Next Article in Journal
Explaining the Anomaly Detection in Additive Manufacturing via Boosting Models and Frequency Analysis
Next Article in Special Issue
Optimizing Inventory for Imperfect and Gradually Deteriorating Items Under Multi-Level Trade Credit in a Sustainable Supply Chain
Previous Article in Journal
Numerical Modeling of Two-Phase Fluid Filtration for Carbonate Reservoir in Two-Dimensional Formulation
Previous Article in Special Issue
Shortage Policies for a Jump Process with Positive and Negative Batch Arrivals in a Random Environment
 
 
Font Type:
Arial Georgia Verdana
Font Size:
Aa Aa Aa
Line Spacing:
Column Width:
Background:
Article

Evolutionary Game Analysis of Electric Vehicle Distribution Entities with Shared Charging Facilities

1
Chongqing Key Laboratory of Green Logistics Intelligent Technology, Chongqing Jiaotong University, Chongqing 400074, China
2
The David D. Reh School of Business, Clarkson University, Potsdam, NY 13699, USA
*
Author to whom correspondence should be addressed.
Mathematics 2024, 12(21), 3413; https://doi.org/10.3390/math12213413
Submission received: 6 September 2024 / Revised: 30 September 2024 / Accepted: 29 October 2024 / Published: 31 October 2024
(This article belongs to the Special Issue Theoretical and Applied Mathematics in Supply Chain Management)

Abstract

This study investigates the evolutionary game dynamics among electric vehicle distribution entities in the context of shared charging facilities, addressing the critical issue of inadequate charging resources. To understand the behavior of different stakeholders under government incentive policies, we develop an evolutionary game model involving a government department and two logistics enterprises (A and B). Through stability analysis, we explore equilibrium conditions of evolutionarily stable strategies (ESSs) for the tripartite evolutionary game. To ensure the robustness of our findings, we conduct a MATLAB simulation analysis to validate the analytical results. Our findings highlight that government subsidies, the costs incurred by logistics enterprises to share charging facilities, and the additional distribution income derived from this sharing are critical in determining whether the evolutionary game can achieve a stable equilibrium state. This research enables logistics companies to optimize the use of charging resources, lower operating costs, and enhance delivery efficiency. Additionally, government subsidy policies play a crucial role in encouraging logistics enterprises to engage in charging facility sharing, thereby fostering the sustainable development of the entire logistics industry. Based on these insights, the paper offers practical recommendations to further promote the sharing of charging facilities in electric vehicle distribution.

1. Introduction

In recent years, the rapid growth of urban distribution and rising consumer demand have led to a significant increase in the number of delivery vehicles, contributing to escalating environmental pollution in cities [1]. Among China’s “dual carbon” goals, which include carbon peaking and carbon neutrality, the transportation sector is actively advancing energy conservation and emission reduction efforts. Promoting and adopting new energy vehicles has become a critical strategic initiative to drive sustainable development of the Chinese green economy [2]. The low energy consumption and low pollution characteristics of electric vehicles offer a solution to the traffic-related pollution caused by the rise in urban logistics, helping to address environmental concerns while promoting sustainable development. Many logistics companies have implemented carbon reduction plans to support “dual carbon” objectives and are increasingly integrating electric vehicles into their operations.
By 2023, more than 320,000 new energy logistics vehicles have been added nationwide [3]. As the adoption of new energy vehicles, particularly electric vehicles, continues to accelerate, the logistics distribution sector may face challenges related to insufficient or unevenly distributed charging facilities, which can disrupt distribution operations [4]. Currently, most charging stations are unable to meet the demands of new energy logistics vehicles due to issues such as inadequate transformer capacity, site limitations, and other constraints. Additionally, the limited availability of public fast chargers leads to extended charging times, negatively impacting the operational efficiency of logistics companies [5]. Moreover, the acquisition cost of new energy logistics vehicles remains relatively high, and the charging infrastructure is still underdeveloped [6]. There is a wide variety of vehicle models with differing design parameters, making existing public charging facilities often incompatible, which further exacerbates the shortage of effective charging options for logistics fleets [7]. This lack of charging resources has significantly hindered the operational efficiency and cost control of new energy logistics vehicles, becoming a major obstacle to their broader adoption and implementation. Since each logistics enterprise has unique infrastructure requirements, such as sites and equipment, optimizing vehicle allocation and the sharing of charging facilities can significantly improve overall efficiency. For effective electric vehicle distribution, it is crucial to identify the optimal number and locations of charging stations and ensure reliable operation when power is available.
Sharing charging facilities among different logistics enterprises offers dual benefits. It reduces the time spent searching for charging stations during distribution, thereby speeding up operations, and it activates idle charging resources, maximizing efficiency. This study examines the evolutionary process of charging facility sharing in electric vehicle logistics distribution with government involvement. We develop a tripartite evolutionary game model involving the government and two logistics enterprises to analyze the conditions of their ESS and evolutionary trajectories. The study explores the impact of various factors on the critical question of whether logistics enterprises should share charging facilities and provides a rational basis for logistics enterprises to make informed decisions on facility sharing.

2. Literature Review

The literature relevant to this study can be categorized into two main areas: research on charging facilities and studies on government subsidy mechanisms within the context of evolutionary game theory.

2.1. Research on Charging Facilities

In their study of electric vehicle charging facilities and sharing strategies, Chen et al. [8] proposed a two-level mathematical model to optimize the location and capacity of charging stations, deriving an optimal design that balances route selection with charging wait times. Luo et al. [9] addressed the charging challenges of free-floating shared electric vehicles by proposing a collaborative charging planning method that leverages the complementary advantages of fixed stations and mobile charging vehicles to enhance efficiency and reduce costs. Chen et al. [10] employed a multistage stochastic integer programming model to assist governments in developing public vehicle charging networks, optimizing the location and capacity of facilities within a constrained planning scope. Luo et al. [11] developed an electric vehicle charging station location model to improve resource utilization in sustainable cities. Lv et al. [12] proposed a planning scheme for electric vehicle charging facilities based on an enhanced gray wolf optimization algorithm under V2G mode to address the impact of charging loads on the secure and stable operation of the distribution network and to improve the layout of charging infrastructure. Woo et al. [13] explored the planning of electric vehicle charging facilities to provide high-quality charging services.
In the study of private charging pile sharing, Wu et al. [14] developed an asymmetric evolutionary game model based on the investment costs and benefits of charging service operators and private charging pile owners to analyze their sharing behavior. Huang et al. [15] investigated the issues that arise from the configuration of the charging facility and provided an in-depth analysis of the sharing of the charging pile. To address capacity shortages resulting from the mismatch between charging stations and electric vehicle charging loads, Chen et al. [16] proposed a layered scheduling model that incorporates shared charging piles. Ji et al. [17] suggested strategies for sharing charging facilities to enhance the utilization of electric bus charging stations. Wang et al. [18] applied an improved Shapley value model to effectively distribute benefits in private charging pile-sharing projects, easing the public charging infrastructure shortage. Yang et al. [19] employed a data-driven microsimulation method to explore the potential of private household charging pile sharing in Beijing, finding that it increases charging opportunities and reduces dependence on public stations. Hu et al. [20] established a game theory model that allows consumers to choose between private, public, and shared options, demonstrating through numerical analysis that the sharing model offers a win–win solution for all stakeholders.

2.2. Government Subsidy Mechanism in Evolutionary Game

Evolutionary game theory analyzes the strategic behavior evolution of game participants using replicator dynamics, a differential equation widely applied across various fields. The replicator dynamic mechanism is extensively used in energy conservation, environmental protection, strategy optimization, and cooperative innovation research [21]. Existing studies have demonstrated substantial and practical research on evolutionary games, including government participation as a critical factor.
Zhao et al. [22] examined the influence of government subsidies on adopting new energy vehicles, developing a three-stage evolutionary game model to analyze this effect. Zhang et al. [23] explored a tripartite evolutionary game model involving the government, manufacturers, and integrators from a risk society perspective, finding that increasing government rewards and reducing costs can boost integrators’ motivation within a flexible logistics service supply chain. Luo et al. [24] constructed a tripartite evolutionary game model incorporating the government, logistics enterprises, and environmental NGOs, highlighting the critical role of government in encouraging logistics enterprises’ participation. Dong et al. [25] developed a tripartite evolutionary game model focusing on logistics greening, including government, logistics enterprises, and users. Their research analyzed how government subsidies and refinement measures influence the strategic choices of enterprises and users. Li et al. [26] investigated a tripartite game model of subsidy and penalty mechanisms involving government, enterprises, and consumers, revealing the impact of these mechanisms on participant behavior. Zhang et al. [27] analyzed the implementation of subsidy and penalty policies for sustainable transportation development, while Wang et al. [28] explored the pivotal role of government policy intervention in promoting the diffusion of low-carbon technologies through supply networks.
Yu et al. [29] constructed a tripartite evolutionary game model to assess the impact of differential carbon tax policies and subsidy strategies on manufacturers. Yuan et al. [30] developed an evolutionary game model involving government, enterprises, and consumers, showing how varying levels of government regulation, innovation subsidies, and carbon tax rates influence enterprise and consumer behavior. In a supply chain market context, Guo et al. [31] examined the effects of government subsidies and green technology investments on manufacturers, governments, and consumers. Liu et al. [32] used evolutionary game analysis to evaluate the impact of government subsidies on green suppliers and manufacturers. Wang et al. [33] demonstrated through evolutionary game theory that government subsidy strategies significantly influence participant selection, with subsidies proving to be more effective than non-subsidy approaches. Finally, Sun et al. [34] studied the crucial role of government subsidies in promoting the development and implementation of recyclable green logistics packaging by logistics enterprises.
In summary, a review of the relevant literature reveals that the widespread adoption and promotion of electric vehicles across various industries have been significantly driven by robust national policy support and continuous advancements in research and development. The government has implemented numerous incentives, including tax breaks, subsidies, and infrastructure development, which have substantially lowered the costs and risks for logistics enterprises adopting electric vehicles for distribution. Simultaneously, ongoing technological progress, particularly in battery technology and charging efficiency, has greatly enhanced electric vehicles’ practicality and economic viability in logistics distribution.
Evolutionary game theory, a powerful tool for analyzing the selection and evolution of strategy agents in complex systems, has provided significant insights in various fields. Numerous scholars have applied evolutionary game models to study interactions between governments, enterprises, and other stakeholders, investigating optimal strategies under different reward and punishment mechanisms, policy interventions, and market conditions. However, research on applying evolutionary game theory to the sharing of charging facilities in the logistics distribution of electric vehicles remains limited. Most existing studies focus on electric vehicle technology, policy incentives, and the construction and management of charging facilities, with comparatively little attention given to how logistics enterprises can enhance distribution efficiency and economic benefits by sharing charging infrastructure.
To address this research gap and offer practical strategic recommendations for enterprises, this paper introduces an evolutionary game model to conduct a comprehensive analysis of the strategic choices involved in sharing charging facilities among logistics companies. Specifically, the study constructs an evolutionary game model involving the government and logistics enterprises A and B to analyze the influence of various factors on the choice of a charging facility-sharing strategy. Additionally, the paper conducts a simulation study to validate the model’s effectiveness and proposes practical policy recommendations and management measures. This study not only deepens the understanding of charging facility sharing in electric vehicle distribution entities but also provides a theoretical foundation and practical guidance for governments to formulate more effective policies and for enterprises to optimize their operational strategies, ultimately promoting the sustainable development and widespread adoption of electric vehicle distribution models.
Through the research of this paper, we can not only deepen the understanding and understanding of the sharing of charging facilities in the distribution of electric vehicles in logistics enterprises, but also provide a solid theoretical basis and practical guidance for the government to formulate more scientific and effective policies and provide a solid theoretical basis and practical guidance for logistics enterprises to optimize their operation strategies. Finally, we hope that through this study, we can promote the sustainable development and wide application of an electric vehicle distribution mode and contribute to the construction of a green, low-carbon, and efficient logistics distribution system.

