1. Introduction
Compartmental mathematical models are very popular and successful to describe the temporal evolution of pandemic and epidemic outbursts in populations of large size (for reviews see [
1,
2,
3]). Their forecasts on hospitalization and death rates help policy makers to install non-pharmaceutical interventions and/or vaccination campaigns at optimized times. As suitable compartments one introduces the fractions of susceptible persons (
S), infected persons (
I), recovered persons (
R), deceased persons (
D), and vaccinated persons (
V) that no longer can be infected. Individual time-dependent rates regulate the transition between the different compartments. The temporal evolution of the epidemic is then determined by the ratios
,
and
between the recovery (
), vaccination (
), and fatality (
) rates to the infection (
) rate, respectively. By discriminating, e.g., between different age classes in each compartment, these models can be generalized to a much larger number of compartments in order to investigate the effects of pandemic and epidemic outbursts on persons of certain age groups. However, from the health care point of view, to sufficiently provide enough intensive care beds and facilities is independent from the age of the infected persons.
Historically, the first reasonable compartment model was the susceptible–infected–recovered/removed (SIR) epidemic model [
4,
5,
6,
7]. This has been refined to include the effect of vaccination campaigns leading to the susceptible–infected–recovered/removed–vaccinated (SIRV) epidemic model (see references cited in [
8]). The purpose of this manuscript is two-fold. First, we will investigate new classes of exact solutions to the SIRVD and SIRD equations. Secondly, we will also apply the recently developed analytical approximation [
8] for the SIR and SIRV models to the more general SIRVD model. These accurate analytical approximations have been derived for all epidemic quantities of interest such as the rate of new infections
and the corresponding cumulative fraction of infections
. The main difference between the SIRVD and the SIRV model is the discrimination between recovered and deceased persons by introducing two different compartments. This is necessary as the omicron mutant of COVID-19 has a much smaller (about an order of magnitude) fatality rate than earlier mutants. This gradually changing fatality rate is not accompanied by a corresponding change in the time dependence of the recovery rate. Therefore, a mathematical description with one combined recovery/removed compartment is not sufficiently accurate anymore.
The organization of the manuscript is as follows. In
Section 2, we introduce the starting dynamical equations for all considered compartment models both in terms of the real time
t with respect to the onset of the pandemic, and the reduced time
. It is beneficial for the analysis to express the equations in a form directly involving the observable quantities, such as the cumulative fraction of new infections
and the cumulative fraction of vaccinated persons
. It is shown that for given reduced time variations of the ratios
,
, and
the SIRVD and SIRD equations represent complicated integro-differential equations for the rate of new infections
as well as the cumulative fraction of infections
, or
and
. However, the integro-differential equations can also be regarded as simpler determining equations for the sum of ratios
for given variations of the ratio
and the fraction
. This new approach is used in
Section 3 to derive fully exact analytical solutions for the SIRVD and SIRD models. Especially for the SIRD model, it is an effective new method to construct a special class of exact solutions depending on two parameters which are chosen as the values of the ratio
at the start (
) and the end (
)) of the epidemic outburst. The new method for the SIRD case is illustrated in
Section 4 for three different choices of the two parameters including a detailed investigation of the properties of the constructed solutions.
Section 5 and
Section 6 are concerned with the second main purpose of this manuscript, namely the application of the approximate analytical solution in the limit of small cumulative fractions
to the SIRVD model. For general reduced time dependencies of the ratios
,
, and
the time dependence of all quantities of interest is derived in
Section 5, whereas in
Section 6.1 and
Section 6.3 two applications are investigated which were inaccessible to analytical treatment before. Of special interest is the calculation of the death rate
and the corresponding cumulative fraction of deceased persons
. Main differences occur between the considered compartment models, which reflect two alternative points of view. In
Section 6.2, we use the analytic solution and its characteristics to obtain all SIRVD model parameters from reported COVID-19 data.
