Abstract
This paper aims to investigate the nonlinear transition to turbulence in generalized 3D Kolmogorov flow. The difference between this and classical Kolmogorov flow is that the forcing term in the x direction is replaced with . This drastically complicates the problem. First, a stability analysis is performed by deriving the analog of the Orr–Sommerfeld equation. It is shown that for infinite stretching, the flow is stable, contrary to classical forcing. Next, a neutral curve is constructed, and the stability of the main solution is analyzed. It is shown that for the cubic domain, the main solution is linearly stable, at least for . Next, we turn our attention to the numerical investigation of the solutions in the cubic domain. The main feature of this problem is that it is spatially periodic, allowing one to apply a relatively simple pseudo-spectral numerical method for its investigation. We apply the method of deflation to find distinct solutions in the discrete system and the method of arc length continuation to trace the bifurcation solution branches. Such solutions are called disconnected solutions if these are solutions not connected to the branch of the main solution. We investigate the influence of disconnected solutions on the dynamics of the system. It is demonstrated that when disconnected solutions are formed, the nonlinear transition to turbulence is possible, and dangerous initial conditions are these disconnected solutions.
Keywords:
Kolmogorov flow; bifurcation analysis; linear stability analysis; deflation; disconnected solutions; laminar–turbulent transition; Newton method; Krylov methods; matrix free methods; fluid dynamics MSC:
70K50; 65P30; 76D05; 49M15; 37L15; 70K20; 76E30
1. Introduction
Historically, Kolmogorov flow is a problem that describes the flow of incompressible viscous fluid in a stretched 2D torus domain with sinusoidal forcing along the non-stretched direction, where is the forcing wave number. The initial problem statement was formulated by Andrey Nikolaevich Kolmogorov in 1958 for the 2D periodic domain [1] with . The first result [2] focused on linear stability analysis as a function of the Reynolds number and the aspect ratio of the 2D torus. Subsequent investigations of primary and secondary instabilities have been conducted in various experimental, analytical, and numerical studies [3,4,5,6,7,8]. We suggest focusing on [8] for a more detailed paper review of the 2D case.
There are some papers on 3D Kolmogorov flow generalizations, such as [9,10,11,12,13]. Most of these papers are focused on numerical investigations and funding unstable periodic orbits (UPOs), e.g., in [13]. However, the authors point out that the standard approach to finding UPOs has very limited success in recurrent flow analysis as Re (Reynolds number) is increased for the 3D problem case (page R3-10 in [13]). An investigation of the limited state was performed in [12] for the problem with the classical (sinusoidal) forcing term. It was shown that the turbulent branch emerges for a Reynolds number around , and that the state is visually “close” to the base solution (see Figure 3 in [12], p. 11). So, it is possible that the state is closing on the base solution as an asymptote. As stated in [12], beyond this point, a Hopf bifurcation occurs at , and with the small increase in the Reynolds number, more Hopf bifurcations emerge, and the number of unstable eigenvalues increases rapidly.
A regularity result is obtained in [14] for 3D Kolmogorov flow with the classic forcing term and cubic domain. It is demonstrated that if the initial conditions for the problem with the diffusion coefficient satisfy
the solution does not transition away from the base state for some independent constant C.
In this study, we build upon the work conducted in [15], which is related to the generalization of the 3D Kolmogorov flow problem. The paper [15] is focused on the initial stage of laminar–turbulent transition in a domain of size and is dedicated to the investigation of emerging attractors. It is known that for such a domain size, laminar–turbulent transition undergoes classical supercritical and subcritical scenarios of bifurcations. In this paper, we are interested in investigating nonlinear stability loss when the main solution is linearly stable. A new forcing term is suggested that depends on both the y and z directions. This significantly increases the complexity of the analysis. A new linearization operator for the main solution linear stability analysis is derived, which improves the result of [15]. We use the same spectral method as in [15], but the right-hand side discrete operator is used as the input for the deflation method. The method is based on the ideas of [16], and a particular version from [17] is used for large-scale problems.
