Abstract
As the consumer market becomes more saturated, the e-commerce supply chain (E-SC) has introduced the trade-in program in an attempt to drive consumption. This paper considers the strategy of the E-SC to provide cash rebates for consumers participating in the trade-in program and incorporates the e-commerce platform’s trade-in service efforts into the E-SC’s decision-making system. Depending on who provides the cash rebate, we construct four decision-making models of the E-SC, i.e., the no-cash-rebate model, the manufacturer model, the platform model, and the cooperative model, where both the manufacturer and the platform jointly provide the cash rebate. We show that the platform model reduces the trade-in service level, but the manufacturer model increases the trade-in service level. In addition, since the cash rebate increases operation costs, the sale price of products is inevitably improved. Furthermore, the platform model raises product demand, but the manufacturer model lowers product demand. The cooperative model proves effective in enhancing demand only when the manufacturer contributes a minor share of the cash rebate and the trade-in service is less efficient. Cash rebates can increase the E-SC’s profits, but the degree of this increase becomes smaller as the cash rebates increase. The manufacturer and the platform always want to exploit each other’s cash rebate strategies. Consumer surplus and social welfare are highest in the platform model and lowest in the manufacturer model. Taking into account the profits, consumer surplus, and social welfare, the platform model is the most conducive to E-SC system operations.
MSC:
91B26
1. Introduction
Many online sales platforms (platforms), such as Suning and Jingdong, have introduced a trade-in program. Consumers can purchase products directly or use the trade-in program, where old products are recycled or collected by staff from the platform [1]. The e-commerce supply chain (E-SC), which is a functional network chain structure with such platforms as core enterprises, connects upstream and downstream enterprises with consumers as a whole through the control of information flow, logistics and capital flow, and it has worked hard to enhance the trade-in experience for consumers. In the era of the Internet economy with its convenient consumption, the service provided by platforms is an important guarantee to break the last mile of the trade-in program under the E-SC and is becoming the core of their competitiveness [2]. Platforms have introduced cash rebates in addition to better service capabilities to promote their trade-in programs. In the “818” home appliance trade-in event of 2024, Suning introduced a Baiyibutie sales promotion, which is a cash rebate strategy from the manufacturer and the platform. Through the combination of service enhancement and cash rebate strategies, the trade-in program has improved the recycling of old products. And it appears to have developed into a significant instrument to activate the inventory market in the E-SC [2,3].
Cash rebates and enhanced trade-in services, however, raise the platforms’ and manufacturers’ operational costs. Manufacturers must take part in marketing promotions after collaborating with the platform. The promotional cost lessens the incentive of the cash rebate for the manufacturer. On some complaint websites, consumers often complain about platforms not paying cash rebates, resulting in consumers’ dissatisfaction with the trade-in program (http://tousu.sina.com.cn/complaint/view/17359993589/ (accessed on 27 November 2024)). Therefore, enterprises must carefully consider the influence of the cash rebate. The cash rebate strategies under the E-SC aim to promote the sale of new products and the recycling of old products. However, a number of factors, including pricing, recycling services, and the consumer’s valuation of products, might have a complex impact on customers’ willingness to participate in the trade-in program. Moreover, for the manufacturer, although remanufacturing the old products collected by trade-in programs can save on production costs [4], providing the cash rebate elevates operational expenses and obscures the cash rebate’s impact. Therefore, whether cash rebates for the trade-in program should be provided and by whom are crucial issues that need to be further explored and clarified.
Existing studies have researched the online trade-in program, including the optimal trade-in strategies [5], pricing decisions [6], and trade-in modes [7]. But trade-in service efforts as endogenous decisions are rarely involved. Moreover, unlike prepaid money for consumers, such as gift cards and coupons [8], the cash rebate can be used directly to reduce payments when consumers purchase new products. Additionally, cooperative cash rebates involve the upstream and downstream enterprises, which influences operational decisions in the E-SC. These cash rebates not only increase demand by drawing consumers, but they also complicate the making of operational decisions and benefit analyses by platforms and manufacturers. How to use the benefits of the E-SC to drive the market has become crucial in the face of the market stock. Therefore, cash rebate strategies of the trade-in programs bring new questions that need to be explored:
Question 1: What are the optimal operational decisions for the platform and manufacturer under the E-SC? And how does a cash rebate affect the operational decisions?
Question 2: Can the cash rebate recycle the product stock? That is, can the cash rebate drive recycling? And can the cash rebate stimulate the demand for products?
Question 3: Are the platform and the manufacturer willing to participate in cash rebates? How should the platform and the manufacturer scientifically provide cash rebates?
We develop an operational model for a trade-in program under the E-SC. And, considering the impact of cash rebates, we explore pricing and service decisions of the platform and the manufacturer. Based on four decision models, the strategic decisions of providing the cash rebate for trade-in program are analyzed. Existing studies have examined the trade-in rebate but paid little attention to service decisions [9], which is limited in guiding the practices of trade-in programs in the E-SC. Most of the studies on online recycling are based on the traditional retailing mode [10], but they rarely consider the agency-selling mode. Moreover, the strategic question of whether cash rebates for the trade-in program in the E-SC should be provided and by whom has not been studied. The contributions lie in the following three aspects: First, we take the trade-in service level as a decision variable and then discuss the effectiveness of the cash rebate strategies for the trade-in program. The E-SC is characterized by service improvements, so we focused on the trade-in service for recycling old products. Second, we regard the trade-in program as a way for consumers to purchase products and to recycle old products under the E-SC. The pricing and service decisions are explored under the agency model, which is a revenue-sharing contract in the E-SC. Finally, we examine the mechanism of cash rebate strategies under four models. The cash rebate in this paper differs from the government subsidy, gift cards, and coupons in existing studies [11,12]. In this paper, the cash rebates are from E-SC enterprises and are regarded as the monetary reward for a trade-in program.
The innovative findings include the following aspects: First, the trade-in cash rebate reduces normal demand but does not necessarily raise trade-in demand. When the sales rate is low, the cash rebate can improve trade-in demand. But when the sales rate is high, the cash rebate can only improve trade-in demand if the efficiency of the trade-in service is above a threshold value. On the other hand, the cash rebate offered by the platform can increase the demand for the product but decrease the demand for the product when offered by the manufacturer alone. In a cooperative case, the cash rebate is only effective if the manufacturer’s share of the cash rebate is relatively small and the trade-in service is less efficient. Moreover, a cash rebate from the platform makes the manufacturer more profitable, while a cash rebate from the manufacturer makes the platform more profitable as well. This suggests that the platform and the manufacturer have different optimal cash rebate strategies. However, when considering the consumer surplus and social welfare, cash rebates borne by the platform alone are optimal for both E-SC operations.
The rest of this paper is as follows: The relevant literature is reviewed in Section 2. Section 3 details the model description and assumptions. Section 4 develops and solves decision models. In Section 5, the sales price, trade-in service, demands, and profits are compared. Section 6 summarizes the results and provides some management insights.
2. Literature Review
2.1. The Implementation of the Trade-In Program in the E-SC
As a recycling strategy, it has been suggested that the trade-in program will increase consumption levels, promote product sales, and help companies fulfill their social responsibility and recycle resources. With the growth of online shopping, there have been many studies exploring trade-in programs in the context of e-commerce. Li et al. [6] investigated whether manufacturers should choose traditional retailers or recycling platforms to offer trade-ins under differential pricing. Hu et al. [13] constructed an operational model based on the wholesale contract among a manufacturer, a sales platform, and a recycling platform and analyzed the impacts of carrying out a trade-in program. Li and Yi [14] developed a model of a trade-in program among a sales platform and a recycling platform and analyzed the strategy of using gift cards in self-operated stores and franchised stores. Zheng et al. [15] investigated the strategies of selling used products and a trade-in program on the platform as well as the selling strategies of the manufacturer. Wang et al. [16] explored the issue of who provides the trade-in program in the E-SC between the manufacturer and the retailer; they showed that the wholesale contract causes conflicts between the two firms but that the agency contract can be a win–win situation under certain circumstances. Cao and Choi [17] showed that firms tend to give partial refunds under the dual-channel online and offline sales model but tend to give full refunds when there is competition in the secondary market.
Although existing studies have researched the trade-in program in the E-SC [18], the trade-in service effort has rarely been considered, which is an important influencing factor in attracting consumers to the E-SC [2]. Existing studies have examined the trade-in rebate as a recycling price decision [19], while the recycling value is usually determined based on the quality status of old products in the E-SC. Therefore, this paper examines the trade-in service of the platform to better guide the development of trade-in programs under the E-SC.
2.2. The Management of Online Recycling
The boom of e-commerce has not only changed product sales in the forward channel but also brought new opportunities for product recycling in the reverse channel. Online recycling can also be referred to as smart recycling or Internet recycling [20]. Many specialized online recycling platforms, such as FLIP4NEW, recycle old products through trade-ins. Li et al. [7] analyzed three forms of trade-in by online recycling platforms and explored how recycling platforms implement trade-in programs. Jian et al. [21] constructed an online recycling model in which online retailers help third-party recyclers to recycle old goods and proposed a coordination mechanism for promoting cost-sharing contracts based on revenue sharing. Ren et al. [10] delved into the question of who should bear the cost of recycling, suggesting that the manufacturer compensating the platform serves as a coordination mechanism so that both parties can benefit.