In the SIRVD and SIRD case with a predescribed fatality rate
, corresponding to the ratio
, the death rate is proportional to the fraction
. Moreover, any different reduced time dependencies of the ratios
and
correctly enter the dynamical equations. In contrast, in the SIR models no compartment of deceased persons has been considered. Instead, the total fraction of recovered and removed (by death) populations
and the summed recovery/removed rate
are used. Then, the solution for the rate of new infections
is employed to calculate an
a posteriori death rate as [
6]
from a specified fatality rate
. Of course, this fatality rate can be regarded as part of the summed recovery/removed rate, so that it also enters the dynamical SIR model equations. However, the main difference remains for the calculation of the death rate: in the SIRVD/SIRD cases it is proportional to
, whereas in many SIR models it is proportional to
. And the temporal dependence of
and
can be different. As we will show, the disparity is most pronounced when the effect of vaccinations is included and/or when the real-time dependence of the fatality rate
and the recovery rate
are different from each other. The a posteriori approach is not necessarily incorrect but has its own justification. It assumes that the probability to die from the virus infection is only determined by being or having been infected with it, and thus is proportional to the rate of new infections
. In contrast, in the SIRD and SIRVD models the probability to die is the same on every day being infected and thus depends on the duration of the infection. A summary and conclusion (
Section 7) completes the manuscript.
It is appropriate to highlight the important differences to our earlier work [
8]—hereafter referred to as KS24. KS24 dealt exclusively with the analytical approximation of the SIRV-epidemics model, which has proven the accuracy of the approximate solution by comparing with the numerical solution of the underlying SIRV equations for a few illustrative examples. But no attempt had been made there to practically apply the analytical solution to monitored data from COVID-19 outbursts in order to extract the key parameters of the SIRV model, namely the values of the ratios of the recovery to infection rate and the vaccination to infection rate. Additionally, KS24 does not distinguish between the fraction of deceased and recovered persons, respectively. The additional D-compartment exists only in the SIRVD (and SIRD) models treated in the present work. The dynamical equations for the SIRV and SIRVD models are qualitatively different as the vaccination rate affects the susceptible S-compartment, whereas the fatality rate affects the infected I-compartment, while the summed compartments remain preserved. Ignoring the D-compartment is a significant oversimplification, especially if the effects of vaccinations is taken into account. As demonstrated in the present work, the time dependence of the rates of deceased persons and the rates of newly infected persons is significantly different, which exhibits itself in different values of the respective peak times and ratios of peak intensities. These significant differences, available in analytic form, are useful to apply a novel and powerful diagnostic method to extract the important pandemic parameters of the SIRVD-model.
3. Special Exact Solutions
Equations (
28)–(
31) are complicated integro-differential equations in the SIRVD and SIRD case, respectively, for given reduced time variations of the ratios
,
and
. Hovever, they can also be regarded as simpler determining Equations for the ratios
for given variations of the ratio
and the fraction
. This can be used to derive fully exact analytical solutions for the SIRVD and SIRD models.
We know that
starts from the initial values
and monotonically decreases to its final non-negative value
after finite or infinite time. We also require, in accord with Equation (
12) and the initial conditions specified in
Section 2.3, that
therefore, we adopt the reduced time variation
parameterized by
,
, and
. While
is formally correct,
may reach zero after finite time
. In that case
, irrespective of the value of the parameter
, that may therefore take positive or negative values in the expression (
37). One has (throughout this work we use the notation
)
from Equation (
37). Only if the argument of the
resides in the interval
, a finite
exists. We are going to see that the special choice of
has to be treated with care; it will allow us to absorb with Equation (
37), along with a particular choice for
, the analytic solution of the SI model, for which
reaches
at
. Moreover, the initial condition
will be used to establish a relationship between
,
, and
.
We adopt without loss of generality positive values of
. The choice (
37) implies
With the first Equation (
15) we obtain for the dynamical SIRVD Equation (
25)
after inserting Equations (
37) and (39b) this Equation becomes
For given reduced time variations
, the combined rate (
41) corresponding to the fraction
in Equation (
37) can be inferred. In the following, we simplify our analysis to the SIRD model.