The specific innovations of this work can be summarized as follows: first, the linear stability analysis of generalized Kolmogorov 3D flow is conducted for the case when the base solution depends on both the y and z directions, which is new for this problem setup. It was found that the base solution is linearly stable for and . Second, the concept of stationary disconnected solutions is investigated for the problem, and their influence on the nonlinear transition to turbulence is analyzed.
It is well known [18] that nonlinear transition is triggered by the most dangerous instabilities amplified by the nonlinearity of the Navier–Stokes equations, e.g., [19]. For the supercritical transition to turbulence, disconnected solutions were previously considered in [20,21,22]. The application of the deflation technique for bifurcation analysis in other fields of research was considered in [23,24].
The paper is organized as follows: first, in Section 2, we provide a general definition of the problem and present the main base solution, which corresponds to the base solution branch. Next, in Section 3, the analysis of the linear stability of the main solution is provided. We derive an analog of the Orr–Sommerfeld equation and build a neutral curve. Next, in Section 4, we introduce the numerical method, perform validation against the known results, and investigate the dynamics of the problem. For this purpose, we find distinct solutions using the method of deflation and then investigate the influence of these newly found solutions on the dynamics of chaotic behavior. The paper is finalized by the discussion and conclusion in Section 5.
2. Governing Equations
The problem is governed by the 3D non-stationary Navier–Stokes equations [25] on the periodic parametrized domain with coordinates :
where is a velocity vector function, p is the pressure scalar function, R is the Reynolds number (bifurcation parameter), is the stretching factor of the domain , and △ is the Laplace operator. The domain is stretched for , cubic for , and shrunk for in the x direction.
Notice that the Reynolds number can be introduced in many different ways, see [12,13]. For example, our inverse diffusion coefficient parameter R is related to the Reynolds number from [12] as follows:
In the following sections we use parameter R as the main bifurcation parameter. The analytical stationary solution of (1) can be easily found as follows:
where C is an arbitrary uniform constant distribution in . The system is subject to a set of discrete symmetries and continuous symmetry along the direction x of the force action.
3. Linear Stability Analysis of the Analytical Solution
The difficulty is that the forcing term and the solution (4) both depend substantially on two spatial components. Hence, the flow is not plane-parallel. The solution of Orr–Sommerfeld equations, in this case, poses substantial difficulty.
Let us introduce divergence-free infinitesimal perturbations to the analytical solution as follows: , . Plugging this into (1) and subtracting the original equations, one obtains linearized Navier–Stokes equations on the perturbed components:
By introducing derivative component notations as , one can have the following system in component form, taking into account the following (4):
Applying the Laplace operator to (7)–(9) and substituting (11) into the results will obtain the following:
from the first line (7) and
from two other lines (8) and (9).
The solution on perturbations can be expanded into a Fourier series in the x direction, and in t direction, an exponential approximation is valid. Then, the solution on perturbations is considered as follows:
where is a wave number in the x direction, and are the components of the vector-function , each depending only on the directions.
Let us reduce the Laplace operator in this section for convenience to the form , where from now on . Also, we notice that . The Equation (12) is rewritten as follows:
and (13) and (14) are rewritten as follows:
We call the full linear stability problem for the composite linear operator given by (16)–(18) and the reduced linear stability problem for the operator given by (17) and (18). We can formulate the following:
Proposition 1.
The linear stability of the full problem is determined by the linear stability of the reduced problem.
Proof.
