Using Relational Biology with Loop Analysis to Study the North Atlantic Biological Carbon Pump in a ‘Hybrid’ Non-Algorithmic Manner
Abstract
1. Introduction
1.1. Purpose and Rationale
1.2. Qualitative or Quantitative Models?
1.3. Loop Analysis
1.3.1. Type 1 Loop Analysis
1.3.2. Type II Loop Analysis
1.4. Some Advantages and Disadvantages of LA
1.4.1. Advantages of Loop Analysis
- Loop Analysis is more accessible to non-mathematicians and non-modelers, because when there is qualitative structure, much can be accomplished by inspection alone; however, in truth, much also remains to be explored and accomplished by mathematicians. LA can be used hypothetically (Type I) or with data (Type II) and is a form of graph theory (signed digraphs) that can elucidate ecological networks. Iñiguez et al. [34] (p. 1) explained that “Graph theory has focused on providing rigorous proofs for graph properties… current network science, instead, is more akin to phenomenological physics by focusing on observations of real-world networks and ad hoc mathematical concepts to quantify them, to gain intuition about their underlying generative mechanisms”.
- Loop nodes do not need to be in the same units, so highly disparate types of components can be modeled together in the same network. This is especially useful when modeling socio-ecological systems with human and ecological variables in one network [17] For example, Bodini et al. [21] used disparate nodes including forest cover, agriculture productive land, rural population, ecosystem function, capital business, illicit business, available land, displaced people, and violence in a single-loop model to explain the conflict in Columbia. Variables can be both biotic and abiotic. LA focuses on the causality of the network and its functional organization rather than the type of ‘matter’ which forms it. This is the essence of the relational approach.
- Loop models are not restricted to only feeding relationships (predator–prey), since all nine link types are available for each pair of nodes. This ensures models can be biologically realistic. LA can portray non-feeding interactions such as shading, poisoning, extracellular release, mutualism, and interference competition, as well as various one-way links like self-shading and self-poisoning in aquatic communities.
- Individual links in food webs are often assumed to be static, as given only by an investigator’s intuition or an anecdotal feeding observation. Intuition, however, is rarely adequate. Because of the many types of interconnections that food webs can exhibit and/or need portrayal, there is not much basis for confidence that such rigid food web depictions are accurately representative of biologically reasonable networks in nature. Nodes and links can predictably change both through well-documented seasonal species successions or more often in more random ways that defy simple explanations. LA (Type II) provides a method to delineate sets of biologically reasonable networks that encompass multiple links between pairs of nodes and are adaptive.
- Loop Analysis provides measures of stability using the Routh–Hurwitz criteria. Both positive (destabilizing) and negative (stabilizing) feedback loops occur in loop models, as is observed in nature. For stability, negative feedback needs to outweigh positive feedback; short negative loops are the most stabilizing, long positive ones are the most destabilizing, and the overall feedback of the total network (FN) should be negative before LA calculations are undertaken.
- Loop Analysis can help ‘do science’. For example, it can facilitate the development of sampling and experimental designs to be used in both field and laboratory studies and help investigators decide what to measure. Too often ecologists are frustrated by the need to ‘measure everything’ simultaneously, which is impossible even with a generous budget. Having a tool that distinguishes what needs to be quantified from what does not is useful and cost-effective. In addition, LA via the construction of a set of alternative models can help formulate and test hypotheses, exemplified by Babcock, et al. [35] for managing a large predator starfish on the Great Barrier Reef of Australia, which has caused substantial damage to the coral communities.
- Loop Analysis can be used for both field studies and laboratory press experiments [4] and networks can be directly compared to better understand how experimental results relate to those from a field community involving hundreds of species. LA does this easily. It has been difficult to interpret results and explain differences in dynamics for a set of mesocosms. LA illustrates how community structure remains intact between and among field and laboratory models, which is usually problematic when comparisons only use density data [4].
- Loop Analysis is particularly good at understanding underlying causality in complex feedback systems at the community level that can also be modeled hierarchically [24]. Using LA, it is possible to travel up and down hierarchies of interest. Changes in any embedded sub-network can lead to changes in the functional relations and links of the main network, which in turn can affect other hierarchical levels. These capabilities are essential for Relational Biology. Generally, longer loops are considered to take a longer time to make one revolution than short loops, since each link in a loop model takes a finite amount of time. Thus, temporal relationships and synchronization are inherently captured in loop models. Levels of hierarchical systems vary temporally, so this can be helpful when analyzing loop models arranged hierarchically [24]. Simon [36] suggested that it is reasonable to suppose that different levels of a hierarchy are separated from each other because of different temporal dynamics.
- Loop Analysis can discern which pathways are operating and which are not. The technique also illustrates how the main processes are networked and relations between nodes are mappings of one node on another. As early as 1948, G. E. Hutchinson [37] recognized that ecosystems are circularly causal systems, especially in the recirculating of matter. Patten [13] (p. 566) concluded that “based on the propagation of material cause through ecosystems, as represented by biogeochemical cycling, it is conjectured that ecosystems consist of mutually dependent state variables, and thus that ecosystems are causally closed”.
- *All models are imperfect, and at a minimum, they are imperfect because they omit aspects of nature relevant to the model’s integrity. This also implies models are essentially false representations. More important than truth or falsity, however, is whether models are useful. Are they worth constructing? Does the investigator learn anything new from a model? Loop Analysis has revealed a great deal about the structure and functional organization and relations/mappings of marine networks and the biology underlying individual nodes and links that were not available from the literature. It has identified missing nodes when there is rarely a theory to account for the missing. This makes these models useful and, overall, a worthwhile endeavor.
