Abstract
Decision makers (DMs) are often viewed as autonomous in the majority of multicriteria group decision making (MCGDM) situations, and their psychological behaviors are seldom taken into account. Once more, we are unable to prevent both positive and negative flows of varying alternative preferences due to the nature of attributes or criteria in complicated decision-making problems. However, DMs’ perspectives are likely to affect one another in complicated MCGDM issues, and they frequently use subjective limited rationality while making decisions. The multicriteria quantum decision theory-based group decision making integrating the TODIM-PROMETHEE II strategy under linguistic Z-numbers (LZNs) is designed to overcome the aforementioned problems. In our established technique, the PROMETHEE II controls the positive and negative flows of distinct alternative preferences, the TODIM method manages the experts’ personal regrets over a criterion, and the quantum probability theory (QPT) addresses human cognition and behavior. Because LZNs can convey linguistic judgment and trustworthiness, we provide expert LZNs for their viewpoints in this work. We determine the criterion weights for each expert after first obtaining their respective expert weights. Second, to represent the limited rational behaviors of the DMs, the TODIM-PROMETHEE II approach is introduced. It is employed to determine each alternative’s dominance in both positive and negative flows. Third, a framework for quantum possibilistic aggregation is developed to investigate the effects of interference between the views of DMs. The views of DMs are seen in this procedure as synchronously occurring wave functions that affect the overall outcome by interfering with one another. The model’s efficacy is then assessed by a selection of renewable energy case studies, sensitive analysis, comparative analysis, and debate.
MSC:
91B06
1. Introduction
Energy is a key factor in the expansion of the world economy and industrial activity. However, issues like global warming and pollution have arisen as a result of our growing reliance on fossil fuels for energy production. As a result, there has been a lot of discussion supporting renewable energy as a sustainable, affordable, and environmentally beneficial substitute [1]. Because it is endless, it helps to lessen reliance on limited resources like oil, which improves energy security, and protects the environment with renewable energy, which comes from sources including the sun, heat, water, wind, and biofuels [2]. Assessing and choosing the appropriate renewable energy portfolios is a multicriteria group decision-making (MCGDM) task that involves several incompatible criteria. The existence of ambiguous data adds to the complexity, requiring a thorough evaluation of different renewable energy portfolios. In this area, MCGDM techniques have shown effectiveness, aiding in planning, policy creation, product selection, and the assessment of renewable energy technology. To evaluate renewable energy technology, for example, Yang et al. [3] suggest the TOPSIS method, which ranks the options in order of closeness to the positive and negative ideal solutions. The analytical hierarchy process (AHP), which uses a four-level hierarchy to quantify the relative relevance of decision components, is used by Al Garni et al. [4] to assess renewable power-generating options in Saudi Arabia. To choose the best renewable energy option, Kaya and Kahraman [5] provide the VIKOR and AHP. They use VIKOR for multicriteria selection and pairwise comparisons in AHP to account for criteria weights.
This research presents a multicriteria quantum decision theory-based group decision making integrating the TODIM-PROMETHEE II approach to overcome these issues. Experts’ personal regret is incorporated into the decision-making process, and linguistic Z numbers (LZNs) are used to represent linguistic judgment and trustworthiness to facilitate the evaluations of decision makers. The PROMETHEE II approach is used to control the two types of flows—positive and negative of distinct alternative preferences, the TODIM method manages the experts’ personal regrets over a criterion, and the quantum probability theory (QPT) addresses human cognition and behavior. To create a renewable energy selection that meets all selection criteria, a revolutionary algorithm is put forth. An example is provided to demonstrate the effectiveness of the proposed method in resolving the renewable energy selection issue.
1.1. The Identification of Criteria for the Selection of Renewable Energy
To use renewable energy effectively, a variety of criteria must be taken into account, which calls for the simultaneous assessment and selection of a particular renewable energy portfolio. Diverse viewpoints and stakeholders’ different interests in the decision-making process must be taken into consideration during this process [6]. Numerous studies have been carried out to determine important elements for assessing and choosing appropriate renewable energy portfolios. When assessing renewable energy technologies, Kaya and Kahraman [5] stress the significance of taking into account elements like energy cost, capital cost, operations and cost of maintenance, energy system safety, need of land, and emission reduction. Wibowo and Grandhi [7] point out that cost-effectiveness, environmental friendliness, and technological prowess are important considerations when assessing renewable energy portfolios. According to Scarpa and Willis [6], the most important determinants in decision making are energy prices and the price of new renewable energy projects. Economic considerations including yearly and investment expenses are emphasized by Mahapatra and Gustavsson [8]. The importance of renewable energy technology, performance, and safety in choosing process is emphasized by Streimikiene et al. [9]. In their evaluation, Amer and Daim [10] take into account factors including deployment time, system efficiency, and technical maturity expenses. Troldborg et al. [11] emphasize the importance of network stability and decentralization ease. Stein [12] emphasizes the significance of environmental effect, conformity with national energy strategy, and technological viability. Brand and Missaoui [13] include capital cost, network stability, and safety in meeting peak demand as important considerations. The viability of the technology, operational expenses, and environmental effects are emphasized by Mourmouris and Potolias [14]. When assessing renewable power generating options, Al Pappas et al. [15] point out that social and political acceptance, waste disposal requirements, and emission reduction are critical factors. Additionally, national economic development must be taken into account, according to Chatzimouratidis and Pilachi [16]. According to Montoya et al. [17], it is crucial to take into account the overall cost, the environmental effects of new power plants of renewable energy, and electricity generation environmental costs. Framed as an MCGDM problem, the selection and evaluation of renewable energy entail the following steps: (a) identifying various portfolios; (b) choosing pertinent evaluation criteria; (c) evaluating each portfolio; (d) calculating overall performance index values using criteria weights and alternative performance ratings; and (e) selecting the portfolio of best renewable energy for each scenario [7,18].