First, let us rewrite the full problem in the block operator form , omitting , acting on the block functional vector :
and the reduced problem is as follows:
where and other operators are defined in (16)–(18) and depend on the base analytical solution . The linear operator A is a strictly negative definite self-adjoint biharmonic operator acting on variable u. Hence, the spectrum of A is pure real and negative for and any integer . Using the structure of the operator (19), the whole spectrum is defined as follows:
Since the spectrum of A is real and negative, the linear stability of the full problem is only governed by the linear stability of the reduced block problem. □
Using only Proposition 1 means only a reduced problem for the stability analysis can be considered. In order to formulate a reduced problem, we return to (8) and (9). Differentiating (8) w.r.t. z and (9) w.r.t. y and subtracting one from the other, we arrive at the following:
Substituting (15) for and into (21), one arrives at the following:
One can designate a 2D curl as . Then, the system (22) is transformed into the following:
The velocities can be obtained from the curl using a potential function , such that , . One obtains (this is the reduced Laplace operator). Using the smoothness of all functions, the fact that the mean flow is zero, and elliptic regularity, one can obtain ; hence, and . Substituting these values into (23), one obtains the following:
Defining and , Equation (24) can finally be recast in the generalized Orr–Sommerfeld equation:
The difficulty is that the analytical analysis of the system (25) is impossible due to the 2D screw symmetry of the operator. One peculiar result is that for , one obtains the following:
which shows that for any and for any complex valued function q, the flow is stable since the Laplace operator is negative definite. This is different from the known fact for the original 2D [2] and 3D [12] Kolmogorov flow problems.
Further analysis can only be carried out by numerical methods. In this case, the problem is transformed into the leading eigenvalue problem of finding eigenvalues with the largest real part. Such eigenvalues will control the linear stability of the problem, depending on the set of parameters. Discretization is based on a set of trigonometric polynomials; thus, the Fourier spectral method on can be applied as follows:
The system (25) is recast into the infinite dimensional linear operator L defined in (25), where and approximations, obtained by substituting (26) into (25). The stability condition is then formulated by solving the eigenvalue problem for L. The explicit form of the linear operator acting on some vector r is given as follows:
The problem is transformed into a finite-dimensional linear operator, which can be solved on a computer. The problem is solved with the aid of the ARPACK eigensolver, which finds six eigenvalues with the largest real part. A shift and invert preconditioner is used in order to accelerate the search for desired eigenvalues. A neutral curve for is found using the bisection algorithm with the tolerance . It is sufficient to use 26 harmonics in each direction to obtain a discretization-independent spectrum up to a tolerance of . The total system size is 1350 DOFs. The neutral curve is presented in Figure 1.
Figure 1.
Neutral curve for the generalized Kolmogorov flow problem for and . Numbers near gray curves correspond to different values of wavenumbers , and the red curve is the hull of all wavenumbers such that the base solution is linearly stable above it and linearly unstable below it (as indicated in the figure).
There are several important differences between the 3D Kolmogorov problem with classical forcing [12] and the considered one. In the original Kolmogorov problem, it is known that the most dangerous wavenumber is for any value of . However, this is not the case for this particular problem, as demonstrated by the provided neutral curve. Second, for the stretched domains such that , the most dangerous perturbations are the ones with the period of in the x direction; hence, the appropriate wavenumber should be applied. For , the most dangerous wavenumber is , and the stability of the solution is defined by this wavenumber. In addition, it was numerically verified that for large values of R, the base solution (4) is linearly stable, at least in . This suggests the existence of the nonlinear scenario of the transition to turbulence.
4. Numerical Simulation and Disconnected Solutions
4.1. Numerical Method
Now, we consider the numerical model that approximates the action of the Navier–Stokes equations in (1) and (2). We are interested in analyzing the nonlinear transition; hence, we only consider the case . The method is closely related to the method used in [15] but is formulated in terms of the curl in the nonlinear part. The discrete nonlinear system is derived by the pseudo-spectral method as follows:
where is the discrete Larey projector, L is a discrete diagonal Laplace operator, and the cross product in the nonlinear part is calculated using a pseudo-spectral approach with the rule dealiasing [26]. A reduced set of variables, removing spatial translation, is used; for more information, see [27]. For the temporal integration, we apply the 4th-order exponential Runge–Kutta method, which is exact in the diffusion operator, see [28]. The discretization of the problem for is performed with Fourier harmonics. Thus, the total number of DOFs for all variables is 25,362,432. The calculations are carried out using the MSU-270 supercomputer of Lomonosov Moscow State University.