- Pathway analysis of loop models documents that indirect pathways dominate direct ones, which provides valuable conceptualization and information on how decentralized control works in ecosystems similar to Patten’s results using quantitative input–output models [30].
- Loop Analysis allows for predictions in standing crops and turnover rates for all nodes in a model when the system is subject to parameter input coming from the environment outside the network, which is considered equivalent to driving forces or perturbations in quantitative systems ecology. These predictions also help identify where parameter inputs are entering a network and whether they are positive or negative. Marine ecosystems are continually subject to a range of perturbations that have been exacerbated by climate change; for example, simply increasing sea temperature affects all nodes simultaneously.
- *Once a set of LA networks is constructed, they can be characterized by a set of several dozen network measures, both conventional ones and measures specific for loop models such as ecological skeletons, satellite variables, and volatile links. Non-specific examples include connectivity, connectance, similarity, cluster analysis, centrality, network motifs, percolation, paths and feedbacks by level, and shortest path, among others. For example, Jordán et al. [38] have used algorithmic measures of node centrality, interaction asymmetry, positional similarity, topological indices (density, fragmentation, and transitivity), and multivariate statistical analysis using PCA. Jordán et al. [39] have included in- and out-degree, closeness centrality, eigenvalue centrality, keystone index, and topological importance index among others, again all algorithmic measures.
1.4.2. Disadvantages of Loop Analysis
- Loop Analysis does not provide quantitative or precise values of its predictions unless the ecological skeletons are further quantified.
- Loop diagrams are static snapshots of an ecosystem. For Type II modeling, the investigator requires a set of diagrams that give comprehensive coverage of the range of environmental conditions occurring over extended time and space scales for the ecosystem.
- Loop Analysis can produce ambiguous results when two or more pathways, two or more complements, or their multiplication in the CEM calculations give different signed results. These ambiguities at a minimum can be only resolved using a semi-quantitative set of calculations described in Lane and Levins [40].
- *Loop Analysis does not distinguish types of feedback beyond positive and negative loops, including their contribution to stability, and cannot determine how system behavior might be oscillatory or chaotic or their subtypes without further mathematical treatment.
- *Data may be too scarce to portray the system adequately.
- *Investigators may lack enough intuition with the real-world system being modeled and not understand how multiple feedbacks operate simultaneously in ecosystems, leading to poor models and their interpretation.
- *Investigators may lack the ability to determine non-linearities in network links because of a too-small set of models in Type II LA or a general lack of biological intuition in both types of loop modeling.
- *Loop Analysis applies to systems that are near equilibrium. Levins [6,7] termed this ‘moving equilibrium’, which involves the notion that whereas the system is perturbed from its trajectory path, it returns to the same trajectory path but at a different point than what it left. This is a less rigid requirement of a single stability point like the Lotka–Volterra equations. Quantitative models also have various stability requirements to meet.
2. Methods and Results for the Example: The North Atlantic Biological Carbon Pump
2.1. The North Atlantic Biological Carbon Pump
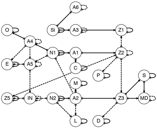
2.2. The Ecological Skeleton and the Community Effects Matrix
2.3. Network Calculations and Measures
3. Discussion
3.1. Does Loop Analysis Use Algorithms?
- (1)
- In mathematics, modeling generally, and LA specifically, algorithms are frequently interspersed with non-algorithmic processes. This is not unusual; it may be the norm. This is what Turing [53] called ‘using commonsense’ and Rosen termed ‘intuitive’ when building models. Non-algorithmic components seem to be part of the Type II LA, although I am certainly open to correction by mathematicians.
- (2)
- In Rosen’s modeling relation diagram [3], he recommends that when encoding and decoding between the natural world and the formal one, compare results from both [1]. I believe this is what is performed in modeling with Type II LA, and it is not a simulation process, although this is also open for discussion. There have been some simulation attempts with LA. For example, Montaño-Moctezuma et al. [54] simulated all possible food webs with a seven-node model of a kelp forest system and were able to reduce 2.39 × 1023 mathematically possible food webs to about 12 million by eliminating feeding links that the authors believed were not operative in nature. They calculated the smaller set of models to compare their predictions in abundance changes with annual field data. They identified ~27,000 stable networks or 0.23%, with only 748 (0.006%) being considered as “highly reliable”. The realm of ‘biologically reasonable’ food webs is much smaller than its “mathematically possible” counterpart. They found, like we have, that marine ecosystems exist as a set of micro-states that continuously shift links but posit around a discernable core structure. The authors’ 748 networks are amenable to detailed quantitative analysis with modern tools and computers. They were limited, however, with only seven species, two data periods, and seven variables. For the Scotian Shelf, we have over 500 species, reduced from 800 in 20 years of data with 12–20 sampling dates per year, and hundreds of plankton loop models. Unfortunately, we do not have the computer power to simulate our total model set as Montaño-Moctezuma et al. [54] did.