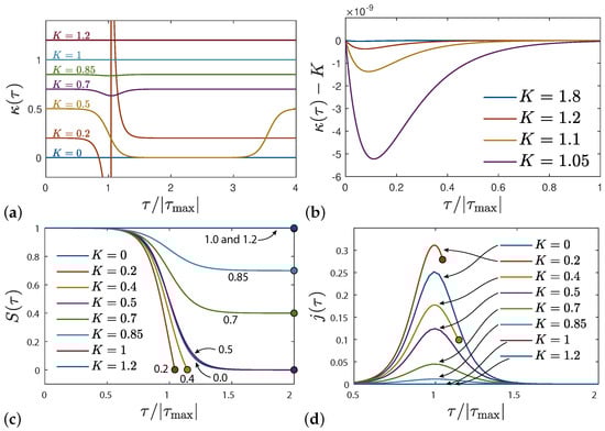
3.1. SIRD Model
The choice (
37) implies for the SIRD model
,
and
The rate (
42a) is of generalized SI-type (see Equation (
A5)) with a width
different from 2 and a general
different from
. We thus investigate for which conditions generalized SI-type rates exactly solve the SIRD equations.
The requirement (
36) demands
We emphasize that the ansatz (
42a) includes the SI model as a special case. Inserting the SI-values
,
,
and
, which follows from Equation (
43) for
, it is straightforward to show that Equation (
42a) correctly reproduces the SI-distribution (
A5). The first Equation (
42a) then can be written as (
Figure 3)
Only for
the maximum rate of new infections at
is much larger than the initial value
. In this limit,
while Equation (
40) for
simplifies to
Within the remainder of this subsection, we use the simplifying abbreviations
to derive expressions for
and
for the two qualitatively different cases of
and
. With the help of Equation (
48), the SIRD Equation (
37) receives the form
or equivalently, upon replacing
using Equation (
43),
similarly, using Equation (39b) in Equation (
47),
becomes
Using
, the initial value
can be read off from Equation (
51). This yields
where we inserted
from (
43) to arrive at the second line in Equation (
52). Expression (
52) is valid for any
.
As long as
, the final value
can be also read off immediately from Equation (
51). While the last term in Equation (
51) diminishes with increasing
Y due to the leading
, the first terms readily evaluate upon replacing
by unity, so that
where we made use again of
from (
43). Calculating
for the remaining case of
requires more care, as the denominator in the last line of Equation (
51) does not anymore increase with increasing
Y. For
, one instead finds
Note the apparent qualitative difference between the two cases. While for , one has for .
3.2. Constraints on the Function
We recall that values of the function smaller than unity describe the epidemic phase where the infection rate is larger than the sum of the recovery and death rate. Hence, if still enough susceptible persons are available, one expects a rising rate of new infections . In the opposite case of values of the function greater than unity, the sum of recovery and death rates outnumbers the infection rate so that the rate of new infections will decrease in such a phase. Therefore, it is appropriate to start with values of the function smaller than unity at small reduced times. Subsequently, the function approaches the value at infinitely large reduced times, which can be either smaller or greater than unity depending on the chosen values of and . However, not all values for and are allowed.
The requirement of having a positive
leads to
this is automatically fulfilled for values of
as the right-hand-side of Equation (
56) is always smaller or equal than unity. For values of
, it is required that
The inequality
, corresponding to
, is met as long as the following inequalities hold:
that follow from Equation (
43). This condition (59), the regime between red and blue dashed lines in
Figure 4, is not compatible with condition (
57) but holds for certain values of
. The condition (
58) further guarantees that also
, and not only
, is non-negative at all times because
requires, according to Equation (
50),
or
which is fulfilled for
all times
because the left-hand side is always smaller than unity while the right-hand side is larger than unity due to condition (
58). In cases
, where the condition (
58) is not fulfilled,
vanishes at the finite time
already stated in Equation (
38). In this case, the chosen solution (
37) or (
50) can only be used in the finite time interval
.