In order to find distinct stationary solutions of the system , we apply the deflation method. For more information, see [17]. We only outline the differences from the aforementioned paper. The system in (28) is recast into the system in the following form:
where the deflation operator is given as follows:
where S is the set of all known solutions. , is the identity operator, and p and are tuning parameters. In our tests, we obtain the best results with and . The system (29) is solved using the Newton–Raphson method using globalization strategies. The preconditioning for the (29) is constructed using the Sherman–Morrison formula, and the original preconditioner is the Stokes preconditioner in the Fourier space. The continuation of solutions is performed using the pseudo-arclength continuation method.
4.2. Definitions
Assume that a finite segment of parameter values for R is provided on which bifurcation analysis is sought. Each bifurcation point and solution on each side of the segment of parameter values we call a node or a vertex. Continuation between vertices forms edges or lines. We use some representation of the vertices and edges in low dimensions as functions of the parameter value on the given segment; thus, we construct a bifurcation diagram. In this setup, a bifurcation diagram is a graph.
Let us introduce some definitions:
Definition 1.
Each isolated subgraph is called a solution branch.
Definition 2.
A subgraph that contains a vertex with the base solution is the main solution branch.
Definition 3.
A solution branch that does not contain an edge connecting it to the main solution branch is called a disconnected solution branch.
Definition 4.
Each solution on the disconnected solution branch is a disconnected solution.
4.3. Verification of the Numerical Method
The discrete system of Equation (28) was verified extensively in [15,27]. In addition, we verify the method by considering an edge state from the paper [12], where a 3D Kolmogorov problem with classic force is considered. An equilibrium (stationary solution) was found at (estimated by (3), see [12], p. 10, Figures 2 and 3), which is located in the vicinity of the main solution branch. We apply the process of finding disconnected solutions that are the closest to the main branch and trace the branch for some predefined value of the parameter. To achieve this goal, we penalize the deflation process in such a way that any solution different from the main solution by more than 5% in the norm is brought to infinity.
In Figure 2, we demonstrate the results. The saddle-node bifurcation is located at , which corresponds to by (3). It differs from the results of [12] by and can be explained by the refined resolution used in our research: vs. in [12]. The disconnected solution branch is located in the vicinity of the main solution branch and, in physical space, resembles the main branch, as represented in Figure 2. With this test, we confirm that our method is verified against the published results of [12]. We also found many other disconnected solution branches for this test problem, but the analysis of these branches and their influence on the transition to turbulence is beyond the scope of the paper.
Figure 2.
Verification of the bifurcation diagram of the base branch and disconnected branch that was found in [12] for the 3D Kolmogorov flow problem with classical forcing and visualization of the branches in physical space by the absolute velocities isosurfaces (blue color represents lower magnitude, red color represents greater magnitude). Red dots represent solutions that were found by the process of deflation, black dots represent continuation of the solution trajectories, and is the norm in the solution in physical space. The saddle-point bifurcation at forms a disconnected solution branch.
4.4. Results
We choose the segment of parameter values . In this segment, we shall analyze the structure of solutions using the numerical methods described above. The bifurcation diagram of all stationary solutions is provided in Figure 3. The main solution branch is represented by the line above, and since the main branch is linearly stable, no solutions bifurcate from it. This can be confirmed by the zoomed area in the vicinity of the main branch for . The secondary branch is approaching the main branch in the asymptote. Such behavior is confirmed by the continuation of at least up to . This situation is identical to the results in [12] and our verification in Figure 2.
Figure 3.
Bifurcation diagram of stationary solutions and visualization of the branches in physical space by the absolute velocities isosurfaces (blue color represents lower magnitude, red color represents greater magnitude). Red dots represent solutions that were found by the process of deflation, black dots represent continuation of the solution trajectories, and is the norm in the solution in physical space. Zoomed area near the maximum parameter value in the neighborhood of the main solution branch.
