Next Article in Journal
Abnormality and Strict-Sense Minimizers That Are Not Extended Minimizers
Next Article in Special Issue
Integrated the Artificial Potential Field with the Leader–Follower Approach for Unmanned Aerial Vehicles Cooperative Obstacle Avoidance
Previous Article in Journal
Mathematics of Epidemics: On the General Solution of SIRVD, SIRV, SIRD, and SIR Compartment Models
Previous Article in Special Issue
High Dynamic Bipedal Robot with Underactuated Telescopic Straight Legs
 
 
Font Type:
Arial Georgia Verdana
Font Size:
Aa Aa Aa
Line Spacing:
Column Width:
Background:
Article

Event-Triggered Consensus Control in Euler–Lagrange Systems Subject to Communication Delays and Intermittent Information Exchange

1
Institute of Machine Intelligence, University of Shanghai for Science and Technology, Shanghai 200093, China
2
Postdoctoral Station of Applied Economics, Fudan University, Shanghai 200433, China
3
School of Finance, Shanghai Lixin University of Accounting and Finance, Shanghai 201209, China
*
Author to whom correspondence should be addressed.
Mathematics 2024, 12(7), 942; https://doi.org/10.3390/math12070942
Submission received: 1 March 2024 / Revised: 18 March 2024 / Accepted: 21 March 2024 / Published: 22 March 2024
(This article belongs to the Special Issue Dynamics and Control of Complex Systems and Robots)

Abstract

In this paper, we investigate the consensus control problem of Euler–Lagrange systems which can be used to describe the motion of various mechanical systems such as manipulators and quadcopters. We focus on consensus control strategies, which are important for achieving coordinated behavior in multi-agent systems. The paper considers the key challenges posed by random communication delays and packet losses that are increasingly common in networked control systems. In addition, it is assumed that each system receives information from neighboring agents intermittently. Addressing these challenges is critical to ensure the reliability and efficiency of such systems in real-world applications. Communication delay is time-varying and can be very large, but should be smaller than some bounded constant. To decrease the frequency of control input updates, we implement an event-triggered scheme that regulates the controller’s updates for each agent. Specifically, it does not update control inputs at traditional fixed intervals, but responds to predefined conditions and introduces a dynamic consensus item to handle information irregularities caused by communication delays and intermittent information exchange. The consensus can be achieved if the communication graph of agents contains a spanning tree with the desired velocity as the root node. That is, all Euler–Lagrange systems need to obtain the desired velocity, directly or indirectly (via neighbors), to reach consensus. We establish that the Zeno behavior can be avoided, ensuring a positive minimum duration between successive event-triggered instances. Finally, we provide simulation results to show the performance of our proposed algorithm.