- (3)
- Essentially, connecting a set of nodes with appropriate links is like solving a complicated puzzle. Whether LA can be worked backward algorithmically from the field data to the Community Matrix is also a puzzle. Alan Turing [53] (p. 579) wrote in his last paper, “There is no systematic method of testing puzzles to see whether they are solvable or not… it has been proved that no such tests can ever be found”. Mathematicians and puzzles make a highly copasetic pairing. Penrose [55] (p. 86) observed the following: “The concept of computability is a very important and beautiful mathematical idea. It is also a remarkably recent one—as things of such a fundamental nature go in mathematics—having been first put forward in the 1930s. The power of the idea lies partly in the fact that some well-defined operations in mathematics are not computable (i.e., Turing machine halting problem [56]) … For if there were no such non-computable things, the concept of computability would not have much mathematical interest. Mathematicians, after all, like puzzles. It can be an intriguing puzzle for them to decide, of some mathematical operation, whether it is computable. It is especially intriguing because the general solution of that puzzle is itself non-computable”.
3.2. Loop Analysis as a Relational Biology Tool for Ecosystem Chimeras
3.2.1. Loop Analysis Is a Relational Biology Tool
3.2.2. Ecosystem Chimeras as a Guide to Life Itself
3.2.3. Aristotle’s Four Causes at the Ecosystem Level
3.2.4. A Plea for More Relational Mathematics in Biology
- (1)
- Forestiero [68] (p. 14) surveyed the use of mathematics in biology, asking the following question: “Do mathematicians have the tools to deal with the phenomenon of biological complexity as a whole, that is, the phenomenon of ontogenesis and evolution of living things as a whole?” and concluded, “in my opinion, the answer is they do not have them, not yet… perhaps a different mathematical language is needed, one capable of fully grasping and explaining the internal relationships between biological objects in their context: a mathematics centered on the study of relationships… it would be such a huge scientific achievement if mathematicians managed to invent a new mathematics tailored for living beings”.
- (2)
- “Mathematics comes in biology in two different ways: first and foremost, in quantitative and computational form and, secondly, as an attempt to analyze the relationships existing in living systems mathematically but, biological phenomena have been treated both from a deterministic point of view and a statistical one. In the last half-century, mathematics has become pervasive in biology also through computer science, bioinformatics, simulation, and increasingly in complex modeling” (Forestiero [68] (p. 15).
- (3)
- Hofmeyr [71] (p. 1) explained that “the relationship between biology and mathematics-a relationship through which its entire history has always been an uneasy one…Rosen is now recognized as one of the most important theoretical biologists of the 20th century (see [25,72,73]). His development of Relational Biology can be said to [motivate] the Age of Synthesis, an integrated view in which we try to glue Humpty Dumpty together again. If the Age of Analysis was characterized by the unspoken motto ‘divide and conquer’ then perhaps the Age of Synthesis aims to ‘integrate and rule’. Today relational biology is a rich array of mathematical tools: category theory, graph theory, network theory, automata, formal systems, to name the most important”.
4. Suggestions for Future Directions
Funding
Data Availability Statement
Acknowledgments
Conflicts of Interest
References
- Lane, P.A. Robert Rosen’s relational biology theory and his emphasis on non-algorithmic approaches to living systems. Mathematics 2024, 12, 3529. [Google Scholar] [CrossRef]
- Rosen, R. Essays on Life Itself; Columbia University Press: New York, NY, USA, 2000. [Google Scholar]
- Rosen, R. Life Itself, A Comprehensive Inquiry into The Nature, Origin, and Fabrication of Life; Columbia University Press: New York, NY, USA, 1991. [Google Scholar]