A trade-in program in the E-SC may promote the upgrade of the product inventory with new products, and many scholars have paid attention to this issue [5,7,22]. However, most of the current research is based on the traditional retail mode, and there is little research on trade-in programs under the E-SC, where the agency-sales mode has a significant influence on the pricing and servicing decisions. Based on this research gap, we investigated the trade-in and the cash rebate strategy under the E-SC to further guide the development of online recycling and to promote product recycling.
2.3. The Cash Rebate Strategies
Coupons, gift cards, and cash rebates are common promotional methods [23]. Cash rebates can achieve price discrimination and lower consumers’ payment as a windfall [24]. Unlike gift cards, which are used for later purchases [25], cash rebates can be used for current purchases and have a positive effect in stimulating consumption. Cao et al. [8] focused on the strategic issue of gift cards and cash rebates in trade-in programs for platforms and showed that platforms prefer to use cash rebates in most cases. Guo et al. [26] analyzed the optimal pricing strategy adopted by manufacturers when offering cash rebates within the framework of a government-subsidized trade-in initiative. Ji et al. [22] showed that the e-commerce platform should choose a rebate strategy based on the residual value of old products. However, they only considered the e-commerce platform, while the impacts of the trade-in program on the manufacturer were not examined.
According to Guo et al. [26], the practice of cash rebates for consumers is similar to that of government subsidies to consumers, but the difference is that cash rebates come from enterprises and there are certain limitations in their use. Especially in the E-SC, although cash rebates are beneficial to e-retailers [27], their impacts on the manufacturer are uncertain. The cash rebate strategy proposed in this paper is different from the cash-back rebate [28], which can only be used in subsequent consumption. This paper combines the current frontiers of practice employed by Tmall and Jingdong, where cash rebates for the trade-in program can be used directly to reduce payments under the E-SC. In addition, this study is distinct from the work of Ji et al. [22] and Cao et al. [8], who analyzed the cash rebate strategy only from the perspective of e-commerce platforms, constructing an E-SC composed of the manufacturer and the platform.
2.4. Research Gaps and Innovations
Based on the review of the related literature, the related studies and this paper are compared in Table 1. The innovations of this paper are as follows: First, the decision model constructed in this paper is based on an agency-selling model, where the platform, as the lead firm, makes decisions in the first place, which is different from some studies in the literature, where the manufacturer is the leader. Second, the trade-in service is for consumers who participate in the trade-in program. It is a recycling service effort considered from the platform’s perspective, which is different from the trade-in effort in the existing literature. Third, this paper explores the cash rebates for the trade-in program, which is treated as a variable that the E-SC uses to stimulate consumers. Many of the reports in the literature have studied government subsidies, a variable that acts positively on the external agents of the supply chain. The cash rebate strategies also increase the E-SC’s internal operating costs, which has a complex impact on decision making.
Table 1.
Differences between this paper and studies in the existing literature.
3. Model Description and Assumptions
With the increase in product stock, the trade-in program has gradually shifted to being market-led, which needs to be driven by enterprises. The E-SC has introduced cash rebates to attract more consumers to participate in trade-in program. The cash rebates are displayed on the product page on the platform. These cash rebates are funded by E-SC enterprises, which may be the platform or the manufacturer. For example, Tmall has cooperated with merchants to jointly invest CNY 500 million to increase the cash rebates of the trade-in program and to expand the scope and strength of cash rebates for home appliances (the report is available at https://www.sohu.com/a/762801483_362042 (accessed on 27 November 2024)). Based on the operational reality, we construct an E-SC model composed of a manufacturer and a platform, as shown in Figure 1. The platform provides services to recycle old products through the trade-in program, like logistics consultancy and door-to-door collecting services, which are hereafter referred to as trade-in services. In addition, the manufacturer and the platform may launch a cash rebate to drive the trade-in program. Depending on the cash rebate provider, there are different models, i.e., the no-cash-rebate model, the platform model, the manufacturer model, and the cooperative model, in which the platform and manufacturer cooperate to provide a cash rebate.
Figure 1.
The operation model for a trade-in program under the E-SC.
The trade-in program under the E-SC supports cross-category trade-ins to promote product sales [29], so consumers can choose whether or not to participate in the trade-in program. Therefore, this study makes a distinction between the way consumers purchase the product without categorizing consumers. There are two means of purchasing, i.e., purchasing directly and purchasing through the trade-in program. The sales price of the product is , the consumer’s willingness to pay for the product is (), and the utility of purchasing directly is . Participating in the trade-in program indicates that consumers are willing to give up the old product, which means that the old product has a depreciation significance relative to the new product. Assuming that the depreciation degree of the old product is , the value of the existing product (i.e., old product) is denoted as [1], so the consumers’ willingness to participate in the trade-in program is . The trade-in service level that the platform provides to consumers is and the consumer’s service utility is , where represents the consumer’s perception coefficient of the service level for the trade-in program. The variable denotes the recycling value of old products given by the platform, which reflects the monetary payment for consumers [7]. Additionally, consumers who purchase through the trade-in program can earn a cash rebate , which is considered a monetary reward. Therefore, the utility of consumers purchasing through the trade-in program is .
According to the aforementioned utilities, consumers follow the principle of individual rationality to make purchasing decisions. When consumers purchase products directly, the utility satisfies and . When consumers purchase products through a trade-in program, the utility satisfies and .
The following three cases can be obtained by analyzing the above conditions.
(1) When , , and consumers only purchase products directly. Therefore, the product demand is the normal demand, which is .
(2) When and , , and consumers participate in the trade-in program or purchase products directly. Therefore, the normal demand is , and the trade-in demand is . The product demand is .
(3) When and , , and consumers only purchase through the trade-in program. Therefore, the product demand is the trade-in demand, which is .
The premise of the cash rebate is that consumers purchase through the trade-in program, and case (3) is difficult to achieve since , so we only focus on case (2). In case (2), the market demand is , and the condition for trade-in is . The condition of indicates that the trade-in service is in an appropriate range; otherwise, the platform will not implement a trade-in program.
The notations and descriptions are listed in Table 2, and the assumptions are as follows:
Table 2.
Notations and descriptions.
(1) The information between the platform and the manufacturer is symmetrical, and there is no risk preference. Both the platform and the manufacturer are rational decision makers. The platform is the system dominator, and the manufacturer is the follower.
(2) The trade-in service cost is , where represents the cost parameter of the trade-in service [5].
(3) The platform can obtain the residual value after recycling the old product [10], and to ensure that the trade-in program is profitable, satisfies .
(4) The recycling value of old products is assumed to be an exogenous variable. The platform assigns the value according to the quality of old products submitted by the consumers, and the consumers usually accept the given value given by the valuation system, i.e., a fixed price based on the quality of the product. Therefore, the recycling value is assumed to be an exogenous and homogeneous variable.
(5) The sales mode of E-SC is the agency mode. The platform charges fees according to the sales by category, assuming that the sales rate is . There may be additional advertising and promotion fees based on the sales fees, so it is assumed that the sales rate satisfies .
In this paper, we define as representing the service efficiency of the trade-in program. The larger the cost parameter of the trade-in service, the lower the efficiency. The greater the consumer’s perception coefficient of the trade-in service, the higher the efficiency. The service efficiency is limited and needs to satisfy (according to the computational process of the four decision models, this condition needs to be satisfied to solve the profit maximization for the manufacturer and the platform). It can be deduced that , implying that the cost of the trade-in service has to be considered for the platform.
The superscript represents different decision models: represent the no-cash-rebate model, the platform model, the manufacturer model, and the cooperative model, respectively.
4. Decision-Model Development
4.1. No-Cash-Rebate Model
To examine the effects of the cash rebate, we use the no-cash-rebate model as the benchmark model. The market demand is under the condition of . The manufacturer’s profit is
The platform’s profit is
The manufacturer and the platform constitute a Stackelberg game, where the platform first sets the trade-in service level , and then the manufacturer sets the sales price . The equilibrium solutions can be obtained by backward induction and the Karush–Kuhn–Tucker (KKT) condition (the process is similar to the process of the platform model in the Appendix A), which are shown in Proposition 1. Table 3 shows the demands and profits.
Table 3.
The demands and profits under different models.
Proposition 1.
(1) When , the equilibrium solutions are and . (2) When , equilibrium solutions are and . Where , .
4.2. Platform Model
In this model, the platform provides consumers with a cash rebate to promote product sales. At the end of 2020, Gome launched the marketing campaign known as the Ten Billion Renewal Cash Rebate, and since 24 December 2020, a maximum cash rebate of CNY 400 has been provided for the trade-in of traditional major appliances. In this case, the manufacturer’s profit is
The platform’s profit is
The manufacturer and the platform constitute a Stackelberg game like that in the no-cash-rebate model (the process can be referred to in Appendix A). The equilibrium solutions are shown in Proposition 2.
Proposition 2.
(1) When , the equilibrium solutions are and . (2) When , the equilibrium solutions are and , where , and .
4.3. Manufacturer Model
In this model, the manufacturer provides consumers with a trade-in cash rebate to recycle old products and to fulfill social responsibilities. During the “818” period in 2024, the trade-in cash rebate of Suning for home appliances included manufacturers. In this case, the manufacturer’s profit is
The platform’s profit is
The equilibrium solutions are shown in Proposition 3.
Proposition 3.
(1) When , the equilibrium solutions are and . (2) When , the equilibrium solutions are and , where , and .