1. Introduction

Over the past decade, the rapid development of multi-agent systems has been evident. Among various advancements, Euler–Lagrange dynamics have emerged as particularly notable due to their potential applications. The consensus problem in a multi-agent system refers to whether the state of the agents can reach a consensus state with or without a leader. This process involves an information exchange among agents, modeled by a communication graph that describes the connectivity of the agents. To address the issue of parametric uncertainty and a dynamic leader, a fixed-time robust controller was introduced in [1] through the application of the backstepping control technique to guarantee the consensus of the Lagrange systems. Furthermore, an adaptive distributed output observer was designed to circumvent the need for the leader’s full state in [2]. A novel fault-tolerant formation controller for a multi-agent system was developed in [3] by considering the actuator failures. For a class of uncertain strict-feedback nonlinear systems, an adaptive leaderless consensus solution was given to ensure the system’s performance in [4]. The key distinction between leader–follower and leaderless systems lies in the presence of a leader in the former, who informs the followers of the control target, whereas the latter relies on a distributed control algorithm to guide all agents towards a common state [5].
It should be noted that the methods mentioned above do not account for the communication problems among agents. These approaches require instantaneous message transmission without delay, enabling agents to immediately receive messages from their neighbors. However, in real-world scenarios, challenges such as sensor malfunctions, network congestion, and unexpected environmental changes are common. To address this issue, recent research has concentrated on communication delays in the information exchange process. A robust sliding mode control consensus algorithm was proposed in [6] that can handle the uncertain system nonlinearities in the presence of communication delays. Assuming the communication graph among agents is directed, the time delay and intermittent sampling were used to realize leader–follower consensus by using sufficient past position information in [7]. Additionally, leveraging the theory of small gains, a novel synchronization mechanism that can achieve position synchronization despite the presence of communication delays and intermittent communications was developed in [8].
While the above consensus algorithm accounts for communication delays between agents, the control input still operates within a time-triggered control framework. This framework necessitates the continuous updating of the controller, regardless of whether each agent needs an update to maintain the expected performance. Consequently, this may result in increased resource consumption and communication burden, posing challenges in light of practical energy and bandwidth limitations. Hence, it is essential to design an event-triggered strategy to avoid continuous control input updates [9,10]. In [9], fixed threshold, relative threshold, and switching threshold strategies were applied to design event-triggered controllers. As mentioned in [11], the event-triggered strategy results in better performance in balancing resource utilization and control effects. For leaderless systems, a dynamic event-triggered control strategy was proposed to solve the consensus problem of Euler–Lagrange systems in [12]. An optimal algorithm in the sense of minimum global loss function was designed based on the event-triggered strategy in [13] to minimize the communication burden further. For a general heterogeneous nonlinear multi-agent system, the event-triggered control algorithm was proposed within the framework of the prescribed performance control in [14]. To address unknown nonlinear dynamics and avoid the need for prior global communication information, a distributed event-triggered method based on the fuzzy approximation technique was provided in [15].
In this work, we design a new consensus algorithm for Euler–Lagrange systems that can tolerate delays or packet loss after information transmission. In these systems, each agent communicates with its neighbors at irregular discrete time intervals. Our algorithm utilizes an event-triggered mechanism for each agent. We demonstrate that this algorithm effectively avoids the Zeno phenomenon by guaranteeing a minimum time interval between events. The distinguishing feature of our proposed event-triggered scheme, compared to existing solutions, is its ability to decrease the controller’s update frequency in an aperiodic and irregular manner. This results in energy conservation and reduced communication bandwidth requirements despite the presence of delays and intermittent communication among agents.
The rest of this paper is organized as follows. Section 2 provides preliminary knowledge of graph theory and elaborates on problem formulation. Section 3 introduces the consensus scheme and stability analysis. Section 4 presents simulation results for six Euler–Lagrange systems. Finally, Section 5 concludes the paper and states future work.
Notations: For a vector y, y represents the two-norm of y. The norms y ( t ) z and y ( t ) are defined as y ( t ) z = ( 0 | y ( ω ) | z d ω ) 1 z for z [ 1 , ) and y ( t ) = max t 0 | y ( t ) | , respectively. y L z if y ( t ) z exists and is finite and y L if y ( t ) < . λ max ( A ) is the maximum eigenvalue of matrix A and λ min ( A ) is the minimum eigenvalue of matrix A.

2. Preliminaries

2.1. Graph Theory

The information exchange among the agents is described by directed graph G = ( N , E ) that consists of nodes in N ( N = { 1 , , N } ) and edges in E ( E = { ( i , j ) , i, j E } ) . The element a i j of the adjacency matrix A = [ a i j ] N × N is defined as one if node j can receive information from node i. Otherwise, a i j is defined as zero. If at least one node can reach all other nodes in the graph through a directed path, we say that this graph has a spanning tree. The Laplacian matrix L = [ l i j ] N × N of G satisfies
l i j = a i j if j i , j N a i j if j = i .
which plays an important role in the following control design and stability analysis. There is s a strictly increasing and unbounded sequence of time instants t k = k T with k Z + = { 0 , 1 , } and T > 0 is a fixed sampling period common for all agents such that each agent is allowed to send its information to all or some of its neighbors at instants t k . Furthermore, for each pair ( j , i ) E , there exist a sequence of communication delays τ k ( j , i ) .

2.2. System Model

We consider a multi-agent system comprising N Euler–Lagrange systems where the dynamic model of the ith agent can be expressed as
M i ( q i ) q ¨ i + C i ( q i , q ˙ i ) q ˙ i + g i ( q i ) = u i , i N
where q i R l represents the generalized coordinate vector, M i ( q i ) R l × l denotes the symmetric positive-definite inertial matrix, C i ( q i , q ˙ i ) R l × l is the Coriolis and centrifugal torque matrix, g i ( q i ) R l is the gravitational force vector, and u i R l is the control input vector. We consider a scenario where a constant desired velocity v d R l is accessible only to a subset of agents, L N , designated as leaders. The remaining agents, belonging to the complementary subset F = N L , are identified as followers.
The dynamics given in (1) are assumed to satisfy the following properties [16]:
P1.
There exist positive constants k min and k max such that 0 < k min I n M i ( q i ) k max I n .
P2.
There exists a positive constant k C such that C i ( q i , q i ˙ ) k C q i ˙ .
P3.
M ˙ i ( q i ) 2 C i ( q i , q ˙ i ) is skew symmetric, i.e., x T [ M ˙ i ( q i ) 2 C i ( q i , q ˙ i ) ] x = 0 with x R l .
P4.
g i ( q i ) k g , where k g is a positive constant.
P5.
M i ( q i ) X + C i ( q i , q ˙ i ) Y + g i ( q i ) = Y i ( q i , q ˙ i , X , Y ) Θ i for all vectors X , Y R l , where Y i ( q i , q ˙ i , X , Y ) is the regressor matrix and Θ i is an unknown but constant parameter vector associated with the ith agent.
 Assumption 1. 
Each element of matrices M i , C i and vector g i is globally Lipschitz, and the derivative of Y i ( t ) is bounded.
 Lemma 1 
([17]). If a continuous function y ( t ) satisfies y , y ˙ L , and y L z with z [ 1 , ) , then y ( t ) 0 as t .