- Lane, P.A. Ecological skeletons: Excavating the bare bones of community structure using Loop Analysis. In The Truth Is the Whole: On the Unity and Dynamic Complexity of Life. Proceedings of a Symposium at the Harvard University School of Public Health, Boston, MA, USA, 21–23 May 2015; Awerbach, T., Clark, M.S., Taylor, P.J., Eds.; The Pumping Station Press: Hong Kong, China, 2020; pp. 201–219. [Google Scholar]
- Patten, B.C.; Witkamp, M. Systems analysis of 134cesium kinetics in terrestrial microcosms. Ecology 1967, 48, 813–824. [Google Scholar] [CrossRef]
- Levins, R. Evolution in communities near equilibrium. In Ecology and Evolution of Natural Communities; Cody, M., Diamond, J., Eds.; Belknap Press: Cambridge, UK, 1975; pp. 16–50. [Google Scholar]
- Levins, R. The qualitative analysis of partially specified systems. Ann. N. Y. Acad. Sci. 1974, 231, 123–138. [Google Scholar] [CrossRef]
- Dambacher, J.M.; Li, H.W.; Rossignol, P.A. Qualitative predictions and model ecosystems. Ecol. Model. 2003, 161, 79–93. [Google Scholar] [CrossRef]
- Dambacher, J.M.; Luh, H.K.; Li, H.W.; Rossignol, P.A. Qualitative stability and ambiguity and model ecosystems. Am. Nat. 2003, 161, 876–888. [Google Scholar] [CrossRef]
- Wright, J.A.; Lane, P.A. The theory of Loop Analysis. Ecology 1986, 67, 8525B. [Google Scholar]
- Mason, S.J. Feedback Theory. Some Properties of Signal Flow Graphs. Proc. IRE 1953, 41, 1144–1156. [Google Scholar] [CrossRef]
- Tice, B.S. Algorithmic Techniques for the Polymer Sciences; Apple Academic Press: Palm Bay, FL, USA; CRC Press: Boca Raton, FL, USA, 2021. [Google Scholar]
- Patten, B.C.; Bosserman, R.W.; Finn, J.T.; Cale, W.G. Chapter 17—Propagation of causes in ecosystems. In Systems Analysis and Simulation in Ecology; Patten, B.C., Ed.; Academic Press: Cambridge, MA, USA, 1976. [Google Scholar]
- Jeng, S.L.; Roy, R.; Chieng, W.H. A Matrix Approach for Analyzing Signal Flow Graph. Information 2020, 11, 562. [Google Scholar] [CrossRef]
- Jung, S.; Song, I.; Cressler, J.D. Systematic methodology for applying Mason’s signal flow graph to analysis of feedback circuits. In Proceedings of the 2014 IEEE International Symposium on Circuits and Systems (ISCAS), Melbourne, VIC, Australia, 1–5 June 2014; pp. 2421–2424. [Google Scholar] [CrossRef]
- Novak, M.; Yeakel, J.D.; Noble, A.E.; Doak, D.F.; Emmerson, M.; Estes, J.A.; Jacob, U.; Tinker, M.T.; Wootton, J.T. Characterizing species interactions to understand press perturbations: What is the community matrix? Annu. Rev. Ecol. Evol. Syst. 2016, 47, 409–432. [Google Scholar] [CrossRef]
- Lane, P.A. Putting More ‘System’ into Ecosystem-Based Management Using Qualitative Analysis. In Handbook of Systems Sciences; Metcalf, G.S., Kijama, K., Deguchi, H., Eds.; Springer: Berlin/Heidelberg, Germany, 2021; pp. 917–942. [Google Scholar]
- Niquil, N.; Scotti, M.; Fofack-Garcia, R.; Haraldsson, M.; Thermes, M.; Raoux, A.; Le Loc’H, F.; Mazé, C. The merits of loop analysis for the qualitative modeling of social-ecological systems in presence of offshore wind farms. Front. Ecol. Evol. 2021, 9, 635798. [Google Scholar] [CrossRef]
- Rodriquez, M.; Bodini, A.; Escobedo, F.J.; Clerici, N. Analyzing socio-ecological interactions through qualitative modeling: Forest conservation and implications for sustainability in the peri-urban Bogota (Columbia). Ecol. Model. 2021, 439, 109344. [Google Scholar] [CrossRef]
- Coll, M.; Albo-Puigserver, M.; Navarro, J.; Palomera, I.; Dambacher, J.M. Who is to blame? Possible pressure on small pelagic fish population changes in the northwestern Mediterranean Sea. Mar. Ecol. Prog. Ser. 2019, 616–617, 277–294. [Google Scholar] [CrossRef]
- Bodini, A.; Vivian, J.; Vargas, J.; Clerici, N.; Scotti, M. The web of conflict-related interactions: Exploring causal linkages between ecological and social variables by the qualitative loop analysis. Phil. Trans. R. B 2024, 379, 20230165. [Google Scholar] [CrossRef]
- Ortiz, M.; Hermosillo-Núñez, B. Quantifying stability and resilience of eco-social keystone species complexes for coastal marine ecosystems of the Caribbean Sea and eastern Pacific: Applications in conservation and monitoring programs. Philos. Trans. R. Soc. B 2024, 379, 20230176. [Google Scholar] [CrossRef] [PubMed]