1.2. Literature Review
Due to their intrinsic complexity, experts frequently resort to other qualitative relationships when expressing their judgments or preferences in real-world situations [19,20]. Linguistic term sets (LTSs) [21] were presented for language assessment to illustrate decision makers evaluation tendencies in real life. Then, to address the multi-attribute group decision-making (MAGDM) problems and to adjust the complex environment, LZNs [22] were introduced. LZNs’ fuzziness and randomness exactly match Z-numbers’ dependability and constraint, respectively [23]. This expansion can assist to prevent distortion of information and boost the flexibility and believability of decision making by better describing qualitative information and catering to human inclinations. Linguistic phrases like “good”, “bad”, and “very bad” can be used to describe the fuzzy limitation of an LZN, while terms like “uncertain”, “very certain”, and “relatively certain”, or “often”, “seldom”, and “usual” can be used to quantify dependability. The majority of the information used in decision making may be expressed practically with LZNs. For instance, failure mode and effects analysis in MAGDM for breast cancer radiotherapy under LZN was studied by Mandal et al. [24]. The TOPSIS-approach-based MAGDM under LZN was studied by Bhowmik et al. [25]. Kumar et al. [26] extended the TODIM-PROMETHEE II approach to the LZN TODIM-PROMETHEE II approach and Mahapatra et al. [27] introduced the LZN graph. Mandal et al. briefly studied MCGDM under LZN information with the following approaches: (1) the MARCOS approach and its application in logistic cold chain center selection [28]; (2) the TODIM-VIKRO approach and its application in site selection of a medical logistic center [29]; (3) the ORESTE approach and its application in assessment of regional energy [30]; and (4) the MULTIMOORA approach and its application in the selection of software [31]. Therefore, LZNs and MCGDM combine to provide a strong foundation for decision making in the field of renewable energy. With its many factors, MCGDM’s methodical approach makes it possible to evaluate options in relation to a range of criteria, which is essential in the context of renewable energy. In addition, by allowing for imperfect information, LZNs were created to deal with uncertainties, bringing granularity to the decision-making process. The combination of two approaches, known as LZN MCGDM, is very relevant to situations involving renewable energy. MCGDM gives decisive issues such as a formal framework by specifying criteria and preferences, and LZNs effectively handle uncertainties, mostly when dealing with situations containing vague data and qualitative data of evaluations. The combination of these methods results in a sophisticated decision-making tool that is suited to the complications of renewable energy decisions, taking into account the variety of factors as well as the inherent uncertainties in the assessment procedure. By providing a thorough and flexible technique for stakeholders, they need to negotiate the challenges of adopting renewable energy. This synthesis enhances the decision-making environment. Because of their sophisticated methods, it is crucial to distinguish between MAGDM and MCGDM in the discussion of decision-making strategies. MAGDM mostly addresses circumstances in which a decision maker assesses options according to a list of predetermined qualities or traits. Every option is evaluated separately in light of these characteristics, and a collective analysis is used to arrive at a final selection. However, by adding a more complex layer of many criteria that includes not just features but also subjective preferences, many of which are conflicting, MCGDM expands on this paradigm. A more thorough assessment is made possible by MCGDM, which takes into account a variety of criteria that may include both qualitative and quantitative elements in addition to the decision makers qualitative information assessments. When it comes to renewable energy, MAGDM may evaluate options according to discrete characteristics such as cost, effectiveness, and environmental impact, whereas MCGDM would take these aspects into account comprehensively, acknowledging their interactions and trade-offs. For academics and practitioners navigating decision-making environments, particularly in the intricate and multidimensional field of renewable energy adoption, this difference is essential.
Numerous conventional MCGDM techniques exist, such as gray relational analysis and VIKOR. Many academics have created new approaches or enhanced existing ones to better address the MCGDM dilemma. For instance, Gou et al. applied the enhanced VIKOR approach in a probabilistic double hierarchy linguistic environment, correcting the standard VIKOR technique’s ignoring the link between the alternatives and the negative ideal solution [32]. To address the limitations of the current DEMATEL techniques in expressing the reliability of DM cognition, Jiang et al. expanded the decision making by the DEMATEL approach under LZNs [33]. To determine the partial and complete ranking of alternatives, based on several features or criteria, Brans and Vincle [34] created the PROMETHEE I and PROMETHEE II approaches, an outranking technique of alternatives, in 1985. Additionally, Brans and Mareschal [35] introduced two additional PROMETHEE method extensions: PROMETHEE III, which bases ranking on intervals, and PROMETHEE IV, which is a continuous example of ranking. Abdullah et al. [36] conducted a comparative analysis based on preference functions and using the PROMETHEE approach to choose green suppliers. Behzadian et al. [37] provided a thorough analysis of PROMETHEE applications and methodology. A PROMETHEE-based approach for rating green suppliers in a food supply chain was proposed by Govindan et al. [38]. The PROMETHEE was expanded for use in fuzzy environments by Goumas and Lygerou [39]. A novel expansion of PROMETHEE utilizing intuitionistic fuzzy information and linguistic factors was presented by Krishankumar et al. [40]. By presenting the NEAT F-PROMETHEE methodology, Ziemba [41] offered a novel MCGDM method wherein the choice is based on mapping trapezoidal fuzzy numbers. The PROMETHEE technique’s current iterations and expansions can effectively analyze issues with information presented as either fuzzy or crisp values, but they are unable to evaluate situations with language-based uncertainty. Only one-sided information is provided by crisp or fuzzy sets, or, to put it another way, we only have data on the degree of alternative satisfaction. We are unable to offer any details on the level of alternate unhappiness in these groupings. Thus, to address issues with two-sided information, this study offers an extension of the PROMETHEE approach.
It is also important to note that even though this is frequently not the case, DMs are generally assumed to be risk-neutral by the current MCGDM approaches, such as the PROMETHEE II technique. When making decisions, DMs typically exhibit reference dependency and loss-aversion psychology, which makes them more sensitive to losses than to gains. The TODIM approach was developed with the aim of taking into account the psychological traits of the DMs [42] and expanded to other informative situations. It was inspired by prospect theory. The fuzzy TODIM, for example, was suggested by Krohling and de Souza [43] and subsequently generalized to uncertain and random environments [44,45]. Research should also be performed on how to rationally integrate the TODIM approach with other techniques to improve the validity and reliability of decision-making. By incorporating various phases of TODIM and fuzzy synthetic evaluation (FSE), respectively, Passos et al. [46] introduced the TODIM-FSE technique, which allowed for the consideration of common errors in human judgment while building the contribution. The SMAA-TODIM technique was created by Zhang et al. [47] to handle the inherent indeterminacy of TODIM-based models. To resolve the compensation issue during the process of alternative ranking, Wu et al. [48] expanded TODIM to a fuzzy context and integrated it with the PROMETHEE-II approach. The generalized TODIM approach was established when Llamazares [49] identified two different kinds of paradoxes in the classic TODIM method. This generalized form, which has been progressively developed, may avoid these two paradoxes [50]. Thus, generalized TODIM is able to be integrated into PROMETHEE II, allowing this article to gently take into account the impact of DM’s constrained rationality on the alternatives.
Combining separate assessment findings with a certain aggregation mode is another step in solving MCGDM difficulties. Although aggregation strategies have been extensively researched in MCGDM issues. We discover that the majority of current approaches make the assumption that the DMs’ engagements are mutually independent, meaning that other people will not affect their opinions. Nonetheless, several instances demonstrate how quickly the environment may influence people’s beliefs. We are likely to have either a conjunctive or disjunctive approach regarding the opinions of several DMs while making decisions in real life. In other words, the viewpoints of several DMs are likely to impact one another and our ultimate choice. This phrase contains the quantum probability theory (QPT) keyword “interference”. QPT is a new frontier theory that has emerged in recent years as an extension of the classical probability theory (CPT) [51,52]. The quantum probability theory (QPT) [53,54] offers a framework for capturing these influences. QPT is a recent advancement over classical probability theory (CPT) that has been extensively studied in fields such as psychology [51], cognitive science [52], and decisive analysis [55,56,57] due to its robust descriptive power. It effectively explains paradoxes, such as the disjunction fallacy [58,59], the Ellsberg paradox [53], and the order effect [60], which are challenging for CPT to address. QPT’s ability to represent interference terms makes it particularly valuable for understanding how expert’s opinions influence each other in the MCGDM process.