2.3. Problem Statement

Our control objective is to design a new distributed event-triggered control scheme for Euler–Lagrange System (1) such that q i ( t ) q j ( t ) → 0, q ˙ i ( t ) v d as t for all i, j N in the presence of communication delays and intermittent communication.
We suppose there exists a strictly increasing and unbounded sequence of time instants t k = k T R + , k Z + = 0 , 1 , , where T > 0 is a fixed sampling period common for all agents such that each agent is allowed to send its information to all or some of its neighbors at instants t k . Furthermore, there exists a sequence of communication delays τ k ( j , i ) , such that the information sent by agent j at instant t k can be available to agent i starting from instant t k + τ k ( j , i ) .
 Assumption 2 
([8]). The leader set L is nonempty and the directed graph G is rooted at s L . For each ( j , i ) E , there are numbers m N and h 0 satisfying (i) k 0 ( j , i ) m and k + 1 ( j , i ) k ( j , i ) m for all { 0 , 1 , } and (ii) τ k ( i , j ) h for each k K j , i , where K j , i = { k 0 ( j , i ) , k 1 ( j , i ) , } { 0 , 1 , } .

3. Proposed Solution

Firstly, we introduce velocity tracking error
e i ( t ) = q ˙ i ( t ) v r i ( t )
where reference velocity v r i ( t ) can be designed as [8]
v r i ( t ) = η i ( t ) + v ¯ d i ( t )
where v ¯ d i ( t ) is an estimate of the desired velocity of the ith agent and η i ( t ) is a term designed for consensus purpose. v ¯ d i and η i are designed in detail below.
The most recent information of agent j that transmits to agent i successfully is at k i j ( t ) defined as
k i j ( t ) = max { k Z + : k T + τ k ( i , j ) t }
where T is sample period and τ k ( i , j ) is the delay that agent j sent information at instant k T , k Z + and the information is received by agent i after τ k ( i , j ) . Hence, the information is available to agent i at instant k T + τ k ( i , j ) .
The desired velocity v d is only available to leader ( L N ) , and the other agents ( F N excludes L ) can only estimate the velocity with respect to their neighbors through the following discrete time algorithm for σ Z + ,
v ^ d i ( σ ) = v d , i L
v ^ d i ( σ + 1 ) = 1 | N i ( σ ) | j N i ( σ ) v ^ d i j ( σ ) , i F
v ^ d i j ( σ ) = v ^ d i ( k i j ( σ T ) ) if j i , v ^ d i ( σ ) if j = i
where the consensus algorithm updates at instants σ T with σ Z + . v d R l is the desired velocity and each leader can obtain it directly. N i ( σ ) = { i } N i j ( σ ) , N i j ( σ ) = j: (j, i), k i j ( σ T ) > k i j ( ( σ 1 ) T ) is the set of the neighbors of the ith followers. We let
v ¯ d i = v d , i L
v ¯ ¨ d i = k i d v ¯ ˙ d i k i p ( v ¯ d i v ^ d i ( t / T ) ) , i F
where x represents the integer part of x, and k i p and k i d are positive gains.
The consensus term η i is updated by
η ˙ i = k i η η i λ i ( q i ψ i ) ψ ˙ i = ψ i + v ¯ d i + 1 κ i j N i ( σ ) a i j q j ( i ) ( t )
q j ( i ) ( t ) = q j ( k i j ( t ) T ) + v ^ d j ( k i j ( t ) ) ( t k i j ( t ) T )
where κ i = j = 1 n a i j , k i η and k i λ are positive gains, and vector q j ( i ) ( t ) is the current position of the jth agent which is obtained by the ith agent at the most recent instant, t.
Now, we design an event-triggered scheme for control input u i ( t ) such that velocity error e i ( t ) converges to zero asymptotically. Usually, control input vector u i ( t ) for (1) is chosen as
u i ( t ) = K i e i ( t ) + Y i ( t ) Θ ^ i ( t )
Θ ^ ˙ i ( t ) = Λ i Y i T ( t ) e i ( t )