- Ortiz, M.; Levins, R.; Campos, L.; Berrios, F.; Campos, F.; Jordán, F.; Hermosillo, B.; Gonzalez, J.; Rodriguez, F. Identifying keystone trophic groups in benthic ecosystems: Implications for fisheries management. Ecol. Indic. 2013, 25, 133–140. [Google Scholar] [CrossRef]
- Lane, P.A. Understanding the ecological complexity of marine-mediated climate change on biosphere security. In Complexity and Security: Theorizing Within and Beyond Borders; Charalampaki, E., Mesjasz, C., Tome, L., Eds.; Routledge Book Series: Innovations in International Affairs; Routledge: Oxfordshire, UK, 2025; in press. [Google Scholar]
- Lane, P.A. Ecosystems as Chimeras: A thought experiment in Rosennean Complexity. Ecol. Complex. 2018, 35, 51–75. [Google Scholar] [CrossRef]
- Lane, P.A. A review of the trophic cascade concept using the lens of Loop Analysis: “The truth is the whole”. Food Webs 2017, 13, 1–11. [Google Scholar] [CrossRef]
- Lane, P.A. A cautionary tale: The goldilocks’ effect in measuring ecological complication in food webs. Food Webs 2016, 8, 1–11. [Google Scholar] [CrossRef]
- Lane, P.A. Symmetry, change, perturbation and observing mode in natural communities. Ecology 1986, 67, 223–239. [Google Scholar] [CrossRef]
- Lane, P.A. Assessing cumulative health effects in ecosystems. In Ecosystem Health; Rapport, D., Costanza, R., Epstein, P., Gaudet, C., Levins, R., Eds.; Blackwell Science: Malden, MA, USA, 1998; pp. 129–153. [Google Scholar]
- Nielsen, S.N.; Patten, B.C.; Bastianoni, S.; Marques, J.C.; Müller, F.; Patten, B.C.; Ulanowicz, R.E.; Jørgensen, S.E.; Tiezzi, E. A New Ecology: Systems Perspective, 2nd ed.; Elsevier: Amsterdam, The Netherlands, 2020. [Google Scholar]
- Lane, P.A. Assumptions about trophic cascades: The inevitable collision between reductionist simplicity and ecological complexity. Food Webs 2017, 13, 12–26. [Google Scholar] [CrossRef]
- Lane, P.A. Preparing marine plankton data sets for Loop Analysis. Ecology 1986, 67, 8525A. [Google Scholar]
- Rovelli, C.; Vidotto, F. Covariant Loop Quantum Gravity an Elementary Introduction to Quantum Gravity and Spinfoam Theory; Cambridge University Press: Cambridge, UK, 2020. [Google Scholar]
- Iñiguez, G.; Battiston, F.; Karsai, M. Bridging the gap between graphs and networks. Commun. Phys. 2020, 3, 88. [Google Scholar] [CrossRef]
- Babcock, R.C.; Dambacher, J.M.; Morello, E.B.; Plagányi, É.E.; Hayes, K.R.; Sweatman, H.P.; Pratchett, M.S. Assessing different causes of crown-of-thorns starfish outbreaks and appropriate responses for management on the Great Barrier Reef. PLoS ONE 2016, 11, e0169048. [Google Scholar] [CrossRef]
- Simon, H.A. The organization of complex systems. In Hierarchy Theory, The Challenge of Complex Systems; Patee, H.H., Ed.; Braziller: New York, NY, USA, 1973; pp. 1–27. [Google Scholar]
- Hutchinson, G.E. Circular causal systems in ecology. Ann. N. Y. Acad. Sci. 1948, 50, 221–246. [Google Scholar] [CrossRef] [PubMed]
- Jordán, F.; Capeli, G.; Primicerio, R.; Hidas, A.; Fábián, V.; Patonai, K.; Bodini, A. Spatial food webs in the Barents Sea: Atlantification and the reorganization of the trophic structure. Philos. Trans. R. Soc. B 2024, 379, 20230164. [Google Scholar] [CrossRef]
- Jordan, F.; Patonai, K.; Capelli, G.; Primicerio, R.; Bodini, A. Loop analysis quantifying important species in a marine food web. Environ. Sustain. Indic. 2024, 24, 100500. [Google Scholar] [CrossRef]
- Lane, P.A.; Levins, R. Dynamics of aquatic systems. II. The effects of nutrient enrichment on model plankton communities. Limnol. Oceanogr. 1977, 1, 454–471. [Google Scholar]
- Richardson, A.J.; Schoeman, D.S. Climate impact on plankton ecosystems in the Northeast Atlantic. Science 2004, 305, 1609–1612. [Google Scholar] [CrossRef]
- Giering, S.L.; Sanders, R.; Lampitt, R.S.; Anderson, T.R.; Tamburini, C.; Boutrif, M.; Zubkov, M.V.; Marsay, C.M.; Henson, S.A.; Saw, K.; et al. Reconciliation of the carbon budget in the ocean’s twilight zone. Nature 2014, 507, 480–483. [Google Scholar] [CrossRef]
- Fisheries & Oceans Canada. North Atlantic Biogeochemical Carbon Pump Virtual Scientific Workshop Summary; Fisheries & Oceans Canada: Vancouver, BC, Canada, 2021; Available online: https://publications.gc.ca/site/eng/9.913717/publication.html (accessed on 1 December 2024).
