Abstract
Host–parasitoid systems are an essential area of research in ecology and evolutionary biology due to their widespread occurrence in nature and significant impact on species evolution, population dynamics, and ecosystem stability. In such systems, the host is the organism being attacked by the parasitoid, while the parasitoid depends on the host to complete its life cycle. This paper investigates the effect of parasitoid aggregation attacks on a host in a host–parasitoid model with self-diffusion on two-dimensional coupled map lattices. We assume that in the simulation of biological populations on a plane, the interactions between individuals follow periodic boundary conditions. The primary objective is to analyze the complex dynamics of the host–parasitoid interaction model induced by an aggregation effect and diffusion in a discrete setting. Using the aggregation coefficient k as the bifurcating parameter and applying central manifold and normal form analysis, it has been shown that the system is capable of Neimark–Sacker and flip bifurcations even without diffusion. Furthermore, with the influence of diffusion, the system exhibits pure Turing instability, Neimark–Sacker–Turing instability, and Flip–Turing instability. The numerical simulation section explores the path from bifurcation to chaos through calculations of the maximum Lyapunov exponent and the construction of a bifurcation diagram. The interconversion between different Turing instabilities is simulated by adjusting the timestep and self-diffusion coefficient values, which is based on pattern dynamics in ecological modeling. This contributes to a deeper understanding of the dynamic behaviors driven by aggregation effects in the host–parasitoid model.
Keywords:
Neimark–Sacker bifurcation; Turing instability; flip bifurcation; chaos; Flip–Turing instability; aggregation effect; Neimark–Sacker–Turing instability MSC:
34C23; 35K57
1. Introduction
Studying host–parasitoid interactions helps with understanding important ecological phenomena such as population fluctuations, species diversity, and ecosystem balance [1,2,3].
Nicholson and Bailey proposed a model for host–parasitoid dynamics in the 1930s, describing population changes in discrete time steps. According to Hassell’s research [4], parasites infecting metazoan species (multicellular animals) constitute 10% or more, and few insect species [5] can evade parasite attacks. Thus, studying host–parasite interactions is key to understanding species’ diversity mechanisms. The discrete generational host–parasite models generally take the following form:
where and represent the populations of hosts and parasites at time t. Host growth is density-dependent with intrinsic rate r and carrying capacity K. The function defines the probability of hosts escaping parasites. Ecologists define in various forms to reflect parasitic behaviors and host–parasite encounter patterns. For more details, see [4,6,7,8].
This model focuses on discrete generational population interactions in host–parasitoid systems. The Nicholson–Bailey model suggests that host–parasite populations exhibit unstable coupled oscillations, which can be disrupted by disturbances. Ecologists have refined this model to study parasite impacts and propose various functional response functions.
Many studies in the literature have explored models featuring various forms of , examining different factors influencing population dynamics. Beddington et al. [9] investigate how search efficiency impacts population dynamics, while Xu et al. [10] suggest that inter-population interference both stabilizes and destabilizes these dynamics significantly. Kaitala et al. [11,12] utilize similar methodologies to analyze the effects of Holling II and Holling III functional responses on population dynamics. These studies extensively research the intricate dynamics of interspecies interactions governed by different functional response functions. However, they overlook the phenomenon of clustering in parasitic attacks on hosts, which is common in nature. According to Parasitoid et al. [13], and summarized by Walde et al. [14], studies indicate that the migration and diffusion abilities of parasitic wasps are closely tied to their foraging and attacking behaviors toward hosts. Li et al. [15] focus on the spatial structure of populations, examining how predator pursuit (PP) and prey evasion (PE) influence the synchrony of predator–prey aggregate population models. It suggests that PP and PE do not reduce spatial chaos but instead enhance stability. In parasitoid–host models, PP corresponds to attacks by parasitoids on hosts. This study builds upon these findings and uses computer simulations to investigate models where parasitoid attacks on hosts exhibit clustering effects [16,17]. The model featuring an aggregation effect function takes the following form:
where represents the search efficiency of parasites, and k denotes the aggregation index. A smaller k indicates that parasites’ attacks on hosts are more clustered. The aggregation effect model primarily describes how parasites exhibit clustering in their attacks on hosts. This model focuses on portraying the behavior of parasites attacking hosts and does not explore spatial structure. The smaller the k, the more concentrated the parasite’s attack on the host.
To analyze this, we introduced diffusion terms to the model (2), i.e., with self-diffusion, which can be described as follows:
where , and K, r, , and k are positive constants. The self-diffusion coefficients and are also positive. For further details on the model, refer to [4,6,7,8].
The reaction–diffusion model encapsulates the interplay between diffusion and reaction processes. It can be represented in two primary forms: continuous models governed by partial differential equations [18,19,20,21,22,23,24,25,26,27], and discrete models governed by difference equations [28,29,30,31,32]. These systems are sensitive to small perturbations, though their behaviors differ significantly. In continuous models, perturbations tend to propagate smoothly, while in discrete models, they can accumulate, leading to abrupt changes or disruptions in steady states due to factors like boundary effects or threshold mechanisms.
Discrete systems, in particular, are more prone to phenomena such as flip bifurcations or Turing instability, which do not appear in continuous systems. As a result, chaotic dynamics are more commonly observed in discrete systems. Moreover, discrete dynamical models are often better suited for applications where the underlying data are inherently discrete, such as in host–parasite interactions [33,34], predator–prey models with refuges [35,36,37], and simulations of neural networks [38].
Space–time discrete models of reaction–diffusion can be regarded as a distinct class of Coupled Map Lattice (CML) frameworks. These models are composed of two fundamental mechanisms: the diffusion mechanism, responsible for the interaction between neighboring lattice sites, and the reaction mechanism, which establishes the transformations at each site. These models effectively capture the coupling between the reaction and diffusion dynamics. Compared to partial differential equations, CML models offer the advantage of faster computational speed, which has led to significant interest and contributions from researchers [28,39,40]. In recent decades, the study of coupled map lattice models has emerged as a prominent focus within nonlinear dynamics research.
In this study, we utilize the innovative Coupled Map Lattice method introduced by Mistro et al. [41,42,43] to analyze the discrete dynamical properties of the system. This approach involves diffusion first, which is followed by reaction:
- By discretizing the model, we enhance the simulation of discrete event systems, such as the discrete-time firing of neurons, leading to a more precise representation of dynamic behavior.
- Coupled map lattices are an effective tool for investigating how diffusion and reaction processes interact. This method provides insights into how the diffusion of signals can influence repetitive behaviors observed in biological systems, such as the coordinated firing of neurons or the propagation of waves through interconnected regions. Moreover, they enable the simulation of individual elements or cells positioned in different spatial locations, which is crucial for understanding complex interactions within biological tissues or groups of organisms.
- The approach that emphasizes the diffusion process over the reaction phase focuses on the flow of signals across a system before considering the system’s internal responses. This strategy is particularly useful for modeling how information travels and how feedback loops operate in biological networks, offering a clearer understanding of the overall dynamics of the system.
To conclude, this methodology introduces innovative strategies for investigating spatial patterns and the influences of coupling, offering fresh perspectives on the mechanisms underlying the emergence, sustenance, and regulation of biological oscillations.
The manuscript is organized as follows: Section 2 delves into the discretization of the model, incorporating self-diffusion and refining its reaction–diffusion framework by enabling diffusion to precede the reaction phase. This adjustment leads to the derivation of a time–space discrete model (9), which is expressed via coupled map lattices. Section 2.1 investigates the system (2) in the absence of diffusion. It formulates the conditions required for the existence of equilibrium points, as detailed in (3), and provides an examination of the system’s asymptotic stability.
In Section 3.1 and Section 3.2, the paper determines the criteria for Neimark–Sacker bifurcation and derives its canonical form. Section 3.3 analyzes the flip bifurcation and derives its corresponding normal form. Section 3.4 investigates the spatial nonuniformity of the system and explores the conditions under which pure Turing instability, Neimark–Sacker–Turing instability, and Flip–Turing instability materialize.
Section 4.1 presents computational experiments based on the theoretical framework. Section 4.1 examines the Neimark–Sacker and flip bifurcations, computes the maximal Lyapunov exponent, and provides a bifurcation diagram illustrating the transition from bifurcation to chaotic behavior. In Section 4.2, we modify key parameters to explore the transitions between six distinct states: pure Turing instability, a stable spatially homogeneous stationary state, a spatially homogeneous periodic oscillatory state under Neimark–Sacker instability, Neimark–Sacker–Turing instability, a spatially homogeneous period-doubling oscillatory state under flip instability, and Flip–Turing instability.
Finally, Section 5 offers a comprehensive summary of the paper.