where e i is defined in (2), Λ i R l × l and K i R l × l are symmetric positive definite matrices, and Y i is defined in Property P5. Inspired by [18], to decrease the controller’s update frequency, we consider the following event-triggered form of (12):
u i ( t ) = K i e i ( t k i ) + Y i ( t k i ) Θ ^ i ( t k i ) , t [ t k i , t k + 1 i )
Θ ^ ˙ i ( t ) = Λ i Y i T ( t k i ) e i ( t k i ) .
According to Property P6 and by using (14) and (15), Dynamic Model (1) can be rewritten as
M i ( q i ) e ˙ i ( t ) + C i ( q i , q ˙ i ) e t ( t ) = K i e i ( t k i ) + Y i ( t k i ) Θ ^ i ( t k i ) Y i ( t ) Θ i .
We let Ψ i ( t ) and Ξ i ( t ) represent the error caused by the event-triggered scheme:
Ψ i ( t ) = e i ( t k i ) e i ( t ) Ξ i ( t ) = Y i ( t k i ) Θ ^ i ( t k i ) Y i ( t ) Θ ^ i ( t ) .
Then, the event-triggered strategy is designed as
t k + 1 i = inf { t t k i : Ξ i ( t ) + λ max ( K i ) Ψ i ( t ) γ i 2 λ min ( K i ) e i ( t ) + μ i ( t ) }
where γ i is a positive constant less than one, and μ i ( t ) = ϱ i λ min ( K i ) e ϵ i t with ϱ i > 0 and 0 < ϵ i < 1 .
 Theorem 1. 
Consider the multi-agent system described in (1). Suppose Assumption 1 and 2 hold. Then, the control objective can be achieved, that is, q i ( t ) q j ( t ) 0 and v i ( t ) v d as t under the proposed Event-Triggered Controller (14). In addition, the Zeno phenomenon can be avoided.
 Proof. 
We consider the Lyapunov function as
V = 1 2 i = 1 N e i T M i ( q i ) e i + 1 2 i = 1 N Θ ˜ i T Λ i 1 Θ ˜ i
where Θ ˜ = Θ i Θ ^ i denotes the estimation error. Then, the derivative of (19) is
V ˙ = 1 2 i = 1 N e i T M ˙ i ( q i ) e i + i = 1 N e i T M i ( q i ) e ˙ i + i = 1 N Θ ˜ i T Λ i 1 Θ ˜ ˙ i .
Substituting (16) into (20), we obtain
V ˙ = i = 1 N e i T ( 1 2 M ˙ i ( q i ) C i ( q i , q ˙ i ) ) e i i = 1 N e i T K i e i ( t k i ) + i = 1 N e i T Y i ( t k i ) Θ ^ i ( t k i ) i = 1 N e i T Y i ( t ) Θ i i = 1 N Θ ˜ i T Λ i 1 Θ ^ ˙ i .
From Property P3, we can conclude that i = 1 N e i T ( 1 2 M ˙ i ( q i ) C i ( q i , q ˙ i ) ) e i = 0 . After substituting (15) and (17) into (21), we have
V ˙ = i = 1 N e i T K i e i i = 1 N e i T K i Ψ i + i = 1 N e i T Ξ i ( t ) i = 1 N λ min ( K i ) e i ( t ) 2 + i = 1 N λ max ( K i ) e i ( t ) Ψ i ( t ) + i = 1 N e i ( t ) Ξ i ( t ) .
Form Event-Triggered Strategy (18), we have
V ˙ i = 1 N λ min ( K i ) e i ( t ) 2 + i = 1 N γ i 2 λ min ( K i ) e i ( t ) 2 + i = 1 N e i ( t ) μ i ( t ) .
It is easy to verify that
λ min ( k ) e i ( t ) ϱ i e ϵ i t γ i 2 λ min ( k ) e i ( t ) 2 + 1 2 γ i ϱ i 2 e 2 ϵ i t .
Hence, (23) can be rewritten as
V ˙ i = 1 N ( γ i 1 ) λ min ( K i ) e i ( t ) 2 + i = 1 N ϱ i 2 2 γ i e 2 ϵ i t .
It can be inferred from (25)
V ( t ) + 0 t i = 1 N ( 1 γ i ) λ min ( K i ) e i ( ω ) 2 d ω V ( 0 ) + i = 1 N ϱ i 2 4 γ i ϵ i ( 1 e 2 ϵ i t ) .
We can know from (26) that V ( t ) is bounded. Hence, we can conclude that e i , Θ ˜ i L . We can determine from [8] that q ˙ r i and q ¨ r i are bounded. From System Model (1) and definition of P6, we have
Y i Θ i M i q ¨ r i + C i q ˙ r i + g i .
Combining with properties P1, P2, and P4, we can deduce that Y i is upper-bounded by a positive constant. Then, we can infer from (16) that e ˙ i ( t ) is bounded. From (26), we can further conclude that 0 t e i ( ω ) 2 d ω is bounded and thus e i L 2 . According to Lemma 1 and e i , e ˙ i L , e i L 2 , we have e i 0 as t 0 . If e i ( t ) 0 as t and by Theorem 1 in [8], we can conclude that q i ( t ) q j ( t ) → 0, q ˙ i ( t ) v d as t for all i, j N . □