3. An Evolutionary Game Theoretical Model

3.1. Problem Description

In the context of sharing charging facilities for electric vehicle distribution, the key participants include a government department and logistics enterprises A and B. These logistics enterprises, which rely on electric vehicles for distribution operations, may collaborate to form a charging facility-sharing alliance, thereby pooling their resources to share charging infrastructure. The government department has the option to actively promote this strategy by providing subsidies and incentives to the participating logistics enterprises. The relationship between the three participants is illustrated in Figure 1.

3.2. Model Assumptions and Notations

Based on the actual benefits of the participants and the principles of evolutionary game theory, the following assumptions are proposed (with the understanding that all parameters are positive values), the related parameters are defined in Table 1.
Assumption 1.
Game Participants and Their Strategy Choices: The model involves a tripartite game among logistics enterprises A, B, and the government. The strategy space for the logistics enterprises consists of two options: {sharing, not sharing}. They form a charging facility-sharing alliance to pool charging resources if they choose to share. If they decide not to share, each enterprise maintains its charging facilities independently. The strategy space for the government is {active promotion, negative promotion}, indicating whether or not to implement subsidy policies to encourage enterprises to form sharing alliances.
Assumption 2.
In the decision-making model for charging facility sharing, all three game participants are characterized by bounded rationality and aim to maximize their individual benefits. They also possess learning abilities, making the game dynamic over time. Both logistics enterprises and the government will continuously adjust their decisions based on the strategies chosen by all parties and learn throughout the game process to arrive at their optimal equilibrium strategy.
Assumption 3.
Assume that the probability of the government choosing the “positive promotion” strategy is x (where 0 x 1 ), making the probability of choosing the “negative promotion” strategy 1 x . Regardless of whether the government opts to encourage enterprises to share charging facilities actively or takes a passive approach to promote the sharing model, it incurs a cost D for implementing supervisory measures. Sharing among logistics enterprises yields an environmental benefit e for the government. Suppose that the government chooses to actively promote the sharing model of charging facilities among logistics enterprises. In that case, it will gain social benefits G but must also provide subsidies and incentives to these enterprises. Conversely, if the government chooses to negatively promote the sharing model, it will gain social benefits g without incurring expenses, such as subsidy measures.
Assumption 4.
Assume that the probability of logistics enterprise A choosing the sharing strategy is y (where 0 y 1 ), meaning the probability of choosing the non-sharing strategy is 1 y . If logistics enterprise A opts to share charging facilities and joins the alliance, it can receive subsidies from the government, provided that the government has adopted the active guidance strategy. If neither party chooses the sharing strategy, there will be no charging facility-sharing alliance between logistics enterprises, and the final income for logistics enterprise A will be I a T a + μ L . If both parties choose to share, logistics enterprise A will gain additional distribution revenue S a but must bear the cost r ( C + Q ) associated with the sharing strategy. Conversely, if logistics enterprise A decides not to share charging facilities, it will not receive the additional distribution revenue or government subsidies available through the sharing model, and its income will remain at I a T a .
Assumption 5.
Assume that the probability of logistics enterprise B choosing the sharing strategy is z (where 0 z 1 ), meaning the probability of choosing the non-sharing strategy is 1 z . Similar to logistics enterprise A, if logistics enterprise B opts to share charging facilities and join the alliance, it can receive subsidies from the government, provided the government has chosen the active guidance strategy, regardless of whether the other parties also decide to share. If no other parties choose the sharing strategy, a charging facility-sharing alliance will not be formed, and the final income for logistics enterprise B will be I b T b + ( 1 μ L ) . If both parties decide to share, logistics enterprise B will also gain additional benefits S b . However, if logistics enterprise B decides not to share charging facilities, it will not receive the additional distribution revenue or government subsidies associated with the sharing model, and its income will remain at I b T b .
Additionally, the necessary notation of our model is introduced in Table 1.

3.3. Modeling Framework

Based on assumptions and notations, the payoff matrix of the government, logistics enterprise A, and logistics enterprise B can be obtained, as shown in Table 2.
As shown in Table 2, when the government adopts a strategy of actively promoting charging facilities, and both logistics enterprises A and B choose to share these facilities, the government’s social benefit is denoted by G . The costs incurred for implementation and supervision are represented by D , the environmental benefit by e , and the sharing incentive subsidy provided to enterprises by L . Thus, the government’s net benefit is calculated as G + e D L . For logistics enterprise A, its daily distribution income is represented by I a . Since both enterprises opt for sharing, logistics enterprise A avoids paying the non-sharing cost T a but incurs a risk cost P a , operational and maintenance costs r C , and power purchase costs r Q . Additionally, the enterprise receives an additional distribution income of S a and a government subsidy of μ L . Therefore, the net income of logistics enterprise A is I a + S a r ( C + Q ) P a + μ L . Similarly, the daily distribution income for logistics enterprise B is I b . Like enterprise A, it avoids the non-sharing cost T b and instead incurs risk costs P b , operational and maintenance costs ( 1 r ) C , and power purchase costs ( 1 r ) Q . Logistics enterprise B also gains an additional distribution income of S b and a government subsidy of ( 1 μ ) L . Hence, the net income of logistics enterprise B is I b + S b 1 r   ( C + Q ) P b + ( 1 μ ) L . In a similar manner, the benefits for the three participants under different strategies can be derived accordingly.
Thus, the expected returns, expected average returns, and replicator dynamics equation for participants can be determined from the game payoff matrix. Let U c 1 represent the expected return for the government when it chooses the active promotion strategy. This value is the weighted average sum of the government’s revenue when logistics enterprises A and B choose among the four possible combinations of sharing and not sharing strategies. U c 1 is given by the following equation:
U c 1 = y z G + e D L + 1 y z G D L + y 1 z   G D L + 1 y   1 z   ( G D )                                            
The expected revenue when the government opts for the negative promotion strategy is denoted as U c 2 . This represents the weighted average sum of the government’s revenue when logistics enterprises A and B select among the four possible combinations of sharing and not sharing strategies. The calculation for this scenario is provided below.
U c 2 = y z g D + e + 1 y z g D + y 1 z   g D + 1 y   1 z   g D = y z e + g D
The government’s average expected revenue, U c , is the weighted sum of its expected revenues when choosing either the positive or negative promotion strategy, as shown below.
U c = x U c 1 + 1 x U c 2 = g D + G x g x L x y L x z + e y z
According to evolutionary game theory, the government’s replicator dynamic can be obtained by the following differential equation:
F x = d x d t = x U c 1 U c = x 1 x   U c 1 U c 2 = x 1 x ( G g L y L z + L y z )
The expected revenue for logistics enterprise A when it chooses the sharing strategy, denoted as U a 1 , is the weighted average sum of revenues considering the various strategy combinations selected by the government and logistics enterprise B. This value is provided below.
U a 1 = x z I a + S a r ( C + Q ) P a + μ L + x 1 z I a T a P a + L + 1 x z I a + S a r C + Q P a + 1 x   1 z ( I a T a P a )
The expected revenue for logistics enterprise A when it opts not to share, denoted as U a 2 , is the weighted average sum of revenues based on the strategy combinations chosen by the government and logistics enterprise B. This value is presented in the following equation:
U a 2 = x z ( I a T a ) + x ( 1 z ) ( I a T a ) + 1 x z ( I a T a ) + 1 x ( 1 z ) ( I a T a )
The logistics enterprise A’s average expected return, U a , is the weighted average of its expected returns when it chooses either the sharing or non-sharing strategy, as provided below.
U a = y U a 1 + 1 y U a 2 = I a T a P a y + S a y z + T a y z r C y z r Q y z + L x y L x y z + μ L x y z
Therefore, the logistics enterprise A’s replicator dynamic is given by the following differential equation:
F y = d y d t = y U a 1 U a = y 1 y   U a 1 U a 2 = y 1 y ( S a z P a + T a z r C z r Q z + L x L x z + μ L x z )
The expected revenue for logistics enterprise B when it chooses the sharing strategy is denoted as U b 1 . This represents the weighted average of revenues based on the combination of strategies chosen by the government and logistics enterprise A. U b 1 can be given by
U b 1 = x y ( I b + S b 1 r ( C + Q ) P b + 1 μ L ) + x 1 y   I b T b P b + L + 1 x y I b + S b 1 r ( C + Q ) P b + 1 x   1 y   I b T b P b
The expected revenue for logistics enterprise B, when it opts for the non-sharing strategy, is denoted as U b 2 . This value represents the weighted average of revenues based on the combination of strategies chosen by the government and the logistics enterprise A, as outlined below.
U b 2 = x y I b T b + x 1 y ( I b T b ) + 1 x y ( I b T b ) + 1 x   1 y ( I b T b )
The average expected return for logistics enterprise B is the weighted sum of its expected returns when choosing between the sharing and non-sharing strategies, as detailed below.
U b = z U b 1 + ( 1 z ) U b 2 = I b T b P b z C y z Q y z + S b y z + T b y z + r C y z + r Q y z + L x z μ L x y z                
Thus, the following differential equation can obtain the logistics enterprise B’s replicator dynamic:
F z = d z d t = z ( U b 1   U b ) = z 1 z   U b 1 U b 2 = z 1 z ( S b y + T b y P b C y Q y + r C y + r Q y + L x μ L x y )