The study of the impact of changes in the aggregation effect parameter k on the long-term dynamics of a system is crucial for understanding various ecological and biological processes. In particular, considering the impact of the aggregation effect on the interaction between plant growth and its self-toxicity provides an important theoretical basis for describing the changes in plant biomass and its spatial expansion. Moreover, the aggregation effect parameter plays a significant role in the negative feedback mechanisms between plants and soil, especially when forming spatial wave patterns, which can reveal the nonlinear characteristics of wave propagation processes and their influence on ecosystem stability. Furthermore, changes in the aggregation effect also critically affect the dynamic stability of host–parasite interactions in insect systems, revealing the transition between equilibrium and instability under different ecological parameters. Taken together, systematically studying the changes in the aggregation effect parameter not only deepens our understanding of spatial dynamics in various biological systems but also provides essential numerical analysis and theoretical support for ecology, population dynamics, and biological mathematical modeling.
2. Construction of the Host–Parasite Model Based on Coupled Map Lattices
In this section of this paper, we will assert and prove some properties of model (3), where we will add parameter as a small positive parameter. Based on the findings presented in the literature [16,17,44], the reaction–diffusion processes outlined in (5) and (6) can be derived.
2.1. Properties in the Absence of Diffusion
The phenomenon of diffusion is very common, and we will consider system (3). In this case, the meaning of each parameter is equal to system (3).
Diffusion is absent when the discrete Laplacian operator becomes null, which corresponds to the coefficient pair in Equation (3). In the case of no diffusion, we will focus on the modified system (2). To conclude, the following assumptions hold:
We will show that the system (2) has at most three equilibrium points and at least two equilibrium points. We will denote the three possible or necessarily occurring equilibrium points in Table 1.
Table 1.
The different cases of equilibrium points.
It is evident that system (2) possesses a trivial equilibrium point and a boundary equilibrium point , and we will prove the following theorem:
Theorem 1.
If elements in are all positive and those in are non-negative, then conditions for the emergence of a non-negative equilibrium point in the absence of diffusion is related to .
We denote the only positive equilibrium point of the system (2) as :
- 1.
- When , coincides with , this means that the numbers of the host ultimately could converge to K and numbers of the parasite ultimately converge to zero.
- 2.
- When , exists and satisfiesThis means that the numbers of the host ultimately could converge to and the numbers of the parasite ultimately converge to .
- 3.
- When , disappears, this means that the system (2) will NOT possess a positive equilibrium point.
and the proof of Theorem 1 is provided in Appendix A.
2.2. Properties During Diffusion
Even though the effects of diffusion might be minimal, chaotic processes are highly sensitive to small perturbations, which can amplify the influence of diffusion significantly. Moreover, in most chemical reactions, the diffusion process typically completes before the reaction itself occurs. Based on this, we adopt the periodic boundary conditions (8) in our model, which are inspired by the novel framework proposed by Mistro, Rodrigues, Punithan et al. [41,42,43].
- First, diffusion occurs:
- Second, reaction occurs:
To study the phenomenon of diffusion, moderate assumptions are essential and necessary, as follows:
- The system occurs in coupled map lattices and there are central valid cells.
- Coefficients in system (2) are positive. Otherwise, the system will be meaningless [44].
- The discrete Laplacian is taken as follows:
- Periodic boundary conditions are defined as follows (given positive integer m):
Based on the periodic boundary conditions (8), we set up the system’s iterative simulation such that diffusion (5) occurs first, which is followed by the occurrence of the reaction (6).
Then, we find the following:
- When there is no diffusion, corresponding to coefficient in system (3), the evolution of each cell is completely identical as long as the initial values are the same.So, we choose random initial values that ranges from 0 to K in the absence of diffusion.It is clear that both and are equilibrium points of system (2).
- When considering diffusion, we still take random initial values that range from 0 to K
- This system (9) can denote the evolution process of each cell that at position .
Given that and that are integers, let h represent the time step in system (9). Moreover, and are the self-diffusion coefficients, while and denote the population sizes of the host and parasite, respectively, at generation t. The parameters and k are all positive constants.
3. Analysis of the Discrete Dynamic Properties of Our Model
3.1. Stability Conditions in the Absence of Diffusion
Therefore, we focus our research and analysis on every possible non-negative equilibrium point . In the following section, represent the three possible equilibrium points.
The Jacobian matrix of system (2) at the equilibrium point is given by
Then, we found:
Let ; then, we have
From which, we regard the trace and det as a function of k and obtained the expression of the characteristic root of system (2) as the following:
where .
With (13) and the Jury stability criterion, system (2) is stable at the origin if and only if the following condition holds:
To investigate the stability analysis of the equilibrium point of system (2), we present the following lemma. By utilizing the connections between the coefficients and roots of a quadratic equation [45], one can readily derive the following results.
Theorem 2.
System (2) is asymptotically stable at positive equilibrium point if and only if (14) holds.
Theorem 3.
For positive equilibrium point ,
- 1.
- IfThen, , , and the corresponding equilibrium point is a sink.
- 2.
- IfThen, , or , , and the corresponding equilibrium point is a saddle point.
- 3.
- IfThen, , , and the corresponding equilibrium point is a source.
- 4.
- IfThen, and is a pair of conjugate complex roots, and the corresponding equilibrium point is a sink.
3.2. Bifurcation Condition of Neimark–Sacker
The Neimark–Sacker bifurcation is a frequently encountered phenomenon in non-proportional dynamical systems, indicating the onset of cyclic steady oscillations over specific ranges of system parameters. Such a bifurcation plays a key role in modeling biological rhythms, including circadian rhythms and other periodic behaviors. In the realm of neurology, this bifurcation is typically correlated with the periodic firing activity of neurons, which originates from the alternating sequences of excitatory and inhibitory processes, eventually leading to the generation of periodic neural firing. For instance, neuronal interactions can produce regular electrical activity that may be described by the Neimark–Sacker bifurcation, which is a critical phenomenon for understanding physiological processes like sleep cycles and cardiac rhythms.
In the framework of the system described by (2), the manifestation of the Neimark–Sacker bifurcation is contingent on the presence of a pair of complex conjugate roots, each having a magnitude of one, within the characteristic Equation (12). In order to investigate this bifurcation, we designate the discretization step size k as the control parameter. By examining the Jacobian matrix (12), the calculation of its eigenvalues can be performed in the following manner:
In the following description, and represent the numbers of hosts and parasites at the equilibrium point of the system. Similarly, the symbol represents a value of k at which the system undergoes various bifurcations as k changes. In fact, the biological meaning of k is to measure the degree of aggregation effect. Therefore, can be biologically interpreted as the critical aggregation effect value at which the system undergoes bifurcation.
Without loss of generality, we denote parameter k as any possible bifurcation parameter from where we define as follows, and we rewrite as .
Lemma 1.
A Neimark–Sacker bifurcation occurs when the following conditions (conditions (1) and (20)) are satisfied:
(i.e., system (2) has the complex conjugate eigenvalues of modulus one) and satisfied the condition below.
Given the conditions outlined in (1) and (20), the dynamic model described by (2) will experience a Neimark–Sacker bifurcation when , provided that the transversality criterion (20) is satisfied.
In the subsequent steps, we carry out the determination of the normal form for the system defined by (2). This is accomplished by utilizing the multivariable Taylor expansion around the point , defining new variables such that and , and performing some algebraic manipulations. The system in (2) can thus be expressed as
and the coefficients of of Equation (21) are provided in Appendix B.
Let
Ignoring the high term , Equation (21) can be written as
Then, we rewrite the eigenvalues as complex numbers:
In the calculations later in this section, with k satisfying conditions in (1), we apply the following transformation to :
then we have
where
As referenced in [46], a Neimark–Sacker bifurcation occurred at the point in the system, which is required to fulfill the subsequent conditions:
where
The derivatives of F and G of all orders are evaluated at the point , i.e., at the point .
In conclusion, we can obtain Theorem 4.
Theorem 4.
If conditions (1), (14), (20) and (28) hold, the system (2) will undergo a Neimark–Sacker bifurcation at if k satisfying (1). In addition, when ρ is less than zero, the Neimark–Sacker bifurcation becomes supercritical and generates a stable periodic oscillation.
3.3. Bifurcation Condition of Flip
A noteworthy event observed in nonlinear dynamics is the Flip bifurcation, which is commonly linked to oscillations with a period of 2. Within particular neural networks, it holds a vital function in producing distinct physiological cycles and aiding the transfer of information. Let us examine the subsequent criteria:
let satisfy and , which means that
At this point, we consider as a new variable, and the system (2) can be rewritten as
and the coefficients of Equation (31) are provided in Appendix C. then
Ignoring the high term , we then apply the following transformation:
then we have
So, we obtained
where
where
We have
By comparing the coefficients of the quadratic terms, we obtain as follows
Theorem 5.
For a Flip bifurcation to take place, it is necessary that both and are nonzero.