With the above analysis, we identify the following research issues:
- (1)
- How can a vast number of linguistic assessments in the MCGDM issue process be described, represented, and calculated both qualitatively and quantitatively?
- (2)
- Which MCGDM approach may be utilized precisely and successfully to expound on the DMs’ risk attitudes with relevant metrics in light of their subjective psychological behaviors in MCGDM?
- (3)
- Which aggregation mechanism may be used to handle the interference term organically and flexibly in practice, taking into account the interference effects among various DMs’ opinions?
In seeking to address the above issues, this paper develops a multicriteria quantum-decision-theory-based group decision making integrating the TODIM-PROMETHEE II approach under LZN information (LZNI). The main motivations of this paper are as follows:
- (1)
- An improved generalized LZNI-based TODIM-PROMETHEE II approach accounts for experts’ limited rationality, simplifies the calculation process, and resolves some paradoxes of the traditional TODIM-PROMETHEE II method.
- (2)
- A quantum-based method for combining individual evaluation results, which helps us to understand human psychology through the effects of interference.
- (3)
- A case study demonstrating the effectiveness of our approach in the selection of renewable energy. Comparative and sensitivity analyses show the flexibility and robustness of our method.
The paper is organized as follows: We remember the fundamental concepts and history of quantum decision theory (QDT), linguistic term sets (LTSs), and LZN in Section 2. Section 3 discusses the suggested MCGDM model. Section 4 offers a case study for the comparative examination of renewable energy site selection. Additionally, a sensitivity analysis, comparison analysis, and general discussion of the benefits and drawbacks of our suggested strategy were included in this part. Our investigation is concluded in Section 5.
2. Preliminaries
Here, we review a few concepts and findings that are relevant to this work.
2.1. Linguistic Term Set
By ref. [61], the linguistic term set (LTS) with odd cardinality is represented by ( is a positive integer) and holds the following:
- (1)
- if and only if ;
- (2)
- ;
- (3)
- if ;
- (4)
- if .
The LTS is extended to the continuous LTS by Xu [61] in the following way: , .
The following functions indicate the subscript index of any :
By ref. [28], the linguistic terms (LTs) in LTS transform to real-valued in the following way:
2.2. Linguistic Z-Number
Let and be two distinct finite ordered LTSs with odd cardinality, where , and are positive integers.
Definition 1
([62]). A linguistic Z-number (LZN) is an ordered pair , where , .
According to ref. [62], an expected value of any LZN is computed in the following way:
We obtain the following max and min operations rule for any two LZNs and , , .
- (1)
- if .
- (2)
- if .
The following formula is used to determine the distance between any two LZNs and , , [22]:
2.3. Theory of Quantum Probability
A quantum decision theory (QDT) model is based on the principles of the theory of quantum probability (TQP). To provide context, we will review some key concepts and notations of TQP. A unit-length vector in an N-dimensional vector space is used to represent a state in quantum theory (QT).
Definition 2
([52]). A Hilbert space (HS) with finite dimensions is represented by ℏ, where ℏ is defined in abstract vector space over a complex field, spanned by a set of orthonormal basis vectors with complex components. In classical probability theory (CPT), events are fundamental [63], but in TQP, events are instead represented by subspaces of the HS ℏ, rather than traditional sets.
Definition 3
([51]). In QDT, the superposition state , a unit-length vector in the N-dimensional HS ℏ, defines all possible events within that space. The nonlinear combination of a set of orthogonal basis vectors are used to represent the superposition state , i.e.,
where is the amplitude of the probability, expressed as a complex number, characterizing the amplitude of the wave in the state , and the amplitude of the phase angle is represented by .
Definition 4
([51]). The CPT framework represents every event using a single set of components. In TQP, probabilities are assigned based on the overlap between cognitive states (shown as state vectors) and different probability measures (shown as subspaces). TQP extends CPT into the complex domain by including incompatible qualities and viewing events as vectors. Incompatible attributes are two observable features of an item that cannot be measured accurately at the same time. Both the incompatibility condition and the uncertainty principle can be described by the probability amplitude, also known as complex probability.
According to Born’s rule, an event’s probability amplitude and its classical probability, are related to each other, as presented in Equation (2).
For the total probability of an event to be 1, the sum of the squares of the probability amplitudes must also be 1, which is shown in Equation (3).
An mapping transforms complex probabilities into classical probabilities. For each given probability value , countless complex probabilities correspond to it. Referencing Equation (2) and Euler’s formula, we obtain Equation (4),
The complex probability satisfies Equation (5).
For example, in the following, we discussed the TQP in two-dimensional HS. Let be an event containing two basic states, where and are defined in ℏ. In Figure 1, we graphically show the state , which is defined as a superposition. According to Equations (1) and (2), we obtain
and the probabilities of and are computed in the following way:
Figure 1.
Event in Hilbert space with two dimensions.
According to conventional Bayesian decision theory (BDT), the expert can be mathematically represented as a Markov process (MP) [54]. The state transition probability (STP) in a single route of TQP aligns with the CPT according to Feynman’s first rule [56], which varies over several pathways. Consider the decision-making dilemma highlighted above as an illustration of the process depicted in Figure 2a. Experts provide their assessments of (‘bad’) or (‘good’) as probability quantifications. Steps are determined by combining the individual probabilities for each route and using the total probability formula in CPT, as shown in Equation (6).
Figure 2.
Process of making a decision in (a) MP and (b) QDT process.
Since only one route is selected at a time, it is sometimes referred to as the single path principle. The conventional MP assumes that experts rely on one expert at a time and that both experts are completely autonomous. However, this approach is sometimes unsuitable for ordinary cognitive processes because many avenues are often considered when forming judgments. Such phenomena can result in illogical actions, including conjunction errors, as well as disjunction and impacts of interference. Thus, QPT is an excellent complement to CPT in this scenario.
Within the QPT framework (Figure 2b), the state is formed by combining three fundamental states, which can be represented as different wave functions aligning according to Feynman’s second rule. The amplitude of the final form is obtained by superimposing two individual routes running from ‘Initial’ to . The amplitude is the sum of the individual pathways from source ‘Initial’ to target , and the probability of reaching the target is equal to the square of the amplitude, presented in Equation (7).
Equation (7) can be simplified in the following way:
By Equation (4), we obtain
Then Equation (7) can be written in the following way:
Upon comparing Equations (6) and (10), it becomes evident that the QDT framework includes an interference component. If the pathways are observable, the quantum phase transition will reduce to the classical one; following Feynman’s third rule, we obtain Equation (11).
Additionally, the TQP can be expanded to a multi-path graph, resulting in an increased number of interference terms. The TQP enhances CPT by accurately representing cognitive processes in quantum terms, thereby more effectively modeling ambiguity, uncertainty, and vagueness in decision making.