- Atwood, T.B.; Witt, A.; Mayorga, J.; Hammill, E.; Sala, E. Global patterns in Marine sediment carbon stocks. Front. Mar. Sci. 2020, 7, 156. [Google Scholar] [CrossRef]
- Cavicchioli, R.; Ripple, W.J.; Timmis, K.N.; Azam, F.; Bakken, L.R.; Baylis, M.; Behrenfeld, M.J.; Boetius, A.; Boyd, P.W.; Classen, A.T.; et al. Scientists’ warning to humanity: Microorganisms and climate change. Nat. Rev. Microbiol. 2019, 17, 569–586. [Google Scholar] [CrossRef]
- Canada Open Data Base. 2024. Available online: http://open.canada.ca/en/open-data (accessed on 1 December 2024).
- Polimene, L.; Sailley, S.; Clark, D.; Mitra, A.; Allen, I. Biological or microbial carbon pump? The role of phytoplankton stoichiometry in ocean carbon sequestration. J. Plankton Res. 2017, 9, 180–186. [Google Scholar] [CrossRef]
- Rosen, R. Anticipatory Systems; Springer: Berlin/Heidelberg, Germany, 1985. [Google Scholar]
- McAllister, J.W. Algorithmic randomness in empirical data. Stud. Hist. Philos. Sci. 2003, 34, 633–646. [Google Scholar] [CrossRef]
- Twardy, C.; Gardner, S.; Dowe, D.L. Empirical data sets are algorithmically compressible: Reply to McAllister? Stud. Hist. Philos. Sci. 2005, 36, 391–402. [Google Scholar] [CrossRef]
- McAllister, J.W. Compression of Empirical Data: Reply to Twardy, Gardner, and Dowe. Stud. Hist. Philos. Sci. 2005, 36, 403–410. [Google Scholar] [CrossRef]
- McAllister, J.W. What do patterns in empirical data tell us about the structure of the world? Synthese 2011, 182, 73–87. [Google Scholar] [CrossRef]
- Copeland, B.J. Chapter 17—Solvable and unsolvable problems (1954). In The Essential Turing; Copeland, B.J., Ed.; Clarendon Press: Oxford, UK, 2013. [Google Scholar]
- Montaño-Moctezuma, G.; Li, H.W.; Rossignol, P.A. Alternative community structures in a kelp-urchin community: A qualitative modeling approach. Ecol. Model. 2007, 205, 343–354. [Google Scholar] [CrossRef]
- Penrose, R. The Emperor’s New Mind; Oxford University Press: Oxford, UK, 2016. [Google Scholar]
- Turing, A. On computable numbers, with an application to the Entscheidungsproblem. Proc. Lond. Math. Soc. Ser. 2 1936, 42, 230–265. [Google Scholar] [CrossRef]
- Hofmeyr, J.-H.S. A biochemically realizable relational model of the self-manufacturing cell. Biosystems 2021, 7, 104463. [Google Scholar]
- Laurent, N. Biological networks from the relational biology perspective. In Biological Systems from a Network Perspective; Carletti, T., Cazalis, R., Cottam, R., Eds.; Presses Universitaires de Namur: Namur, Belgium, 2019. [Google Scholar]
- Nunes-Neto, N.; Moreno, A.; El-Hani, C.H. Function in ecology: An organizational approach. Biol. Philos. 2014, 29, 123–141. [Google Scholar] [CrossRef]
- Moreno, A.; Mossio, M. A Philosophical and Theoretical Enquiry. In Biological Autonomy; Springer: Berlin/Heidelberg, Germany, 2015. [Google Scholar]
- Mossio, M.; Montevil, M.; Longo, G. Theoretical principles for biology: Organization. Prog. Biophys. Mol. Biol. 2016, 122, 24–35. [Google Scholar] [CrossRef]
- Rosen, R. Cooperation and chimera. In Cooperation & Conflict in General Evolutionary Processes; Casti, J.L., Karlqvist, A., Eds.; John Wiley & Sons, Inc.: Hoboken, NJ, USA, 1995; pp. 343–358. [Google Scholar]
- Margulis, L.; Asikainen, C.A.; Krumbein, W.E. (Eds.) Chimeras and Consciousness: Evolution of The Sensory Self; the MIT Press: Cambridge, MA, USA, 2011. [Google Scholar]
- Nanos, V.; Levin, M. Multi-scale chimerism: An experimental window on the algorithms of anatomical control. Cells Dev. 2022, 169, 203764. [Google Scholar] [CrossRef] [PubMed]
- Clawson, W.P.; Levin, M. Endless forms most beautiful 2.0: Teleonomy and the bioengineering of chimeric and synthetic organisms. Biol. J. Linn. Soc. 2023, 139, 457–486. [Google Scholar] [CrossRef]
- Clements, F.E. Plant Succession: An Analysis of the Development of Vegetation; Carnegie Institute of Washington: Washington, DC, USA, 1916. [Google Scholar]
- Lenton, T.M.; Kohler, T.A.; Marquet, P.; Boyle, R.A.; Crucifix, M.; Wilkinson, D.M.; Scheffer, M. Survival of the systems. Trends Ecol. Evol. 2021, 36, 333–344. [Google Scholar] [CrossRef]