Zeno Behavior

The solution exhibits Zeno behavior if an infinite number of controller updates occur in a finite time period. Zeno behavior presents a significant challenge for the practical implementation of real-time systems, as it effectively requires the controller to process an infinite number of updates in a finite time period. To circumvent this issue, Event-Triggered Condition (18) is employed. In this subsection, we show that the Zeno phenomenon can be excluded by our proposed method, i.e., there exists a positive instant T k ( k = 1 , 2 , ) satisfying t k + 1 i t k i T k . We can determine from the event-triggered mechanism (18) that
Ξ i ( t ) + λ max ( K i ) Ψ i ( t ) t k i t Ξ ˙ i ( ω ) + λ max ( K i ) Ψ ˙ i ( ω ) d ω .
Recalling from the definition of Ψ ( t ) and Ξ ( t ) , we have
Ψ ˙ i ( t ) Y ˙ i ( t ) Θ ^ i ( t ) + Y i ( t ) Θ ^ ˙ i ( t ) Ξ ˙ i ( t ) e ˙ i ( t ) .
From Assumption 1, we know that Y ˙ i ( t ) is bounded. Θ ^ i ( t ) , Y i ( t ) , and e ˙ i ( t ) are bounded as we can determine from the above analysis. Hence, we can infer from (13) that Θ ^ ˙ i ( t ) is bounded. Therefore, we can conclude that Ψ i ( t ) and Ξ i ( t ) are bounded. Defining Ψ max and Ξ max as the upper bound of Ψ i ( t ) and Ξ i ( t ) , we can obtain
t k i t Ξ ˙ i ( ω ) + λ max ( K i ) Ψ ˙ i ( ω ) d ω ( t t k i ) ( Ψ max + Ξ max ) .
Noting that Ξ i ( t ) + λ max ( K i ) Ψ i ( t ) γ i 2 λ min ( K i ) e i ( t ) + μ i ( t ) , while satisfying the trigger condition at the t k i instant, we can conclude that
γ i 2 λ min ( K i ) e i ( t k i ) + μ i ( t k i ) ( t t k i ) ( Ψ max + Ξ max ) .
Hence, there exists a positive lower bound T k = γ i 2 λ min ( K i ) e i ( t k i ) + μ i ( t k i ) Ψ max + Ξ max between two consecutive executions of u i . As a result, the proposed controller avoids the Zeno phenomena successfully.
 Remark 1. 
Detailed comparisons with the existing consensus controllers for Euler–Lagrange systems are highlighted as follows: (1) In [19], a distributed consensus approach for a group of Euler–Lagrange systems was proposed. However, this approach did not consider communication delays among systems, and continuous information exchange was required. In contrast, our proposed approach is versatile and can be applied to a wider range of communication scenarios. (2) In [8], a synchronization method was developed for Euler–Lagrange systems with communication delays and intermittent information exchange. However, the above results rely on the classic time-triggered control paradigm, where the update of the control signal is periodic even when the system is performing well. In our paper, we introduce an event-triggered approach that reduces the controller’s update frequency.
 Remark 2. 
This paper considers relaxed communication conditions, which can be intermittent and subject to time-varying communication delays and information losses. Therefore, it can be applied to ideal situations where information exchange is continuous and there is no communication delay, such as in [19]. Intuitively, control performance may be improved under ideal communication conditions. However, a rigorous analysis of this case requires further investigation.