Equation (
51) can also be written as
where we used the identity
The function (
62) is positive for
and non-negative for all times in the admissible interval
. The ratio
is negative and contains singularities if it is used in the regime
.
6. SIRVD Model Applications
Next, we illustrate our results from the preceding section with two examples. While
Section 6.1 is concerned with the case of stationary ratios, in
Section 6.3 we work out the case of a gradually decreasing fatality rate.
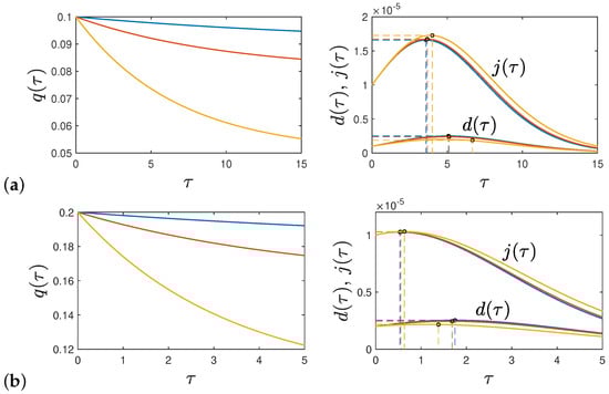
6.1. Stationary Ratios
We first consider the approximative solutions (
138) and (
139) in the special case of stationary ratios
This case corresponds to the numerical solutions of the SIRVD model shown before in
Figure 2. If we introduce
we may use the earlier results of [
8] to obtain
and
Provided
, the rate of new infections (
156) attains its maximum value
at the reduced time
For the cumulative fraction one finds
in terms of the lower incomplete gamma function
. For infinitely large times, the fraction (
159) approaches the final value
Likewise, the SIRVD death rate (
144) in this case becomes
It differs from the a posteriori death rate by the factor
reflecting the ratio between
and
. The rate (
161) peaks at the time
which is greater than the peak time
of the rate of new infections, since
is monotonically increasing with increasing
x. The maximum SIRVD death rate