3.4. Turing Instability Analysis of the Model
If a dynamical system remains stable in the absence of diffusion but becomes unstable due to diffusion in an inhomogeneous medium, this effect is referred to as Turing instability. Turing instability, in neuroscience, refers to the destabilization of neural activity or synaptic signals within networks, often resulting in irregular signal transmission. This disruption can profoundly impair cognitive and motor functions, including movement coordination, perception, and learning.
In Theorem 3, we derive the condition for the occurrence of the positive equilibrium point. In Theorems 2, 4, and 5, we analyze the conditions for the occurrence of different bifurcations in the absence of diffusion.
Now, consider a spatial inhomogeneous state that is characterized by the fact that in (3) will not happen always.
First and foremost, we consider Equation (40)
with the periodic boundary conditions (8). According to [47,48], we let . Substitute this into Equation (40); then, we obtain
From periodic boundary conditions (8) we obtain , which can be written as
where l,s and . We put (42) into (41) to handle the mathematical expression for these eigenvalues of (40) as follows
Let us define its eigenfunction to be . Systems (9), (2) can be represented as
Where and remain unchanged as in (21) and (32). In the vicinity of the corresponding equilibrium point , the terms can be ignored when the perturbation is small, yielding the following linear system:
We take the product of with respect to the system (45) and sum over all the .
Let = . Under periodic boundary conditions (8), the system can be formulated as
Let
It can be observed that this represents the solution of the system (45). Consequently, the stability of the solutions to both system (45) and system (47) are interconnected. In the next analysis, this paper will focus on examining the condition of instability for system (45) by Equation (47). The corresponding characteristic equation of system (47) can be written as
where
The eigenvalues are given by
If there exist integers such that and , meaning that there is at least one characteristic root whose magnitude exceeds 1, then system (47) will be unstable. We define
From this, the following theorem can be derived.
4. Numerical Approach Based on Coupled Map Lattices
4.1. Case Without Diffusion Effects
In this section, we perform numerical simulations of the system in (9), varying the parameter k in accordance with the theoretical results presented in Section 2. The maximum Lyapunov exponent (MLE) is computed to elucidate the route to chaos induced by each bifurcation.
We present several properties of the system to facilitate our theoretical analysis and numerical simulations.
- The system (9) is locally asymptotically stable at equilibrium () when the parameters satisfy condition (2).
- The system (9) is never asymptotically stable at unless by Jury Condition (14), but r cannot be less than zero. However, and may still converge to 0 for some parameters (see Table 2(1) and Figure 1).
Figure 1. When , , , , the system (2) does not satisfy (2), but it still converges. This figure presents a special case of the theory: although the relevant theorem is not satisfied, both populations, and , tend to zero due to the inherent properties of the system. - For parameters in Table 2(2),(3), satisfying condition (14), the system is locally asymptotically stable at , as shown in Figure 2 and Figure 3.
Figure 2. We chose another set of parameters, under which the system tends to the corresponding positive equilibrium point. When , , , , the system (2) is locally asymptotically stable at the equilibrium point .
Figure 3. By moderately reducing the parameter k to strengthen the aggregation effect, the system tends to the equilibrium to a greater extent. When , , , , the system (2) is locally asymptotically stable at the equilibrium point . - For parameters in Table 2(4),(5), satisfying condition (14), the system is locally asymptotically stable at , as shown in Figure 4 and Figure 5.
Figure 4. We chose another set of parameters, under which the system tends to the corresponding positive equilibrium point. When , , , , the system (2) is locally asymptotically stable at the equilibrium point . However, this tendency is monotonically changing.
Figure 5. We chose another set of parameters, under which the system tends to the corresponding positive equilibrium point. When , , , , the system (2) is locally asymptotically stable at the equilibrium point . However, this tendency is NOT monotonically changing.
Now, we proceed to study the Neimark–Sacker bifurcation and Flip bifurcation step by step according to Theorems 4 and 5.
- We analyze the Neimark–Sacker bifurcation for the system (2), examining the conditions under which this bifurcation occurs at (), based on Theorem 4.
- (a)
- (b)
- By varying k and setting other parameters from Table 3, we plot the Neimark–Sacker bifurcation diagrams in Figure 6, Figure 7, Figure 8 and Figure 9. When , MLE < 0, indicating stable periodic oscillation. For , MLE > 0, suggesting the onset of chaos.
Figure 6. When , , , , the system (2) undergoes a supercritical Neimark–Sacker bifurcation at . This indicates that the numbers of hosts and parasites exhibit a stable periodic cycle.
Figure 7. When , , , , the system (2) undergoes a supercritical Neimark–Sacker bifurcation at . This indicates that the numbers of hosts and parasites exhibit a stable periodic cycle.
Figure 8. When , , , , the system (2) undergoes a supercritical Neimark–Sacker bifurcation at . This indicates that the numbers of hosts and parasites exhibit a stable periodic cycle.
Figure 9. When , , , , the system (2) undergoes a supercritical Neimark–Sacker bifurcation at . This indicates that the numbers of hosts and parasites exhibit a stable periodic cycle. - (c)
- To further explore this, we vary k around (from 0 to 5) and compute the maximum Lyapunov exponent (MLE), as shown in Figure 10.
Figure 10. The image of MLE about k, where , , , and the value of k from 0 to 5. This means that in system (2), as the parameter k gradually approaches the critical value , the system becomes increasingly sensitive to this behavior.
- Next, we study the Flip bifurcation using Theorem 5 to identify the parameter values that lead to this bifurcation and examine its effect on the system dynamics.
- (a)
- To investigate this further, we vary k from 0 to 2 near and compute the MLE, as shown in Figure 15. We also plot the Flip bifurcation diagram in Figure 11, Figure 12, Figure 13, Figure 14 and Figure 15.
Figure 11. When , , , , the system (2) undergoes a Flip bifurcation at .
Figure 12. When , , , , the system (2) undergoes a Flip bifurcation at .
Figure 13. When , , , , the system (2) undergoes a Flip bifurcation at .
Figure 14. When , , , , the system (2) undergoes a Flip bifurcation at .
Figure 15. The image of MLE about k, where , , , and the value of k ranges from 0 to 5. - (b)
- For , , , and , we have , , which satisfy (5) and , . The system undergoes a Flip bifurcation at , showing stable period-doubling oscillations (see Figure 15).
- (c)
- When , MLE < 0, indicating stable periodic oscillations. For k significantly less than (e.g., ), MLE becomes positive, suggesting the system’s stable oscillations degrade into chaos.
The following table represents several sets of parameters for numerically simulated cases that exhibit asymptotic stability.
The following Table 3 represents several sets of parameters for numerically simulated cases that exhibit the Neimark–Sacker bifurcation.
The following Table 4 represents several sets of parameters for numerically simulated cases that exhibit the Flip bifurcation.
The number of hosts or parasites in all the images gradually changes from red (1, 0, 0) to blue (0, 0, 1) over time, following a linear progression.
The following figures show that as the parameter k increases, the Neimark–Sacker bifurcation becomes more pronounced, and the aggregation effect, which strengthens the system’s behavior at the equilibrium point, is disrupted.
4.2. Numerical Analysis in Inhomogeneous Spatial Regimes
In this section, we undertake a series of computational experiments on the dynamical systems described by the expressions in (2) and (9), as outlined in Theorem 6. For each system under investigation, a unique set of parameters is chosen, and the initial conditions are determined by generating random matrices for the system’s state variables. To model realistic physical systems, periodic boundary conditions, as outlined in (8), are applied consistently throughout the simulations. In the subsequent analysis, we progressively adjust the parameters to investigate the emergence of the Turing, Neimark–Sacker–Turing, and Flip–Turing bifurcations, as thoroughly analyzed in Theorem 6.
In the Table 5 below, we present the Mmax of the system under various parameters. The system parameters we address are asymptotic stability Figure 16, NS branch Figure 17, and Flip branch Figure 18.
Figure 16.
The parameter partion map of with respect to and k, according to the data in Table 5(1), where the proportion of the chosen in several sets of ascending orders of is 0.5. The critical value of k is 0.0870, where the given in part (c) is 0.5263631. Subfigure (a) represents the variation of with coordinates i and j, while subigure (b) shows the projection of Figure (a) from top to bottom.
Figure 17.
Theparameter partion map of with respect to and k, according to the data in Table 5(2), where the proportion of the chosen in several sets of ascending orders of is 0.1. The critical value of is 0.350, where the given k in part (c) is 1.69457142. Subfigure (a) represents the variation of with coordinates i and j, while subigure (b) shows the projection of Figure (a) from top to bottom.
Figure 18.