We observe multiple disconnected solution branches below the main branch in this representation norm. All these disconnected solutions are linearly unstable, having an unstable manifold dimension (estimated by the amount of unstable eigenvalues) varying from 5 for to 37 for . Since the main branch is linearly stable, we expect only a nonlinear transition to chaos. We use the definition of chaos and chaotic solutions from our previous work [29]. Under chaotic solutions, we understand solutions that do not belong to any regular attractor in the system (such as fixed points, stable, limited cycles, and stable, invariant tori). Under chaos, we understand the union of all chaotic solutions for a fixed parameter value.
For , we observed asymptotically stable behavior when, for any finite perturbation of initial conditions, the solution converges to the main branch represented by the analytical solution (4).
At , we observe a saddle point bifurcation (Figure 3) of the stationary, unstable disconnected branch. In the vicinity of this bifurcation, we can find a chaotic attractor. The amplitude of chaotic attractors in the appropriate norm is depicted in Figure 4, along with the bifurcation diagram of disconnected branches. By using the method suggested in [30], we can identify that the basin of attraction of this solution is related to the disconnected solution for this particular parameter value. We are able to find this chaotic solution by providing the disconnected solution found at (or its perturbation) as the initial condition. Any initial conditions starting from the neighborhood of the main solution converge to the main branch. The visualization of some stationary solutions on different branches for is presented in Figure 5 and solution animation in physical space for is provided in Supplementary Materials.
Figure 4.
Bifurcation diagram and visualization of chaotic attractors. Attractor trajectories are represented in same norm on the y axis and the value of the solution at the norm on the x axis. Vertical green segments represent the magnitude of the trajectories in norm and arrows represent the position of the illustration on the bifurcation diagram.
Figure 5.
Bifurcation diagram and visualization of solutions at some points for . Vertical green segments represent the magnitude of the trajectories in norm and arrows represent the position of the solution visualization on the bifurcation diagram.
Notice that the chaotic trajectory is located close to these disconnected stationary solutions in the phase space, which can be demonstrated by the minimal distance graph for all sections, presented in Figure 6. The graphs illustrate the distance,
for the given value of the parameter.
Figure 6.
Bifurcation diagram and visualization of the distance between disconnected branches and chaotic trajectory. The distance is measured in the Euclidean norm in the Fourier space by (30). Vertical green segments represent the magnitude of the trajectories in norm and arrows represent the position of the visualization on the bifurcation diagram.
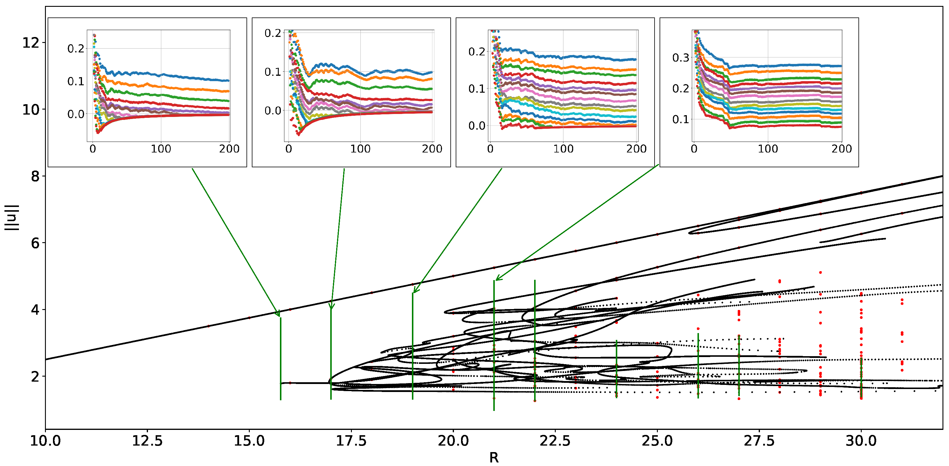
Fifteen leading Lyapunov exponents were calculated for chaotic regimes to indirectly indicate chaotic behavior, provided in Figure 7 and in Supplementary Materials for more details (in general, we believe that such an indication is prone to rounding errors and inaccuracy. See [29] for more details).