3. The TODIM-PROMETHEE II-Based MCGDM Under LZNI and Quantum Decision Scenario
A quantum-based MCGDM model is developed in this section. First, each expert provides his/her judgment by LZNs using pre-defined LTSs. The individual assessment result is then calculated using an extended generalized LZN TODIM-PROMETHEE II method. Lastly, a quantum-based aggregation mode is offered to investigate the impacts of interference between the assessment findings of experts.
3.1. Problem Statement
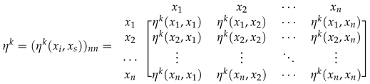
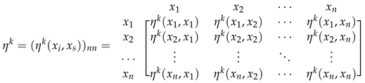
Suppose is a set of q experts. These experts evaluate the collection of n alternatives concerning the set of m criteria . In the set of m criteria, there are cost and benefit types of criteria. Let be the collection of the corresponding weight of m criteria, obtained from the expert opinion decision matrix such that and . Let , be the LZN-based decision information provided by expert using pre-defined distinct LTSs and . The decision matrix of the k-th expert is represented in the following way:
3.2. Calculating the Weights of the Criterion
In the MCGDM process, determining the weights of the criteria is crucial. The degree of dispersion of the index serves as the foundation for the weight calculation in the entropy weight technique. As a system of objective weighing, it is very accurate and credible. Additionally, it can represent the ability of indications and a straightforward procedure to be distinguished. One useful metric for assessing the level of uncertainty is Shannon entropy. In order to avoid the intervention resulting from subjective considerations, this article computes the criterion weights and the inner dependability of the evidence based on Shannon entropy. The precise procedures to obtain the final decision matrix and criterion weights are as follows.
Step 1: The decision matrix presented in Equation (12) can be normalized to with
Step 2: The Shannon entropy can be calculated in the following way:
is 0 if .
Step 3: The criteria weight for each expert can be calculated in the following way:
3.3. The LZN TODIM-PROMETHEE II Method
To acquire the individual assessment result and the corresponding weights of criteria, a flexible MCGDM approach is required after the evaluation information has been obtained. This paragraph suggests an expanded LZN TODIM-PROMETHEE II approach. It mostly consists of the four steps listed below:
Step 1: Obtain the relative weight of the criteria of expert .
Let be the relative weight of the criteria of expert . Then, based on Equation (15), we obtain
Step 2: Compute the dominance degree of over about criteria of expert .
The dominant degree of over for the criteria of expert is denoted by and defined in the following way:
where is a risk factor of gain and losses. means are gains and means are loser. Based on Equation (17), the dominance degree matrix for of expert is as follows:
Step 3: The overall dominance degree of concerning the remaining alternatives for of expert is denoted by and defined in the following way:
Based on Equation (19), the overall dominance matrix of each expert is as follows:
Step 4: The positive and negative flows of each alternative for expert are denoted by and , and calculated in the following way:
Step 5: Based on Equation (21), we have the net flow of each alternative for expert , as follows:
3.4. Quantum-Scenario-Based Aggregation of Expert Evaluation Result
An efficient information fusion tool is required to combine the individual assessment findings after the experts’ evaluation results were derived using the expanded LZN TODIM-PROMETHEE II approach. This part examines the interference effects between experts’ views using a quantum-based aggregation mode.
In this phase, we converted the pre-collected data into probabilities and developed a Bayesian network (BN) for decision making, as the quantum framework is a partial extension of the BN. Figure 3 illustrates that in an MCGDM situation, the decision-making process can be represented as a simple two-layer BN. The first layer probabilities are determined in the following way.
Figure 3.
The BN in a problem of MCGDM.
Let be the first layer probability of expert , which indicates the degree of belief in the experts, obtained by the following equation:
where
Equation (21) then used the positive and negative flows of each alternative of expert , which were computed from extended LZN TODIM-PROMETHEE II, as a tool to link experts and alternatives in the BN so that the following is achieved.
Then, the second layer consists of the probabilities of alternative , which are calculated in the following way:
Subsequently, we can decide based on the values, as higher probabilities indicate a superior ranking. The classical approach does not account for the interference effect, which can influence the final rankings. To address this issue, Bayesian networks are expanded into a quantum framework capable of properly modeling a practical approach to real interference in MCGDM.
The facilitator often consolidates opinions from several specialists. The interconnected decision-making processes in real-world situations, as demonstrated in Section 2.3, remain unobservable. The square of the sum of the amplitude probabilities of all possible pathways collectively constitutes the probability of the alternative from TQP [63], as described.
In a quantum scenario-based BN (QSBN), a normalization factor is incorporated into Equation (28) to standardize the probability of each alternative, ensuring that the overall estimated probability does not exceed 1. Then,
where
3.5. Analysis of Interference Effect Among Experts’ Opinions
Equation (30) uses the term , which represents the ambiguity and uncertainty of expert opinions, to explain the superposition of decision information. In Equation (30), represents the phase angle between two distinct experts and , which represents the connection vector between two experts. is the total count of pairwise correspondences across q experts, excluding duplicates. The final interference value is derived by summing the computed interference values for each expert pair, rather than assessing the overall uncertainty across experts. This approach enhances the accuracy of the estimated probability value.
In real-world situations, it is hard to measure the phase angle. Experts’ opinions can differ or be influenced by outside factors, causing a lot of variation and mistakes. Belief entropy helps a lot in handling and combining unclear information, making it easier to make good decisions in group settings with many factors. It is used as a standard in areas like risk assessment, defect diagnosis, and pattern recognition. Belief entropy is the latest way to measure interference in QSBN. Unlike the old method of manually estimating the phase angle range, this new method is more reliable because it reduces errors from personal judgment, which can affect the final decision and the expert’s probability calculation. Belief entropy is used in QSBN to manage the interference among different experts’ beliefs in GDM.
Then, the belief distance about alternative according to the average probability can be calculated in the following way:
In Equation (31), u means the value reallocated to the correlation among q experts; represents each expert probability value of each alternative; means the deviation degree from ; and represent two experts’ magnitude of the deviation degree from about alternative . If , then the position of and are interchangeable.
There are many ways to measure uncertainty. Deng entropy [64], also known as belief entropy, is better at including the confidence function and the uncertainty of the basic probability assignment (BPA) because it measures both total non-specificity and disagreement.
Thus, by Deng’s entropy, we obtain
To ensure that the values of Deng entropy align with the range of , which is between , Deng entropy is standardized.
Thus, the phase angle can be determined in the following way:
Finally, the probability of each alternative can be determined in the following technique:
where
According to the extended LZN TODIM-PROMETHEE II-based MCGDM and quantum decision scenario described in Section 3, the decision steps are presented in Algorithm 1.
| Algorithm 1 Algorithm of the TODIM-PROMETHEE II-based MCGDM Under LZNI and quantum decision scenario. |
Input: , , , and . Output: Ranking of alternatives.
|
4. A Real-World Example and Comparative Assessment
Through a case study on renewable energy selection, this part illustrates the feasibility of the suggested TODIM-PROMETHEE II-based MCGDM strategy, which incorporates QDT inside LZNI. Below is a presentation of the comprehensive process for the combined TODIM-PROMETHEE II strategy.