4.4. Cooperative Model
In the cooperative model, the platform and the manufacturer cooperate to provide a trade-in cash rebate, which not only attracts consumers and promotes product sales but also facilitates the development of trade-ins, enabling the manufacturer to better fulfill its social responsibilities. The profits of the manufacturer and the platform are shown in Equations (7) and (8), respectively. The proportion of the cash rebate borne by the manufacturer is . The equilibrium solutions are shown in Proposition 4.
The manufacturer’s profit is
The platform’s profit is
The equilibrium solutions are shown in Proposition 4.
Proposition 4.
(1) When , the equilibrium solutions are and . (2) When , the equilibrium solutions are and , where , and .
5. Equilibrium Analyses
It can be seen that if the recycling value of old products given by the platform is too high, all consumers purchase through the trade-in program, which is an ideal state and is difficult to achieve. Therefore, this section only analyzes equilibrium solutions when two means of purchasing exist (i.e., on the condition of ).
5.1. Price and Trade-In Service
Conclusion 1.
(1) The trade-in service levels under different models satisfy the following: When , ; when , . (2) , . When , ; when , , where .
Conclusion 1 indicates that the cash rebate does not necessarily increase the trade-in service. The cash rebate by the platform reduces the trade-in service level, but the cash rebate by the manufacturer will increase the trade-in service level. From Conclusion 1, it can be inferred that under the cooperative model, the trade-in service level increases with an increase in . The platform, as the system leader, always expects manufacturers to cooperate with the cash rebate. In newly introduced trade-in rules (https://www.yuque.com/nanchen-yddsk/ae2d1o/qvsvo2 (accessed on 27 November 2024)), Tmall allows manufacturers to determine the amount of cash rebate to relieve the pressure of trade-in service costs.
Conclusion 2.
(1) The sales prices under different models satisfy the following: . (2) , , .
Conclusion 2 shows that a trade-in cash rebate raises the sales price compared with the no-cash-rebate case. This is different from the conclusion that rebates for consumers lower the sales price under the no-trade-in program [30], which is probably because the manufacturer holds the pricing power under the E-SC and sets a high sales price to compensate for the cash rebate. Moreover, the sales price under the manufacturer model is the highest, because the manufacturer has to make up for the cost of the cash rebates by raising the price. Conclusion 2 also indicates that the sales price increases with in the cooperative model, which is different from the conclusion that a government subsidy does not affect product prices [26]. This is because the cash rebate is part of the operating costs, and e-commerce enterprises adjust prices to control costs. The manufacturers usually share the cash rebate in large promotions but raise the sales price before the promotion, causing consumer dissatisfaction with these promotional activities.
5.2. Product Demands
Conclusion 3.
(1) The normal demands under different models satisfy the following: . (2) , , .
It was discovered that the comparison results of the normal demand under different models are opposite to the sales prices, but they coincide with the trade-in service levels. The normal demand is the lowest under the manufacturer model and the highest under the platform model. This is primarily because under the manufacturer model, the best trade-in service encourages consumers to take part in the trade-in program, and the highest sales price results in the lowest normal demand for the products. Under the platform model, the lowest level of trade-in service has the least impact on the trade-in program, and the sales price is the lowest, so the normal demand is the highest. In addition, Conclusion 3 demonstrates that the normal demand for products declines when there is a trade-in cash rebate as opposed to when there is no cash rebate, and the normal demand decreases with the cash rebate.
Conclusion 4.
(1) The trade-in demands under different models satisfy the following: (1) When , ; when , . (2) and . (3) When , and ; when , if , and , but if , and . (4) When , and ; when , if , and , but if , and , where , , , and .
From Conclusion 4, the following are noted:
(1) If is small, the trade-in demand is the highest under the platform model but is the lowest under the manufacturer model. However, if is large, the trade-in demand under the manufacturer model is the highest but is the lowest under the platform model. Demand is influenced by both the sales price and the trade-in service, but it is uncertain which factor has more of an impact. According to Conclusions 1 and 2, if is small, the trade-in demand is more affected by the sales price. On the other hand, the trade-in service affects demand for the trade-in more if is large.
(2) The cash rebate does not necessarily improve the trade-in demand. When the manufacturer bears the cash rebate alone, whether or not the cash rebate can improve trade-in demand depends on and . If is small, the cash rebate can increase the trade-in demand, but if is large and is small, the cash rebate will reduce the trade-in demand. This is mainly because when the sales rate is high, the manufacturer has to bear higher sales costs. Moreover, the low efficiency means that the effect of the trade-in service is limited, so the effect of the cash rebate is invalid, and the trade-in demand cannot be stimulated. Under the cooperative model, whether or not the cash rebate can drive the trade-in depends on and . When is small, the cooperative cash rebate is beneficial to the trade-in program. However, if is large and is small, the cooperative cash rebate cannot attract more consumers to purchase through the trade-in program.
Further analysis of Conclusion 4 shows that and when . In addition, decreases with , and when . Therefore, when , it can be derived that . When , Figure 2a can be obtained; when , if , and Figure 2b can be obtained.
Figure 2.
Comparison of regions for trade-in demand (). (a) When ; (b) When .
Figure 2a shows that in Region I, , , , and . In Region II, , , , and . Region I and Region II illustrate that when the sales rate is low, cash rebate strategies can promote the trade-in program. In Figure 2b, , , , and in Region I. In Region II, , , , and . In Region III, , , , and . Region I, Region II, and Region III illustrate that when the sales rate is high, cash rebates can play a role in increasing trade-in demand only when is higher than the threshold ().
The demand for trade-ins also indicates the recycling of old products, which denotes the environmental benefits. Conclusion 4 also provides guidelines for the recycling of old products. A thorough examination of Figure 2 reveals that the manufacturer model is the most environmentally friendly option if is low, and the platform model is the most environmentally friendly option if is high.
Conclusion 5.
(1) The market demands under different models satisfy the following: . (2) and . (3) and . (4) When , if , and , but if , and ; when , and , where and .
Conclusion 5 shows that the product demand is the largest under the platform model but the smallest under the manufacturer model. Conclusions 3 and 4 indicate that when is large, the trade-in demand has a limited impact on product demand, and product demand is affected more by normal demand. Conclusion 5 also demonstrates that the impacts of trade-in cash rebates on product demand under different models are similar to the impacts on trade-in demand. The platform providing a cash rebate alone can increase product demand but the manufacturer providing a cash rebate alone would reduce product demand. Under the cooperative model, whether or not the cash rebate can motivate consumers to purchase products is affected by . If is large, the cash rebate will reduce product demand. If is small, the cash rebate can only increase the product demand when is low. This is different from the changes in trade-in demand, which suggests that normal demand has a greater influence on product demand. This demonstrates that under the cooperative model, manufacturers and platforms should decide whether to provide cash rebates according to the proportion of the cash rebate and the efficiency of the trade-in service.
Figure 3 can be drawn from further analysis of Conclusion 5. Figure 3 shows that in Region I, , , , and . In Region II, , , , and . Region I and Region II manifest that product demand is the highest under the platform model, and the product demand is the lowest under the manufacturer model. A platform providing a cash rebate for trade-ins can promote product sales but the manufacturer providing the cash rebate for trade-ins cannot promote product sales. If it is necessary to rebate with cash, the manufacturer should cooperate with the platform under the conditions of a small proportion and a low efficiency of the trade-in service.
Figure 3.
Comparison of regions for market demand.
