Numerical Simulation of the Stability of Low Viscosity Ratio Viscoelastic Lid-Driven Cavity Flow Based on the Log-Conformation Representation (LCR) Algorithm
Abstract
1. Introduction
2. Governing Equations and Methods
2.1. Governing Equations
2.2. Log-Conformation Representation
2.3. Numerical Stabilization Algorithms
2.3.1. Both-Sides-Diffusion [27] (BSD)
2.3.2. Discrete Elastic Viscous Split Stress Vorticity [28] (DEVSS-ω)
2.3.3. Velocity–Stress Coupling [29] (Coupling)
2.4. Numerical Method
3. Results
3.1. Problem Description
3.2. Grid Independence Verification
3.3. Accuracy Verification
3.4. Analysis of the Simulation Results for Low Viscosity Ratio Lid-Driven Flow in a Cavity
3.4.1. Stability Analysis of the Simulation of Low Viscosity Ratio Lid-Driven Flow in a Cavity
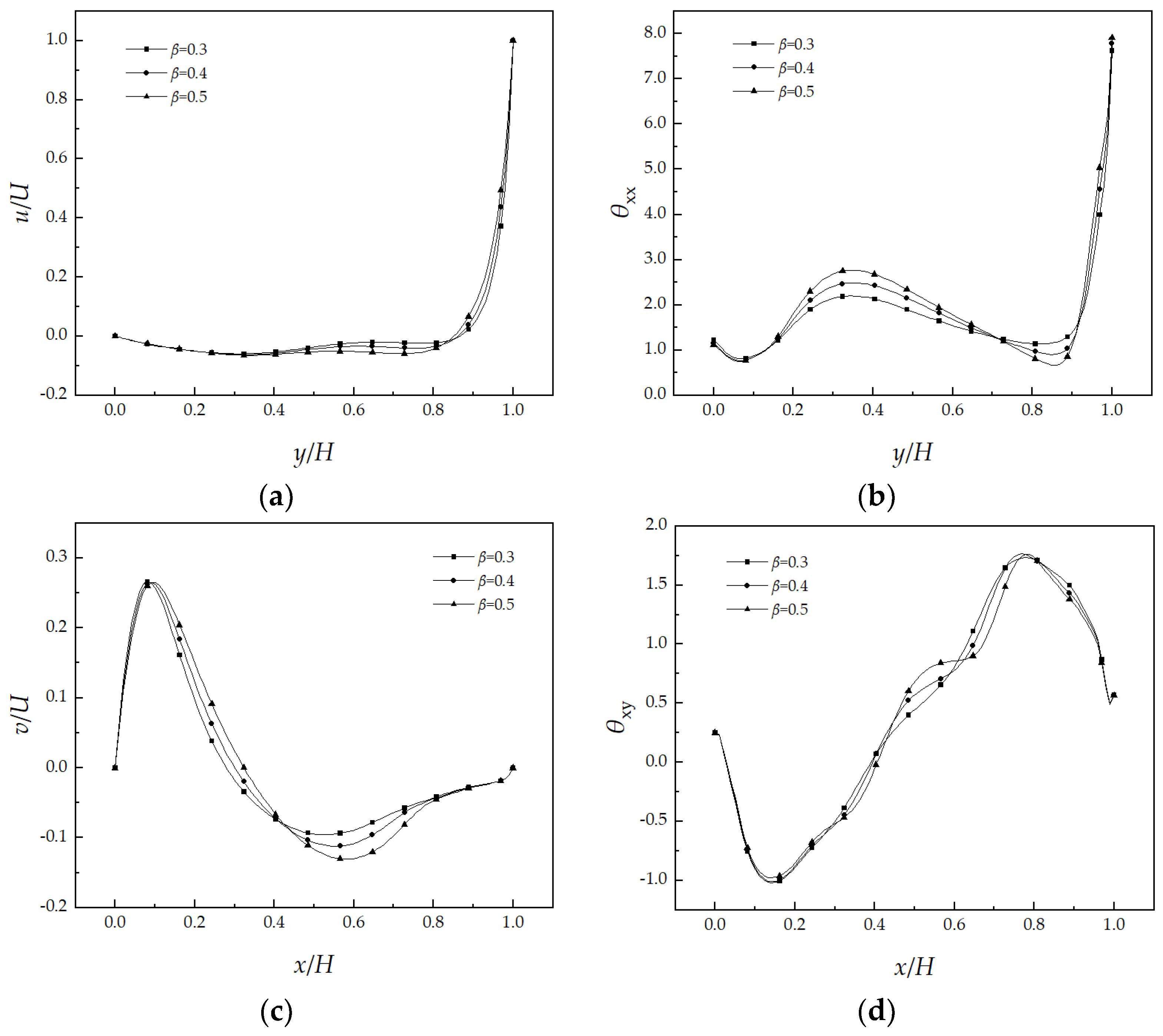
3.4.2. Analysis of Low Viscosity Ratio Flow Characteristics
4. Conclusions
Author Contributions
Funding
Data Availability Statement
Conflicts of Interest
References
- Alves, M.; Oliveira, P.; Pinho, F. Numerical methods for viscoelastic fluid flows. Annu. Rev. Fluid Mech. 2021, 53, 509–541. [Google Scholar] [CrossRef]
- Fortin, M.; Fortin, A. A new approach for the FEM simulation of viscoelastic flows. J. Non-Newton. Fluid Mech. 1989, 32, 295–310. [Google Scholar] [CrossRef]
- Brooks, A.N.; Hughes, T.J. Streamline upwind/Petrov-Galerkin formulations for convection dominated flows with particular emphasis on the incompressible Navier-Stokes equations. Comput. Methods Appl. Mech. Eng. 1982, 32, 199–259. [Google Scholar] [CrossRef]
- Balci, N.; Thomases, B.; Renardy, M.; Doering, C.R. Symmetric factorization of the conformation tensor in viscoelastic fluid models. J. Non-Newton. Fluid Mech. 2011, 166, 546–553. [Google Scholar] [CrossRef]
- Fattal, R.; Kupferman, R. Constitutive laws for the matrix-logarithm of the conformation tensor. J. Non-Newton. Fluid Mech. 2004, 123, 281–285. [Google Scholar] [CrossRef]
- Fattal, R.; Kupferman, R. Time-dependent simulation of viscoelastic flows at high Weissenberg number using the log-conformation representation. J. Non-Newton. Fluid Mech. 2005, 126, 23–37. [Google Scholar] [CrossRef]
- Hulsen, M.A.; Fattal, R.; Kupferman, R. Flow of viscoelastic fluids past a cylinder at high Weissenberg number: Stabilized simulations using matrix logarithms. J. Non-Newton. Fluid Mech. 2005, 127, 27–39. [Google Scholar] [CrossRef]
- Afonso, A.; Oliveira, P.J.; Pinho, F.; Alves, M. The log-conformation tensor approach in the finite-volume method framework. J. Non-Newton. Fluid Mech. 2009, 157, 55–65. [Google Scholar] [CrossRef]