4.1. A Case Study
Multiple scientific studies demonstrate that India is a premier global site for renewable energy production due to its favorable natural conditions. Our proposed methodology was applied to identify a location for a wind power facility. Five cities were prioritized for this purpose: : Madhya Pradesh, : Maharashtra, : Rajasthan, : Gujrat, and : Panjab. After a thorough review in Section 1.1, four criteria were defined: : environmental conditions, : economic factors, : technical possibilities, and : site characteristics. A panel of five experts , , ⋯, initially evaluated these criteria using the LZNs, which are derived from the LTSs , , , , and . Figure 4 illustrates the decision tree of the site selection of renewable energy. The following methods are applied to evaluate this MCGDM scenario using our proposed TODIM-PROMETHEE II method integrating QDT with LZNI for assessing the available options.
Figure 4.
The decision tree of the site selection of renewable energy.
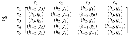
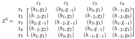
, , , ;
, , , ;
, , , ;
, , , ;
, , , .
Step 2: Let . Then, by Equation (20), using Equations (18) and (19), the overall dominance matrix for all experts is shown in Equations (44)–(48).
We determine each alternative’s positive, negative, and net flow for every expert using Equations (21) and (22). Table 1, Table 2, Table 3, Table 4 and Table 5 display the specific outcomes.
Table 1.
The outcomes that were produced by , , and .
Table 2.
The outcomes that were produced by , , and .
Table 3.
The outcomes that were produced by , , and .
Table 4.
The outcomes that were produced by , , and .
Table 5.
The outcomes that were produced by , , and .
Step 4: By Equation (25), we calculate the conditional probabilities of each alternative for each expert. The detailed results are shown in Table 6.
Table 6.
The conditional probabilities of each alternative.
Step 5: By Equation (31), the belief distance between two experts about each alternative is calculated, which is presented in Table 7.
Table 7.
The belief distance between two experts about each alternative.
Table 8.
The Deng entropy between two experts about each alternative.
By Equation (33), the standardized Deng entropy between two experts about each alternative is shown in Table 9.
Table 9.
The standardized Deng entropy between two experts about each alternative.
By Equation (35), the interface effect among experts for each alternative is , , , , and .
Step 6: By Equation (37), the comprehensive probability of each alternative is as follows:
, , , , and .
Step 7: The final ranking is .
4.2. Result Discussion
This part addresses the confirmation of our numerical results by sensitivity analysis and comparison analysis.
4.2.1. Impact of the Quantum Interface on Decision Outcomes
We can decide based on the values according to Equation (26), as higher probabilities indicate a superior ranking. The classical approach does not account for the interference effect, which can influence the final rankings, as shown in Figure 5. The ranking result of alternatives according to Equation (26) is . If we count the interface effect between two experts about an alternative, the ranking outcome is .
Figure 5.
The interface effect on ranking values.
4.2.2. Impact of Relative Information on Decision Outcomes
First, we look at the impact of the relative measure of primary information on the outcomes of decisions in this section. Ref. [62] states that the LZNI of all experts degenerates to linguistic information (LI) if the relative measure of all experts equals . Then, for LZNI and LI, we rank the alternatives of our suggested method; Figure 6 displays the specifics of the comparative results.
Figure 6.
Output of the LZNI and LI decision results.
4.2.3. Sensitive Analysis
The expert risk parameter was used in our suggested quantum TODIM-PROMETHEE II-based MCGDM technique in the LZN environment. The primary purpose of this parameter is to determine the experts’ first-layer probability. Figure 7 shows how affects the experts’ first layer probability. As the expert risk parameters are increased, the first layer probability of experts and rises, whereas the first layer probability of experts , , and decreases, as shown in Figure 7. Figure 8 shows the extent to which changes in the experts’ first layer probability for changes in affect the outcomes of the choice. The expert risk parameter has a moderate impact on the expert risk, as seen in Figure 7 and Figure 8.
Figure 7.
The impact of on the first layer probability of experts.
Figure 8.
The impact of on the outcome of the choice.
4.3. Comparative Examination
We contrast the proposed approach with a few current approaches for the aforementioned case in order to assess its viability and validity.
The MCGDM model studied in [25,26,28,29,31] can be used to solve the selection of renewable energy problem that is addressed in this study. Therefore, to compare our model and the model studied in [25,26,28,29,31], we first aggregate the experts’ opinions. In this connection, by [24], using the LZN weighted averaging aggregation operator, the aggregation of five experts’ opinions is shown in Equation (49).
Table 10 displays the ratings on the two sites, as well as the final ranking indices and orders obtained using various techniques. In Table 10, means ranking values of of the corresponding method. In Table 10, the ranking of alternatives according to the TODIM-PROMETHEE II [26] method is , i.e., the optimal option is . When the proposed model is applied without considering the interface effect, the optimal option is also . This suggests that the optimal option of the proposed approach align with the TODIM-PROMETHEE II [26] method when the impact of decision makers is disregarded, thereby validating the robustness of the suggested model. However, when evaluating the quantum interference among decision makers, the outcomes of this model suggest that is the optimal strategy. This inconsistency arises from the conventional framework’s exclusion of the interference effect among decision makers, which leads to subjective biases during the evaluation of alternatives. As a result, the outcomes of this model better align with real-world complexities.
Table 10.
The ranking results from our method vs. different methods.
Furthermore, here, we use the Spearman rank correlation (SRC) test to compare and contrast our approach with the other five techniques. We used SPSS 21.0 to run the SRC in order to compare the ranking performance of these five approaches. The results of this investigation are displayed in Figure 9. R stands for the correlation values and p for the p-value in Figure 9. When R is close to 1, it indicates that the two techniques’ ranking results are more comparable, and when p is less than , it indicates that there is a substantial correlation between them.
Figure 9.
The results of the SRC test.
4.4. Discussion with Advantages and Limitations
In this work, we have created an integrated MCGDM model that takes into account the psychological behaviors of experts as well as the consequences of opinion interference among experts. Opinion fusion in a quantum framework and individual assessment of options using the generalized LZN TODIM-PROMETHEE II- approach are the two primary phases of the suggested paradigm. Some experts have subjectively assessed the choices in relation to the criteria. The LZN phrase has been employed to model the experts’ opinions due to the nature of subjective evaluations and the ambiguity of information. The opinions of the experts have been gathered through the use of LZN dispersion evaluations. Because of its features, this kind of language representation is incredibly adaptable in capturing the ambiguity and integrity of information.