5.3. Profits of the Manufacturer and the Platform
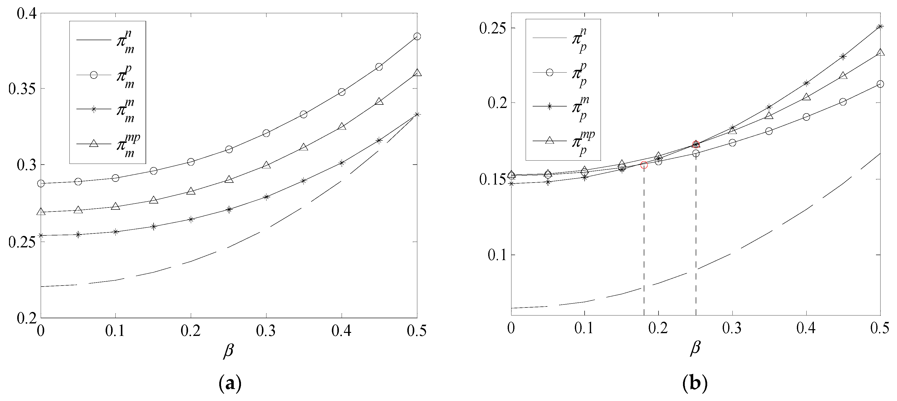
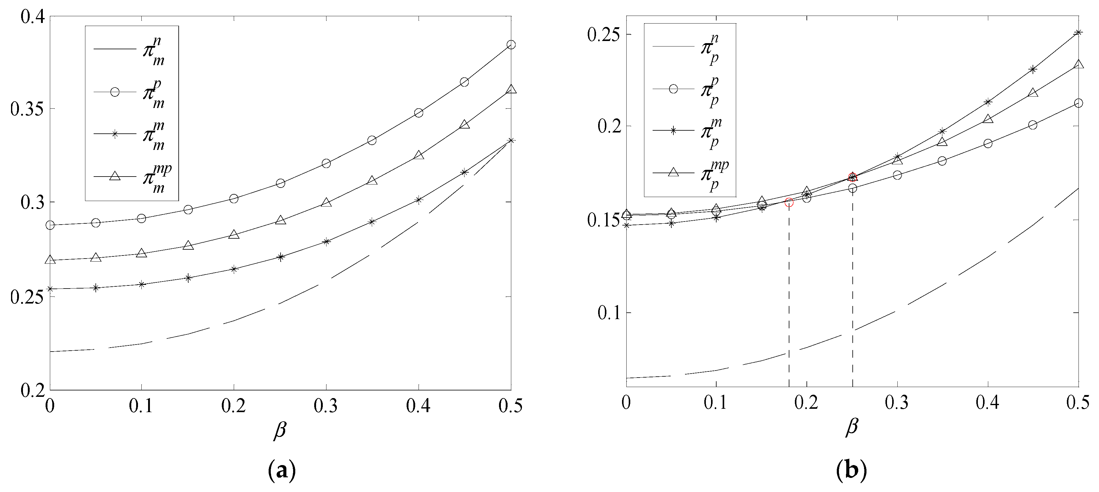
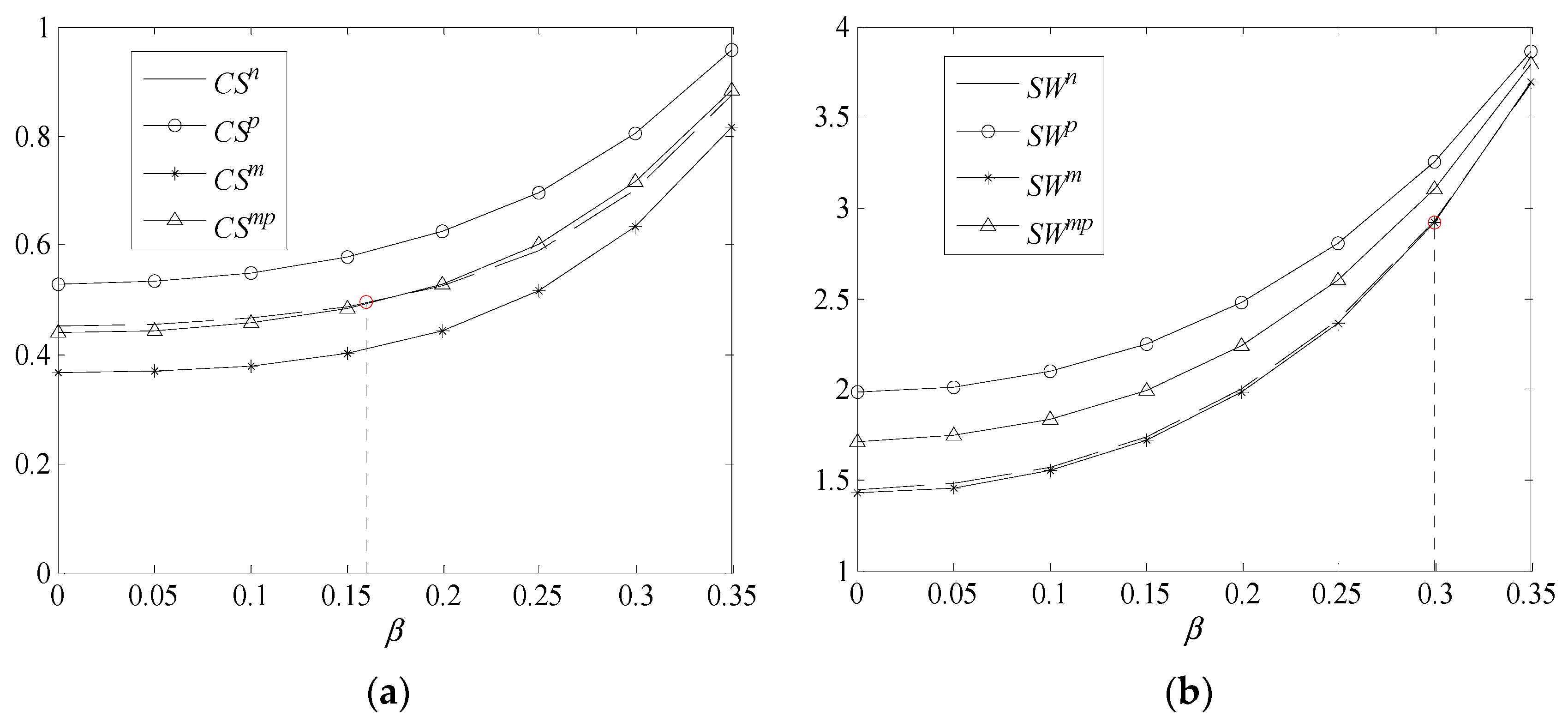
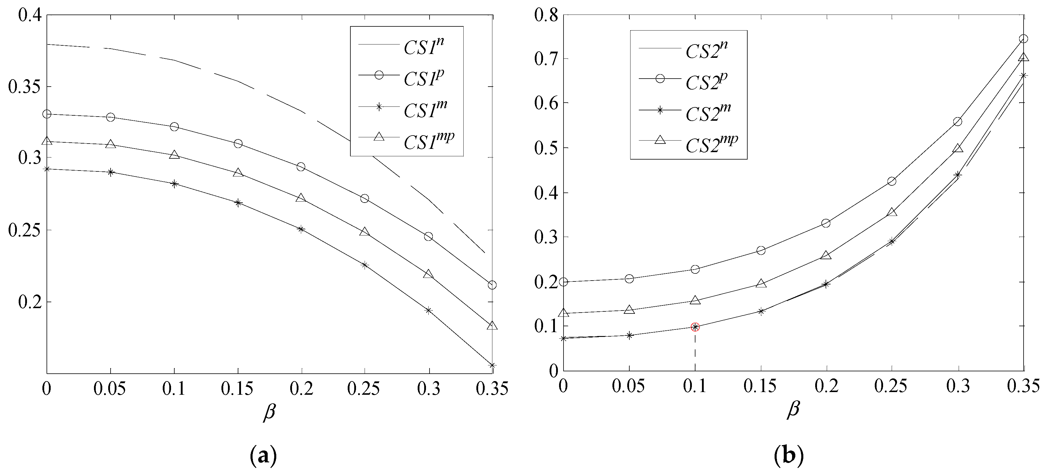
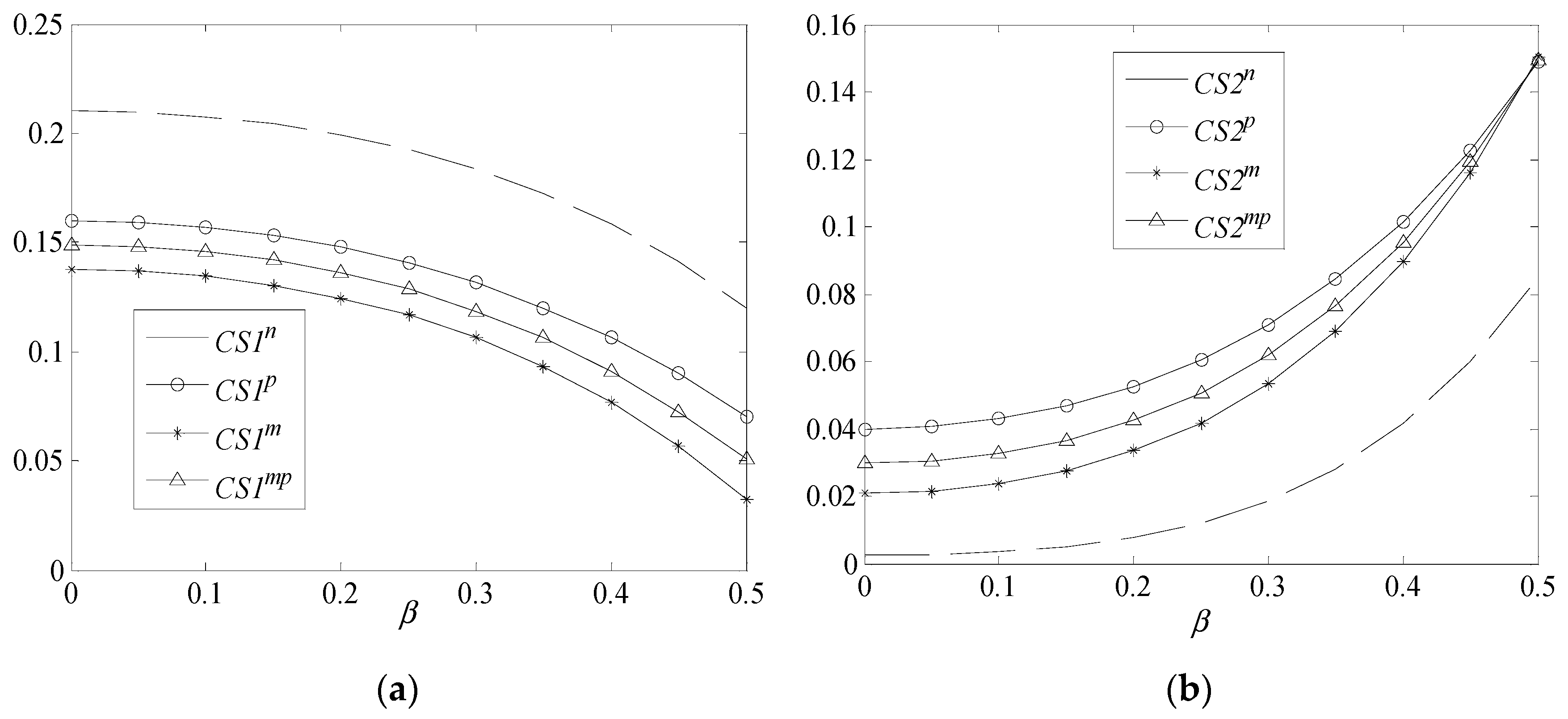
Given the complexity of the profit expressions of the manufacturer and the platform, we use numerical examples for the profit analysis, which is common in existing studies [8,13]. We have chosen to buy a brand of refrigerator in Jingdong and to recycle the old refrigerator of the same brand as the example. Considering that the commission rate contains 3.5% (basic deduction point), 3.0% (rebate framework fee), 0.2% (advertising promotion fee), and 0.6% transaction service fees, the commission rate is set to be 10% to include the merchant’s security deposit and other operation costs, that is, . The old refrigerator can be resold after recycling: the value is CNY 600, the cash rebate is CNY 100, and the recycling compensation is CNY 200. Considering the consumer’s willingness to pay for the product as , the value and cash rebate are normalized and set as , , . denotes that the cash rebate borne by the manufacturer and the platform are equal. indicates a higher product depreciation degree. According to the conditions that the trade-in service efficiency meets, is set to be . and are shown in Figure 4. indicates a lower product depreciation degree. Based on the existing research [5], is set for the platform. According to the conditions that the trade-in service efficiency meets, is set to be . and are shown in Figure 5. Based on the equilibrium solutions under each model, the values of the parameter variables ensure that the profit analysis is carried out under the condition of . The parameter values ensure that the optimal price, trade-in service level, demand, and profit are all non-negative to ensure that the results are economically meaningful.