- King, J.; Lind, S. High Weissenberg number simulations with incompressible Smoothed Particle Hydrodynamics and the log-conformation formulation. J. Non-Newton. Fluid Mech. 2021, 293, 104556. [Google Scholar] [CrossRef]
- Comminal, R.; Hattel, J.H.; Alves, M.A.; Spangenberg, J. Vortex behavior of the Oldroyd-B fluid in the 4-1 planar contraction simulated with the streamfunction–log-conformation formulation. J. Non-Newton. Fluid Mech. 2016, 237, 1–15. [Google Scholar] [CrossRef]
- Rath, S.; Mahapatra, B. Low Reynolds number pulsatile flow of a viscoelastic fluid through a channel: Effects of fluid rheology and pulsation parameters. J. Fluids Eng. 2022, 144, 021201. [Google Scholar] [CrossRef]
- Batool, S.; Rasool, G.; Alshammari, N.; Khan, I.; Kaneez, H.; Hamadneh, N. Numerical analysis of heat and mass transfer in micropolar nanofluids flow through lid driven cavity: Finite volume approach. Case Stud. Therm. Eng. 2022, 37, 102233. [Google Scholar] [CrossRef]
- Huang, F.; Wang, D.; Li, Z.; Gao, Z.; Derksen, J. Mixing process of two miscible fluids in a lid-driven cavity. Chem. Eng. J. 2019, 362, 229–242. [Google Scholar] [CrossRef]
- Marzougui, S.; Mebarek-Oudina, F.; Magherbi, M.; Mchirgui, A. Entropy generation and heat transport of Cu–water nanoliquid in porous lid-driven cavity through magnetic field. Int. J. Numer. Methods Heat Fluid Flow 2021, 32, 2047–2069. [Google Scholar] [CrossRef]
- Saieed, A.N.A.; Mustafa, M.A.S.; Ayed, S.K.; Habeeb, L.J. Review on heat transfer enhancement in cavity with lid driven. J. Mech. Eng. Res. Dev. 2020, 43, 356–373. [Google Scholar]
- Dalal, S.; Tomar, G.; Dutta, P. Numerical study of driven flows of shear thinning viscoelastic fluids in rectangular cavities. J. Non-Newton. Fluid Mech. 2016, 229, 59–78. [Google Scholar] [CrossRef]
- Sousa, R.; Poole, R.; Afonso, A.; Pinho, F.; Oliveira, P.; Morozov, A.; Alves, M. Lid-driven cavity flow of viscoelastic liquids. J. Non-Newton. Fluid Mech. 2016, 234, 129–138. [Google Scholar] [CrossRef]
- Gupta, S.; Chauhan, A.; Sasmal, C. Influence of elastic instability and elastic turbulence on mixed convection of viscoelastic fluids in a lid-driven cavity. Int. J. Heat Mass Transf. 2022, 186, 122469. [Google Scholar] [CrossRef]
- Chen, D.-L.; Zhang, Y.; Gao, X.-L.; Luo, K.; Wu, J.; Yi, H.-L. Electrohydrodynamic conduction phenomena of a viscoelastic dielectric fluid with electroelastic instability. Phys. Rev. Fluids 2023, 8, 053702. [Google Scholar] [CrossRef]