The parameter partion map of with respect to and k, according to the data in Table 5(3), where the proportion of the chosen in several sets of ascending orders of is 0.1. The critical value of is 0.424, where the given k in part (c) is 0.574081632. Subfigure (a) represents the variation of with coordinates i and j, while subigure (b) shows the projection of Figure (a) from top to bottom.
By performing numerical simulations, we obtain the three-dimensional diagram of with respect to and k according to the data in Table 5, as shown in Figure 16, Figure 17 and Figure 18.
In the following, we continuouly vary the values of and h according to the data in Table 5.
- The parameters and k are assigned the values provided in Table 5(1), which enables us to create a three-dimensional plot of as a function of and k, as illustrated in Figure 16a. By projecting onto the two-dimensional plane spanned by and k, we generate Figure 16c.In the presented diagram, state I characterizes a pure Turing instability, where the criterion specified in (14) is fulfilled and . Conversely, state II denotes a stable, spatially uniform stationary state, where the condition in (14) is still valid, but . By equating k to its corresponding value , we construct the parameter distribution map of as a function of , as illustrated in Figure 16b, where . State III pertains to a spatially homogeneous, periodic oscillatory regime triggered by Neimark–Sacker bifurcation, where the conditions described in (1), (14), (20), and (28) are simultaneously satisfied, with and . Finally, states IV, V, and VI are defined analogously, as described in previous sections.
- We define the parameters K, r, a, and k according to the values listed in Table 5(1), and we subsequently generate the three-dimensional plot of as a function of and k, as shown in Figure 17a. By projecting onto the two-dimensional plane spanned by and k, we obtain Figure 17c.In this plot, state I corresponds to a pure Turing instability, where the criterion in (14) is satisfied and , whereas state II indicates a stable, spatially homogeneous stationary state, where the condition in (14) holds, but . By setting k to the corresponding value , we produce the parameter distribution map of as a function of , which is displayed in Figure 17b. In this context, . State III refers to a spatially uniform periodic oscillatory state under Neimark–Sacker instability, where the conditions specified in (1), (14), (20), and (28) are simultaneously met, with and . Finally, states IV, V, and VI are defined in a manner similar to the aforementioned states.
- We assign the parameters K, r, a, and k according to the values in Table 5(1) and then derive the three-dimensional representation of with respect to and k, as illustrated in Figure 18a. Projecting onto the plane defined by and k, we produce Figure 18c.In this illustration, state I signifies a pure Turing instability, where the criterion in (14) holds true and , whereas state II represents a stable, spatially invariant stationary state, where the criterion in (14) is valid, but . By assigning k to its corresponding value of , we construct the distribution map of the parameter in relation to , as depicted in Figure 18b. In this case, . State III corresponds to a spatially invariant periodic oscillatory regime under Neimark–Sacker instability, where the conditions in (1), (14), (20), and (28) are all met, with and . Lastly, states IV, V, and VI are defined as previously outlined.
The three Figure 19, Figure 20 and Figure 21 show the specific parameters. In the subsequent section, we will progressively modify the values of , based on the data in Table 6, Table 7 and Table 8, to induce a smooth transition across states I to VI. We numerically model the system Equations (2) and (9) on a computational platform for various parameter configurations, as illustrated in Figure 22, Figure 23, Figure 24, Figure 25, Figure 26, Figure 27, Figure 28, Figure 29, Figure 30, Figure 31, Figure 32, Figure 33, Figure 34, Figure 35, Figure 36, Figure 37, Figure 38, Figure 39, Figure 40, Figure 41, Figure 42, Figure 43, Figure 44, Figure 45, Figure 46, Figure 47, Figure 48, Figure 49, Figure 50, Figure 51, Figure 52, Figure 53, Figure 54, Figure 55, Figure 56, Figure 57, Figure 58, Figure 59, Figure 60 and Figure 61.
Figure 19.
The plot of as a function of the plane is shown with the parameter values used in cases (a–d) listed in Table 6(1)–(4).
Figure 20.
The plot of as a function of the plane is shown with the parameter values used in cases (a–d) listed in Table 7(1)–(4).
Figure 21.
The plot of as a function of the plane is shown with the parameter values used in cases (a–d) listed in Table 8(1)–(4).
Figure 28.
The system in (3) and (9) leads to a spatially homogeneous period-doubling oscillatory state, and the values of the parameters are given in Table 6(4), where k is 1 to 500, 1 to 10,000, and 1 to 50,000, respectively. Subfigures (a–f) represent the population of organisms at the corresponding times.
Figure 30.
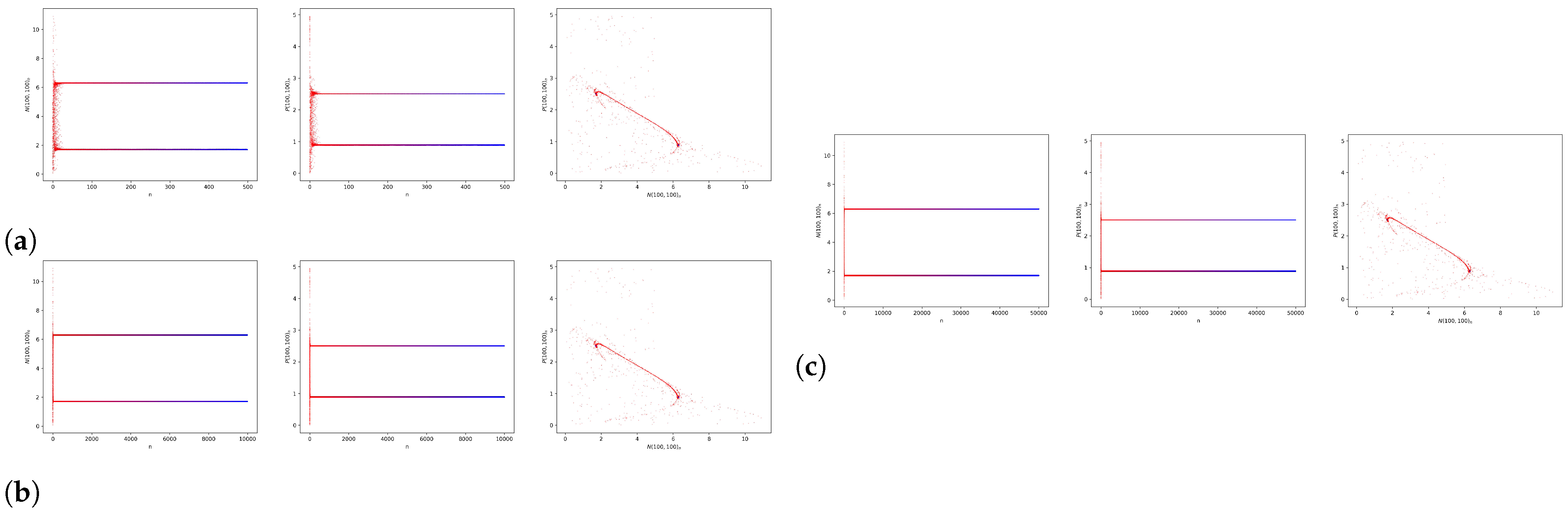
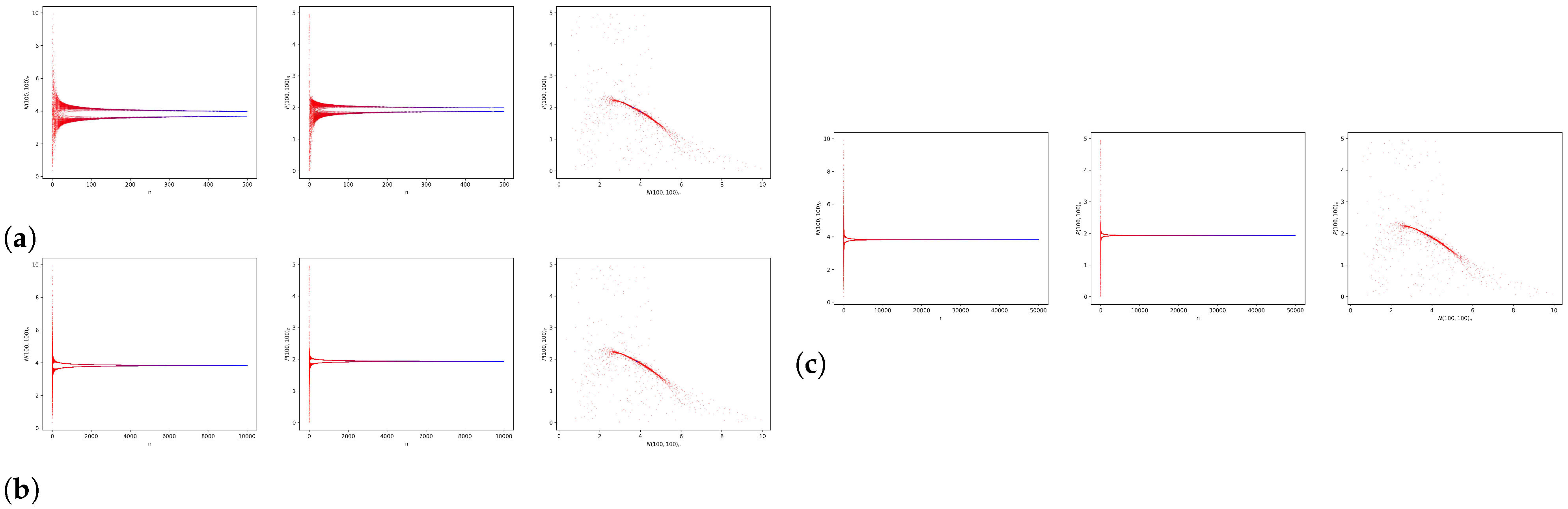
The system in (3) and (9) exhibits a stable spatially homogeneous steady state, and the parameter values are provided in Table 7(1), where k ranges from 1 to 500, 1 to 10,000, and 1 to 50,000, respectively. Subfigures (a–f) represent the population of organisms at the corresponding times.