Figure 4.
Profits of the manufacturer and the platform when .
Figure 5.
Profits of the manufacturer and the platform when . (a) Profits of the manufacturer; (b) Profits of the platform.
Figure 4 and Figure 5 show that and increase with an increase in , which indicates that the platform should keep enhancing the trade-in program, making it more widely known, and keep drawing customers’ attention to the trade-in service. Additionally, it is discovered that and decreases with , indicating that the manufacturer and the platform will be less profitable if the product degradation degree becomes greater. When compared with a greater depreciation degree scenario, the changes in and are more noticeable in the lower depreciation degree scenario. This suggests that if the product is not too old, boosting consumers’ attention to trade-in services will have a more efficient effect. The management insights into this conclusion are that when carrying out a trade-in program, attention should be paid to strengthening consumers’ awareness of recycling and replacing old products with new ones as soon as possible to prevent excessive depreciation.
From the manufacturer’s perspective, even while a cash rebate raises operational costs, it can also lead to increased profits by encouraging the sale of products, particularly when there is a high degree of depreciation, in which case the profits are more visible. Furthermore, it can be shown that the platform model has the highest product demand regardless of the degree of product depreciation based on Region I in Figure 2a (, , and ) and Region II in Figure 3 (, , and ). Therefore, the platform model is optimal for the manufacturer since the profit and the product demand are the largest.
From the perspective of the platform, we note the following: (1) The case of a small . The platform model is optimal if is small (), the cooperative model is optimal if is moderate (), and the manufacturer model is optimal if is large (). When is small (), the cash rebate strategy can increase profits. But when is larger than the threshold (), the platform will lose profit by rebating consumers, and only the manufacturer participating in the cash rebate can make the platform more profitable than the no-cash-rebate model. (2) The case of a large . The cooperative model is optimal if is small (), and the manufacturer model is optimal if is large (). And the trade-in cash rebate strategy can always help the platform to obtain higher profits. Based on the analysis of the two cases, as increases, the best choice for the platform is to gradually withdraw from the cash rebate strategy. However, the platform often rebates consumers in pursuit of higher market sales, for example, Jingdong’s cash rebates for the “618” promotion in 2022 exceeded CNY 100 million, and trade-in orders for appliances grew more than five times year-over-year (http://www.xinhuanet.com/enterprise/20220623/f29b5d0c61e243db9eb8188eb420b401/c.html (accessed on 27 November 2024)).
Figure 4 and Figure 5 imply that the optimal cash rebate models of the manufacturer and the platforms are contradictory, which is different from the findings that firms generally prefer to conduct trade-ins themselves [9]. The tendency of the manufacturer and the platform to want to be the free-rider without providing a cash rebate creates a prisoner’s dilemma, similar to the conclusion of which firm should provide the trade-in [19]. Currently, the platform usually launches the trade-in and provides a cash rebate to achieve a higher product demand (Region II in Figure 3). Therefore, the manufacturer should facilitate convenience for the platform and engage in altruistic behaviors aimed at supporting the trade-in program. Furthermore, improving the efficiency of the trade-in service is beneficial to the E-SC Consequently, the proactive promotion of trade-in services is recommended to attract consumers who are eager to replace old products with new ones as soon as possible.