4. Simulation

We perform a simulation to verify the effectiveness of our developed algorithm. Specifically, we consider a multi-agent system comprising six Euler–Lagrange systems. The dynamic model for each agent is in the form of (1) with l = 2 , q i = [ q i 1 , q i 2 ] T , and q ˙ i = [ q ˙ i 1 , q ˙ i 2 ] T . The inertial matrix M i ( q i ) , the Coriolis and centrifugal torque matrix C i ( q i , q ˙ i ) , and the vector of gravitational force g i ( q i ) are given as
M i ( q i ) = ζ 1 + 2 ζ 2 cos ( q i 2 ) ζ 3 + ζ 2 cos ( q i 2 ) ζ 3 + ζ 2 cos ( q i 2 ) ζ 3 C i ( q i , q ˙ i ) = ζ 2 sin ( q i 2 ) q ˙ i 2 ζ 2 sin ( q i 2 ) ( q ˙ i 1 + q ˙ i 2 ) ζ 2 sin ( q i 2 ) q ˙ i 1 0
where
ζ 1 = m 1 l c 1 2 + m 2 ( l 1 2 + l c 2 2 ) + I 1 + I 2 , ζ 2 = m 2 l 1 l c 2 , ζ 3 = m 2 l c 2 2 + I 2 , ζ 4 = m 2 l c 2 , ζ 5 = m 1 l c 1 + m 2 l 1
with m 1 = m 2 = 1.5 kg, l 1 = l 2 = 0.3 m, l c 1 = l c 2 = 0.4 m, I 1 = I 2 = 0.2 kg/m2.
g i ( q i ) = g ζ 5 cos ( q i 1 ) + g ζ 4 cos ( q i 1 + q i 2 ) g ζ 4 cos ( q i 1 + q i 2 )
where g = 9.8 m/ s 2 . The regressor matrix Y i ( q i , q ˙ i , X , Y ) R 2 × 5 is given as
Y i ( q i , q ˙ i , X , Y ) = Y i 11 Y i 12 Y i 13 Y i 14 Y i 15 Y i 21 Y i 22 Y i 23 Y i 24 Y i 25
where Y i 11 = X ˙ i 1 , Y i 12 = cos ( q i 2 ) ( 2 X ˙ i 1 + X ˙ i 2 ) sin ( q i 2 ) ( X i 1 q ˙ i 2 + X i 2 ( q ˙ i 1 + q ˙ i 2 ) ) , Y i 13 = X ˙ i 2 , Y i 14 = g cos ( q i 1 + q i 2 ) , Y i 15 = g cos ( q i 1 ) , Y i 21 = 0 , Y i 22 = X ˙ i 1 cos ( q i 2 ) + X i 1 q ˙ i 1 sin ( q i 2 ) , Y i 23 = X ˙ i 1 + X ˙ i 2 , Y i 24 = g cos ( q i 1 + q i 2 ) , and Y i 25 = 0 .
The communication among agents is represented by a directed graph that contains a spanning tree, as shown in Figure 1. We define L = { 1 } , which indicates that only Agent 1 has direct access to the desired velocity of v d = [ 0.2 , 0.3 ] T m/s. As shown in Figure 1, the remaining agents can also obtain v d indirectly through Agent 1. Sampling period T is set as 0.1 s, i.e., agent j can send information to agent i at the 0.1 k ( k = 0 , 1 , ) instant, and the message is received by agent i after a delay of τ ( τ [ 0.1 , 0.25 ] ) s. The control gains of observer (9) can be arbitrary positive numbers and are chosen as k i d = 2.4 and k i p = 1.7 in this simulation. k i η and λ i in (10) are set as 19 and 8.72 , respectively. The parameters in Event-Triggered Strategy (18) are chosen as γ i = 0.7 , ϱ i = 4 , and ϵ i = 0.4 .
The initial states of the six agents are chosen as
[ q i 1 , q i 2 ] T = [ 0.5 , 0 , 0.5 , 0 , 1.3 , 0.3 , 0.9 , 0.1 , 0 , 1.5 , 0.5 , 0.1 ] T [ q ˙ i 1 , q ˙ i 2 ] T = [ 0.8 , 0.4 , 0.7 , 0.35 , 0.6 , 0.3 , 0.5 , 0.2 , 0.3 , 0.1 , 0.3 , 0.1 ] T .
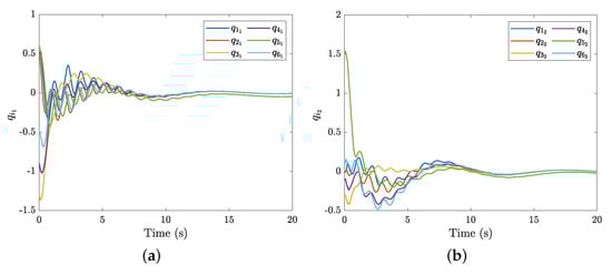
Other variable initial states are set to 0. The simulation of Event-Triggered Strategy (14) applied to (1) over the time interval of 0–20 s is performed in MATLAB (solver: dde23). Figure 2 and Figure 3 illustrate that the consensus of positions and velocities of all agents can be achieved using our developed event-triggered input u i , despite the delayed communication and intermittent exchange of information between agents. Figure 4 shows that the algorithm effectively reduces the number of controller updates while maintaining system performance. The trigger times for u i are significantly reduced, as shown in Figure 5. The trigger times for the six agents are reduced from 238990 to 12454, 13053, 13492, 13196, 12408, and 12994, respectively. These results confirm that our event-triggered control method achieves consensus, significantly reducing the number of control signal updates and conserving computational and communication resources.