4. Evolutionary Game Analysis

4.1. Solving ESS of the Tripartite Evolutionary Game

The evolutionary stable strategy (ESS) of the tripartite game involving the government and two logistics enterprises can be solved and analyzed using the above replicator dynamic equations, i.e., Equations (4), (8), and (12). Following Selten’s [35] conclusion, in a tripartite evolutionary game, it is sufficient to focus on the analysis of pure strategies. By solving F ( x ) = 0 , F ( y ) = 0 , and F ( z ) = 0 , eight local pure strategy equilibria can be given by E 1 0 , 0 , 0 , E 2 ( 1 , 0 , 0 ) , E 3 ( 0 , 1 , 0 ) , E 4 ( 0 , 0 , 1 ) , E 4 ( 0 , 0 , 1 ) , E 5 ( 1 , 1 , 0 ) , E 6 ( 1 , 0 , 1 ) , E 7 ( 0 , 1 , 1 ) , and E 8 ( 1 , 1 , 1 ) .
According to Friedman’s [36] method for determining equilibrium stability, the evolutionarily stable strategy of the system can be derived through local stability analysis of the system’s Jacobian matrix. By taking the partial derivatives of the replicator dynamic equations F ( x ) , F ( y ) , and F ( z ) with respect to x , y , and z , the Jacobian matrix J of the model can be obtained as follows:
J = F ( x ) x F ( x ) y F ( x ) z F ( y ) x F ( y ) y F ( y ) z F ( z ) x F ( z ) y F ( z ) z
where
F ( x ) x = 2 x 1   ( g G + L y + L z L y z )
F ( x ) y = L x x 1 ( 1 z )
F ( x ) z = L x x 1 ( 1 y )
F ( y ) x = L y 1 y ( μ z z + 1 )
F ( y ) y = 2 y 1 ( P a L x S a z T a z + r C z + r Q z μ L x z )
F ( y ) z = y 1 y ( S a + T a r C r Q L x + μ L x )
F ( z ) x = L z 1 z ( 1 μ y )
F ( z ) y = z 1 z ( S b Q C + T b + r C + r Q μ L x )
F ( z ) z = 2 z 1 ( P b L x S b y T b y + C y + Q y r C y r Q y + μ L x y )

4.2. Equilibrium Stability Analysis

According to evolutionary game theory, an evolutionary stable strategy (ESS) exists only if the eigenvalues of each equilibrium are all negative. Therefore, substituting the eight equilibria into the Jacobian matrix (13), the corresponding eigenvalues are calculated, as shown in Table 3. The sign of the eigenvalue λ is then analyzed to determine the stability of each equilibrium. We follow the tabular presentation format used by Zhang et al. [27] in their evolutionary game study to present the equilibrium stability analysis results, as shown in Table 3, Table 4, Table 5, Table 6, Table 7 and Table 8.
Based on the above analysis, the eigenvalues of each equilibrium are calculated according to the ESS equilibrium conditions, and the following scenarios can be obtained:
Scenario 1.
When P a > L and P b > L , Table 4 shows that the eigenvalues corresponding to E 2 ( 1 ,   0 ,   0 ) are negative. This indicates that the model has a stable equilibrium at E 2 ( 1 ,   0 ,   0 ) , where the corresponding stable strategy is (active promotion, not sharing, not sharing). The other equilibria are unstable in this scenario.
In this scenario, the government will opt for a positive promotion strategy when the social benefits outweigh those from negative promotion measures. For logistics enterprises A and B, if the risk costs associated with the sharing strategy are too high and the additional distribution income and government subsidies are insufficient, both enterprises will choose not to share. At this point, the decisions of all three parties converge towards a stable equilibrium strategy.
Scenario 2.
When the conditions G > L + g , P a < L and P b + L + μ L + C + Q > S b + T b + r C + r Q are satisfied, Table 5 shows that the eigenvalues corresponding to E 5 ( 1 ,   1 ,   0 ) are negative. This indicates that the model has a stable equilibrium at E 5 ( 1 ,   1 ,   0 ) , where the stability strategy is (active promotion, sharing, not sharing). The other equilibria are unstable.
In this scenario, the government will opt for a positive promotion strategy when its social benefits exceed those of the negative approach. Logistics enterprise A will choose the sharing strategy if the government’s subsidy outweighs the associated risk costs. On the contrary, logistics enterprise B will refrain from sharing if the required risk costs are too high and the additional benefits from sharing are minimal. At this point, the choices made by all three parties converge towards a balanced strategy.
Scenario 3.
When G > L + g , P a + r C + r Q > μ L + S a + T a and P b < L , as shown in Table 6, the eigenvalues corresponding to E 6 ( 1 ,   0 ,   1 ) are negative. This indicates that the model has a stable equilibrium at E 6 ( 1 ,   0 ,   1 ) , with the corresponding stability strategy being (active promotion, not sharing, sharing). The other equilibria are unstable.
In this scenario, the government will opt for a positive promotion strategy if its social benefits outweigh those of the negative strategy. For logistics enterprise A, the high risk cost associated with sharing will lead to a decision not to share. Conversely, if the government subsidy outweighs the risk cost for logistics enterprise B, it will adopt the sharing strategy. At this point, the decisions of all three parties converge toward a balanced strategy.
Scenario 4.
When the conditions G < L + g , P a + r C + r Q < S a + T a and P b + C + Q < S b + T b + r C + r Q are satisfied, Table 7 shows that the eigenvalues corresponding to E 7 ( 0 ,   1 ,   1 ) are negative. This indicates that the model has a stable equilibrium at E 7 ( 0 ,   1 ,   1 ) , where the corresponding stable strategy is (negative promotion, sharing, sharing). All other equilibria are unstable.
In this scenario, if the social benefits of the government’s positive promotion strategy are lower than those of the negative strategy, the government will opt for a negative promotion strategy. For logistics enterprises A and B, if the additional distribution income from choosing the sharing strategy is substantial, both will choose to share. At this point, the decisions of all three parties converge towards a balanced strategy.
Scenario 5.
When the conditions G > L + g , P a + r C + r Q < μ L + S a + T a and P b + C + Q + μ L < L + S b + T b + r C + r Q are met, it is evident from Table 8 that the eigenvalues corresponding to E 8 ( 1 ,   1 ,   1 ) are negative. This indicates that the model has a stable equilibrium at E 8 ( 1 ,   1 ,   1 ) . The corresponding stable strategy is (active promotion, sharing, sharing), while the other equilibria are unstable.
In this scenario, if the social benefits derived from the positive promotion strategy exceed the combined total of the social benefits from the negative strategy and the incentive subsidies provided to enterprises, the government will opt for a positive promotion strategy. For logistics enterprises A and B, if the additional distribution income and government subsidies received from adopting the sharing strategy are sufficiently high, both enterprises will choose to participate in the sharing strategy. Consequently, the choices of all three parties will align towards a balanced strategy.

5. Simulation Study of the Tripartite Evolutionary Game

To provide a clearer understanding of the evolutionarily stable strategies (ESSs) among government and logistics enterprises under varying conditions, MATLAB 2020a is utilized to simulate the evolutionary trajectories of strategy selection for each party involved in the game.

5.1. Evolutionary Trajectories of Different Scenarios

We provide a simulation study of the evolutionary trajectories under each scenario of the analytical results obtained in Section 4.
Scenario 1.
The simulation parameters are assigned as follows.  I a = 50 ,  I b = 50 ,  T a = 5 ,  T b = 5 ,  P a = 20 ,  P b = 20 ,  C = 5 ,  Q = 5 ,  r = 0.5 ,  S a = 10 ,  S b = 10 ,  G = 50 ,  g = 20 ,  D = 8 ,  e = 10 ,  L = 16 , and  μ = 0.5 , while  P a > L  and  P b > L  are satisfied. The simulation results of the evolutionary trajectories are illustrated in Figure 2.
As shown in Figure 2, the final decision probabilities for logistics enterprise A, logistics enterprise B and the government converge to ( 1 ,   0 ,   0 ) . This outcome indicates that when P a > L and P b > L , the government ultimately opts for active promotion. At the same time, logistics enterprises A and B choose not to share charging facilities. Initially, both enterprises opt to share the facilities, but as the costs of sharing become too high and the additional income remains low, they gradually shift towards not sharing. At this point, the stable strategy in the tripartite evolutionary game is (active promotion, not sharing, not sharing), which confirms Scenario 1.
Scenario 2.
The simulation parameters are assigned as follows.  I a = 50 ,  I b = 50 ,  T a = 5 ,  T b = 5 , P a = 15 , P b = 20 , C = 5 , Q = 5 , r = 0.5 , S a = 10 , S b = 10 , G = 50 , g = 20 , D = 8 , e = 10 , L = 16 , μ = 0.5 , when  G > L + g ,  P a < L  and  P b + L + μ L + C + Q > S b + T b + r C + r Q  are met. The simulation results of the evolutionary trajectories are shown in Figure 3.
As illustrated in Figure 3, the final decision probabilities for logistics enterprise A, logistics enterprise B, and the government converge to ( 1 ,   1 ,   0 ) . This indicates that when G > L + g ,  P a < L and P b + L + μ L + C + Q > S b + T b + r C + r Q , the government ultimately opts for active promotion, logistics enterprise A chooses to share, and logistics enterprise B opts not to share. As the game progresses, logistics enterprise A’s profitability gradually increases, leading to enhanced government subsidies and reinforcing its decision to share charging facilities. In contrast, logistics enterprise B, facing lower income and minimal government subsidies, ultimately decides against sharing. At this point, the stable strategy in the tripartite evolutionary game is (active promotion, sharing, not sharing), confirming Scenario 2.
Scenario 3.
We assign the simulation parameters as follows.  I a = 50 ,  I b = 50 ,  T a = 5 ,  T b = 5 ,  P a = 20 ,  P b = 15 ,  C = 5 ,  Q = 5 ,  r = 0.5 ,  S a = 10 ,  S b = 10 ,  G = 50 ,  g = 20 ,  D = 8 ,  e = 10 ,  L = 16 , and  μ = 0.5 , while  G > L b + g ,  P a + r C + r Q > μ L + S a + T a  and  P b < L  are met. The simulation results of the evolutionary trajectories are illustrated in Figure 4.
As illustrated in Figure 4, the final decision probabilities of logistics enterprise A, logistics enterprise B, and the government converge to ( 1 ,   0 ,   1 ) . This occurs under conditions where G > L b + g , P a + r C + r Q > μ L + S a + T a , and P b < L . In this scenario, the government ultimately chooses an active promotion strategy; logistics enterprise A opts not to share, while logistics enterprise B decides to share. Initially, logistics enterprises A and B may share charging facilities. However, logistics enterprise A shifts away from sharing as the game progresses due to low returns and limited government subsidies. On the contrary, as the profitability of logistics enterprise B increases and government subsidies grow, logistics enterprise B maintains its decision to share charging facilities. Thus, the stable strategy in the tripartite evolutionary game is (active promoting, not sharing, sharing), verifying Scenario 3.
Scenario 4.
The simulation parameters are set as follows.  I a = 50 ,  I b = 50 ,  T a = 5 ,  T b = 5 ,  P a = 8 ,  P b = 8 ,  C = 5 ,  Q = 5 ,  r = 0.5 ,  S a = 15 ,  S b = 15 ,  G = 50 ,  g = 35 ,  D = 8 ,  e = 10 ,  L = 20 , and  μ = 0.5 , while  G < L + g ,  P a + r C + r Q < S a + T a , and  P b + C + Q < S b + T b + r C + r Q  are satisfied. The simulation results of the evolutionary trajectories are shown in Figure 5.
As shown in Figure 5, the final decision probabilities of logistics enterprise A, logistics enterprise B, and the government converge to ( 0 ,   1 ,   1 ) . This outcome occurs when the conditions G < L + g , P a + r C + r Q < S a + T a , and P b + C + Q < S b + T b + r C + r Q are satisfied. In this scenario, the government ultimately chooses a negative promotion strategy, while both logistics enterprises A and B opt for the sharing strategy. At this point, logistics enterprises A and B experience lower costs and higher income, whereas the government faces reduced income and increased subsidy expenditures. Consequently, as time progresses, the income of logistics enterprises A and B continues to rise, leading them to persist in sharing charging facilities. Meanwhile, the government maintains its choice of negative promotion for sharing charging facilities among logistics enterprises. In this case, the stable strategy in the tripartite evolutionary game (negative promotion, sharing, sharing) verifies Scenario 4.
Scenario 5.
We assign the following parameter values to the simulation.  I a = 50 ,  I b = 50 ,  T a = 5 ,  T b = 5 ,  P a = 8 ,  P b = 8 ,  C = 5 ,  Q = 5 ,  r = 0.5 ,  S a = 15 ,  S b = 15 ,  G = 50 ,  g = 20 ,  D = 8 ,  e = 10 ,  L = 20 , and  μ = 0.5 , when  G > L + g ,  P a + r C + r Q < μ L + S a + T a , and  P b + C + Q + μ L < L + S b + T b + r C + r Q  are met. The simulation results of the evolutionary trajectories are illustrated in Figure 6.
As shown in Figure 6, the final decision probabilities of logistics enterprise A, logistics enterprise B, and the government converge to ( 1 ,   1 ,   1 ) . This outcome occurs when the conditions G > L + g , P a + r C + r Q < μ L + S a + T a , and P b + C + Q + μ L < L + S b + T b + r C + r Q are satisfied. In this scenario, the government ultimately chooses to actively promote, while both logistics enterprises A and B adopt the sharing strategy. This situation typically arises during the mature stage of shared charging facilities between logistics enterprises A and B. At this point, both enterprises incur lower costs and enjoy higher returns. As government subsidies increase, the returns for logistics enterprises A and B continue to rise, leading them to choose to share charging facilities consistently. In this case, the stable strategy in the tripartite evolutionary game (active promotion, sharing, sharing) verifies Scenario 5.