5.4. Consumer Surplus and Social Welfare
Consumer surplus, also known as the consumer’s net income, is an important part of social welfare [31]. Next, we calculate the consumer surplus of normal purchases when consumers buy products normally, and the consumer surplus of trade-ins when consumers buy products through the trade-in program. Then, the total consumer surplus and social welfare under different models are compared and analyzed.
When the E-SC does not provide a cash rebate, the consumer’s utility is if consumers buy products normally, and the consumer surplus is given by Equation (9). The consumer’s utility is if consumers buy products via trade-ins, and the consumer surplus is given by Equation (10).
When the E-SC provides a cash rebate, the consumer’s utility is still if consumers buy products normally, and the consumer surplus is given by Equation (11). The consumer’s utility is if consumers buy products via trade-ins, and the consumer surplus is given by Equation (12).
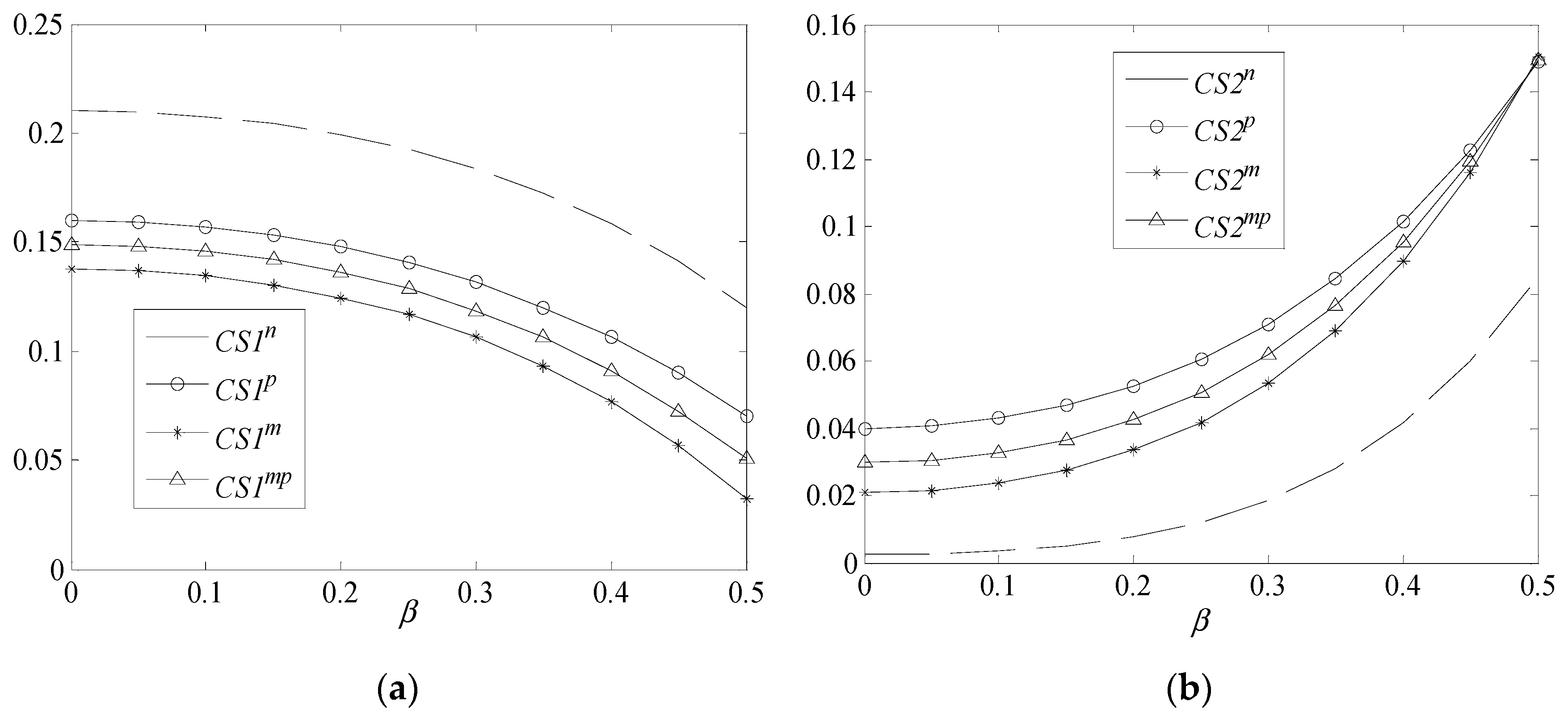
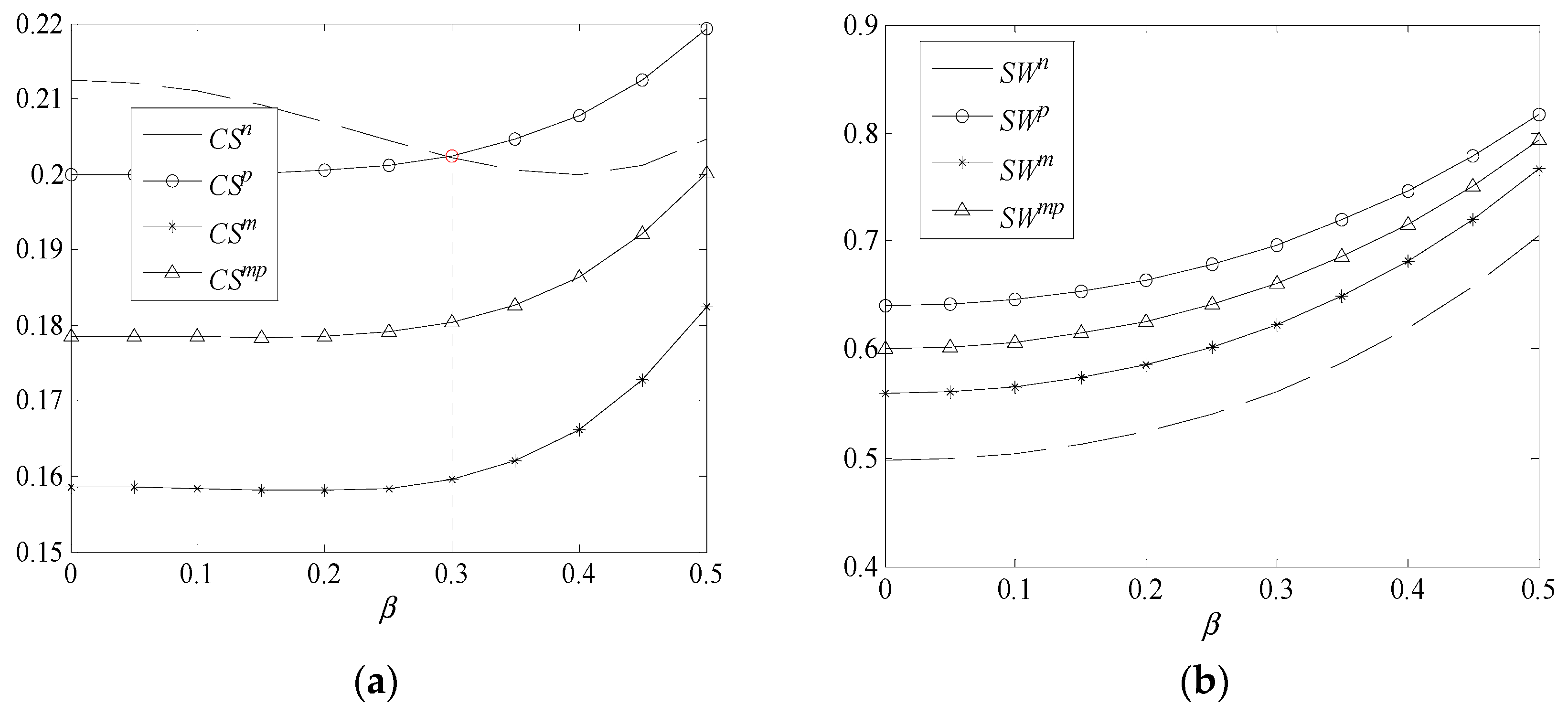
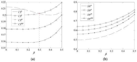
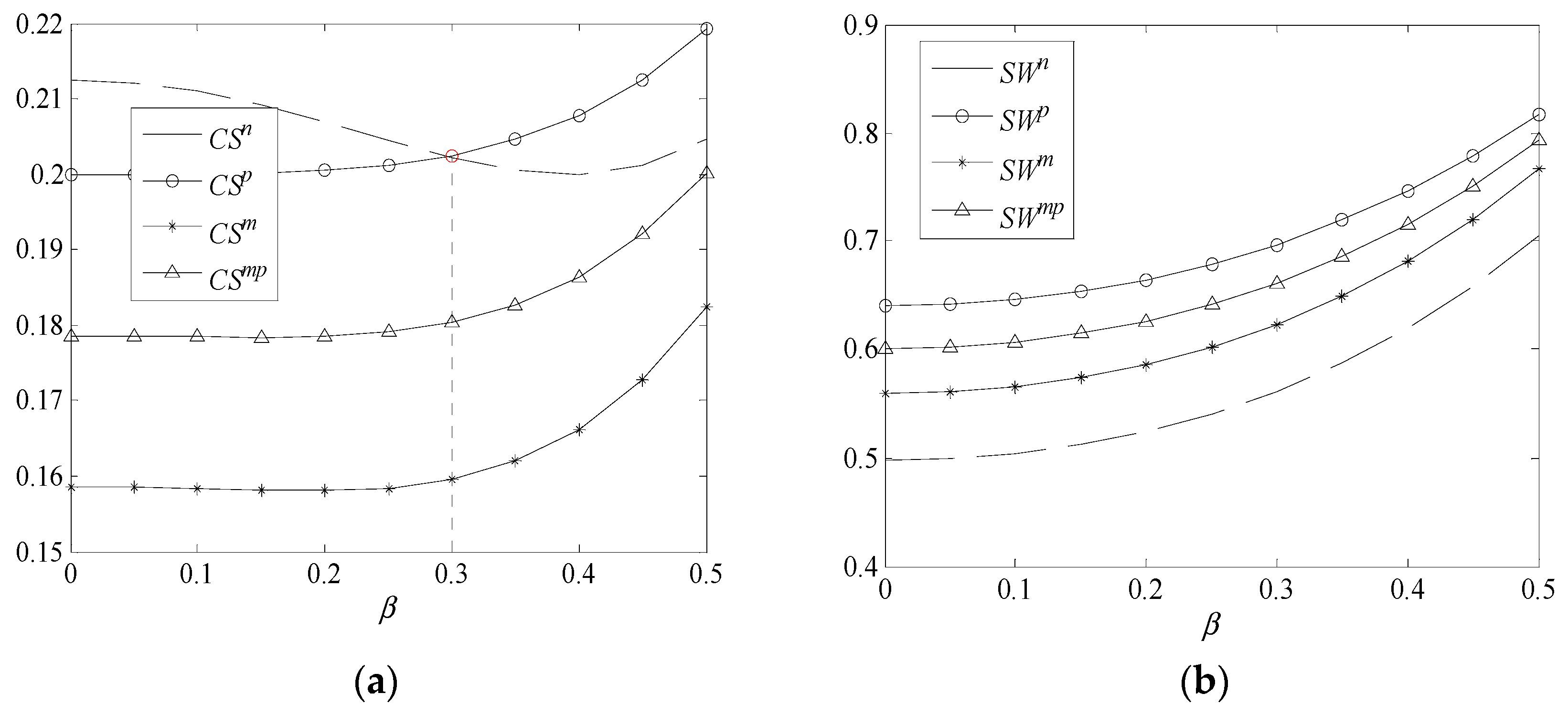
Based on the equilibrium solutions in Section 4, the consumer surplus can be calculated by bringing the sales price and the trade-in service level into Equations (9)–(12), and the total consumer surplus is . Social welfare includes the consumer surplus and enterprises profits, which is . Given the complexity of expressions, we use numerical examples to analyze the consumer surplus and social welfare. The parameter settings are the same as in the profit analysis. The consumer surpluses are shown in Figure 6 and Figure 7, and the total consumer surplus and social welfare are shown in Figure 8 and Figure 9.
Figure 6.
Consumer surplus when . (a) Consumer surplus of normal purchases; (b) Consumer surplus of trade-ins.
Figure 7.
Consumers surplus when . (a) Consumer surplus of normal purchases; (b) Consumer surplus of trade-ins.
Figure 8.
Total consumer surplus and social welfare when . (a) Total consumer surplus; (b) Social welfare.
Figure 9.
Total consumer surplus and social welfare when . (a) Total consumer surplus; (b) Social welfare.
It can be seen from Figure 6 and Figure 7 that with an increase in the consumer’s perception coefficient of the trade-in service, the consumer surplus of normal purchases decreases but the consumer surplus of trade-in increases. This is mainly because as consumers become more concerned about trade-in services, the number of consumers who buy normally decreases but more and more consumers choose trade-ins. Although the sale price has increased, the level of the trade-in service has also obviously increased, making the consumer surplus of the trade-in increase with the perception coefficient, but the consumer surplus of normal purchases decreases with the perception coefficient. Moreover, the trade-in cash rebate strategy reduces the consumer surplus of normal purchases but does not necessarily increase the consumer surplus of trade-ins. When the product depreciation degree is low, if the consumer’s perception coefficient of the trade-in service is small (), the trade-in cash rebate will make the consumer surplus of trade-in in the manufacturer model lower than that in the no-cash-rebate model. Comparing the two cases of product depreciation degree, whether they involve normal purchases or purchases through the trade-in program, the consumer surplus is larger when the product depreciation degree is low, so consumers should participate in trade-ins in time and recycle old products early.