5. Conclusions

In this work, we presented an event-triggered strategy algorithm to achieve consensus among multiple Euler–Lagrange systems, even in the presence of communication delays and intermittent information exchange. Our proposed algorithm effectively avoids the Zeno phenomenon by ensuring a positive minimum time lower bound between inter-event triggers. We verified the effectiveness of this algorithm through numerical simulations. In our future work, we aim to apply this control algorithm to quadrotor swarms and further validate its practical applicability through experimental testing.

Author Contributions

Conceptualization, G.W.; methodology, Y.J. and W.L.; writing—original draft, Y.J.; writing—review & editing, G.W. All authors have read and agreed to the published version of the manuscript.

Funding

This research received no external funding.

Data Availability Statement

No new data were created or analyzed in this study. Data sharing is not applicable to this article.

Conflicts of Interest

The authors declare no conflict of interest.

References

  1. Dong, Y.; Chen, Z. Fixed-time synchronization of networked uncertain Euler–Lagrange systems. Automatica 2022, 146, 110571. [Google Scholar] [CrossRef]
  2. Cai, H.; Huang, J. Output based adaptive distributed output observer for leader–follower multiagent systems. Automatica 2021, 125, 109413. [Google Scholar] [CrossRef]
  3. Liu, X.; Li, C.; Li, D. Collision-avoiding formation for multiple Euler–Lagrange systems against external disturbances and actuator faults. J. Frankl. Inst. 2022, 359, 6336–6360. [Google Scholar] [CrossRef]
  4. Ao, W.; Huang, J.; Wen, B.; Xue, F. Adaptive leaderless consensus control of a class of strict feedback nonlinear systems with guaranteed transient performance under actuator faults. J. Frankl. Inst. 2021, 358, 5707–5721. [Google Scholar] [CrossRef]
  5. Wang, G.; Zuo, Z.; Wang, C. Robust consensus control of second-order uncertain multiagent systems with velocity and input constraints. Automatica 2023, 157, 111226. [Google Scholar] [CrossRef]
  6. Rezaee, H.; Abdollahi, F. Stationary consensus control of a class of high-order uncertain nonlinear agents with communication delays. IEEE Trans. Syst. Man Cybern. Syst. 2017, 49, 1285–1290. [Google Scholar] [CrossRef]
  7. Vong, S.; Yao, Z. High-order leader following consensus for multi-agent systems via intermittent sampled position data control. Eur. J. Control 2022, 69, 100739. [Google Scholar] [CrossRef]
  8. Abdessameud, A.; Polushin, I.G.; Tayebi, A. Synchronization of nonlinear systems with communication delays and intermittent information exchange. Automatica 2015, 59, 1–8. [Google Scholar] [CrossRef]
  9. Xing, L.; Wen, C.; Liu, Z.; Su, H.; Cai, J. Event-triggered adaptive control for a class of uncertain nonlinear systems. IEEE Trans. Autom. Control 2017, 62, 2071–2076. [Google Scholar] [CrossRef]
  10. Event-triggered sliding mode control of nonlinear dynamic systems. Automatica 2020, 112, 108738. [CrossRef]
  11. Borgers, D.P.; Heemels, W.P.M.H. Event-separation properties of event-triggered control systems. IEEE Trans. Autom. Control 2014, 59, 2644–2656. [Google Scholar] [CrossRef]
  12. Cao, R.; Cheng, L. Distributed dynamic event-triggered control for Euler-Lagrange multiagent systems with parametric uncertainties. IEEE Trans. Cybern. 2021, 53, 1272–1284. [Google Scholar] [CrossRef] [PubMed]
  13. Wang, Q.; Chen, J.; Xin, B.; Zeng, X. Distributed optimal consensus for Euler–Lagrange systems based on event-triggered control. IEEE Trans. Syst. Man Cybern. Syst. 2021, 51, 4588–4598. [Google Scholar] [CrossRef]
  14. Ji, Y.; Wang, G.; Li, Q.; Wang, C. Event-triggered optimal consensus of heterogeneous nonlinear multi-agent systems. Mathematics 2022, 10, 4622. [Google Scholar] [CrossRef]