One parameter is established for experts in relation to the psychological behaviors that are taken into consideration and the interference effects, based on the procedures of the generalized LZN TODIM-PROMETHEE II technique and the QDT. We may investigate the impact of the parameter on the final assessment findings and ranking orders by varying the associated parameters, as demonstrated in the sensitivity analysis section. Based on the above explanation, the suggested paradigm offers the following three key benefits:
- (1)
- By using LZNs, the MCGDM process may take into account more flexible degrees of expression and complete evaluation information, resulting in final outcomes that are similar to the real scenario as feasible.
- (2)
- The generalized LZN TODIM-PROMETHEE II approach aids in lowering the model’s computational complexity. The existence of expert’s bounded rational behaviors during decision making may also be correctly reflected by the generalized LZN TODIM-PROMETHEE II technique, which is based on prospect theory.
- (3)
- An effective way to convey the emotions of conflict and compromise is to describe the interference effects in an MCGDM process using a quantum framework. The conjunction and disjunction phenomena that occur during actual decision making may also be explained by the quantum decision model using Deng entropy.
However, this could unavoidably lead to various issues, which are as follows:
- (1)
- In our model, the interference term appears by Deng entropy. However, it is important to think about other approaches like the belief entropy. A thorough explanation of how the interference term is determined is beneficial.
- (2)
- The quantum decision model is considerably more complicated as the number of experts rises, as many interference terms must be taken into account. This weakness is likewise acceptable because human subconscious feelings are complicated, but they may unavoidably cause a lot of problems in practical applications.
- (3)
- The outcomes of each evaluation are converted into probabilities before the Bayesian network is built. One way to think of this process is as a stage of normalization. As is well known, various normalization methods may produce varying decision outcomes. More study is still required on this topic.
5. Conclusions
Quantum theory has garnered a lot of scholarly interest over time and has been effectively used in several fields of study. Assuming that the experts are not independent, this research suggests a behavioral framework based on quantum mechanics to simulate the interference effects in the MCGDM process. Our approach addresses information and displays subjective cognition and information fusion efficiently. LZNs are first used to represent linguistic judgment and trustworthiness to facilitate the evaluations of decision makers. Second, individual collective evaluation findings are derived using a generalized LZN TODIM-PROMETHEE II model that may adapt to the psychological behaviors and risk attitudes of the experts and consider the positive and negative flows of alternatives. Third, the quantum decision theory, during information fusion is used to highlight interference effects among experts’ viewpoints. Lastly, a selection of renewable energy is used to evaluate the developed decision model. Sensitivity analysis and comparison with other current approaches are used to validate the efficacy. The findings show that our model outperforms other models in terms of decision assistance in terms of simplicity and efficiency.
This work advances theory as well as practice. Our method’s ability to investigate the MCGDM problem from behavioral and alternative two types of flows standpoints are its common advantages. Nevertheless, there are several drawbacks of the suggested model, pointed out in Section 4.4, which suggests areas for further study.
Author Contributions
P.M.: conceptualization of this study, methodology, validation, formal analysis, writing—original draft. L.M.: visualization, validation, writing—review and editing. A.K.: visualization and formal analysis. T.A.: visualization, formal analysis, and supervision. S.S.: validation, formal analysis, writing—review and editing. All authors have read and agreed to the published version of the manuscript.
Funding
This research received funding from the “Related Project 101056129—Developing skills in Intellectual Property Rights Open Data for sustainability and circularity (IPR4SC)—ERASMUS-EDU-2021-PI-ALL-INNO”.
Data Availability Statement
The data will be made available on request.
Conflicts of Interest
The authors declare no conflicts of interest.
References
- Vassoney, E.; Mochet, A.M.; Comoglio, C. Use of multicriteria analysis (MCA) for sustainable hydropower planning and management. J. Environ. Manag. 2017, 196, 48–55. [Google Scholar] [CrossRef] [PubMed]
- Xie, J.; Li, Z.; Xia, Y.; Liang, L.; Zhang, W. Optimizing capacity investment on renewable energy source supply chain. Comput. Ind. Eng. 2017, 107, 57–73. [Google Scholar] [CrossRef]
- Yang, Y.; Ren, J.; Solgaard, H.S.; Xu, D.; Nguyen, T.T. Using multi-criteria analysis to prioritize renewable energy home heating technologies. Sustain. Energy Technol. Assess. 2018, 29, 36–43. [Google Scholar] [CrossRef]
- Garni, H.A.; Kassem, A.; Awasthi, A.; Komljenovic, D.; Al-Haddad, K. A multicriteria decision making approach for evaluating renewable power generation sources in Saudi Arabia. Sustain. Energy Technol. Assess. 2016, 16, 137–150. [Google Scholar] [CrossRef]
- Kaya, T.; Kahraman, C. Multicriteria renewable energy planning using an integrated fuzzy VIKOR & AHP methodology: The case of Istanbul. Energy 2010, 35, 2517–2527. [Google Scholar] [CrossRef]
- Scarpa, R.; Willis, K. Willingness-to-pay for renewable energy: Primary and discretionary choice of British households’ for micro-generation technologies. Energy Econ. 2010, 32, 129–136. [Google Scholar] [CrossRef]
- Wibowo, S.; Grandhi, S. Multicriteria assessment of combined heat and power systems. Sustainability 2018, 10, 3240. [Google Scholar] [CrossRef]
- Mahapatra, K.; Gustavsson, L. An adopter-centric approach to analyze the diffusion patterns of innovative residential heating systems in Sweden. Energy Policy 2008, 36, 577–590. [Google Scholar] [CrossRef]
- Streimikiene, D.; Balezentis, T.; Krisciukaitienė, I.; Balezentis, A. Prioritizing sustainable electricity production technologies: MCDM approach. Renew. Sustain. Energy Rev. 2012, 16, 3302–3311. [Google Scholar] [CrossRef]