is smaller than the maximum a posteriori death rate. The corresponding cumulative fraction of fatalities is given by
with the final value
It has been shown before in Equation (57) of [
8] that for small values of
and
the cumulative fractions as well as their final values have to be calculated with the leading order approximation for large values of
:
Applying this approximation to Equations (
160) and (
165) with
provides
We note that the ratio
does not depend on the value of
.
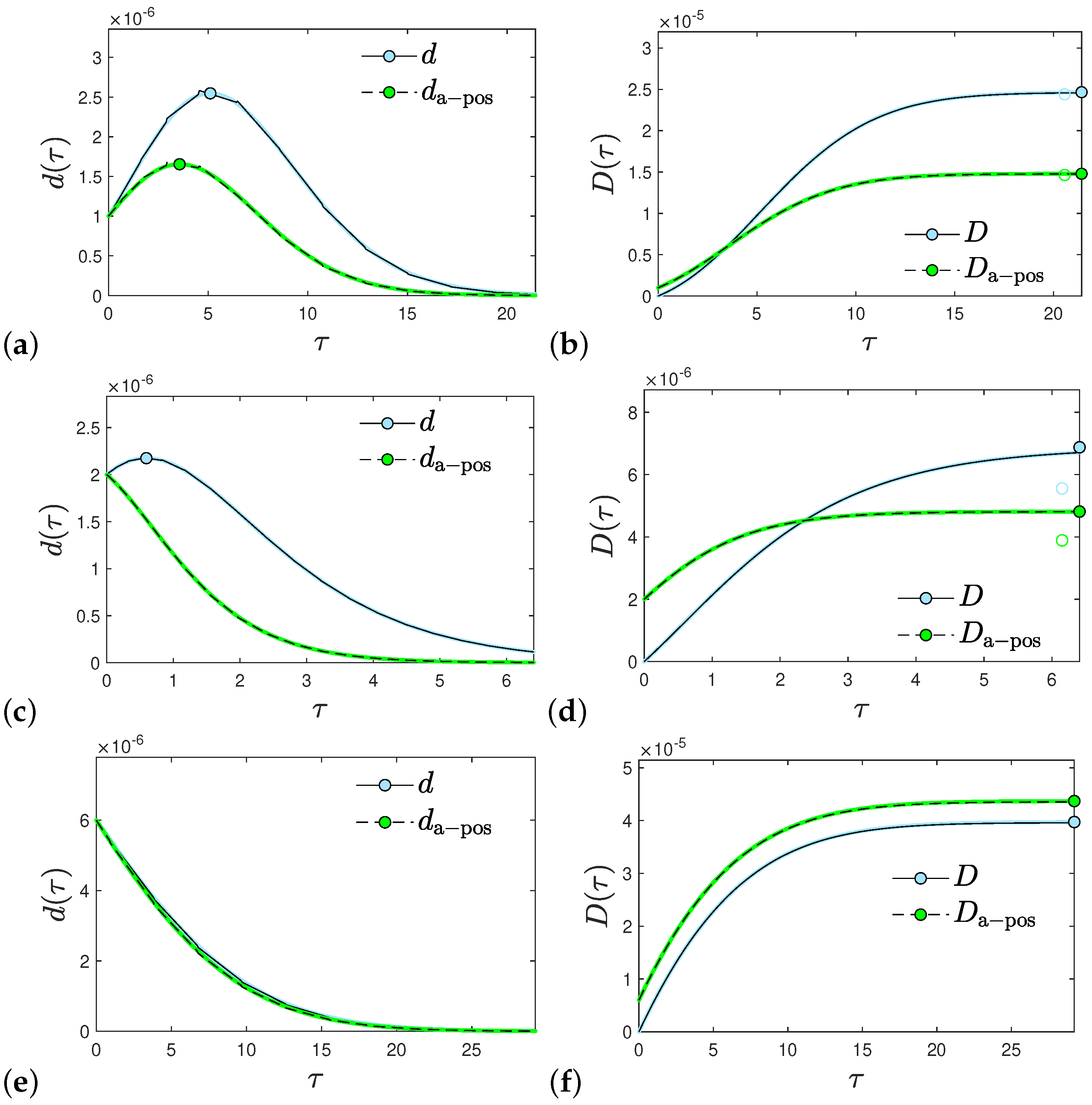
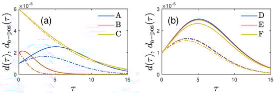
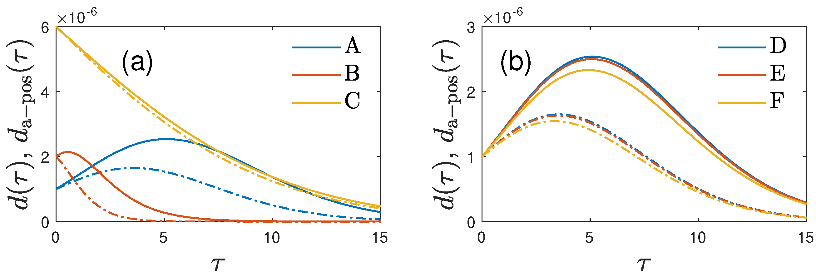
These differences are clearly seen in the panels of
Figure 10. The SIR, SIRV and SIRD curves, representing a posteriori death rates, have a significant different reduced time dependence compared to the SIRVD curve. For
one infers from Equations (
159) and (
162),
For the values of
,
and
shown in
Figure 10a,b, the maximum death rate is a factor
smaller than the maximum a posteriori death rate, the final cumulative fraction of fatalities is a factor
larger than its a posteriori value, and the death rate peaks at the later time
as compared to the peak time
of the a posteriori death rate. For this example, the exact numerical ratio is
, to be compared with ≈0.67 from the analytical expression (
168). The performance of the analytical solution
(
156) of the SIRVD model over a wide range of its determining parameters
and
is analyzed in
Figure 11.