5.2. Impact of Cost Allocation Coefficient on Evolutionary Strategies

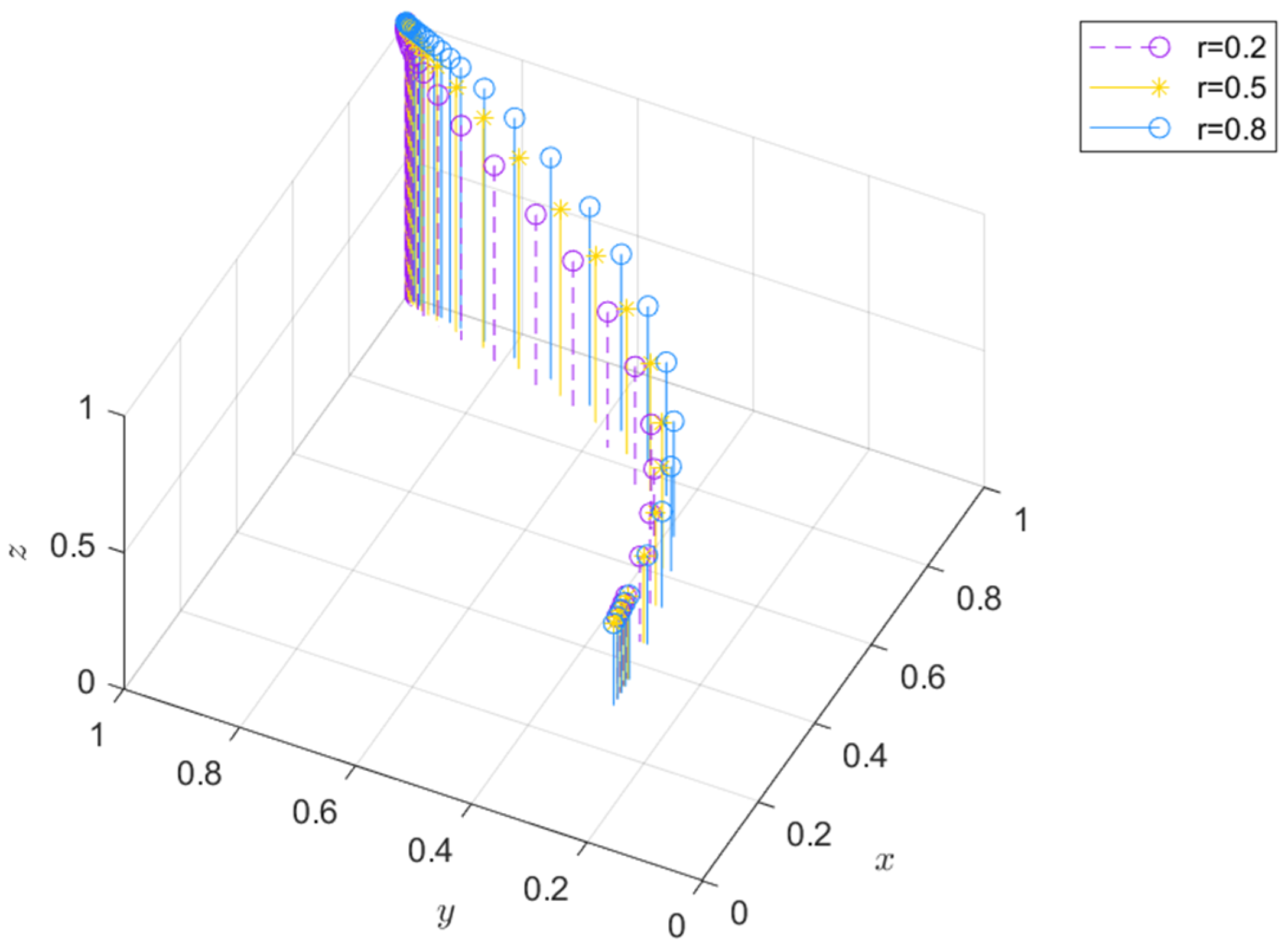
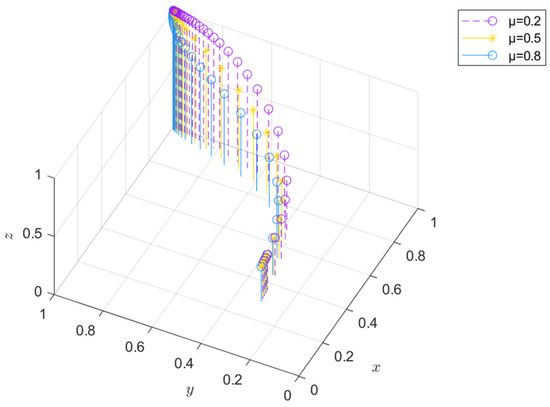
The impact of the cost allocation coefficient on logistics enterprises’ strategy selections can be analyzed by changing the value of r in our simulation study. We set r to be 0.2 , 0.5 , and 0.8 while assigning other parameters as follows: I a = 50 , I b = 50 , T a = 5 , T b = 5 , P a = 8 , P b = 8 , C = 5 , Q = 5 , S a = 15 , S b = 15 , G = 50 , g = 20 , D = 8 , e = 10 , L = 20 , and μ = 0.5 . The resulting evolutionary strategies of the simulation study are depicted in Figure 7.
As shown in Figure 7, when the cost allocation coefficient is low, logistics enterprise A is more likely to choose cooperation, with its willingness to cooperate approaching 1 at a faster rate. This is primarily because a lower cost allocation coefficient means that logistics enterprise A bears less of the cost for sharing charging facilities, making it more inclined to reduce its own operating costs and enhance efficiency through sharing. The low distribution coefficient allows logistics enterprise A to access shared facilities with a smaller investment, effectively reducing its capital expenditure and operating costs for charging infrastructure. This, in turn, enhances its market competitiveness. Conversely, for logistics enterprise B, the situation is the opposite. When the cost allocation coefficient is high, logistics enterprise B must shoulder a more significant portion of the sharing costs, which may exceed their financial capacity or expected returns, leading it to potentially opt out of sharing to avoid additional expenses. The high-cost sharing method may lead logistics enterprise B to incur expenses that outweigh the benefits it receives from sharing, ultimately diminishing its willingness to participate. According to the evolutionary game model, the cost constraints for logistics enterprises A and B can be expressed as r C + r Q < μ L + S a + T a P a and ( 1 r ) C + ( 1 r ) Q < ( 1 μ ) L + S a + T a P a . These inequalities represent the upper limits of costs that logistics enterprises A and B can bear, given different cost allocation coefficients.
Additionally, research on the dynamic stability of supply chain costs reveals that member firms have varying preferences for long-term versus short-term benefits, directly influencing their cost allocation decisions. Suppose that a firm prioritizes the advantages of long-term cooperation and sharing. In that case, it is more likely to opt for cooperation and form an alliance quickly when the cost allocation coefficient is lower. However, logistics enterprises A and B face different challenges depending on whether the cost allocation coefficient is too large or too small. Specifically, if the cost allocation coefficient is too high, logistics enterprise A may opt out of sharing the charging facilities, and logistics enterprise B might also refrain from sharing due to the significant cost burden. Conversely, when the cost allocation coefficient is too low, both parties may decide to share, but it may take longer to reach a consensus and establish a stable alliance.
In summary, the cost allocation coefficient directly impacts the willingness of logistics enterprises A and B to cooperate and their strategic choices. A lower cost allocation coefficient facilitates the quick formation of a shared alliance, whereas a higher coefficient may hinder both parties from reaching an agreement promptly.