Figure 7.
Bifurcation diagram and visualization of fifteen leading Lupunov exponents for some solutions. If a graph is not provided, then there are more than fifteen positive leading exponents for . Vertical green segments represent the magnitude of the trajectories in norm and arrows represent the position of the illustration on the bifurcation diagram. Each subgraph displays evolution of leading Lyapunov exponents as a function of reorthogonalization iterations.
With the further increase in the parameter value, we observe the generation of multiple disconnected solutions with the sequential complication of the chaotic attractor. For , all chaotic trajectories are located further away from the main branch, which is confirmed by multiple disconnected stationary solutions emerging for larger parameter values (see Figure 8 and Figure 9). The basin of attraction of the main branch is now decreasing; any disconnected solution used as an initial condition results in chaotic behavior. So, the basin of attraction of the assumed chaotic attractor in Figure 8, Figure 9, Figure 10 and Figure 11 is approximately given by the maximum norm value of the disconnected branches.
Figure 8.
Bifurcation diagram and visualization of solutions at some points for . Vertical green segments represent the magnitude of the trajectories in norm and arrows represent the position of the solution visualization on the bifurcation diagram.
Figure 9.
Bifurcation diagram and visualization of solutions at some points for . Vertical green segments represent the magnitude of the trajectories in norm and arrows represent the position of the solution visualization on the bifurcation diagram.
Figure 10.
Bifurcation diagram and visualization of solutions at some points for . Vertical green segments represent the magnitude of the trajectories in norm and arrows represent the position of the solution visualization on the bifurcation diagram.
Figure 11.
Bifurcation diagram and visualization of solutions at some points for . Vertical green segments represent the magnitude of the trajectories in norm and arrows represent the position of the solution visualization on the bifurcation diagram.
For , a new disconnected branch is formed by the saddle-node bifurcation (). From this parameter value, the system becomes less stable in the nonlinear scene. While the main branch is linearly stable, finite perturbations can result in the transition of the trajectory to the chaotic regime. Chaotic solution animation in physical space for is provided in Supplementary Materials.
With the increase in the parameter value, the basin of attraction of the main branch decreases rapidly, and for , it is very tight. A good representation of the basin of attraction is visualized in the zoomed area in Figure 3, where on top there is the main linearly stable branch and below there is a disconnected branch formed by the saddle-node bifurcation at , which has a large unstable manifold (37 unstable eigenvalues). One can observe the visualization of these solutions, which resemble the main solution and are perturbations. Any initial conditions formed by these disconnected solutions cause rapid divergence from these solutions and lead to the chaotic attractor, which is located on the lower part of the bifurcation diagram (with smaller values of the solution norm).
5. Discussion and Conclusions
It is shown that UPOs are the “skeleton” of turbulent flow [5,8], at least for the 2D Kolmogorov flow problem. The same idea is used for 3D Kolmogorov flow in [13] but with less success. However, the question of how stationary disconnected solutions are related to the nonlinear transition to turbulence is not discussed.
To demonstrate this effect, we used the generalization of the 3D Kolmogorov flow problem with the force that generates the base solution depending on both the y and z directions. We used linear stability analysis to obtain the equation for the amplification of perturbations. We obtained an estimate that the main branch is linearly stable, at least at the parameter range of interest. On the contrary to the previously known results for 3D Kolmogorov flow with standard forcing [12], we demonstrated that for , we can obtain a linearly stable solution. Again, on the contrary of the known results, the most dangerous perturbation wavenumber in the x direction is no longer the first perturbation and depends on the value of the parameter. For , the most dangerous wavenumber increases and is the one which is the closest to the period of for .