Figure 32.
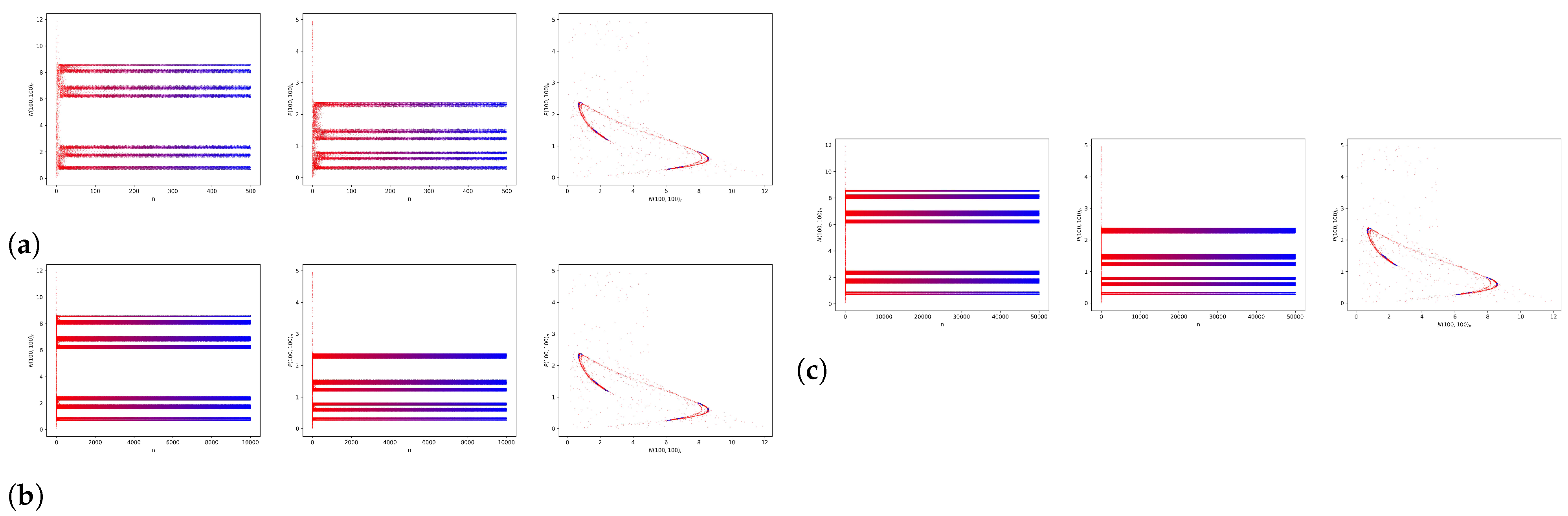
The system in (3) and (9) leads to spatially homogeneous period oscillatory states under Neimark–Sacker instability, and the values of the parameter are given in Table 7(2), where k is 1 to 500, 1 to 10,000, and 1 to 50,000, respectively. Subfigures (a–f) represent the population of organisms at the corresponding times.
Figure 33.
(a–c) are images of , with respect to n, and their phase diagrams, where k is 1 to 500, 1 to 10,000, and 1 to 50,000, respectively. The system in (3) and (9) leads to spatially homogeneous period oscillatory states under Neimark–Sacker instability, and the values of the parameter are given in Table 7(2).
Figure 34.
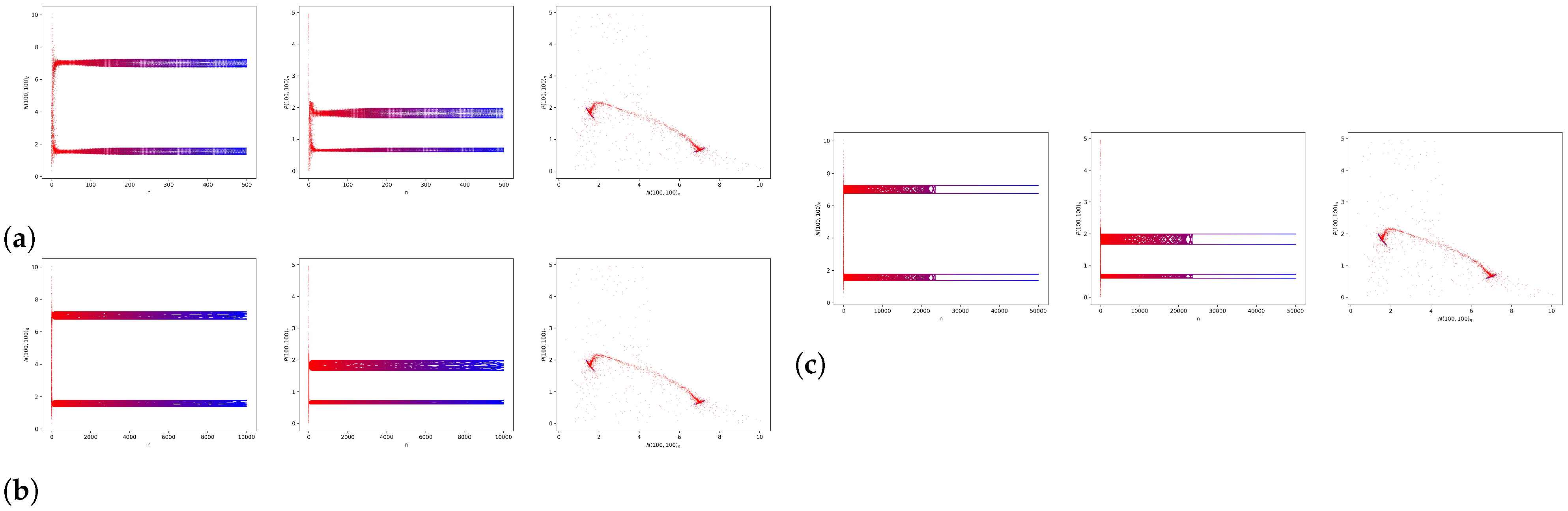
The system in (3) and (9) leads to spatially homogeneous period oscillatory states under Neimark–Sacker instability, and the values of the parameter are given in Table 7(3), where k is 1 to 500, 1 to 10,000, and 1 to 50,000, respectively. Subfigures (a–f) represent the population of organisms at the corresponding times.
Figure 35.
(a–c) are images of , with respect to n, and their phase diagrams, where k is 1 to 500, 1 to 10,000, and 1 to 50,000, respectively. The system in (3) and (9) leads to spatially homogeneous period oscillatory states under Neimark–Sacker instability, and the values of the parameter are given in Table 7(3).
Figure 38.
The system described by (3) and (9) exhibits a spatially uniform period-doubling oscillatory regime under the influence of Flip instability. The parameter values are detailed in Table 8(1), where k ranges from 1 to 500, 1 to 10,000, and 1 to 50,000, respectively. Subfigures (a–f) represent the population of organisms at the corresponding times.
Figure 39.
(a–c) are images of , with respect to n, and their phase diagrams, where k is 1 to 500, 1 to 10,000, and 1 to 50,000, respectively. The system (3) and (9) leads to a spatially homogeneous period-doubling oscillatory state under Flip instability, and the values of the parameter are given in Table 8(1).
Figure 45.
Panels (a–c) depict the representations of , as functions of n along with their corresponding phase diagrams. The parameter values are specified in Table 8(4), where k spans from 1 to 500, 1 to 10,000, and 1 to 50,000, respectively. The system defined by (3) and (9) corresponds to a stable, spatially uniform, stationary state.
Figure 46.