- Forestiero, S. The historical nature of biological complexity and the ineffectiveness of the mathematical approach to it. Theory Biosci. 2022, 141, 213–231. [Google Scholar] [CrossRef] [PubMed]
- Stewart, I. The Beauty of Numbers in Nature; MIT Press: Cambridge, MA, USA, 2017. [Google Scholar]
- Patten, B.C. Chapter 8—Systems approach to continental shelf ecosystems. In Theoretical Systems Ecology; Halfon, E., Ed.; Academic Press: Cambridge, MA, USA, 1979. [Google Scholar]
- Hofmeyr, J.-H.S. Mathematics and biology. S. Afr. J. 2017, 113, a0203. [Google Scholar] [CrossRef][Green Version]
- Lane, P.A. The road before us: Have we come to a “fork in the road” in defining complexity? Ecol. Complex. 2018, 35, 1–5. [Google Scholar] [CrossRef]
- Lane, P.A. The road ahead for Rosennean complexity. Ecol. Complex. 2018, 34, 35–43. [Google Scholar] [CrossRef]
- Gribbin, J. Six Impossible Things: The Mystery of the Quantum World; MIT Press: Cambridge, MA, USA, 2019. [Google Scholar]
- Simeonov, P.L.; Cottam, R. Integral biomathics reloaded. Prog. Biophys. Mol. Biol. 2015, 119, 728–733. [Google Scholar] [CrossRef][Green Version]
- Islami, A.; Longo, G. Marriages of mathematics and physics: A challenge for biology. Prog. Biophys. Mol. Biol. 2017, 131, 179–192. [Google Scholar] [CrossRef]
- Simeonov, P.L.; Smith, L.S.; Ehresmann, A.C. (Eds.) Integral Biomathics, Tracing the Road to Reality; Springer: Berlin/Heidelberg, Germany, 2012. [Google Scholar]

| A6 | O | Si | A3 | Z1 | A4 | N1 | A1 | Z2 | E | A5 | C | P | S | M | Z5 | IN | N2 | A2 | Z3 | MD | L | D | |
|---|---|---|---|---|---|---|---|---|---|---|---|---|---|---|---|---|---|---|---|---|---|---|---|
| A6 | −1 | 0 | 1 | 0 | 0 | 0 | 0 | 0 | 0 | 0 | 0 | 0 | 0 | 0 | 0 | 0 | 0 | 0 | 0 | 0 | 0 | 0 | 0 |
| O | 0 | −1 | 0 | 0 | 0 | 1 | 0 | 0 | 0 | 0 | 0 | 0 | 0 | 0 | 0 | 0 | 0 | 0 | 0 | 0 | 0 | 0 | 0 |
| Si | −1 | 0 | −1 | −1 | 0 | 0 | 0 | 0 | 0 | 0 | 0 | 0 | 0 | 0 | 0 | 0 | 0 | 0 | 0 | 0 | 0 | 0 | 0 |
| A3 | 0 | 0 | 1 | −1 | −1 | 0 | 0 | 0 | 0 | 0 | 0 | 0 | 0 | 0 | 0 | 0 | 0 | 0 | 0 | 0 | 0 | 0 | 0 |
| Z1 | 0 | 0 | 0 | 1 | −1 | 0 | 0 | 0 | 1 | 0 | 0 | 0 | 0 | 0 | 0 | 0 | 0 | 0 | 0 | 0 | 0 | 0 | 0 |
| A4 | 0 | −1 | 0 | 0 | 0 | −1 | 1 | 0 | 0 | −1 | 0 | 0 | 0 | 0 | 0 | 0 | 0 | 0 | 0 | 0 | 0 | 0 | 0 |
| N1 | 0 | 0 | 0 | 0 | 0 | −1 | −1 | −1 | 0 | 0 | −1 | 0 | 0 | 0 | 0 | 0 | 0 | 0 | 0 | 0 | 0 | 0 | 0 |
| A1 | 0 | 0 | 0 | 0 | 0 | 0 | 1 | 0 | −1 | 0 | 0 | −1 | 0 | 0 | 0 | 0 | 0 | 0 | 0 | 0 | 0 | 0 | 0 |
| Z2 | 0 | 0 | 0 | 0 | −1 | 0 | 0 | 1 | −1 | 0 | 0 | 0 | −1 | 0 | 0 | −1 | 0 | 0 | 0 | −1 | 0 | 0 | 0 |
| E | 0 | 0 | 0 | 0 | 0 | 1 | 0 | 0 | 0 | −1 | 1 | 0 | 0 | 0 | 0 | 0 | 0 | 0 | 0 | 0 | 0 | 0 | 0 |
| A5 | 0 | 0 | 0 | 0 | 0 | −1 | 1 | 0 | 0 | −1 | −1 | 0 | 0 | 0 | 0 | 0 | −1 | 0 | 0 | 0 | 0 | 0 | 0 |
| C | 0 | 0 | 0 | 0 | 0 | 0 | 0 | 1 | 0 | 0 | 0 | −1 | 0 | 0 | 0 | 0 | 0 | 0 | 0 | 0 | 0 | 0 | 0 |
| P | 0 | 0 | 0 | 0 | 0 | 0 | 0 | 0 | 1 | 0 | 0 | 0 | −1 | 0 | 0 | 0 | 0 | 0 | 0 | 0 | 0 | 0 | 0 |
| S | 0 | 0 | 0 | 0 | 0 | 0 | 0 | 0 | 0 | 0 | 0 | 0 | 0 | −1 | 0 | 0 | 0 | 0 | 0 | 1 | −1 | 0 | 0 |
| M | 0 | 0 | 0 | 0 | 0 | 0 | 0 | 0 | 0 | 0 | 0 | 0 | 0 | 0 | −1 | 0 | 0 | 0 | 1 | 0 | 0 | 0 | 0 |
| Z5 | 0 | 0 | 0 | 0 | 0 | 0 | 0 | 0 | 1 | 0 | 0 | 0 | 0 | 0 | 0 | −1 | 1 | 0 | 0 | 0 | 0 | 0 | 0 |
| IN | 0 | 0 | 0 | 0 | 0 | 0 | 0 | 0 | 0 | 0 | 1 | 0 | 0 | 0 | 0 | −1 | −1 | 1 | 0 | 0 | 0 | 0 | 0 |
| N2 | 0 | 0 | 0 | 0 | 0 | 0 | 0 | 0 | 0 | 0 | 0 | 0 | 0 | 0 | 0 | 0 | −1 | −1 | −1 | 0 | 0 | −1 | 0 |
| A2 | 0 | 0 | 0 | 0 | 0 | 0 | 0 | 0 | 0 | 0 | 0 | 0 | 0 | 0 | −1 | 0 | 0 | 1 | 0 | −1 | 0 | −1 | 0 |
| Z3 | 0 | 0 | 0 | 0 | 0 | 0 | 0 | 0 | 1 | 0 | 0 | 0 | 0 | −1 | 0 | 0 | 0 | 0 | 1 | 0 | −1 | 0 | −1 |
| MD | 0 | 0 | 0 | 0 | 0 | 0 | 0 | 0 | 0 | 0 | 0 | 0 | 0 | 1 | 0 | 0 | 0 | 0 | 0 | 1 | −1 | 0 | 0 |
| L | 0 | 0 | 0 | 0 | 0 | 0 | 0 | 0 | 0 | 0 | 0 | 0 | 0 | 0 | 0 | 0 | 0 | 1 | 1 | 0 | 0 | −1 | 0 |
| D | 0 | 0 | 0 | 0 | 0 | 0 | 0 | 0 | 0 | 0 | 0 | 0 | 0 | 0 | 0 | 0 | 0 | 0 | 0 | 1 | 0 | 0 | −1 |
| A6 | O | Si | A3 | Z1 | A4 | N1 | A1 | Z2 | E | A5 | C | P | S | M | Z5 | IN | N2 | A2 | Z3 | MD | L | D | |
|---|---|---|---|---|---|---|---|---|---|---|---|---|---|---|---|---|---|---|---|---|---|---|---|
| +A6 | + | + | − | − | − | + | + | − | + | + | + | − | + | ? | − | + | − | + | − | + | + | + | + |