5.3. Impact of Government Subsidies on Evolutionary Strategies

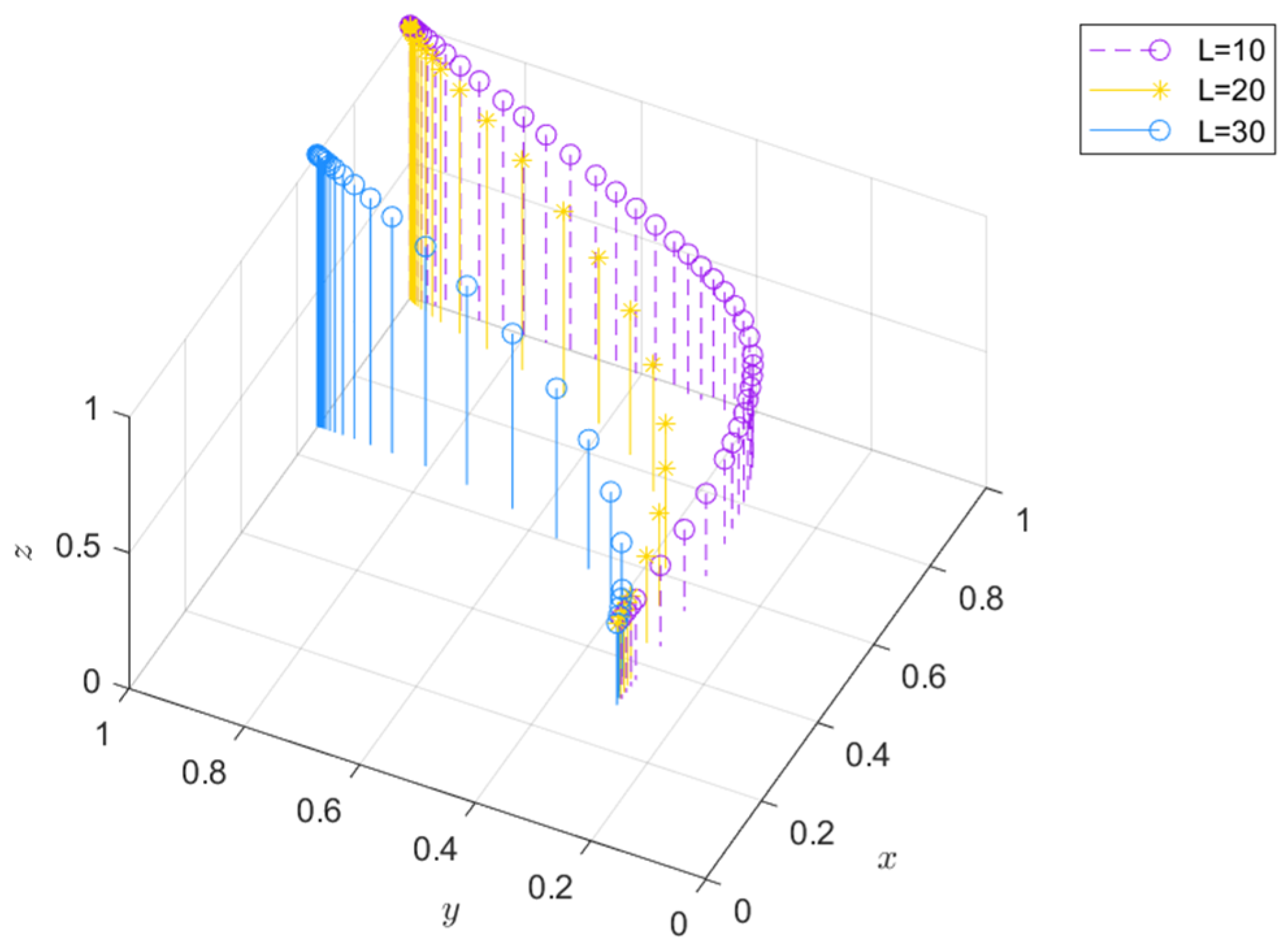
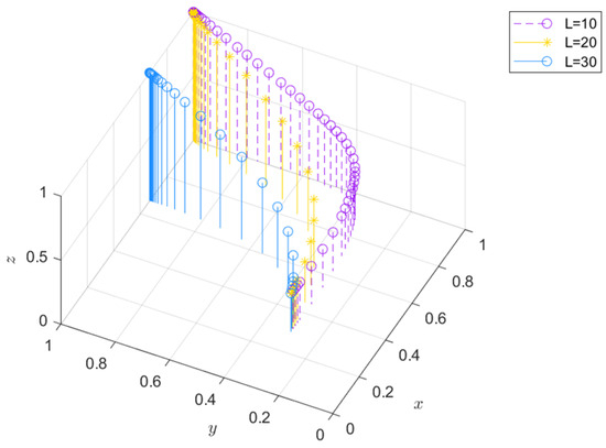
The impact of government subsidies on the strategy selections of logistics enterprises can be studied by changing the value of L to be 10 , 20 , and 30 in our simulation analysis while maintaining other parameters as follows: I a = 50 , I b = 50 , T a = 5 , T b = 5 , P a = 8 , P b = 8 , C = 5 , Q = 5 , r = 0.5 , S a = 15 , S b = 15 , G = 50 , g = 20 , D = 8 , e = 10 , and μ = 0.5 . The evolutionary strategies of the simulation results are shown in Figure 8.
As illustrated by the evolution results in Figure 8, government subsidies have a substantial positive impact on the willingness of the two logistics enterprises to cooperate. Specifically, when government subsidies are significant, the willingness to cooperate of both enterprises approaches 1 more rapidly, indicating a stronger inclination to collaborate. This suggests that enterprises gain greater benefits and incentives with higher government subsidies, accelerating consensus and fostering cooperation in sharing charging facilities.
However, the impact of government subsidies varies depending on their size. When subsidies are too large, they might lead to a scenario in which enterprises receiving higher subsidies choose the sharing strategy. At the same time, the government, which bears the financial burden, may opt to reduce its promotion of charging facility sharing among logistics enterprises. Excessive subsidies can cause businesses to become overly dependent on government support, diminishing their motivation and initiative. On the other hand, when subsidies are too small or non-existent, the incentive for businesses to cooperate diminishes, as the economic benefits are insufficient to justify the collaboration. According to the evolutionary game model, the range of government subsidies should be L < G g .
Furthermore, the government’s approach to promote cooperation plays a crucial role. Active measures, such as clear policies and technical support, can foster collaboration between enterprises. However, if the government’s promotion efforts are vague or poorly executed, the pace of cooperation may slow down. Thus, both government subsidies and promotion strategies significantly influence the willingness of logistics enterprises to cooperate. Government subsidies can mitigate the risks associated with participation in shared charging facilities. For logistics enterprises, charging facility sharing represents a new business model that entails certain uncertainties and risks. By providing financial support, government subsidies can help alleviate these concerns, encouraging companies to embrace this innovative approach to collaboration. Properly calibrated subsidies can encourage cooperation, while overly generous or insufficient subsidies and inadequate promotion strategies can impede the development of partnerships. Therefore, it is essential for the government to carefully consider multiple factors when crafting policy measures to ensure they are effective and adaptable.
Government subsidies are crucial in fostering cooperation between logistics enterprises, but their effectiveness is closely tied to the subsidy amount. Properly calibrated subsidies can significantly boost the willingness of enterprises to collaborate and accelerate their transition to cooperative arrangements. However, overly generous subsidies can lead to an overreliance on government support, which diminishes the motivation and initiative of the companies. Therefore, when designing subsidy policies, the government must carefully balance the subsidy amounts to ensure mutual benefits for both enterprises and the government, ultimately promoting the sustainable development of shared charging facilities.