Visual representations of in both two-dimensional and three-dimensional spaces as a function of n, where n corresponds to the index of the graph. The plots of six consecutive time steps indicate that the system described by (3) and (9) exhibits stable, spatially homogeneous steady-state behavior. The parameter values are provided in Table 7(1). The periodicity is not readily observable due to the tendency of the data to reach a stable equilibrium.
Figure 47.
Visualization of in both two-dimensional and three-dimensional domains as a function of n, where n denotes the corresponding graph index. The plots for six successive time steps reveal that the system governed by (3) and (9) maintains a stable, spatially homogeneous steady-state configuration. The parameter values are provided in Table 7(2). Furthermore, the system demonstrates a distinct periodic oscillation.
Figure 48.
Depictions of in both two-dimensional and three-dimensional spaces as a function of n, where n represents the respective index of the graph. The visualizations across six consecutive time steps indicate that the system described by (3) and (9) maintains a stable, spatially uniform steady state. The specific parameter values are provided in Table 7(3). Additionally, the system demonstrates a distinct periodic oscillation.
Figure 49.
Visualizations of in both two-dimensional and three-dimensional spaces as a function of n, where n corresponds to the index of each plot. The representations across six consecutive time steps illustrate that the system governed by (3) and (9) achieves a stable, spatially homogeneous equilibrium state. The specific values of the parameters are provided in Table 7(4).
Figure 50.
Visual representations of within both two-dimensional and three-dimensional spaces as a function of n, where n denotes the index corresponding to each graph. The plots across six consecutive temporal steps demonstrate that the system described by (3) and (9) stabilizes in a spatially homogeneous equilibrium state. The parameter values utilized in the simulations are listed in Table 8(1). Although the system retains periodic behavior, a discernible trend toward increasing complexity and chaotic dynamics is observed.
Figure 51.
Visualizations of in both two-dimensional and three-dimensional spaces as a function of n, where n corresponds to the index of each plot. The representations over six successive temporal intervals illustrate that the system described by (3) and (9) reaches a stable, spatially homogeneous steady-state configuration. The parameter values utilized in the simulations are listed in Table 8(2).
Figure 52.
Visualizations of in both two-dimensional and three-dimensional spaces as a function of n, where n represents the corresponding index of each plot. The set of six consecutive temporal snapshots demonstrates that the system described by (3) and (9) reaches a stable, spatially homogeneous, and steady-state configuration. The specific values of the system parameters are detailed in Table 8(3). Additionally, the system displays a distinct periodic oscillation.
Figure 53.
Visual representations of in both two-dimensional and three-dimensional spaces as a function of n, where n denotes the corresponding index of each plot. The series of six consecutive temporal intervals illustrate that the system described by (3) and (9) attains a stable, spatially uniform, and stationary state. The parameter values are provided in Table 8(4). Furthermore, the system demonstrates distinct periodic oscillations.
- As the corresponding visuals of and are nearly indistinguishable, we present only the pertinent visuals of in Figure 22, Figure 24, Figure 26, Figure 28, Figure 30, Figure 32, Figure 34, Figure 36, Figure 38, Figure 40, Figure 42, Figure 44, Figure 46, Figure 47, Figure 48, Figure 49, Figure 50, Figure 51, Figure 52, Figure 53, Figure 54, Figure 55, Figure 56, Figure 57, Figure 58, Figure 59, Figure 60 and Figure 61.
- As stated previously, every m parameter in this segment is assigned a value of 100.
- Moreover, to streamline the expression of the eigenvalues , we focus solely on .
We determine parameters based on the information in Table 6(1)–(4), at which point condition (2) is fulfilled. We adjust the value of to make k close to the bifurcation threshold at or identical to . For the subsequent scenarios (1)–(4), the value of k is selected to be near . This selection clarifies why all four scenarios initially demonstrate the characteristic of asymptotic stability, as depicted in Figure 22, Figure 23, Figure 24, Figure 25, Figure 26, Figure 27, Figure 28 and Figure 29.
To summarize the above four cases, we observe the following dynamics.
In Figure 22, Figure 23, Figure 24, Figure 25, Figure 26 and Figure 27, the system in Equations (2) and (9) exhibits pure Turing instability. As the parameter k increases, changes from 0.520911 to 1.44959. The system in Equations (2) and (9) is then attracted toward the spatially homogeneous period-doubling oscillatory state; see Figure 28 and Figure 29.
Next, we set parameters according to the data in Table 7 and consider parameter k ranges . For Figure 22, Figure 23, Figure 24, Figure 25, Figure 26, Figure 27, Figure 28 and Figure 29, the condition (2) is satisfied. When , the conditions in (2) are all met.
To summarize the above four cases, we observe the following dynamics. In Figure 30, Figure 31, Figure 32, Figure 33, Figure 34, Figure 35, Figure 36 and Figure 37, the system in Equations (2) and (9) exhibits Neimark–Sacker bifurcation. As the parameter k increases, changes from to . The system in Equations (2) and (9) is then attracted toward the Neimark–Sacker instability and Neimark–Sacker–Turing instability.
Next, we set parameters according to the data in Table 7 and consider parameter k ranges . For Figure 30, Figure 31, Figure 32, Figure 33, Figure 34, Figure 35, Figure 36 and Figure 37, the condition (4) is satisfied. When , the conditions (1), (14), (20) and (28) are all met.
Based on the data provided in Table 7, we vary the value of that is close to the Neimark–Sacker bifurcation point at or equal to . For the following cases (1)–(4), the value of k is chosen to be around . This selection clarifies why all four scenarios initially display periodic oscillatory behavior, as illustrated in Figure 30, Figure 31, Figure 32, Figure 33, Figure 34, Figure 35, Figure 36 and Figure 37. The specifics are outlined as follows.
- Case (1).
- The system converges toward a stable equilibrium located at (1.7925659832520295, 1.295645621249685), as depicted in Figure 30 and Figure 31, and it exhibits a trend where over an extended temporal progression, the oscillatory amplitude undergoes a gradual attenuation, ultimately converging toward a negligible value. This progression triggers the formation of a spatially invariant period-doubling oscillation characterized by a continuously diminishing amplitude, as demonstrated in Figure 46. In the final phase, the system evolves into a spatially uniform, steady-state configuration.
- Case (2).
- This configuration is analogous to scenario (1), except that scenario (2) fails to demonstrate a tendency toward alternative stable states or dynamic oscillatory behaviors, as illustrated in Figure 32 and Figure 33. Instead, it persists in its original period-doubling oscillatory pattern indefinitely, transforming into a spatially uniform period-doubling oscillation exhibiting invariant amplitude, as shown in Figure 47. Over prolonged temporal intervals, a homogeneous period-doubling oscillatory regime, distinguished by Flip instability, is ultimately realized.
- Case (3).
- This specific scenario exhibits parallels to case (2) although with a heightened parameter k. The onset of the period-doubling oscillation continues persistently, progressively resulting in the emergence of a spatially homogeneous period-doubling oscillation characterized by a stable yet amplified amplitude, as depicted in Figure 34 and Figure 35. Ultimately, a spatially invariant period-doubling oscillatory state is established, as illustrated in Figure 48.
- Case (4).
- A quintessential manifestation of Turing instability is observed, as illustrated in Figure 36 and Figure 37. Initially, the system exhibits a period-doubling oscillation that converges toward the attractor. After a defined period, the equilibrium state undergoes a loss of stability, prompting the system’s transition to a period-doubling oscillatory mode with a notably amplified amplitude. Each spatial location within the domain experiences period-doubling oscillations, culminating in the emergence of chaotic dynamics, as demonstrated in Figure 49.
We consider the case that parameters are set according to the data in Table 8. For parameter k, the conditions in Theorem 5, and are all met.
To summarize, we observe the following dynamics: In Figure 38, Figure 39, Figure 40, Figure 41, Figure 42, Figure 43, Figure 44 and Figure 45, the system Equations (2) and (9) exhibits Turing bifurcation. As k increases, changes from USD 0.981 to USD 1.005. The system is attracted toward Turing and Neimark–Sacker–Turing instability.
Next, we set parameters from Table 8 with . For Figure 38, Figure 39, Figure 40, Figure 41, Figure 42, Figure 43, Figure 44 and Figure 45, the condition (5) is satisfied, and at , all conditions in (5) hold.
With reference to the dataset presented in Table 8, a value of k is selected that either approximates the flip bifurcation threshold or precisely coincides with . For scenarios (1)–(4), the chosen k-value is set to a value near .
This selection explains why all four cases initially exhibit period-doubling oscillatory behavior, as shown in Figure 38, Figure 39, Figure 40, Figure 41, Figure 42, Figure 43, Figure 44 and Figure 45. However, the system ultimately exhibits different behaviors due to subtle differences in the parameters of each case. The details are provided below:
- Case (1).
- Case (2).
- Case (3).
- Case (4).