| +O | − | + | − | + | − | − | + | + | − | − | + | + | − | ? | + | + | + | − | + | − | − | − | − |
| +Si | + | − | + | + | + | − | − | + | − | − | − | + | − | ? | + | − | + | − | + | − | − | − | − |
| +A3 | − | − | − | + | + | − | − | + | − | − | − | + | − | ? | + | − | + | − | + | − | − | − | − |
| +Z1 | + | − | + | − | + | − | − | + | − | − | − | + | − | ? | + | − | + | − | + | − | − | − | − |
| +A4 | + | + | + | − | + | + | − | − | + | + | − | − | + | ? | − | − | − | + | − | + | + | + | + |
| +N1 | + | + | + | − | + | + | + | + | + | + | + | + | + | ? | − | + | + | + | − | + | + | − | + |
| +A1 | + | − | + | − | + | − | − | + | + | − | − | + | + | ? | − | + | − | + | − | + | + | + | + |
| +Z2 | + | + | + | − | + | + | + | − | + | + | + | − | + | ? | − | + | − | + | − | + | + | + | + |
| +E | + | − | + | − | + | − | + | + | + | + | − | + | + | ? | − | − | − | + | − | + | + | + | + |
| +A5 | − | − | − | + | − | − | − | − | − | + | + | − | − | ? | + | + | + | − | + | − | − | − | − |
| +C | − | + | − | + | − | + | + | − | − | + | + | + | − | ? | + | − | + | − | + | − | − | − | − |
| +P | − | − | − | + | − | − | − | + | − | − | − | + | + | ? | + | − | + | − | + | − | − | − | − |
| +S | + | − | + | − | + | − | + | − | + | + | + | − | + | + | + | + | − | − | + | − | + | + | − |
| +M | + | + | + | − | + | + | + | + | + | − | − | + | + | ? | + | + | + | + | − | − | − | − | − |
| +Z5 | − | − | − | + | − | − | − | + | − | + | + | + | − | ? | + | + | − | + | + | − | − | + | − |
| +IN | − | + | − | + | − | + | + | + | − | − | − | + | − | ? | + | + | + | − | + | − | − | − | − |
| +N2 | − | + | − | + | − | + | + | + | − | − | − | + | − | ? | + | + | + | + | + | − | − | + | − |
| +A2 | − | − | − | + | − | − | − | − | − | + | + | − | − | ? | + | − | − | − | + | + | + | + | + |
| +Z3 | − | + | − | + | − | + | − | + | − | − | − | + | − | ? | − | − | + | + | − | + | + | − | + |
| +MD | ? | ? | ? | ? | ? | ? | ? | ? | ? | ? | ? | ? | ? | − | ? | ? | ? | ? | ? | ? | + | ? | ? |
| +L | + | − | + | − | + | − | + | − | + | + | + | − | + | ? | − | + | − | − | − | − | − | + | − |
| +D | + | − | + | − | + | − | + | − | + | + | + | − | + | ? | + | + | − | − | + | − | − | + | + |
| N | Operating Paths |
|---|---|
| 1 | 55 |
| 2 | 110 |
| 3 | 183 |
| 4 | 257 |
| 5 | 359 |
| 6 | 504 |
| 7 | 668 |
| 8 | 755 |
| 9 | 736 |
| 10 | 594 |
| 11 | 401 |
| 12 | 242 |
| 13 | 115 |
| 14 | 46 |
| 15 | 18 |
| 16 | 4 |
| Total | 5047 |
| N | − | + | Total |
|---|---|---|---|
| 1 | 20 | 0 | 20 |
| 2 | 27 | 0 | 27 |
| 3 | 2 | 4 | 6 |
| 4 | 0 | 2 | 2 |
| 5 | 0 | 0 | 0 |
| 6 | 4 | 0 | 4 |
| 7 | 1 | 2 | 3 |
| 8 | 0 | 4 | 4 |
| 9 | 2 | 1 | 3 |
| 10 | 2 | 1 | 3 |
| 11 | 1 | 1 | 2 |
| Total | 59 | 15 | 74 |
Disclaimer/Publisher’s Note: The statements, opinions and data contained in all publications are solely those of the individual author(s) and contributor(s) and not of MDPI and/or the editor(s). MDPI and/or the editor(s) disclaim responsibility for any injury to people or property resulting from any ideas, methods, instructions or products referred to in the content. |
© 2024 by the author. Licensee MDPI, Basel, Switzerland. This article is an open access article distributed under the terms and conditions of the Creative Commons Attribution (CC BY) license (https://creativecommons.org/licenses/by/4.0/).
Share and Cite
Lane, P.A. Using Relational Biology with Loop Analysis to Study the North Atlantic Biological Carbon Pump in a ‘Hybrid’ Non-Algorithmic Manner. Mathematics 2024, 12, 3972. https://doi.org/10.3390/math12243972
Lane PA. Using Relational Biology with Loop Analysis to Study the North Atlantic Biological Carbon Pump in a ‘Hybrid’ Non-Algorithmic Manner. Mathematics. 2024; 12(24):3972. https://doi.org/10.3390/math12243972
Chicago/Turabian StyleLane, Patricia A. 2024. "Using Relational Biology with Loop Analysis to Study the North Atlantic Biological Carbon Pump in a ‘Hybrid’ Non-Algorithmic Manner" Mathematics 12, no. 24: 3972. https://doi.org/10.3390/math12243972
APA StyleLane, P. A. (2024). Using Relational Biology with Loop Analysis to Study the North Atlantic Biological Carbon Pump in a ‘Hybrid’ Non-Algorithmic Manner. Mathematics, 12(24), 3972. https://doi.org/10.3390/math12243972
