | 0.3078 | 0.2143 | 0.2538 | 0.2779 | 0.2862 | 0.2884 | 0.2889 |
| 1.9 | 0.2677 | 0.1888 | 0.2600 | 0.3021 | 0.3179 | 0.3226 | 0.3237 |
| 2 | 0.0398 | 0.0454 | 0.2949 | 0.3312 | 0.3773 | 0.3936 | 0.3984 |
| w | n = 3 | n = 4 | n = 5 | |||
|---|---|---|---|---|---|---|
| T* | ECRf(1,T*) | T* | ECRf(1,T*) | T* | ECRf(1,T*) | |
| 1 | 1.1458 | 33.9726 | 1.0918 | 39.5310 | 1.0714 | 43.0715 |
| 1.5 | 1.1298 | 26.3312 | 1.0079 | 29.1817 | 0.9437 | 31.7205 |
| 2 | 0.7982 | 12.6212 | 0.6824 | 13.1442 | 0.6160 | 13.6593 |
| w | n = 1 | n = 2 | n = 3 | |||
|---|---|---|---|---|---|---|
| T* | ECRl(1,T*) | T* | ECRl(1,T*) | T* | ECRl(1,T*) | |
| 0.5 | 5.2095 | 17.1286 | 5.2102 | 17.1307 | 5.2108 | 17.1323 |
| 0.7 | 5.7386 | 19.3158 | 5.7407 | 19.3220 | 5.7431 | 19.3294 |
| 1 | 6.4146 | 22.2439 | 6.4187 | 22.2562 | 6.4279 | 22.2837 |
| w | m = 3 | m = 4 | m = 5 | |||
|---|---|---|---|---|---|---|
| T* | ECRf(1,T*) | T* | ECRf(1,T*) | T* | ECRf(1,T*) | |
| 0.2 | 4.4483 | 13.9450 | 4.4483 | 13.9450 | 4.4483 | 13.9450 |
| 0.5 | 5.2148 | 17.1443 | 5.2149 | 17.1447 | 5.2149 | 17.1447 |
| 0.8 | 6.0609 | 20.5828 | 6.0659 | 20.5976 | 6.0662 | 20.5985 |
Disclaimer/Publisher’s Note: The statements, opinions and data contained in all publications are solely those of the individual author(s) and contributor(s) and not of MDPI and/or the editor(s). MDPI and/or the editor(s) disclaim responsibility for any injury to people or property resulting from any ideas, methods, instructions or products referred to in the content. |
© 2024 by the authors. Licensee MDPI, Basel, Switzerland. This article is an open access article distributed under the terms and conditions of the Creative Commons Attribution (CC BY) license (https://creativecommons.org/licenses/by/4.0/).
Share and Cite
Zhao, L.; Shang, L.; Liu, B. Customized Random Maintenance Policies After the Expiration of a Renewal Repair–Replacement Warranty with Random Charge. Mathematics 2025, 13, 70. https://doi.org/10.3390/math13010070
Zhao L, Shang L, Liu B. Customized Random Maintenance Policies After the Expiration of a Renewal Repair–Replacement Warranty with Random Charge. Mathematics. 2025; 13(1):70. https://doi.org/10.3390/math13010070
Chicago/Turabian StyleZhao, Lin, Lijun Shang, and Baoliang Liu. 2025. "Customized Random Maintenance Policies After the Expiration of a Renewal Repair–Replacement Warranty with Random Charge" Mathematics 13, no. 1: 70. https://doi.org/10.3390/math13010070
APA StyleZhao, L., Shang, L., & Liu, B. (2025). Customized Random Maintenance Policies After the Expiration of a Renewal Repair–Replacement Warranty with Random Charge. Mathematics, 13(1), 70. https://doi.org/10.3390/math13010070