5.4. Impact of Subsidy Allocation Coefficient on Evolutionary Strategies

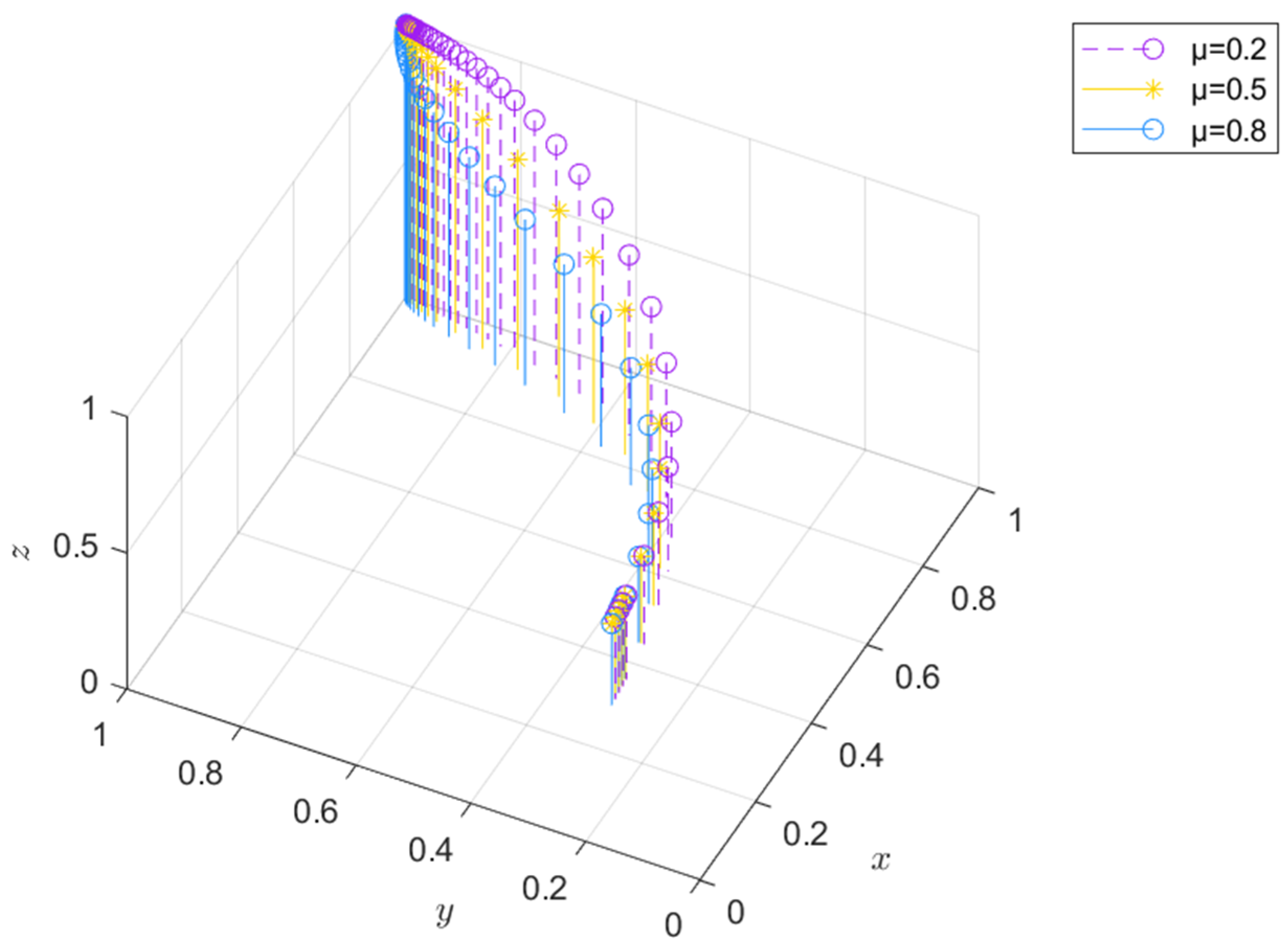
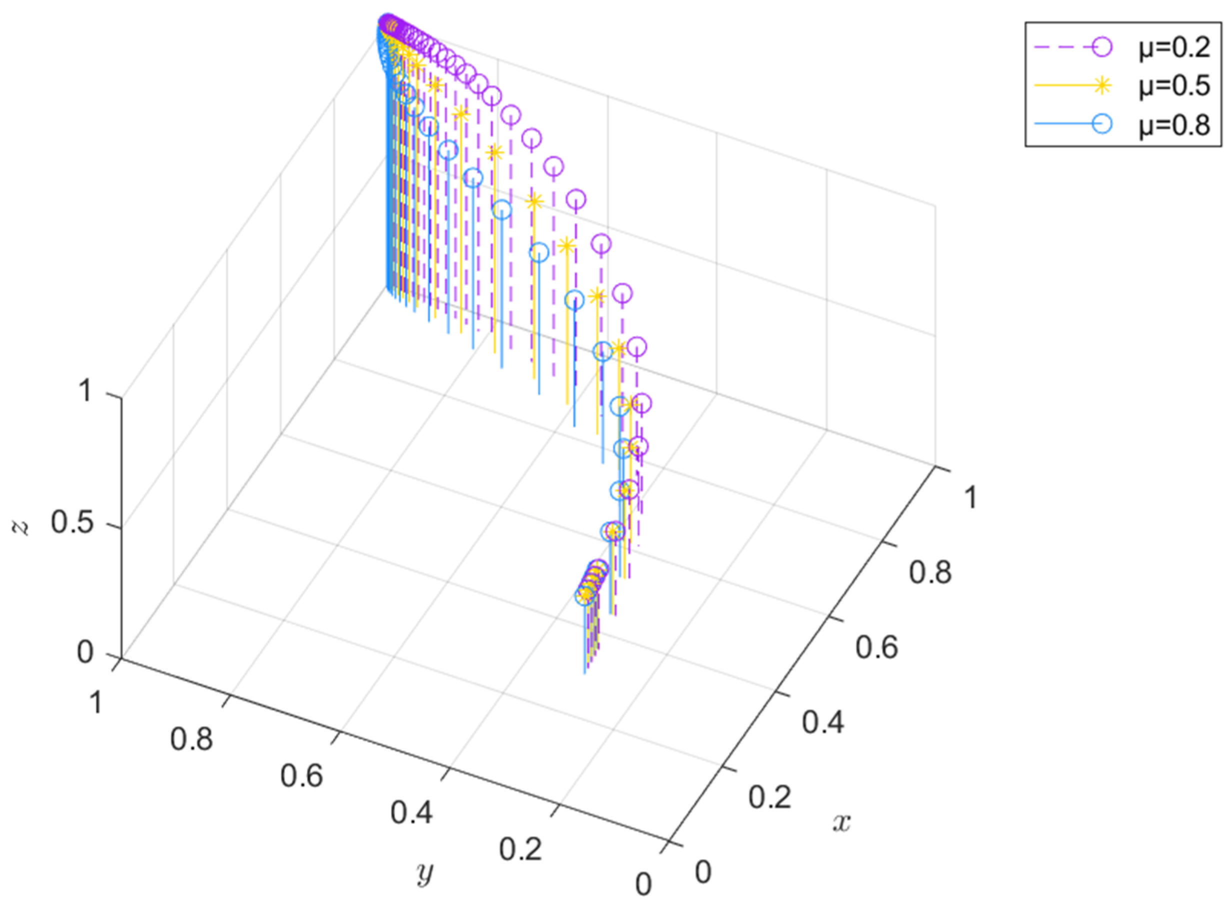
We analyze the impact of the subsidy allocation coefficient on the logistics enterprises’ strategy selections by changing μ value to be 0.2 , 0.5 , and 0.8 , in the simulation when assigning other parameters as follows: I a = 50 , I b = 50 , T a = 5 , T b = 5 , P a = 8 , P b = 8 , C = 5 , Q = 5 , r = 0.5 , S a = 15 , S b = 15 , G = 50 , g = 20 , D = 8 , e = 10 , and L = 20 . The resulting evolutionary strategies of the game are illustrated in Figure 9.
As shown in Figure 9, an increase in the government’s subsidy allocation coefficient significantly raises the likelihood of logistics enterprise A choosing to cooperate, with its willingness to cooperate reaching total commitment more rapidly. This indicates that as the government’s subsidy allocation increases, logistics enterprise A becomes more inclined to collaborate, thereby speeding up the formation of a charging facility-sharing alliance. However, the situation is reversed for logistics enterprise B. When the government’s subsidy allocation coefficient is either too high or too low, logistics enterprises that receive more substantial subsidies may opt to share charging facilities, while the other party, receiving smaller subsidies, might choose not to share. This disparity can prolong the time required for both logistics enterprises to establish a charging facility-sharing alliance. Therefore, the government’s subsidy allocation coefficient plays a critical role in influencing the cooperation willingness and pace of logistics enterprises A and B. Specifically, a higher subsidy allocation coefficient enhances logistics enterprise A’s willingness and speed to cooperate. In contrast, logistics enterprise B demonstrates a stronger willingness to cooperate but at a slower pace.

6. Conclusions

This research paper, grounded in evolutionary game theory, develops an evolutionary game model to explore the sharing of charging facilities in the logistics distribution of electric vehicles, incorporating the role of government as a key participant. Unlike previous studies that focused solely on the decision-making of logistics enterprises, this paper introduces the government’s influence, emphasizing the impact of government policy support on the sharing of charging facilities. This approach aligns with sustainable development’s current needs and realities in a green economy. The key findings are as follows:
  • Flexible Government Subsidy Measures: The numerical simulation analysis reveals that government subsidies can significantly foster collaboration among all parties involved. Furthermore, an appropriately designed subsidy mechanism can help sustain long-term evolutionary stability in cooperative efforts. Governments should implement adaptive subsidy strategies at different stages of development. In the initial phase of charging facility sharing, lenient subsidies are necessary to lower the initial costs for logistics enterprises, thereby facilitating the rapid growth of shared charging facilities. The government’s subsidy policy should be less than the difference between the social benefits gained through the positive guidance strategy and those achieved through the negative guidance strategy. As the sharing system matures, the government should increase subsidies to encourage further investment and maintenance of shared infrastructure. Additionally, rewarding enterprises that actively participate in sharing can boost enthusiasm and accelerate the adoption of shared charging facilities in electric vehicle logistics.
  • Increased Investment by Logistics Enterprises: Numerical simulation analysis reveals that the lower the cost of sharing, the more willing logistics enterprises are to participate. Specifically, when charging facilities are shared among logistics companies, the additional revenue generated from distribution, the government subsidies and incentives, and the costs incurred if no sharing alliance is formed must outweigh the combined operation, maintenance, energy procurement, and risk-related costs associated with sharing. As the sharing of charging facilities progresses, logistics enterprises must invest more in the construction and upkeep of these facilities. Challenges such as insufficient facilities and poor location distribution may arise in the mature stage. Logistics enterprises should optimize the construction and maintenance of charging facilities to ensure sufficient availability and strategic distribution. This will enhance the willingness of logistics companies to share charging resources, ultimately improving distribution efficiency and boosting customer satisfaction.
  • Enhanced Cooperation and Supervision: As the sharing of charging facilities advances and the volume of logistics activities increases, the frequency of facility use will also increase. To manage this, both the government and logistics enterprises must strengthen their cooperation and establish robust supervision mechanisms. This collaboration will ensure the rational use and maintenance of charging facilities, support the smooth operation of electric vehicle distribution, and further promote the widespread adoption of green distribution practices.
In conclusion, effective collaboration between government agencies and logistics enterprises is crucial for the sustainable development of shared charging facilities in electric vehicle distribution. This partnership not only contributes to achieving energy conservation and emission reduction goals and fostering a green economy but also provides essential support for logistics enterprises in enhancing operational efficiency and customer satisfaction.

7. Future Research Directions

In future research on the evolutionary game of charging facility sharing among logistics enterprises, with the government as a key participant, several factors can be explored to enrich the analysis:
  • Geographical Diversity: The geographical environment and infrastructure conditions vary significantly across different regions, impacting the sharing behavior of logistics enterprises. Future studies should examine how factors like urban versus rural energy distribution affect strategic decisions regarding charging facilities.
  • Regional Energy Price Discrepancies: Fluctuations in energy prices directly influence operating costs. Future research should account for regional variations in energy prices and their effect on charging facility sharing. For instance, regions benefiting from lower energy costs due to policy incentives might see increased participation in shared facilities.
  • Dynamic Demand Volatility: The logistics industry is characterized by fluctuating demand, driven by unexpected events or seasonal changes. Future studies should incorporate dynamic demand variability into models of charging facility sharing to better predict and respond to shifts in logistics needs.
  • Varying Company Sizes: Logistics enterprises differ in size and resources, which influences their strategic choices regarding charging facilities. While large companies may have greater access to funding and technology, smaller firms may rely more on government subsidies or partnerships. The impact of these differences should be analyzed.
  • Fleet Size Diversity: The size of vehicle fleets affects charging facility requirements. Larger fleets may necessitate more infrastructure, while smaller fleets may have more flexibility in utilizing existing facilities. Future research should explore the implications of fleet size on charging behavior.
  • Sources of Funding: Logistics enterprises access funds through various channels, including self-financing, bank loans, and government subsidies. Different funding sources can shape investment and operational strategies. For example, companies that depend on government subsidies may be more inclined to collaborate on the development of charging infrastructure.
  • Technological Innovation: Advancements in technology play a vital role in optimizing logistics operations. Future studies should investigate how innovations such as big data and artificial intelligence can enhance the efficiency of charging facility sharing and management.
  • Competition: The competitive behavior of logistics enterprises in charging facility sharing is another important factor. Competition could influence the layout and efficiency of charging infrastructure. Future research should explore how competitive dynamics affect sharing strategies and outcomes.
  • Public–Private Partnerships (PPPs): Public–private partnerships are becoming increasingly common in the development and operation of charging infrastructure. Future studies should assess how PPP models can foster cooperation between governments and businesses to optimize charging facility sharing.
By considering these factors, future research can develop more sophisticated and realistic evolutionary game models, providing deeper insights into the dynamics of charging facility sharing among logistics enterprises and offering practical guidance for sustainable development.