The diffusion and reaction processes are observed using data from Table 7 and Table 8. Initial values of for and are set at the center with zero elsewhere. This setup enables the observation of self-diffusion and reaction dynamics as described by (2) and (9) on a 2D plane.
The simulation results in Figure 54, Figure 55, Figure 56, Figure 57, Figure 58, Figure 59, Figure 60 and Figure 61 confirm that periodic boundary conditions and appropriate initial values reproduce the phenomena observed in previous studies. This validates the transformations between the six corresponding states and supports the role of spatial inhomogeneity in enabling these state changes.
A succinct summary of the principal material presented in Section 4.1 is outlined as follows:
- In the simulation of the system in the absence of diffusion, we investigate the asymptotic stability (Figure 1, Figure 2, Figure 3, Figure 4 and Figure 5), NS bifurcation (Figure 6, Figure 7, Figure 8 and Figure 9), and Flip bifurcation (Figure 11, Figure 12, Figure 13 and Figure 14). The trajectories from these bifurcations leading to chaotic behavior are elucidated through the computation of the maximal Lyapunov exponent and graphical representations of both the Neimark–Sacker bifurcation and the Flip bifurcation (Figure 10 and Figure 15).
- In the numerical modeling of the system subjected to spatially heterogeneous conditions, we delineate the system’s progression through multiple distinct phases: pure Turing instability (Figure 22, Figure 23, Figure 24, Figure 25, Figure 26, Figure 27, Figure 36 and Figure 37), Neimark–Sacker–Turing instability (Figure 40 and Figure 41), spatially homogeneous period-doubling oscillatory state (Figure 28 and Figure 29), spatially homogeneous period-doubling oscillatory state under Flip instability (Figure 38 and Figure 39), spatially homogeneous oscillatory state (Figure 42 and Figure 43), stable spatially homogeneous stationary state (Figure 30, Figure 31, Figure 44 and Figure 45), and spatially homogeneous period oscillatory states under Neimark–Sacker instability (Figure 32, Figure 33, Figure 34 and Figure 35), which are achieved by adjusting the values of and bifurcation parameter k.
5. Summary
In this section, we numerically approximate a discontinuous model (1) incorporating self-diffusion and enhance the reaction–diffusion framework by modifying the sequence of events such that diffusion precedes the reaction. The ecological relevance of this study is rooted in the widespread application of the model to quantify the interactions between hosts and parasitoids, where self-diffusion serves as a proxy for the interaction dynamics between these entities. By decoupling self-diffusion from the reactive process, we achieve a more accurate representation of this signaling interaction, thereby advancing our comprehension of the intricate dynamics governing host–parasitoid systems.
In the absence of diffusion, we derive conditions for the following phenomena:
- Asymptotic stability, as detailed in Theorem 2.
- Neimark–Sacker bifurcation, as described in Theorem 4.
- Flip bifurcation, as defined in Theorem 5.
Additionally, we establish the standard representation for the two bifurcations in question.
For spatially inhomogeneous systems, we formulate the conditions for the onset of pure Turing instability, Neimark–Sacker–Turing instability, and Flip–Turing instability (Theorem 5). Following this, numerical simulations are performed to validate the four previously derived theorems. The maximal Lyapunov exponent is computed (Figure 10 and Figure 15), and bifurcation diagrams are constructed (Figure 16, Figure 17, Figure 18, Figure 19, Figure 20 and Figure 21) to clarify the transition from bifurcation to chaotic dynamics.
By varying the parameters k and , this study investigates the emergence of various spatial patterns within the system ((9)). The aforementioned patterns include the following:
The computational outcomes reveal that the framework demonstrates complex and sophisticated spatiotemporal behavior. These results contribute to advancing our comprehension of host–parasite relationships, pattern emergence, and dynamic processes.
Neimark–Sacker bifurcation explains biological rhythms, while Flip bifurcation accounts for period-doubling behaviors in processes like immune responses and parasite growth. Turing instability, high-dimensional bifurcations, and chaos shed light on complex host–parasite responses to environmental changes and system stochasticity. These insights provide a theoretical foundation for research in biology and ecology.
Author Contributions
Conceptualization, W.W.; Methodology, W.W.; Software, S.L.; Validation, S.L.; Formal analysis, S.L.; Writing—original draft, S.L.; Writing—review & editing, C.Z. All authors have read and agreed to the published version of the manuscript.
Funding
This research is supported by the Fundamental Research Funds for the Central Universities (Grant No. 2572022DJ04).
Data Availability Statement
No data were used for the research described in the article.
Conflicts of Interest
The funders had no role in the design of the study; in the collection, analyses, or interpretation of data; in the writing of the manuscript; or in the decision to publish the results.
Appendix A
The appendix of this section provides the proof of Theorem 1.
Proof.
contains all the elements satisfying (2). Then, we consider the following equation:
With some algebra precess, Equation (A1) can be rewritten as
Note that and
is an obviously convex function.
Now we need that is a convave function:
With
we obtain
So, is a convave function.
In the end of the proof, each of the figures of three cases were given as the following:
In Figure A1a, means disappears.
In Figure A1b, means coincides with
In Figure A1c, means exists, satisfying (1) and . In this case, we find it difficult to provide an explicit solution, but we obtained an approximate solution using computational methods. □
Figure A1.
Different existence cases of the positive equilibrium point. Subfigure (a) shows the case where the positive equilibrium point disappears. Subfigure (c) shows the case where the positive equilibrium point exists and is not equal to the trivial equilibrium point. Subfigure (b) represents the critical case: the positive equilibrium point exists and is equal to the trivial equilibrium point.
Figure A1.
Different existence cases of the positive equilibrium point. Subfigure (a) shows the case where the positive equilibrium point disappears. Subfigure (c) shows the case where the positive equilibrium point exists and is not equal to the trivial equilibrium point. Subfigure (b) represents the critical case: the positive equilibrium point exists and is equal to the trivial equilibrium point.

Appendix B
The coefficients of Equation (31) are provided as follows.
| — | |
and
| — | |
Appendix C
The coefficients of Equation (21) are provided as follows.
| — | |
| — | |
and
| — |
References
- Abbas, M.; Giannino, F.; Iuorio, A.; Ahmad, Z.; Calabró, F. PDE models for vegetation biomass and autotoxicity. Math. Comput. Simul. 2025, 228, 386–401. [Google Scholar] [CrossRef]
- Iuorio, A.; Salvatori, N.; Toraldo, G.; Giannino, F. Analysis and numerical simulations of travelling waves due to plant–soil negative feedback. Eur. J. Appl. Math. 2024, 35, 554–565. [Google Scholar] [CrossRef]
- Hassell, M.P.; May, R.M.; London, S.W. Stability in insect host-parasite models. J. Anim. Ecol. 1973, 42, 693. [Google Scholar] [CrossRef]
- Hassell, M.P. The Spatial and Temporal Dynamics of Host-Parasitoid Interactions; Oxford University Press: New York, NY, USA, 2000. [Google Scholar]
- Godfray, H.C.J. Parasitoids: Behavioral and Evolutionary Ecology; Princeton University Press: Princeton, NJ, USA, 1994. [Google Scholar]
- Holling, C.S. Some characteristics of simple types of predation and parasitism. Can. Entomol. 1959, 91, 385–398. [Google Scholar] [CrossRef]
- Begon, M.; Sait, S.M.; Thompson, D.J. Predator-prey cycles with period shifts between two- and three-species systems. Nature 1996, 381, 311–315. [Google Scholar] [CrossRef]