Figure 8 and Figure 9 show that total consumer surplus and social welfare increase as the consumer’s perception coefficient of the trade-in service increases. The trade-in cash rebate from enterprises does not necessarily increase consumer surplus, which is different from the conclusion that government subsidies increase consumer surplus [26]. When the product depreciation degree is high, the trade-in cash rebate could reduce the total consumer surplus if the perception coefficient is small (), which is because the cash rebate reduces the consumer surplus of normal purchases. If the trade-in service preference coefficient is large (), the platform model can increase the consumer surplus. When the product depreciation degree is low, the consumer surplus in the platform model is higher than in the no-cash-rebate model. Moreover, if the consumer’s perception coefficient is large (), the consumer surplus under the cooperative model will also be higher than that of the no-cash-rebate model. This shows that it is unfavorable for the manufacturer to provide a cash rebate alone, but if the product depreciation degree is low and the consumer’s perception coefficient for the trade-in service is large, the cooperative model of the manufacturer participating in the cash rebate is also beneficial to the consumer. The social welfare is the highest under the platform model but is the lowest under the manufacturer model. And consumer surplus and social welfare increase faster when the product depreciation degree is low. Comparing the two cases of high and low depreciation degrees, it can be seen that when the depreciation is low, the consumer surplus and social welfare are higher, which is because the manufacturer and the platform are more profitable when the depreciation degree is low. Therefore, from the perspective of environmental protection benefits and economic benefits, it is necessary to strengthen the circular market stock and realize the recycling and reuse of old products earlier.
5.5. The Sensitivity Analysis of Models
Based on the above analysis, this subsection explores the extent to which the optimal decision of the E-SC changes with cash rebates under different models. The sensitivity of a certain optimal decision is defined as sa(Xi), where
The size of the absolute value of the sensitivity represents the degree of change in the optimal decision with the cash rebates. The sensitivity of each optimal decision under the different models is shown in Table 4. It is worth noting that represents the platform model and represents the manufacturer model. The results of Table 4 are calculated according to the parameter values in Section 5.3 and Section 5.4, namely and .
Table 4.
Sensitivity analysis of different models (in percentages).
Positive values in Table 4 indicate that the optimal decision increases with increasing cash rebates, but negative values indicate that the optimal decision decreases with cash rebates. Conclusions 1–5 can be further verified by Table 4. Furthermore, the following can be found: (1) The sensitivity of sales pricing decreases with increasing cash rebates. The trade-in service level is more sensitive to an increase in cash rebates in the platform model and the cooperative model, but the sensitivity decreases in the manufacturer model. (2) Demand for products in the normal purchase method is more sensitive to an increase in cash rebates, but trade-in demand is less sensitive to an increase in cash rebates. Product demand is more sensitive to decreasing cash rebates in the platform model and cooperative model, but more sensitive to increasing cash rebates in the manufacturer model. (3) As the cash rebates increase, consumer surplus is more sensitive in the manufacturer model and platform model, but it becomes less variable in the cooperative model. As cash rebates increase, the degree of change in profits and social welfare becomes smaller.
6. Conclusions
The E-SC has launched trade-in programs to deal with the accumulating stock of products, which not only meets the purchasing needs of consumers but also helps to recycle old products. E-commerce enterprises have also provided cash rebates as monetary rewards for consumers who purchase products through the trade-in program. Four cash rebate models were built to research the strategic decisions of whether a cash rebate should be provided and who should provide the cash rebate for a trade-in program. Our key findings are concisely summarized in Table 5.
Table 5.
The demands and profits under different models.
6.1. Discussion of Research Findings
This study yields some key findings. First, it is found a trade-in cash rebate raises the sales price compared with the no-cash-rebate case. This is different from the conclusion that rebates for consumers lower the sales price under the no-trade-in program [30], which is probably because the manufacturer holds the pricing power under the E-SC and sets a high sales price to compensate for the cash rebate. It is also indicated that the sales price increases with the proportion of the cash rebate borne by the manufacturer, which is different from the conclusion that a government subsidy does not affect product prices [26]. This is because the cash rebate is part of the operating costs, and e-commerce enterprises adjust prices to control costs.
Second, cash rebate strategies of the trade-in program do not necessarily improve the recycling of old products and the sale of new products. The sales rate and the efficiency of the trade-in service influence the effects of the cash rebate. If the sales rate is low, the cash rebate can raise the trade-in demand, but if the sales commission rate is high, the cash rebate increases trade-in demand only when the efficiency of the trade-in service is higher than the threshold value. The platform model has the largest product demand, suggesting that the dominant platform has to forgo greater profits in favor of achieving more product sales. This is consistent with the conclusion that the implementation of the trade-in program favors manufacturers when considering the resale of platforms [15]. The manufacturer model cannot improve product sales, but the cooperative model is conducive to sales when the manufacturer bears a smaller percentage of the cash rebate and the trade-in service is less efficient.
Third, cash rebates can increase E-SC enterprises’ profits, but when an enterprise provides the cash rebates, the enterprise not involved in the cash rebates can be the free-rider. This finding complements the results of Wang et al. [16], who researched the question of who should implement trade-in programs between the manufacturer and the retailer in the E-SC. This paper explores who should fund the cash rebates based on the trade-in program in the E-SC to better guide the promotion of trade-in programs. In addition, this paper shows that if the trade-in service is less effective, the platform model recycles more old products; conversely, if the trade-in service is more effective, the manufacturer model recycles more old products.
Fourth, the trade-in cash rebate from enterprises does not necessarily increase the consumer surplus, which is different from the conclusion that government subsidies increase the consumer surplus [26]. Total consumer surplus and social welfare increase as the consumer’s perception coefficient of the trade-in service increases. Thus, improving consumer awareness of recycling services of the trade-in program is essential. Moreover, the platform model outperforms the manufacturer model in terms of the consumer surplus and social welfare, which challenges the finding that either the manufacturer or the platform’s implementation of trade-in programs is detrimental to the consumer surplus and social welfare [16]. This is due to an oversight of the positive effect of cash rebates in revitalizing the product market.
6.2. Managerial Implications
This paper aims to enhance recycling services of the trade-in program and guide the E-SC to optimize cash rebate strategies. The managerial implications are summarized as follows:
First, the efficiency of trade-in services should be highlighted when the E-SC offers cash rebates for the trade-in program. To raise consumers’ awareness of recycling used products, the platform and the manufacturer should concentrate on enhancing the recycling procedure and bolstering the trade-in program’s promotion. Second, the platform must set a reasonable sales rate. Platforms vary in their sales rates, and in the various models, the effects of cash rebates on product demand are contingent upon the sales rate. Thus, to encourage manufacturers to engage in cash rebates, platforms should take the goal of trade-in programs into account when determining the sales rate and should pay manufacturers through a specific discounted annual fee. Third, from the perspective of consumer surplus and social welfare, the platform model is optimal. So, the platform, as the dominant enterprise, needs to assume social responsibility and increase cash rebates to attract more consumers to participate in trade-in programs. Finally, consumers should actively engage in trade-ins and recycle old products early, which can not only help enterprises to increase revenue but also to realize the efficient recycling of resources.
6.3. Limitations and Future Directions
The limitations of and future research from this paper are mainly reflected in the following three aspects: First, this paper constructs an operational model for a trade-in program in the E-SC based on the agency-selling model without considering the wholesale-selling model. The impact of the selling models on the cash rebate strategy and the operational decisions can be further analyzed in the future. Second, this paper does not consider the competition of second-hand products. In real life, consumers can also trade products in the C2C second-hand market. This competition in the second-hand trading market will increase the uncertainty of consumers’ purchase of products or second-hand trading, which will also affect the decision making in trade-in programs in the E-SC. In the future, competition between trade-in programs and the second-hand market should be considered. Third, this paper only analyzes the role of cash rebates theoretically, and the empirical evidence has not yet been verified, so future research should be based on statistical data for verification.
Author Contributions
Conceptualization, Z.Y. and Y.W.; methodology, Y.W. and L.S.; writing—original draft preparation, Z.Y.; writing—review and editing, Z.Y. and X.J.; supervision, Y.W. and L.S.; funding acquisition, Y.W. and X.J. All authors have read and agreed to the published version of the manuscript.
Funding
This research was funded by the Natural Science Foundation of Shandong Province (No. ZR2021QE302), the National Natural Science Foundation of China (No. 71971129), and the Shandong Taishan Scholar Project Special Project (No. tsqn202211197).
Data Availability Statement
No new data were created or analyzed in this study.
Conflicts of Interest
The authors declare no conflicts of interest.
Appendix A
Solution Process of the Platform Model
The solution process is based on backward induction and the KKT condition. First, the Lagrangian function of the manufacturer’s profit is constructed as follows:
It can be proved that , so the optimal sales price satisfies
- (1)
- When , solving can produce
Bringing Equation (A2) into the platform’s profit, we obtain
The Lagrangian function of the platform’s profit is
According to Equation (A4), . To ensure the optimal solution, the condition of needs to be satisfied. Since , it can be deduced that . Then, the optimal trade-in service level satisfies
(i) If and , when the recycling value satisfies , then . Substituting into Equation (A2) produces the optimal sales price .
(ii) If and , then . Substituting into Equation (A2) produces the optimal sales price . In this case, solving produces . Based on , . However, the normal demand is 0, and all consumers choose a trade-in program to purchase products.
(iii) If and , then . Substituting into Equation (A2), we obtain the optimal sales price . In this case, solving produces . Based on , . However, the trade-in demand is 0, and all the consumers purchase products directly. This study researches the cash rebate strategies of the trade-in program, so this case is not considered.
(iv) If and , then and , so should be satisfied. But since , the optimal solutions do not exist.