6.2. Application to Measured COVID-19 Data
Here, we exemplify how to obtain all SIRVD model parameters from measured COVID-19 data of a completed pandemic wave if all rates are considered time independent. Using results from the foregoing section, we are going to demonstrate how to extract all parameters analytically from a few characteristics contained in the reported data.
To this end, we collected data capturing the first pandemic COVID-19 wave for several countries. Usually, only the cumulative number of newly infected persons, , and the cumulative number of deceased persons, , are reported, while the population size N can be considered known. Sometimes, is reported as well, but is typically useless, as not all recovered persons report their recovery, and is then simply estimated based on and . Note that the current fraction of infected population, , as well as the susceptible population fraction, , are usually not measurable.
We thus rely on the reported
and
time series as a function of time
t, as well as their derivatives
and
, starting at the time
of the outbreak, which we define here to coincide with the day at which 10 persons have been infected so far,
. The most robust quantities that can be obtained from such time series are the final plateau values
and
, when
and
approached zero or a value that is very small compared with the peak values
and
of the measured rates. As proven in
Appendix D, the following procedure can be followed: (i) calculate the ratio
defined in Equation (A41), i.e.,
(ii) If
, there is no set of positive rates
and
that allow one to capture the data subject to the inequality
, as explained in
Appendix D. If, however,
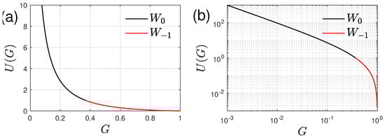
, calculates a real-valued positive
with the help of the principal branch
of Lambert’s
W function,
where the choice of principal versus non-principal branch depends on the magnitude of
G. While Lambert’s
W function is routinely available in engineering software,
Figure 12 can alternatively be used to look up
U for given
G, (iii) with
U and the three measured ratios
,
,
at hand, calculate
according to Equation (A41); note that
implies
, (iv) obtain the three dimensionless SIRVD rates via Equation (A37), i.e.,
Finally, the dimensional rates, if needed, are given by Equations (
10) and (
158),
since
. This procedure has been followed to create
Table 1 for a few selected countries, for which the assumptions
,
, and
underlying the present treatment apply, using public available data [
13]. With the parameters at hand, the time-evolution not only of the reported, but also of the remaining compartments
S,
R, and
V is predicted by the SIRVD model.
The outlined simple recipe must not produce the best possible fit to the measured data by any measure, but it ensures that the three characteristic values are exactly reproduced. Moreover, in an analogous fashion it is possible to use the analytic solution to efficiently extract the SIRVD parameters from measured data well before peak times have been reached, for example, using polynomial coefficients of the time series, ratios between cumulative fractions at different times, etc. This allows to forecast the evolution of all compartments.
6.3. Gradually Decreasing Fatality Rate
Here, we investigate the approximative solutions (
138) and (
139) in the special case of stationary ratios
,
but the gradually decreasing fatality rate
with constants
,
and
G. The fatality rate (
174) starts from the constant value
and decreases with the typical time scale
to its final constant value
. Such a behavior accounts well for the COVID-19 omicron which had a much smaller (about an order of magnitude) fatality rate than the earlier mutants occurring about a year earlier. Such a slow gradual decrease is well captured by the adopted fatality rate (
174) in the case
, allowing us the linear approximation
if necessary.
The vaccination rate (
155) is independent from the fatality rate
and also applies here, whereas with the rate (
174) the rate of new infections (
139) becomes
where we made use of the abbreviation
Consequently, one finds for Equations (
141)–(
144)
and
respectively, whereas the cumulative fraction of infections is given by
The analytical expressions are in excellent agreement with the numerical solutions of the SIRVD model in the presence of time-dependent
. In
Figure 13, we show selected results for
and
, while all other quantities are equally well captured.