Author Contributions

Conceptualization, G.X.; methodology, G.X. and D.Z.Y.; formal analysis, G.X. and J.C.; investigation, D.Z.Y. and Y.L.; writing—original draft preparation, J.C.; writing—review and editing, G.X. and D.Z.Y.; funding acquisition, G.X. All authors have read and agreed to the published version of the manuscript.

Funding

This research is funded by the Open Fund of Chongqing Key Laboratory of Green Logistics Intelligent Technology (Chongqing Jiaotong University) (Grant No. KLILN2023YB005) and the Chongqing Education Commission Humanities and Social Science Planning (Grant No. 22SKGH174).

Data Availability Statement

All data generated or analyzed during this study are available from the corresponding author upon request.

Conflicts of Interest

The authors declare no conflicts of interest.

References

  1. Yang, K.; Sun, H.; Yang, L. Research on the optimization of Jingdong fresh food logistics distribution path based on electric logistics vehicle. In Proceedings of the Third International Conference on Intelligent Traffic Systems and Smart City (ITSSC 2023), Xi’an, China, 10–12 November 2024; pp. 9–15. [Google Scholar]
  2. Wang, H.P.; Yan, X.C.; Zhao, D.; Ge, L.J. Research on production decision of automobile manufacturers considering consumers’ low-carbon preference under government reward and punishment mechanism. Syst. Eng. Theory Pract. 2023, 43, 2669–2684. [Google Scholar]
  3. National Road Transport Standardization Technical Committee. Notice on Soliciting Opinions on the National Standard “Technical Requirements for Urban Green Freight Distribution Evaluation (Draft for Comment)”. Available online: https://jtst.mot.gov.cn/zxd/seekPublicAdvice/pagePublishAdviceStdList/819 (accessed on 3 August 2024).
  4. Central Government of the People’s Republic of China. Guiding Opinions of the General Office of the State Council on Further Building a High-Quality Charging Infrastructure System. Available online: https://www.gov.cn/zhengce/zhengceku/202306/content_6887168.htm (accessed on 3 August 2024).
  5. China Journal of Logistics and Purchasing. The New Energy of Logistics Vehicles Faces Five Major Obstacles. Available online: https://new.qq.com/rain/a/20231014A065GL00 (accessed on 27 September 2024).
  6. Floor Iron. New Energy Logistics Vehicle Development Status Analysis of Ground Rail New Energy Vehicles. Available online: https://www.dstcar.com/index.php/portal/article/index.html?id=437&cid=21 (accessed on 27 September 2024).
  7. China Energy News. Three Major Problems Hinder the Promotion of New Energy Logistics Vehicles. Available online: http://paper.people.com.cn/zgnyb/html/2021-01/04/content_2027642.htm (accessed on 27 September 2024).
  8. Chen, R.; Qian, X.W.; Miao, L.X.; Ukkusuri, S.V. Optimal charging facility location and capacity for electric vehicles considering route choice and charging time equilibrium. Comput. Oper. Res. 2020, 113, 104776. [Google Scholar] [CrossRef]
  9. Luo, Q.Y.; Ye, Z.H.; Jia, H.F. A charging planning method for shared electric vehicles with the collaboration of mobile and fixed facilities. Sustainability 2023, 15, 16107. [Google Scholar] [CrossRef]
  10. Chen, Q.Q.; Huang, K.; Ferguson, M.R. Capacity expansion strategies for electric vehicle charging networks: Model, algorithms, and case study. Nav. Res. Logist. 2022, 69, 442–460. [Google Scholar] [CrossRef]
  11. Luo, X.Y.; Qiu, R. Electric vehicle charging station location towards sustainable cities. Int. J. Environ. Res. Public Health 2020, 17, 2785. [Google Scholar] [CrossRef]
  12. Lv, Z.P.; Song, Z.H.; Li, L.S.; Liu, Y.; Zhou, S. Research on Electric Vehicle Charging Facility Planning Based on Improved Grey Wolf Optimization Algorithm in V2G Mode. In Proceedings of the 2023 3rd Power System and Green Energy Conference (PSGEC), Shanghai, China, 24–26 August 2023; pp. 325–331. [Google Scholar]
  13. Woo, S.; Bae, S.; Moura, S.J. Pareto optimality in cost and service quality for an electric vehicle charging facility. Appl. Energy 2021, 290, 116779. [Google Scholar] [CrossRef]
  14. Wu, W.J.; Deng, L.; Tao, Y.; Wang, X. Research on evolutionary game of value co-creation behavior of shared private charging piles of electric vehicles. Discret. Dyn. Nat. Soc. 2022, 2022, 9884962. [Google Scholar] [CrossRef]
  15. Huang, X.; Li, L.; Xu, P. Electric vehicle charging pile sharing method based on multi-subject game and win-win. Trans. China Electrotech. Soc. 2023, 38, 2945–2961. [Google Scholar]
  16. Chen, J.; Huang, X.Q.; Cao, Y.J.; Li, L.Y.; Yan, K.; Wu, L.; Liang, K. Electric vehicle charging schedule considering shared charging pile based on generalized Nash game. Int. J. Electr. Power Energy Syst. 2022, 136, 107579. [Google Scholar] [CrossRef]
  17. Ji, J.H.; Bie, Y.M.; Wang, L.H. Optimal electric bus fleet scheduling for a route with charging facility sharing. Transp. Res. C Emerg. Technol. 2023, 147, 104010. [Google Scholar] [CrossRef]
  18. Wang, Y.X.; Zhao, Z.L.; Baležentis, T. Benefit distribution in shared private charging pile projects based on modified Shapley value. Energy 2023, 263, 125720. [Google Scholar] [CrossRef]
  19. Yang, X.; Liu, J.X.; Zhuge, C.X.; Wong, A.T.C.; Wang, P.X. Exploring the potential of sharing private charging posts: A data-driven micro-simulation approach. Sustain. Cities Soc. 2024, 100, 105053. [Google Scholar] [CrossRef]
  20. Hu, X.; Yang, Z.J.; Sun, J.; Zhang, Y.L. Sharing economy of electric vehicle private charge posts. Transp. Res. B Methodol. 2021, 152, 258–275. [Google Scholar] [CrossRef]
  21. Zhao, D.; Yan, X.C.; Wang, H.P.; Li, Y. Under double integral policy auto enterprise cooperative innovation evolutionary game analysis. Manag. Sci. China 2024, 2021, 1443. [Google Scholar]
  22. Zhao, D.; Ji, S.; Wang, H.; Jiang, L. How do government subsidies promote new energy vehicle diffusion in the complex network context? A three-stage evolutionary game mode. Energy 2021, 230, 120899. [Google Scholar] [CrossRef]
  23. Zhang, G.S.; Wang, X.; Wang, Y.L.; Kang, J.Y. Research on the resilient evolutionary game of logistics service supply chain with government participation. Mathematics 2022, 10, 630. [Google Scholar] [CrossRef]
  24. Luo, Y.M.; Zhang, Y.K.; Yang, L. How to promote logistics enterprises to participate in reverse emergency logistics: A tripartite evolutionary game analysis. Sustainability 2022, 14, 12132. [Google Scholar] [CrossRef]
  25. Dong, Y.; Yang, T.T. Evolutionary game analysis of promoting the development of green logistics under government regulation. JUSTC 2022, 52, 4. [Google Scholar] [CrossRef]
  26. Li, J.C.; Yang, S.H. Analysis of a multiparticipant game under a subsidy and punishment mechanism: An evolutionary theory perspective. Math. Probl. Eng. 2021, 2021, 1984676. [Google Scholar] [CrossRef]
  27. Zhang, L.L.; Long, R.Y.; Huang, Z.; Li, W.B.; Wei, J. Evolutionary game analysis on the implementation of subsidy policy for sustainable transportation development. J. Clean. Prod. 2020, 267, 122159. [Google Scholar] [CrossRef]
  28. Wang, Z.H.; Feng, Y.; Yao, N.N.; Lin, O.W.; Li, Q.Y.; Liu, B.W. Impact of policy interventions on low-carbon technology innovation diffusion in supply networks. Manag. Decis. Econ. 2024, 45, 5040–5053. [Google Scholar] [CrossRef]
  29. Yu, L.Y.; Xu, H.; Zhang, Z.Y. Tripartite evolutionary game analysis of supply chain low-carbon transformation considering the coupling of carbon tax and subsidy regulations. Manag. Decis. Econ. 2024, 45, 702–725. [Google Scholar] [CrossRef]
  30. Yuan, X.M.; Zheng, C.C. Evolutionary game and simulation analysis of low-carbon technology innovation with multi-agent participation. IEEE Access 2022, 10, 11284–11295. [Google Scholar] [CrossRef]
  31. Guo, L.B.; Zhang, Q.Q.; Wu, J.; Santibanez Gonzalez, E.D.R. An evolutionary game model of manufacturers and consumers’ behavior strategies for green technology and government subsidy in supply chain platform. Comput. Ind. Eng. 2024, 189, 109918. [Google Scholar] [CrossRef]
  32. Liu, Z.; Qian, Q.S.; Hu, B.; Shang, W.L.; Li, L.L.; Zhao, Y.J.; Zhao, Z.; Han, C.J. Government regulation to promote coordinated emission reduction among enterprises in the green supply chain based on evolutionary game analysis. Resour. Conserv. Recycl. 2022, 182, 106290. [Google Scholar] [CrossRef]
  33. Wang, J.T.; Liu, Y.; Li, Y.F. A game study on low-carbon transportation behavior considering government subsidies. In Proceedings of the 2023 11th International Conference on Traffic and Logistic Engineering (ICTLE), Macau, China, 25–27 August 2023; pp. 95–99. [Google Scholar]
  34. Sun, H.X.; Li, J.L. Behavioural choice of governments, enterprises and consumers on recyclable green logistics packaging. Sustain. Prod. Consum. 2021, 28, 459–471. [Google Scholar] [CrossRef]
  35. Selten, R. A note on evolutionarily stable strategies in asymmetric animal conflicts. J. Theor. Biol. 1980, 84, 93–101. [Google Scholar] [CrossRef]
  36. Friedman, D. Evolutionary games in economics. Econometrica 1991, 59, 637–666. [Google Scholar] [CrossRef]
Figure 1. Relationship among the three participants.
Figure 1. Relationship among the three participants.
Mathematics 12 03413 g001
Figure 2. Evolutionary trajectories of Scenario 1.
Figure 2. Evolutionary trajectories of Scenario 1.
Mathematics 12 03413 g002
Figure 3. Evolutionary trajectories of Scenario 2.
Figure 3. Evolutionary trajectories of Scenario 2.
Mathematics 12 03413 g003
Figure 4. Evolutionary trajectories of Scenario 3.
Figure 4. Evolutionary trajectories of Scenario 3.
Mathematics 12 03413 g004
Figure 5. Evolutionary trajectories of Scenario 4.
Figure 5. Evolutionary trajectories of Scenario 4.
Mathematics 12 03413 g005
Figure 6. Evolutionary trajectories of Scenario 5.
Figure 6. Evolutionary trajectories of Scenario 5.
Mathematics 12 03413 g006
Figure 7. The impact of the cost allocation coefficient.
Figure 7. The impact of the cost allocation coefficient.
Mathematics 12 03413 g007
Figure 8. The impact of government subsidies.
Figure 8. The impact of government subsidies.
Mathematics 12 03413 g008
Figure 9. The impact of subsidy allocation coefficients on evolutionary strategies.
Figure 9. The impact of subsidy allocation coefficients on evolutionary strategies.
Mathematics 12 03413 g009
Table 1. Notations of the tripartite evolutionary game.
Table 1. Notations of the tripartite evolutionary game.
NotationsDefinition
I a ( i = a , b ) Distribution revenue when party i does not share
T a ( i = a , b ) The costs incurred by logistics enterprise i when charging facility sharing is not established among logistics enterprises (including the expenses for locating charging facilities, the operation and maintenance of those facilities, and the electricity costs for charging)
P a ( i = a , b ) The risk cost that a logistics enterprise i needs to pay when choosing a sharing strategy
C Charging facility operation and maintenance costs incurred when sharing strategies are reached between logistics enterprises
Q The power purchase cost of charging facilities must be paid when sharing strategies are reached between logistics enterprises
r ( 0 r 1 ) Cost allocation coefficient of logistics enterprise A when choosing a sharing strategy
1 r Cost allocation coefficient of logistics enterprise B when choosing a sharing strategy
S a ( i = a , b ) The additional distribution income obtained by the logistics enterprise i after sharing charging facilities among logistics enterprises
G The social benefits obtained when the government chooses to actively promote the strategy
g The social benefits are obtained when the government chooses a negative promotion strategy. G > g by default
D The cost of government expenditures to implement surveillance measures
e Enterprises share the environmental benefits they bring to government
L When the government adopts an active promotion strategy, it must pay sharing incentive subsidies to both logistics enterprises
μ ( 0 μ 1 ) Subsidy allocation coefficient of logistics enterprise A
1 μ Subsidy allocation coefficient of logistics enterprise B
Table 2. Payoff matrix for the government, logistics enterprises A and B.
Table 2. Payoff matrix for the government, logistics enterprises A and B.
Government Strategy SelectionLogistics Enterprise A Strategy ChoiceLogistics Enterprise B Strategy Choice
Share   z Not   Shared   1 z
Active promotion x Sharing y G + e D L
I a + S a r C + Q P a + μ L
I b + S b ( 1 r )   ( C + Q ) P b + ( 1 μ ) L
G D L
I a T a P a + L
I b T b
Not sharing 1 y G D L
I a T a
I b T b P b + L
G D
I a T a
I b T b
Negative promotion 1 x Sharing y g D + e
I a + S a r ( C + Q ) P a
I b + S b ( 1 r )   ( C + Q ) P b
g D
I a T a P a
I b T b
Not sharing 1 y g D
I a T a
I b T b P b
g D
I a T a
I b T b
Table 3. Eigenvalues of each equilibrium.
Table 3. Eigenvalues of each equilibrium.
Equilibrium Eigenvalue   λ 1 Eigenvalue   λ 2 Eigenvalue   λ 3 Stability
E 1 ( 0 , 0 , 0 ) G g P a P b ( + , , )
E 2 ( 1 , 0 , 0 ) g G L P a L P b ( , * , * )
E 3 ( 0 , 1 , 0 ) G L g P a S b P b Q C + T b + r C + r Q ( * , + , * )
E 4 ( 0 , 0 , 1 ) G L g S a P a + T a r C r Q P b ( * , * , + )
E 5 ( 1 , 1 , 0 ) L G + g P a L L C P b Q + S b + T b + r C + r Q μ L ( * , * , * )
E 6 ( 1 , 0 , 1 ) L G + g μ L P a + S a + T a r C r Q P b L ( * , * , * )
E 7 ( 0 , 1 , 1 ) G L g P a S a T a + r C + r Q P b + C + Q S b T b r C r Q ( * , * , * )
E 8 ( 1 , 1 , 1 ) L G + g P a S a T a + r C + r Q μ L P b + C + Q L S b T b r C r Q + μ L ( * , * , * )
Note: The eigenvalue with “+” sign is positive; the eigenvalue with “–” is negative; the eigenvalue with “*” depends on the specific parameter values.
Table 4. Stability analysis of Scenario 1.
Table 4. Stability analysis of Scenario 1.
Equilibrium Eigenvalue   λ 1 Eigenvalue   λ 2 Eigenvalue   λ 3 Stability
E 1 ( 0 , 0 , 0 ) + U n s t a b l e
E 2 ( 1 , 0 , 0 ) E S S
E 3 ( 0 , 1 , 0 ) , + + , + U n s t a b l e
E 4 ( 0 , 0 , 1 ) , + , + + U n s t a b l e
E 5 ( 1 , 1 , 0 ) , + + , + U n s t a b l e
E 6 ( 1 , 0 , 1 ) , + , + + U n s t a b l e
E 7 ( 0 , 1 , 1 ) , + + + U n s t a b l e
E 8 ( 1 , 1 , 1 ) , + + + U n s t a b l e
Table 5. Stability analysis of Scenario 2.
Table 5. Stability analysis of Scenario 2.
Equilibrium Eigenvalue   λ 1 Eigenvalue   λ 2 Eigenvalue   λ 3 Stability
E 1 ( 0 , 0 , 0 ) + U n s t a b l e
E 2 ( 1 , 0 , 0 ) + , + U n s t a b l e
E 3 ( 0 , 1 , 0 ) + , + U n s t a b l e
E 4 ( 0 , 0 , 1 ) , + , + + U n s t a b l e
E 5 ( 1 , 1 , 0 ) E S S
E 6 ( 1 , 0 , 1 ) , + , + + U n s t a b l e
E 7 ( 0 , 1 , 1 ) , + , + + U n s t a b l e
E 8 ( 1 , 1 , 1 ) , + , + + U n s t a b l e
Table 6. Stability analysis of Scenario 3.
Table 6. Stability analysis of Scenario 3.
Equilibrium Eigenvalue   λ 1 Eigenvalue   λ 2 Eigenvalue   λ 3 Stability
E 1 ( 0 , 0 , 0 ) + U n s t a b l e
E 2 ( 1 , 0 , 0 ) , + + U n s t a b l e
E 3 ( 0 , 1 , 0 ) , + + , + U n s t a b l e
E 4 ( 0 , 0 , 1 ) + + U n s t a b l e
E 5 ( 1 , 1 , 0 ) , + + , + U n s t a b l e
E 6 ( 1 , 0 , 1 ) E S S
E 7 ( 0 , 1 , 1 ) , + + , + U n s t a b l e
E 8 ( 1 , 1 , 1 ) , + + , + U n s t a b l e
Table 7. Stability analysis of Scenario 4.
Table 7. Stability analysis of Scenario 4.
Equilibrium Eigenvalue   λ 1 Eigenvalue   λ 2 Eigenvalue   λ 3 Stability
E 1 ( 0 , 0 , 0 ) + U n s t a b l e
E 2 ( 1 , 0 , 0 ) , + , + U n s t a b l e
E 3 ( 0 , 1 , 0 ) + + U n s t a b l e
E 4 ( 0 , 0 , 1 ) + + U n s t a b l e
E 5 ( 1 , 1 , 0 ) , + , + + U n s t a b l e
E 6 ( 1 , 0 , 1 ) , + + , + U n s t a b l e
E 7 ( 0 , 1 , 1 ) E S S
E 8 ( 1 , 1 , 1 ) + U n s t a b l e
Table 8. Stability analysis of Scenario 5.
Table 8. Stability analysis of Scenario 5.
Equilibrium Eigenvalue   λ 1 Eigenvalue   λ 2 Eigenvalue   λ 3 Stability
E 1 ( 0 , 0 , 0 ) + U n s t a b l e
E 2 ( 1 , 0 , 0 ) , + , + U n s t a b l e
E 3 ( 0 , 1 , 0 ) + + , + U n s t a b l e
E 4 ( 0 , 0 , 1 ) + , + + U n s t a b l e
E 5 ( 1 , 1 , 0 ) , + + U n s t a b l e
E 6 ( 1 , 0 , 1 ) + , + U n s t a b l e
E 7 ( 0 , 1 , 1 ) + , + , + U n s t a b l e
E 8 ( 1 , 1 , 1 ) E S S
Disclaimer/Publisher’s Note: The statements, opinions and data contained in all publications are solely those of the individual author(s) and contributor(s) and not of MDPI and/or the editor(s). MDPI and/or the editor(s) disclaim responsibility for any injury to people or property resulting from any ideas, methods, instructions or products referred to in the content.