- Amer, M.; Daim, T.U. Selection of renewable energy technologies for a developing county: A case of Pakistan. Energy Sustain. Dev. 2011, 15, 420–435. [Google Scholar] [CrossRef]
- Troldborg, M.; Heslop, S.; Hough, R.L. Assessing the sustainability of renewable energy technologies using multi-criteria analysis: Suitability of approach for national-scale assessments and associated uncertainties. Renew. Sustain. Energy Rev. 2014, 39, 1173–1184. [Google Scholar] [CrossRef]
- Stein, E.W. A comprehensive multi-criteria model to rank electric energy production technologies. Renew. Sustain. Energy Rev. 2013, 22, 640–654. [Google Scholar] [CrossRef]
- Brand, B.; Missaoui, R. Multi-criteria analysis of electricity generation mix scenarios in Tunisia. Renew. Sustain. Energy Rev. 2014, 39, 251–261. [Google Scholar] [CrossRef]
- Mourmouris, J.C.; Potolias, C. A multi-criteria methodology for energy planning and developing renewable energy sources at a regional level: A case study Thassos, Greece. Energy Policy 2013, 52, 522–530. [Google Scholar] [CrossRef]
- Pappas, C.; Karakosta, C.; Marinakis, V.; Psarras, J. A comparison of electricity production technologies in terms of sustainable development. Energy Convers. Manag. 2012, 64, 626–632. [Google Scholar] [CrossRef]
- Chatzimouratidis, A.I.; Pilavachi, P.A. Multicriteria evaluation of power plants impact on the living standard using the analytic hierarchy process. Energy Policy 2008, 36, 1074–1089. [Google Scholar] [CrossRef]
- Montoya, F.G.; Aguilera, M.J.; Manzano-Agugliaro, F. Renewable energy production in Spain: A review. Renew. Sustain. Energy Rev. 2014, 33, 509–531. [Google Scholar] [CrossRef]
- Wibowo, S.; Deng, H. A consensus support system for supplier selection in group decision making. J. Manag. Sci. Stat. Decis. 2009, 6, 52–59. [Google Scholar]
- Beg, I.; Jamil, R.N.; Rashid, T. Diminishing Choquet hesitant 2-tuple linguistic aggregation operator for multiple attributes group decision making. Int. J. Anal. Appl. 2019, 17, 76–104. [Google Scholar] [CrossRef]
- Dincer, H.; Yuksel, S.; Martinez, L. Balanced scorecard-based analysis about European energy investment policies: A hybrid hesitant fuzzy decision-making approach with Quality Function Deployment. Expert Syst. Appl. 2019, 115, 152–171. [Google Scholar] [CrossRef]
- Herrera, F.; Martinez, L. A 2-tuple fuzzy linguistic representation model for computing with words. IEEE Trans. Fuzzy Syst. 2000, 8, 746–752. [Google Scholar] [CrossRef]
- Wang, J.; Cao, Y.; Zhang, H. Multi-criteria decision-making method based on distance measure and Choquet integral for linguistic Z-numbers. Cogn. Comput. 2017, 9, 827–842. [Google Scholar] [CrossRef]
- Zadeh, L.A. A note on Z-numbers. Inform. Sci. 2011, 181, 2923–2932. [Google Scholar] [CrossRef]
- Mandal, P.; Samanta, S.; Pal, M. Failure mode and effects analysis in consensus-based GDM for surface-guided deep inspiration breath-hold breast radiotherapy for breast cancer under the framework of linguistic Z-number. Inform. Sci. 2024, 658, 120016. [Google Scholar] [CrossRef]
- Bhowmik, A.; Mandal, P.; Samanta, S.; Pal, M.; Allahviranloo, T. TOPSIS-Based MAGDM Under Linguistic Z Number Information. In Management of Uncertainty Using Linguistic Z-Numbers; Allahviranloo, T., Samanta, S., Eds.; Studies in Fuzziness and Soft Computing; Springer: Cham, Switzerland, 2024; Volume 434, pp. 17–31. [Google Scholar] [CrossRef]
- Kumar, J.; Mane, P.; Navandar, R.; Bhowmik, M.; Sen, B.; Palkar, I.M. MCGDM Based on TODIM-PROMETHEE II Under Linguistic Z Number Environment and Their Application in Site Selection of Emergency Shelter. In Management of Uncertainty Using Linguistic Z-Numbers; Allahviranloo, T., Samanta, S., Eds.; Studies in Fuzziness and Soft Computing; Springer: Cham, Switzerland, 2024; Volume 434, pp. 69–86. [Google Scholar] [CrossRef]
- Mahapatra, R.; Mandal, P.; Samanta, S.; Dubey, V.K.; Pal, M.; Allahviranloo, T. Centrality Measure Using Linguistic Z-graph and Its Application. In Management of Uncertainty Using Linguistic Z-Numbers; Allahviranloo, T., Samanta, S., Eds.; Studies in Fuzziness and Soft Computing; Springer: Cham, Switzerland, 2024; Volume 434, pp. 219–240. [Google Scholar] [CrossRef]
- Mandal, P.; Samanta, S.; Allahviranloo, T.; Pal, M.; Dubey, V.K. A New Approach of MCGDM: MARCOS-Based Alternatives Measurement with Ranking Under Linguistic Z Number Information and Their Application in the Selection of Logistics Distribution Cold Chain Centre. In Management of Uncertainty Using Linguistic Z-Numbers; Allahviranloo, T., Samanta, S., Eds.; Studies in Fuzziness and Soft Computing; Springer: Cham, Switzerland, 2024; Volume 434, pp. 33–49. [Google Scholar] [CrossRef]
- Mandal, P.; Samanta, S.; Allahviranloo, T.; Pal, M. Linguistic Z Number Environment-Based Site Selection of Medical Logistic Centre with TODIM-VIKOR Approach. In Management of Uncertainty Using Linguistic Z-Numbers; Allahviranloo, T., Samanta, S., Eds.; Studies in Fuzziness and Soft Computing; Springer: Cham, Switzerland, 2024; Volume 434, pp. 53–67. [Google Scholar] [CrossRef]
- Mandal, P.; Samanta, S.; Allahviranloo, T.; Pal, M. A Novel Approach of Extended ORESTE-Based Linguistic Z Number MCGDM and Their Applications in the Ability of Regional Energy Assessment. In Management of Uncertainty Using Linguistic Z-Numbers; Allahviranloo, T., Samanta, S., Eds.; Studies in Fuzziness and Soft Computing; Springer: Cham, Switzerland, 2024; Volume 434, pp. 87–103. [Google Scholar] [CrossRef]
- Mandal, P.; Samanta, S.; Allahviranloo, T.; Pal, M. MCGDM Based on MULTIMOORA with Linguistic Z Number and Their Application in Software Selection. In Management of Uncertainty Using Linguistic Z-Numbers; Allahviranloo, T., Samanta, S., Eds.; Studies in Fuzziness and Soft Computing; Springer: Cham, Switzerland, 2024; Volume 434, pp. 105–121. [Google Scholar] [CrossRef]
- Gou, X.; Xu, Z.; Liao, H.; Herrera, F. Probabilistic double hierarchy linguistic term set and its use in designing an improved VIKOR method: The application in smart healthcare. J. Oper. Res. Soc. 2021, 72, 2611–2630. [Google Scholar] [CrossRef]
- Jiang, S.; Shi, H.; Lin, W.; Liu, H.C. A large group linguistic Z-DEMATEL approach for identifying key performance indicators in hospital performance management. Appl. Soft Comput. 2020, 86, 105900. [Google Scholar] [CrossRef]
- Brans, J.P.; Vincle, P.; Mareschal, B. How to select and how to rank projects: The PROMETHEE method. Eur. J. Oper. Res. 1986, 24, 228–238. [Google Scholar] [CrossRef]