The analysis of nonlinear dynamics w.r.t. stationary disconnected branches indicates that the dimension of the chaotic attractor increases starting from , which is confirmed by the eigenvalue analysis, as well as, indirectly, by the estimated Lyapunov exponents in Figure 7. However, the structure of stationary disconnected solutions is still visible in the chaotic regime, which can be confirmed by the minimum distance represented in Figure 6. It is interesting to analyze the same behavior of the trajectory w.r.t. the disconnected periodic orbits and relative periodic orbits. However, the method of finding disconnected periodic orbits is still under development for large-scale 3D problems with poorly conditioned linear operators. Another question to discuss is the influence of symmetries on the system. A possible consequence of this can be traced through the form of the obtained disconnected solutions in Figure 5, Figure 6, Figure 7, Figure 8, Figure 9, Figure 10 and Figure 11, where one can notice many symmetric solutions losing stability through symmetry perturbation. To exclude these solutions in numerical simulations, new methods should be constructed that would freeze not only continuous symmetries but discrete symmetries as well.
Another interesting topic is the possible homotopy of disconnected and chaotic solutions using the fractional differential operators in the original Navier–Stokes equations [31,32,33,34] and then using fractional part as the parameter in the homotopy. This approach may be considered fruitful, especially with the recent results in the existence and uniqueness of solutions to Cauchy-type problems for fractional differential equations [35].
In this paper, we considered a transition to chaos in the generalized Kolmogorov flow problem for 3D Navier–Stokes equations. It is shown that the base analytical solution is linearly stable for large values of parameter R for . Hence, the nonlinear scenario of transition to chaotic solutions (turbulence) is realized. We bring your attention to the fact that disconnected stationary branches can be viewed as destabilizing factors and triggers for the nonlinear transition to turbulence. Disconnected branches that are closely located to the main branch manifest themselves as the destabilizing mechanism and may be considered as candidates for the most dangerous perturbations of the main solution. Indeed, if we look at the solution physical portraits and norms in Figure 11, then we can see that the closest located branches of said solutions are the perturbations of the solutions on the main branch. The closer these solutions are to the main branch, the more nonlinearly unstable the main branch is.
Supplementary Materials
The following supporting information can be downloaded at: https://www.mdpi.com/article/10.3390/math12213389/s1.
Author Contributions
Conceptualization: N.M.E.; methodology: N.M.E.; software: N.M.E.; validation: N.M.E.; formal analysis: N.M.E.; investigation: N.M.E.; resources: N.M.E.; data curation: N.M.E., T.V.K. and O.I.R.; writing—original draft preparation: N.M.E.; writing—review and editing: N.M.E., N.A.M. and O.I.R.; visualization: N.M.E. and T.V.K.; supervision: N.M.E.; project administration: N.M.E.; funding acquisition: N.A.M., N.M.E., O.I.R. and T.V.K. All authors have read and agreed to the published version of the manuscript.
Funding
All research was supported by a grant from the Russian Science Foundation (RSF), number 23-21-00107. The calculations were carried out using the MSU-270 supercomputer of Lomonosov Moscow State University.
Data Availability Statement
Data are provided on demand, and discussed software is available at https://github.com/evstigneevnm/deflated_continuation (accessed on 29 September 2024). under a GPL-2.0 license.
Conflicts of Interest
The authors declare no conflicts of interest.