- Ellner, S.; Turchin, P. Chaos in a noisy world: New methods and evidence from time-series analysis. Am. Nat. 1995, 145, 343–375. [Google Scholar] [CrossRef]
- Beddington, J.R.; Free, C.A.; Lawton, J.H. Dynamic complexity in predator-prey models framed in difference equations. Nature 1975, 255, 58–60. [Google Scholar] [CrossRef]
- Xu, C.L.; Mark, S.; Boyce, M. Dynamic complexities in a mutual interference host-parasitoid model. Chaos Solitons Fractals 2005, 24, 175–182. [Google Scholar] [CrossRef]
- Kaitala, V.; Välikarjula, J.; Heino, M. Dynamic complexities in host-parasitoid interaction. J. Theor. Biol. 1999, 197, 331–341. [Google Scholar] [CrossRef]
- Tang, S.Y.; Chen, L.S. Chaos in functional response host-parasitoid ecosystem models. Chaos Solitons Fractals 2002, 13, 875–884. [Google Scholar] [CrossRef]
- Lessell, C.M. Parasitoid for aging: Should parasitism be density dependent? J. Anim. Ecol. 1985, 54, 27–41. [Google Scholar] [CrossRef]
- Walde, S.J.; Murdoch, W.W. Spatial density dependence in parasitoid. Annu. Rev. Entomol. 1988, 33, 441–446. [Google Scholar] [CrossRef]
- Li, Z.Z.; Gao, M.; Hui, C.; Han, X.Z.; Shi, H. Impact of predator pursuit and prey evasion on synchrony and spatial patterns in metapopulation. Ecol. Model. 2005, 185, 245–254. [Google Scholar] [CrossRef]
- Li, T.; Zhang, X.; Zhang, C. Pattern dynamics analysis of a space-time discrete spruce budworm model. Chaos Solitons Fractals 2024, 179, 114423. [Google Scholar] [CrossRef]
- Zhang, X.; Zhang, C.; Zhang, Y. Pattern dynamics analysis of a time-space discrete FitzHugh-Nagumo (FHN) model based on coupled map lattices. Comput. Math. Appl. 2024, 157, 92–123. [Google Scholar] [CrossRef]
- Jiang, W.; An, Q.; Shi, J. Formulation of the normal form of Turing-Hopf bifurcation in partial functional differential equations. J. Differ. Equ. 2020, 268, 6067–6102. [Google Scholar] [CrossRef]
- Chen, S.; Wei, J.; Yu, J. Stationary patterns of a diffusive predator-prey model with Crowley-Martin functional response. Nonlinear Anal. Real World Appl. 2018, 39, 33–57. [Google Scholar] [CrossRef]
- Song, Y.; Jiang, H.; Yuan, Y. Turing-Hopf bifurcation in the reaction diffusion system with delay and application to a diffusive predator-prey model. J. Appl. Anal. Comput. 2019, 9, 1132–1164. [Google Scholar] [CrossRef]
- Zhang, X.; Zhu, H. Dynamics and pattern formation in homogeneous diffusive predator-prey systems with predator interference or foraging facilitation. Nonlinear Anal. Real World Appl. 2019, 48, 267–287. [Google Scholar] [CrossRef]
- Yi, F.; Wei, J.; Shi, J. Bifurcation and spatiotemporal patterns in a homogeneous diffusive predator-prey system. J. Differ. Equ. 2009, 246, 1944–1977. [Google Scholar] [CrossRef]
- Jiang, W.; Wang, H.; Cao, X. Turing instability and Turing-Hopf bifurcation in diffusive Schnakenberg systems with gene expression time delay. J. Dyn. Differ. Equ. 2019, 31, 2223–2247. [Google Scholar] [CrossRef]
- Wang, J.; Liu, S. Turing and Hopf bifurcation in a diffusive tumor-immune model. J. Nonlinear Model. Anal. 2021, 3, 477–493. [Google Scholar]
- Chen, H.; Zhang, C. Bifurcations and hydra effects in a reaction-diffusion predator-prey model with Holling II functional response. J. Appl. Anal. Comput. 2023, 13, 424–444. [Google Scholar]
- Chen, H.; Zhang, C. Dynamic analysis of a Leslie-Gower-type predator-prey system with the fear effect and ratio-dependent Holling III functional response. Nonlinear Anal. 2022, 27, 904–926. [Google Scholar] [CrossRef]
- Su, R.; Zhang, C. Pattern dynamical behaviors of one type of tree-grass model with cross-diffusion. Int. J. Bifurc. Chaos 2022, 32, 2250051. [Google Scholar] [CrossRef]
- Li, M.; Han, B.; Xu, L.; Zhang, G. Spiral patterns near Turing instability in a discrete reaction diffusion system. Chaos Solitons Fractals 2013, 49, 1–6. [Google Scholar] [CrossRef]
- Zhang, G.; Zhang, R.; Yan, Y. The diffusion-driven instability and complexity for a single-handed discrete Fisher equation. Appl. Math. Comput. 2020, 371, 124946. [Google Scholar] [CrossRef]
- Zhang, H.; Huang, T.; Dai, L.; Pan, G.; Liu, Z.; Gao, Z.; Zhang, X. Regular and irregular vegetation pattern formation in semiarid regions: A study on discrete Klausmeier model. Complexity 2020, 2020, 1–14. [Google Scholar] [CrossRef]
- Xu, L.; Liu, J.; Zhang, G. Pattern formation and parameter inversion for a discrete Lotka-Volterra cooperative system. Chaos Solitons Fractals 2018, 110, 226–231. [Google Scholar] [CrossRef]
- Li, Z.; Song, Y.; Wu, C. Turing instability and Hopf bifurcation of a spatially discretized diffusive Brusselator model with zero-flux boundary conditions. Nonlinear Dyn. 2022, 111, 713–731. [Google Scholar] [CrossRef]
- Ghorai, S.; Chakraborty, P.; Poria, S.; Bairagi, N. Dispersal-induced pattern-forming instabilities in host-parasitoid metapopulations. Nonlinear Dyn. 2020, 100, 749–762. [Google Scholar] [CrossRef]
- Singh, A.; Emerick, B. Generalized stability conditions for host-parasitoid population dynamics: Implications for biological control. Ecol. Model. 2021, 456, 109656. [Google Scholar] [CrossRef]
- Santra, P.; Mahapatra, G. Dynamical study of discrete-time prey-predator model with constant prey refuge under imprecise biological parameters. J. Biol. Syst. 2020, 28, 681–699. [Google Scholar] [CrossRef]
- Mahapatra, G.; Santra, P.; Bonyah, E. Dynamics on effect of prey refuge proportional to predator in discrete-time prey-predator model. Complexity 2021, 2021, 1–12. [Google Scholar] [CrossRef]
- Santra, P.; Mahapatra, G.; Phaijoo, G. Bifurcation analysis and chaos control of discrete prey-predator model incorporating novel prey-refuge concept. Comput. Math. Methods 2021, 3, e1185. [Google Scholar] [CrossRef]
- Muolo, R.; Asllani, M.; Fanelli, D.; Maini, P.; Carletti, T. Patterns of non-normality in networked systems. J. Theor. Biol. 2019, 480, 81–91. [Google Scholar] [CrossRef]
- Kaneko, K. Overview of coupled map lattices. Chaos 1992, 2, 279–282. [Google Scholar] [CrossRef]
- Hassell, M.; Comins, H.; May, R. Species coexistence and self-organizing spatial dynamics. Nature 1994, 370, 290–292. [Google Scholar] [CrossRef]
- Mistro, D.; Rodrigues, L.; Petrovskii, S. Spatiotemporal complexity of biological invasion in a space- and time-discrete predator-prey system with the strong Allee effect. Ecol. Complex. 2012, 9, 16–32. [Google Scholar] [CrossRef]
- Rodrigues, L.; Mistro, D.; Petrovskii, S. Pattern formation in a space- and time-discrete predator-prey system with a strong Allee effect. Theor. Ecol. 2012, 5, 341–362. [Google Scholar] [CrossRef]
- Punithan, D.; Kim, D.; McKay, R. Spatio-temporal dynamics and quantification of daisyworld in two-dimensional coupled map lattices. Ecol. Complex. 2012, 12, 43–57. [Google Scholar] [CrossRef]
- Liu, H.; Liu, Z.G.; Su, M.; Li, Z.Z. Clumping effect in a host–parasitoid interaction model. J. Shandong Univ. Nat. Sci. 2008, 43, 31–34. [Google Scholar]
- Liu, X.; Xiao, D. Complex dynamic behaviors of a discrete-time predator-prey system. Chaos Solitons Fractals 2007, 1, 80–94. [Google Scholar] [CrossRef]
- Guckenheimer, J.; Holmes, P. Nonlinear Oscillations, Dynamical Systems, and Bifurcations of Vector Fields; Springer: New York, NY, USA, 1983; pp. 117–165. [Google Scholar]
- Bai, L.; Zhang, G. Nontrivial solutions for a nonlinear discrete elliptic equation with periodic boundary conditions. Appl. Math. Comput. 2009, 210, 321–333. [Google Scholar] [CrossRef]
- Zhang, X.; Zhang, C. The diffusion-driven instability for a general time-space discrete host-parasitoid model. Discrete Dyn. Nat. Soc. 2023, 2023, 1–30. [Google Scholar] [CrossRef]
Disclaimer/Publisher’s Note: The statements, opinions and data contained in all publications are solely those of the individual author(s) and contributor(s) and not of MDPI and/or the editor(s). MDPI and/or the editor(s) disclaim responsibility for any injury to people or property resulting from any ideas, methods, instructions or products referred to in the content. |
© 2024 by the authors. Licensee MDPI, Basel, Switzerland. This article is an open access article distributed under the terms and conditions of the Creative Commons Attribution (CC BY) license (https://creativecommons.org/licenses/by/4.0/).




























