  15. Wang, A.; Liu, L.; Qiu, J.; Feng, G. Leader-following consensus of multiple uncertain Euler-Lagrange systems via fully distributed event-triggered adaptive fuzzy control. IEEE Trans. Cybern. 2024, 54, 76–86. [Google Scholar] [CrossRef] [PubMed]
  16. Kelly, R.; Davila, V.S.; Perez, J.A.L. Control of Robot Manipulators in Joint Space; Science & Business Media Springer: London, UK, 2005. [Google Scholar]
  17. Ioannou, P.; Fidan, B. Adaptive Control Tutorial; SIAM: Philadelphia, PA, USA, 2006. [Google Scholar]
  18. Liu, Q.; Ye, M.; Qin, J.; Yu, C. Event-based leader-follower consensus for multiple Euler-Lagrange systems with parametric uncertainties. In Proceedings of the 2016 IEEE 55th Conference on Decision and Control (CDC), Las Vegas, NV, USA, 12–14 December 2016; pp. 2240–2246. [Google Scholar]
  19. Wang, G.; Wang, C.; Cai, X.; Ji, Y. Distributed leaderless and leader-following consensus control of multiple Euler-Lagrange systems with unknown control directions. J. Intell. Robot. Syst. 2018, 89, 439–463. [Google Scholar] [CrossRef]
Figure 1. Directed communication graph.
Figure 1. Directed communication graph.
Mathematics 12 00942 g001
Figure 2. Profiles of agent positions under our proposed algorithm. (a) Profiles of agent positions q i 1 . (b) Profiles of agent positions q i 2 .
Figure 2. Profiles of agent positions under our proposed algorithm. (a) Profiles of agent positions q i 1 . (b) Profiles of agent positions q i 2 .
Mathematics 12 00942 g002
Figure 3. Profiles of agent velocities under our proposed algorithm. (a) Profiles of agent velocities v i 1 . (b) Profiles of the agent velocities v i 2 .
Figure 3. Profiles of agent velocities under our proposed algorithm. (a) Profiles of agent velocities v i 1 . (b) Profiles of the agent velocities v i 2 .
Mathematics 12 00942 g003
Figure 4. Profiles of control inputs u i of the agents under our proposed algorithm. (a) Profiles of the control inputs u i 1 . (b) Profiles of control inputs u i 2 .
Figure 4. Profiles of control inputs u i of the agents under our proposed algorithm. (a) Profiles of the control inputs u i 1 . (b) Profiles of control inputs u i 2 .
Mathematics 12 00942 g004
Figure 5. The time of inter-event trigger events.
Figure 5. The time of inter-event trigger events.
Mathematics 12 00942 g005
Disclaimer/Publisher’s Note: The statements, opinions and data contained in all publications are solely those of the individual author(s) and contributor(s) and not of MDPI and/or the editor(s). MDPI and/or the editor(s) disclaim responsibility for any injury to people or property resulting from any ideas, methods, instructions or products referred to in the content.

Share and Cite

MDPI and ACS Style

Ji, Y.; Li, W.; Wang, G. Event-Triggered Consensus Control in Euler–Lagrange Systems Subject to Communication Delays and Intermittent Information Exchange. Mathematics 2024, 12, 942. https://doi.org/10.3390/math12070942

AMA Style

Ji Y, Li W, Wang G. Event-Triggered Consensus Control in Euler–Lagrange Systems Subject to Communication Delays and Intermittent Information Exchange. Mathematics. 2024; 12(7):942. https://doi.org/10.3390/math12070942

Chicago/Turabian Style

Ji, Yunfeng, Wei Li, and Gang Wang. 2024. "Event-Triggered Consensus Control in Euler–Lagrange Systems Subject to Communication Delays and Intermittent Information Exchange" Mathematics 12, no. 7: 942. https://doi.org/10.3390/math12070942

APA Style

Ji, Y., Li, W., & Wang, G. (2024). Event-Triggered Consensus Control in Euler–Lagrange Systems Subject to Communication Delays and Intermittent Information Exchange. Mathematics, 12(7), 942. https://doi.org/10.3390/math12070942

Note that from the first issue of 2016, this journal uses article numbers instead of page numbers. See further details here.

Article Metrics

Back to TopTop