- (2)
- When , , so it can be derived that
Solving we obtain , so ; then, we can derived , which also implies that . Bringing Equation (A5) into the platform’s profit, we obtain
The Lagrangian function of the platform’s profit is
Based on Equation (A7), , and the optimal trade-in service level satisfies
(i) If , when the recycling value satisfies , can be derived by solving . Substituting into Equation (A5), we obtain the optimal sales price . And substituting into produces , and can be derived by analyzing . Since , . However, the trade-in demand is 0, and all the consumers purchase products directly. This study researches the cash rebate strategies of the trade-in program, so this case is not considered.
(ii) If , and then the optimal sales price is . In this case, should be satisfied, and we can solve . can be derived by analyzing . Substituting into produces , so optimal solutions do not exist in this case.
Proof of Conclusions 1–3.
By subtracting the two, it can be easily proved that , , , ,, , and . , and . Therefore, if , , and ; if , , and . Similarly, Conclusions 2 and 3 can be proved. □
Proof of Conclusion 4.
, , and . Since , solving produces . Let ; then, if , ; if , then .
, , and , .
, and . If , , and . If , let ; when , , and ; when , , and .
, and
.
Let and ; then, . Since , it can be proved that . If we let , then there are three cases, as follows: (1) If , it can be proved that , so and . (2) If , and . (3) If , it can be proved that , so when , and , and when , and .
Further, it can be proved that . , , and . When , . □
Proof of Conclusion 5.
, , . Let ; since , .
, , , and . , and .
Let and ; then, it can be proved that . Further, if we let , there are three cases as follows: (1) If , , so when , and ; when , and . (2) If , and . (3) If , , so and . □
References
- Xiao, L.; Wang, X.J.; Chin, K.S. Trade-in strategies in retail channel and dual-channel closed-loop supply chain with remanufacturing. Transp. Res. Part E Logist. Transp. Rev. 2020, 136, 101898. [Google Scholar] [CrossRef]
- Mansuy, J.; Verlinde, S.; Macharis, C. Understanding preferences for EEE collection services: A choice-based conjoint analysis. Resour. Conserv. Recycl. 2020, 161, 104899. [Google Scholar] [CrossRef]
- Yi, Y.; Chen, J.; Feng, J. Optimizing prices in trade-in strategies for vehicle manufacturers. Comput. Ind. Eng. 2021, 157, 107338. [Google Scholar] [CrossRef]
- Hu, S.; Tang, Y. Impact of product sharing and heterogeneous consumers on manufacturers offering trade-in programs. Omega 2024, 122, 102949. [Google Scholar] [CrossRef]
- Cao, K.; Xu, X.; Bian, Y.; Sun, Y. Optimal trade-in strategy of business-to-consumer platform with dual-format retailing model. Omega 2019, 82, 181–192. [Google Scholar] [CrossRef]
- Li, S.; Jia, D.; Zheng, B. The manufacturer’s trade-in partner choice and pricing in the presence of collection platforms. Transp. Res. Part E Logist. Transp. Rev. 2022, 168, 102947. [Google Scholar] [CrossRef]
- Li, Y.; Wang, K.; Xu, F.; Fan, C. Management of trade-in modes by recycling platforms based on consumer heterogeneity. Transp. Res. Part E Logist. Transp. Rev. 2022, 162, 102721. [Google Scholar] [CrossRef]
- Cao, K.; Han, G.; Xu, B.; Wang, J. Gift card payment or cash payment: Which payment is suitable for trade-in rebate? Transp. Res. Part E Logist. Transp. Rev. 2020, 134, 101857. [Google Scholar] [CrossRef]
- Quan, Y.; Hong, J.; Song, J.; Leng, M. Game-theoretic analysis of trade-in services in closed-loop supply chains. Transp. Res. Part E Logist. Transp. Rev. 2021, 152, 102428. [Google Scholar] [CrossRef]
- Ren, X.; Herty, M.; Zhao, L. Optimal price and service decisions for sharing platform and coordination between manufacturer and platform with recycling. Comput. Ind. Eng. 2020, 147, 106586. [Google Scholar] [CrossRef]
- Wei, X. Effects of double subsidies and consumers’ acceptability of remanufactured products on a closed-loop supply chain with trade-in programs. J. Clean. Prod. 2024, 447, 141565. [Google Scholar] [CrossRef]
- Cao, K.; Xu, B.; Wang, J. Optimal trade-in and warranty period strategies for new and remanufactured products under carbon tax policy. Int. J. Prod. Res. 2020, 58, 180–199. [Google Scholar] [CrossRef]
- Hu, X.; Li, X.; Luo, F.; Wang, M.; Liu, L. How to promote mobile phone trade-in and the integration of green supply chain from the perspective of multi-party game theory. RAIRO-Oper. Res. 2022, 56, 3117–3135. [Google Scholar] [CrossRef]
- Li, H.; Yi, Y. Optimal trade-in rebate payment strategies for B2C platforms under different recycling models. J. Ind. Manag. Optim. 2024, 20, 1395–1434. [Google Scholar] [CrossRef]
- Zheng, B.; Cai, Y.; Li, S. Trade-in and resale in a platform supply chain: Manufacturer’s choice of selling strategies. Transp. Res. Part E Logist. Transp. Rev. 2025, 193, 103836. [Google Scholar] [CrossRef]
- Wang, W.; Feng, L.; Chen, X.; Yang, L.; Choi, T.M. Impacts of selling models: Who should offer trade-in programs in e-commerce supply chains? Transp. Res. Part E Logist. Transp. Rev. 2024, 186, 103524. [Google Scholar] [CrossRef]
- Cao, K.; Choi, T.M. Optimal trade-in return policies: Is it wise to be generous? Prod. Oper. Manag. 2022, 31, 1309–1331. [Google Scholar] [CrossRef]
- Xiao, L.; Chen, Z.; Govindan, K.; Skibniewski, M.J. Effects of online consumer reviews on a dual-channel closed-loop supply chain with trade-in. IEEE Trans. Eng. Manag. 2024, 71, 2168–2183. [Google Scholar] [CrossRef]
- Tang, F.; Ma, Z.J.; Dai, Y.; Choi, T.M. Upstream or downstream: Who should provide trade-in services in dyadic supply chains? Decis. Sci. 2021, 52, 1071–1108. [Google Scholar] [CrossRef]
- Taleizadeh, A.A.; Sadeghi, R. Pricing strategies in the competitive reverse supply chains with traditional and e-channels: A game theoretic approach. Int. J. Prod. Econ. 2019, 215, 48–60. [Google Scholar] [CrossRef]
- Jian, H.; Xu, M.; Zhou, L. Collaborative collection effort strategies based on the “Internet + recycling” business model. J. Clean. Prod. 2019, 241, 118120. [Google Scholar] [CrossRef]
- Ji, G.; Sun, Z.; Tan, K.H. Collaborative rebate strategy of Business-to-Customer platforms considering recycling and trade-ins simultaneously. Sustainability 2021, 13, 1679. [Google Scholar] [CrossRef]
- Majumder, S.; Nielsen, I.; Maity, S.; Saha, S. Consumer rebate strategy for a manufacturer selling price-quality differentiated products. Int. Trans. Oper. Res. 2024. [Google Scholar] [CrossRef]
- Mu, L.; Tang, X.; Sugumaran, V.; Xu, W.; Sun, X. Optimal rebate strategy for an online retailer with a cashback platform: Commission-driven or marketing-based? Electron. Commer. Res. 2023, 23, 475–510. [Google Scholar] [CrossRef]
- Li, Y.; Pan, J.; Zhou, J. Optimal pricing with free gift cards in a two-product supply chain. Flex. Serv. Manuf. J. 2022, 34, 125–155. [Google Scholar] [CrossRef]
- Guo, X.; Fan, X.; Wang, S. Trade-in for cash or for new? Optimal pricing decisions under the government subsidy policy. Ann. Oper. Res. 2022. [Google Scholar] [CrossRef]
- Taleizadeh, A.A.; Varzi, A.M.; Amjadian, A.; Noori-daryan, M.; Konstantaras, I. How cash-back strategy affect sale rate under refund and customers’ credit. Oper. Res. 2023, 23, 19. [Google Scholar] [CrossRef]
- Schwartz, M.; Vincent, D.R. Platform competition with cash-back rebates under no surcharge rules. J. Ind. Econ. 2020, 68, 298–327. [Google Scholar] [CrossRef]
- Tang, F.; Dai, Y.; Ma, Z.J.; Choi, T.M. Trade-in operations under retail competition: Effects of brand loyalty. Eur. J. Oper. Res. 2023, 310, 397–414. [Google Scholar] [CrossRef]
- Wang, Z.; Zhang, R.; Liu, B. Rebate strategy selection and channel coordination of competing two-echelon supply chains. Complexity 2021, 2021, 8839218. [Google Scholar] [CrossRef]
- Ma, P.; Gong, Y.; Mirchandani, P. Trade-in for remanufactured products: Pricing with double reference effects. Int. J. Prod. Econ. 2020, 230, 107800. [Google Scholar] [CrossRef]
Disclaimer/Publisher’s Note: The statements, opinions and data contained in all publications are solely those of the individual author(s) and contributor(s) and not of MDPI and/or the editor(s). MDPI and/or the editor(s) disclaim responsibility for any injury to people or property resulting from any ideas, methods, instructions or products referred to in the content. |
© 2024 by the authors. Licensee MDPI, Basel, Switzerland. This article is an open access article distributed under the terms and conditions of the Creative Commons Attribution (CC BY) license (https://creativecommons.org/licenses/by/4.0/).