6.3.1. Peak Times
For values of
the rate of new infections (
176) peaks at the time given by
whereas the death rate (178c) attains its maximum at
determined by
Both Equations (
181)–(
182) are nonlinear and cannot be solved in closed form (this is known from the works of Évariste Galois who died during a duel at the age of 20 in 1832. His important contribution, known as Galois theory, was recognized and published 14 years later by Joseph Liouville [
14]). However, if we use, as in Equation (
175), the approximation
Equations (
181)–(
182) can be approximated as
and
This latter Equation (
184), treated below, is of the form of Wright’s transcendental equation. It is easy to see that Equations (
176)–(
184) in the limit
correctly reduce to the earlier results in
Section 6.1. The applicability of Equations (
183) and (
184) requires
. Introducing the positive
and the positive combination
of parameters, the first Equation (
183) reads
and thus determines
in terms of
and
. This latter equation is solved in terms of the non-principal Lambert function
(see Appendix G in [
15]) as
where we have just re-inserted
and
in the second part of Equation (
185).
As detailed in
Appendix C, the solution of Equation (
184) is more involved. As for the calculation of
, it is helpful to introduce a dimensionless time
, and to simplify Equation (
184) using an appropriate combination of the five semipositive parameters
,
,
,
,
G, and
. As shown in
Appendix C, it is possible to write Equation (
184) in the form of Wright’s transcendental equation,
or equivalently
upon introducing
X,
a, and
b via
Since
, to ensure positive
, one has
. Further,
since
. For positive values of
b and negative values of
a, no solutions to Equation (
187) with negative
X are possible. This is most easily seen by rewriting this equation as
. For negative
X, the right-hand side is negative, while the left-hand side is positive. Equation (
187) hence implies
, and
implies
. Equation (
186) is equivalent to Wright’s transcendental equation and known [
16] to exhibit real-valued solutions
X only for a limited range of
a and
b values. Using the
x-parametric form of the envelope
and
[
16] we derive the condition
for the existence of a
value. The
monotonically decreases with increasing
b, starting from
and
.
In
Appendix C, we obtain the following approximations for the exact solution of Equation (
187):
Note that
approaches unity for
and
, while
behaves correctly in this limit. As detailed in
Appendix C,
ist most precise for sufficiently small
a well below
,
performs extremely well (
Figure 14) over the whole
a-
b range except very close to
and large
b, while
has advantages only in the regime where
fails. To summarize,
exists as long as
, and is then well approximated by
with
a and
b expressed in terms of
,
,
,
, and
G via Equation (
188). In
Figure 13, we mark the analytical
and
for a few cases. As visible, they capture the peak times of the analytical solutions for
(
176) and
(178c), which moreover are indistinguishable from the numerical solution. Since it is impossible to visualize the performance of the numerical versus analytical results for the case of time-dependent
, characterized by 6 parameters
,
,
,
,
G, and
, we have randomly chosen sets of parameters with
,
,
,
,
, and
]. The comparison is undertaken in
Figure 15.
6.3.2. Maximum Rate of New Infections and Death Rate
With the peak times (
185) and (
191) inserted in Equations (
176) and (178c), respectively, the maximum rates of the new infections and the maximum death rates are given by
where we made use of the determining Equation (
181), and
6.3.3. Death Rates
In
Figure 16, we compare the death rate (178c) and the a posteriori death rate (
35)
with
from Equation (
176) for six different choices of parameters. In each case, the analytical death rates agree very well with the corresponding numerical solutions of the SIRVD model proving the accuracy of the analytical approximation.
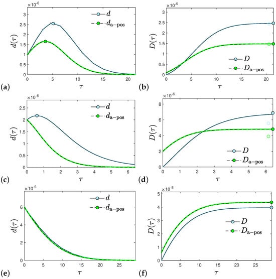
We observe earlier peak times for the a posteriori death rates, following the rate of newly infected individuals, compared with the SIRVD death rate , following . Additionally, the SIRVD death rates are significantly larger compared with those obtained through the a posteriori treatment, with direct implications for the corresponding values. Our predictions for these differences are suitable for being corroborated with past monitored pandemic data on the rate of new infections and the death rates of sufficient quality with negligible underestimation, i.e., negligible dark numbers.