- Comminal, R.; Spangenberg, J.; Hattel, J.H. Robust simulations of viscoelastic flows at high Weissenberg numbers with the streamfunction/log-conformation formulation. J. Non-Newton. Fluid Mech. 2015, 223, 37–61. [Google Scholar] [CrossRef]
- Pan, T.W.; Hao, J.; Glowinski, R. On the simulation of a time-dependent cavity flow of an Oldroyd-B Fluid. Int. J. Numer. Methods Fluids 2009, 60, 791–808. [Google Scholar] [CrossRef]
- Zhou, W.; Ouyang, J.; Wang, X.; Su, J.; Yang, B. Numerical simulation of viscoelastic fluid flows using a robust FVM framework on triangular grid. J. Non-Newton. Fluid Mech. 2016, 236, 18–34. [Google Scholar] [CrossRef]
- Chen, X.; Marschall, H.; Schäfer, M.; Bothe, D. A comparison of stabilisation approaches for finite-volume simulation of viscoelastic fluid flow. Int. J. Comut Fluid Dyn. 2013, 27, 229–250. [Google Scholar] [CrossRef]
- Chourushi, T. Effect of fluid elasticity on the numerical stability of high-resolution schemes for high shearing contraction flows using OpenFOAM. Theor. Appl. Mech. Lett. 2017, 7, 41–51. [Google Scholar] [CrossRef]
- Habla, F.; Obermeier, A.; Hinrichsen, O. Semi-implicit stress formulation for viscoelastic models: Application to three-dimensional contraction flows. J. Non-Newton. Fluid Mech. 2013, 199, 70–79. [Google Scholar] [CrossRef]
- Chai, Y.; Ouyang, J.; Wang, X. An efficient stabilized finite element scheme for simulating viscoelastic flows. Int. J. Numer. Methods Fluids 2021, 93, 1947–1968. [Google Scholar] [CrossRef]
- Guénette, R.; Fortin, M. A new mixed finite element method for computing viscoelastic flows. J. Non-Newton. Fluid Mech. 1995, 60, 27–52. [Google Scholar] [CrossRef]
- Dou, H.-S.; Phan-Thien, N. The flow of an Oldroyd-B fluid past a cylinder in a channel: Adaptive viscosity vorticity (DAVSS-ω) formulation. J. Non-Newton. Fluid Mech. 1999, 87, 47–73. [Google Scholar] [CrossRef]
- Pimenta, F.; Alves, M. Stabilization of an open-source finite-volume solver for viscoelastic fluid flows. J. Non-Newton. Fluid Mech. 2017, 239, 85–104. [Google Scholar] [CrossRef]
- Alves, M.; Oliveira, P.; Pinho, F. A convergent and universally bounded interpolation scheme for the treatment of advection. Int. J. Numer. Methods Fluids 2003, 41, 47–75. [Google Scholar] [CrossRef]
- Van Doormaal, J.P.; Raithby, G.D. Enhancements of the SIMPLE method for predicting incompressible fluid flows. Numer. Heat Transf. 1984, 7, 147–163. [Google Scholar]














| Mesh | Number of Control Volumes | Δx/H = Δy/H |
|---|---|---|
| M1 | 9216 | 1.04 × 10−2 |
| M2 | 16,384 | 7.8 × 10−3 |
| M3 | 36,864 | 5.21 × 10−3 |
| M4 | 65,536 | 3.91 × 10−3 |
| LCR | LCR + BSD | LCR + Coupling | LCR + DEVSS-ω | |
|---|---|---|---|---|