Share and Cite

MDPI and ACS Style

Xu, G.; Chen, J.; Yu, D.Z.; Liu, Y. Evolutionary Game Analysis of Electric Vehicle Distribution Entities with Shared Charging Facilities. Mathematics 2024, 12, 3413. https://doi.org/10.3390/math12213413

AMA Style

Xu G, Chen J, Yu DZ, Liu Y. Evolutionary Game Analysis of Electric Vehicle Distribution Entities with Shared Charging Facilities. Mathematics. 2024; 12(21):3413. https://doi.org/10.3390/math12213413

Chicago/Turabian Style

Xu, Guangcan, Jieyu Chen, Dennis Z. Yu, and Yong Liu. 2024. "Evolutionary Game Analysis of Electric Vehicle Distribution Entities with Shared Charging Facilities" Mathematics 12, no. 21: 3413. https://doi.org/10.3390/math12213413

APA Style

Xu, G., Chen, J., Yu, D. Z., & Liu, Y. (2024). Evolutionary Game Analysis of Electric Vehicle Distribution Entities with Shared Charging Facilities. Mathematics, 12(21), 3413. https://doi.org/10.3390/math12213413

Note that from the first issue of 2016, this journal uses article numbers instead of page numbers. See further details here.

Article Metrics

Back to TopTop