7. Summary and Conclusions
We have investigated a special class of exact solutions as well as accurate analytical approximations of the SIRVD and SIRD compartment models. For nonlinear models with a high-dimensional parameter, space analytical solutions, exact or accurately approximative, are of high importance and interest: not only as suitable benchmarks for numerical codes, but especially as they allow us to understand the critical behavior of epidemic outbursts as well as the decisive role of certain parameters [
17]. For given reduced time variations of the ratios
,
, and
, the SIRVD and SIRD equations represent complicated integro-differential equations for the rate of new infections
as well as the cumulative fraction of infections
, or
and
. However, the integro-differential equations can also be regarded as simpler determining equations for the sum of ratios
for given variations of the ratio
and the fraction
. This new approach has been used to derive fully exact analytical solutions for the SIRVD and SIRD models. Especially for the SIRD model it is an effective new method to construct a special class of exact solutions depending on two parameters which are chosen as the values of the ratio
at the start (
) and the end (
) of the epidemic outburst. The new method for the SIRD case is illustrated in
Section 4 for three different choices of the two parameters including a detailed investigation of the properties of the constructed solutions. Of particular interest are the cases where the combined ratio
at the start and the end of the epidemic outburst have the same value below
which corresponds to infection rates being twice as large as the sum of the recovery and fatality rate. In this case, the epidemic outburst, described by the SI-type
-distribution for the rate of new infections, is so dominated by the rapid infections that at the finite reduced time
the outburst suddenly terminates, as with
no more persons are available to be infected. The situation is comparable to a smooth-running car where suddenly the car engine stops as no more fuel is available. For values greater than
, the epidemic outburst lasts until infinitely large times.
In the second part of the manuscript, the recently developed analytical approximation [
8] for the SIR and SIRV models are applied to the more general SIRVD model. In the limit of small cumulative fractions
, which very often is fulfilled, this approximation provides accurate analytical expressions for all epidemic quantities of interest such as the rate of new infections
and the fraction
of infected persons. One of the referees has kindly informed us that our analytical approach is related to the Perov’s fixed point theorem [
18]. As an aside, when determining
in
Appendix C we provided accurate approximative solutions to Wright’s transcendental Equation (
A16), or equivalently, Equation (
186). The main difference of the SIRVD to the SIRV model is the discrimination between recovered and deceased persons by introducing two different compartments which affects the calculation of the death rate. In the SIRVD/SIRD cases it is proportional to
, whereas in many SIR models in an a posteriori approach it is proportional to
. It is shown that the temporal dependence of
and
are different when the effect of vaccinations is included and/or when the real-time dependence of the fatality rate
and the recovery rate
are different from each other. We illustrate these pronounced differences with two applications: one for stationary ratios
,
and
, and one for stationary ratios
but a gradually decreasing fatality rate. In our analysis, we observe earlier peak-times for the rate of newly infected individuals compared with death rates. Additionally, our findings indicate significantly smaller death rates compared with those obtained through the a posteriori treatment. We are hopeful that these differences can be corroborated with past monitored pandemic data on the rate of new infections and the death rates of sufficient quality, with negligible underestimation. We did not account for the widely acknowledged 7-day delay between the onset of infection and the resulting death. This delay impacts both the death rate in our SIRVD model and the subsequent a posteriori death rate analysis in a consistent manner. As a result, the derived difference in peak times remains unchanged. The case of stationary ratios allows one to construct a new powerful diagnostics method to extract analytically all SIRVD model parameters from measured COVID-19 data of a completed pandemic wave. The new diagnostics method is applied to the monitored COVID-19 data in four countries. Potential future work on this subject should include (1) incorporating in the SIRVD model spatially heterogeneous situations by adding spatial diffusion, (2) a detailed testing of the predictions with suitable data from past COVID-19 waves also for time-dependent ratios
,
, and
, and (3) the derivations of accurate mathematical approximation for more complicated time variations of the ratios
,
and
.