| Wi = 1 | 0.09 | 0.06 | 0 | 0.03 |
| Wi = 2 | 0.28 | 0.22 | 0.2 | 0.2 |
| Wi = 3 | 0.43 | 0.32 | 0.25 | 0.25 |
| Wi = 1 | Wi = 2 | Wi = 3 | ||||||||||
|---|---|---|---|---|---|---|---|---|---|---|---|---|
| β = 0.1 | β = 0.2 | β = 0.3 | β = 0.4 | β = 0.5 | β = 0.2 | β = 0.3 | β = 0.4 | β = 0.5 | β = 0.3 | β = 0.4 | β = 0.5 | |
| LCR | 1 × 10−4 | 3 × 10−3 | 4.3 × 10−3 | 4.8 × 10−3 | 5 × 10−3 | none | 1.7 × 10−3 | 1.8 × 10−3 | 3 × 10−3 | none | none | 1.3 × 10−3 |
| LCR + BSD | 4 × 10−4 | 1 × 10−3 | 1.5 × 10−3 | 2 × 10−3 | 2.4 × 10−3 | none | 6 × 10−4 | 8 × 10−4 | 1.5 × 10−3 | none | 5 × 10−4 | 6 × 10−4 |
| LCR + coupling | 8 × 10−4 | 1.8 × 10−3 | 2.2 × 10−3 | 2.6 × 10−3 | 3 × 10−3 | 1.1 × 10−3 | 1.3 × 10−3 | 1.9 × 10−3 | 2.2 × 10−3 | 6 × 10−4 | 8 × 10−4 | 9 × 10−4 |
| LCR + DEVSS-ω | 1.2 × 10−3 | 1.9 × 10−3 | 2.2 × 10−3 | 2.6 × 10−3 | 3 × 10−3 | 9 × 10−4 | 1.3 × 10−3 | 1.8 × 10−3 | 2.1 × 10−3 | 7 × 10−4 | 8 × 10−4 | 9 × 10−4 |
Disclaimer/Publisher’s Note: The statements, opinions and data contained in all publications are solely those of the individual author(s) and contributor(s) and not of MDPI and/or the editor(s). MDPI and/or the editor(s) disclaim responsibility for any injury to people or property resulting from any ideas, methods, instructions or products referred to in the content. |
© 2024 by the authors. Licensee MDPI, Basel, Switzerland. This article is an open access article distributed under the terms and conditions of the Creative Commons Attribution (CC BY) license (https://creativecommons.org/licenses/by/4.0/).
Share and Cite
Ke, L.; Wang, Q. Numerical Simulation of the Stability of Low Viscosity Ratio Viscoelastic Lid-Driven Cavity Flow Based on the Log-Conformation Representation (LCR) Algorithm. Mathematics 2024, 12, 430. https://doi.org/10.3390/math12030430
Ke L, Wang Q. Numerical Simulation of the Stability of Low Viscosity Ratio Viscoelastic Lid-Driven Cavity Flow Based on the Log-Conformation Representation (LCR) Algorithm. Mathematics. 2024; 12(3):430. https://doi.org/10.3390/math12030430
Chicago/Turabian StyleKe, Lingjie, and Qikun Wang. 2024. "Numerical Simulation of the Stability of Low Viscosity Ratio Viscoelastic Lid-Driven Cavity Flow Based on the Log-Conformation Representation (LCR) Algorithm" Mathematics 12, no. 3: 430. https://doi.org/10.3390/math12030430
APA StyleKe, L., & Wang, Q. (2024). Numerical Simulation of the Stability of Low Viscosity Ratio Viscoelastic Lid-Driven Cavity Flow Based on the Log-Conformation Representation (LCR) Algorithm. Mathematics, 12(3), 430. https://doi.org/10.3390/math12030430