- Brans, J.P.; Mareschal, B. PROMETHEE methods. In Multiple Criteria Decision Analysis: State of the Art Surveys; International Series in Operations Research & Management Science; Springer: New York, NY, USA, 2005; Volume 78. [Google Scholar] [CrossRef]
- Abdullah, L.; Chan, W.; Afshari, A. Application of PROMETHEE method for green supplier selection: A comparative result based on preference functions. J. Ind. Eng. Int. 2019, 15, 271–285. [Google Scholar] [CrossRef]
- Behzadian, M.; Kazemzadeh, R.B.; Albadvi, A.; Aghdasi, M. PROMETHEE: A comprehensive literature review on methodologies and applications. Eur. J. Oper. Res. 2010, 200, 198–215. [Google Scholar] [CrossRef]
- Govindan, K.; Kadzinski, M.; Sivakumar, R. Application of a novel PROMETHEE-based method for construction of a group compromise ranking to prioritization of green suppliers in food supply chain. Omega 2017, 71, 129–145. [Google Scholar] [CrossRef]
- Goumas, M.; Lygerou, V. An extension of the PROMETHEE method for decision making in fuzzy environment: Ranking of alternative energy exploitation projects. Eur. J. Oper. Res. 2000, 123, 606–613. [Google Scholar] [CrossRef]
- Krishankumar, R.; Ravichandran, K.S.; Saeid, A.B. A new extension to PROMETHEE under intuitionistic fuzzy environment for solving supplier selection problem with linguistic preferences. Appl. Soft Comput. 2017, 60, 564–576. [Google Scholar] [CrossRef]
- Ziemba, P. NEAT F-PROMETHEE—A new fuzzy multiple criteria decision making method based on the adjustment of mapping trapezoidal fuzzy numbers. Expert Syst. Appl. 2018, 110, 363–380. [Google Scholar] [CrossRef]
- Gomes, L.F.A.M.; Lima, M.M.P.P. TODIM: Basics and application to multicriteria ranking of projects with environmental impacts. Found. Comput. Decis. Sci. 1992, 16, 113–127. [Google Scholar]
- Krohling, R.A.; de Souza, T.T. Combining prospect theory and fuzzy numbers to multi-criteria decision making. Expert Syst. Appl. 2012, 39, 11487–11493. [Google Scholar] [CrossRef]
- Krohling, R.A.; Pacheco, A.G.; Siviero, A.L. IF-TODIM: An intuitionistic fuzzy TODIM to multi-criteria decision making. Knowl. Based Syst. 2013, 53, 142–146. [Google Scholar] [CrossRef]
- Lourenzutti, R.; Krohling, R.A. A study of TODIM in a intuitionistic fuzzy and random environment. Expert Syst. Appl. 2013, 40, 6459–6468. [Google Scholar] [CrossRef]
- Passos, A.C.; Teixeira, M.G.; Garcia, K.C.; Cardoso, A.M.; Gomes, L.F.A.M. Using the TODIM-FSE method as a decision-making support methodology for oil spill response. Comput. Oper. Res. 2014, 42, 40–48. [Google Scholar] [CrossRef]
- Zhang, W.; Ju, Y.; Gomes, L.F.A.M. The SMAA-TODIM approach: Modeling of preferences and a robustness analysis framework. Comput. Ind. Eng. 2017, 114, 130–141. [Google Scholar] [CrossRef]
- Wu, Y.; Wang, J.; Hu, Y.; Ke, Y.; Li, L. An extended TODIM-PROMETHEE method for waste-to-energy plant site selection based on sustainability perspective. Energy 2018, 156, 1–16. [Google Scholar] [CrossRef]
- Llamazares, B. An analysis of the generalized TODIM method. Eur. J. Oper. Res. 2018, 269, 1041–1049. [Google Scholar] [CrossRef]
- Wang, W.; Liu, X.; Qin, J.; Liu, S. An extended generalized TODIM for risk evaluation and prioritization of failure modes considering risk indicators interaction. IISE Trans. 2019, 51, 1236–1250. [Google Scholar] [CrossRef]
- Busemeyer, J.R.; Bruza, P.D. Quantum Models of Cognition and Decision; Cambridge University Press: Cambridge, UK, 2012. [Google Scholar] [CrossRef]
- Yearsley, J.M.; Busemeyer, J.R. Quantum cognition and decision theories: A tutorial. J. Math. Psychol. 2016, 74, 99–116. [Google Scholar] [CrossRef]
- Eichberger, J.; Pirner, H.J. Decision theory with a state of mind represented by an element of a Hilbert space: The Ellsberg paradox. J. Math. Econ. 2018, 78, 131–141. [Google Scholar] [CrossRef]
- Moreira, C.; Wichert, A. Interference effects in quantum belief networks. Appl. Soft Comput. 2014, 25, 64–85. [Google Scholar] [CrossRef]
- Han, S.; Liu, X. An extension of multi-attribute group decision making method based on quantum-like Bayesian network considering the interference of beliefs. Inform. Fusion 2023, 95, 143–162. [Google Scholar] [CrossRef]
- Wu, Q.; Liu, X.; Qin, J.; Wang, W.Z.; Zhou, L. A linguistic distribution behavioral multi-criteria group decision making model integrating extended generalized TODIM and quantum decision theory. Appl. Soft Comput. 2020, 98, 106757. [Google Scholar] [CrossRef]
- Xiao, J.; Cai, M.; Gao, Y. A VIKOR-Based Linguistic Multi-Attribute Group Decision-Making Model in a Quantum Decision Scenario. Mathematics 2022, 10, 2236. [Google Scholar] [CrossRef]
- He, Z.; Jiang, W. An evidential dynamical model to predict the interference effect of categorization on decision making results. Knowl. Based Syst. 2018, 150, 139–149. [Google Scholar] [CrossRef]
- He, Z.; Jiang, W. An evidential markov decision making model. Inform. Sci. 2018, 467, 357–372. [Google Scholar] [CrossRef]
- Wang, Z.; Solloway, T.; Shiffrin, R.M.; Busemeyer, J.R. Context effects produced by question orders reveal quantum nature of human judgments. Proc. Natl. Acad. Sci. USA 2014, 111, 9431–9436. [Google Scholar] [CrossRef] [PubMed]
- Xu, Z. Deviation measures of linguistic preference relations in group decision making. Omega 2005, 33, 249–254. [Google Scholar] [CrossRef]
- Chai, J.; Su, Y.; Lu, S. Linguistic Z-number preference relation for group decision making and its application in digital transformation assessment of SMEs. Expert Syst. Appl. 2023, 2013, 118749. [Google Scholar] [CrossRef]
- He, Z.; Chan, F.T.S.; Jiang, W. A quantum framework for modelling subjectivity in multi-attribute group decision making. Comput. Ind. Eng. 2018, 124, 560–572. [Google Scholar] [CrossRef]
- Zhao, T.; Li, Z.; Deng, Y. Linearity in Deng entropy. Chaos Solitons Fractals 2024, 178, 114388. [Google Scholar] [CrossRef]
Disclaimer/Publisher’s Note: The statements, opinions and data contained in all publications are solely those of the individual author(s) and contributor(s) and not of MDPI and/or the editor(s). MDPI and/or the editor(s) disclaim responsibility for any injury to people or property resulting from any ideas, methods, instructions or products referred to in the content. |
© 2024 by the authors. Licensee MDPI, Basel, Switzerland. This article is an open access article distributed under the terms and conditions of the Creative Commons Attribution (CC BY) license (https://creativecommons.org/licenses/by/4.0/).