References
- Arnol’d, V.; Meshalkin, L.A.N. Kolmogorov’s Seminar on Selected Problems of Analysis (1958/1959). Uspekhi Mat. Nauk 1960, 15, 247–250. [Google Scholar]
- Meshalkin, L.; Sinai, I. Investigation of the stability of a stationary solution of a system of equations for the plane movement of an incompressible viscous liquid. J. Appl. Math. Mech. 1961, 25, 1700–1705. [Google Scholar] [CrossRef]
- Okamoto, H.; Shōji, M. Bifurcation diagrams in Kolmogorov’s problem of viscous incompressible fluid on 2-D flat tori. Jpn. J. Ind. Appl. Math. 1993, 10, 191–218. [Google Scholar] [CrossRef]
- Matsuda, M.; Miyatake, S. Bifurcation analysis of Kolmogorov flows. Tohoku Math. J. 2002, 54, 329–365. [Google Scholar] [CrossRef]
- Chandler, G.J.; Kerswell, R.R. Invariant recurrent solutions embedded in a turbulent two-dimensional Kolmogorov flow. J. Fluid Mech. 2013, 722, 554–595. [Google Scholar] [CrossRef]
- Kim, S.C.; Okamoto, H. Unimodal patterns appearing in the Kolmogorov flows at large Reynolds numbers. Nonlinearity 2015, 28, 3219–3242. [Google Scholar] [CrossRef]
- Tithof, J.; Suri, B.; Pallantla, R.K.; Grigoriev, R.O.; Schatz, M.F. Bifurcations in a quasi-two-dimensional Kolmogorov-like flow. J. Fluid Mech. 2017, 828, 837–866. [Google Scholar] [CrossRef]
- Lucas, D.; Kerswell, R. Spatiotemporal dynamics in two-dimensional Kolmogorov flow over large domains. J. Fluid Mech. 2014, 750, 518–554. [Google Scholar] [CrossRef]
- Borue, V.; Orszag, S.A. Numerical study of three-dimensional Kolmogorov flow at high Reynolds numbers. J. Fluid Mech. 1996, 306, 293–323. [Google Scholar] [CrossRef]
- Shebalin, J.V.; Woodruff, S.L. Kolmogorov flow in three dimensions. Phys. Fluids 1997, 9, 164–170. [Google Scholar] [CrossRef][Green Version]
- Rollin, B.; Dubief, Y.; Doering, C.R. Variations on Kolmogorov flow: Turbulent energy dissipation and mean flow profiles. J. Fluid Mech. 2011, 670, 204–213. [Google Scholar] [CrossRef]
- van Veen, L.; Goto, S. Sub critical transition to turbulence in three-dimensional Kolmogorov flow. Fluid Dyn. Res. 2016, 48, 061425. [Google Scholar] [CrossRef]
- Lucas, D.; Kerswell, R. Sustaining processes from recurrent flows in body-forced turbulence. J. Fluid Mech. 2017, 817, R3. [Google Scholar] [CrossRef]
- Li, T.; Wei, D.; Zhang, Z. Pseudospectral Bound and Transition Threshold for the 3D Kolmogorov Flow. Commun. Pure Appl. Math. 2019, 73, 465–557. [Google Scholar] [CrossRef]
- Evstigneev, N.; Magnitskii, N.; Ryabkov, O. Numerical Bifurcation Analysis in 3D Kolmogorov Flow Problem. J. Appl. Nonlinear Dyn. 2019, 8, 595–619. [Google Scholar] [CrossRef]
- Farrell, P.E.; Birkisson, Á.; Funke, S.W. Deflation Techniques for Finding Distinct Solutions of Nonlinear Partial Differential Equations. SIAM J. Sci. Comput. 2015, 37, A2026–A2045. [Google Scholar] [CrossRef]
- Evstigneev, N.M. On the Convergence Acceleration and Parallel Implementation of Continuation in Disconnected Bifurcation Diagrams for Large-Scale Problems. In Communications in Computer and Information Science; Springer International Publishing: Cham, Switzerland, 2019; pp. 122–138. [Google Scholar] [CrossRef]
- Manneville, P. Modeling the Direct Transition to Turbulence. In IUTAM Symposium on Laminar-Turbulent Transition and Finite Amplitude Solutions; Springer: Dordrecht, The Netherlands, 2005; pp. 1–33. [Google Scholar] [CrossRef]
- Cherubini, S.; De Palma, P. Nonlinear optimal perturbations in a Couette flow: Bursting and transition. J. Fluid Mech. 2013, 716, 251–279. [Google Scholar] [CrossRef]
- Evstigneev, N.M. Disconnected stationary solutions for 3D Kolmogorov flow problem: Preliminary results. J. Phys. Conf. Ser. 2021, 2090, 012046. [Google Scholar] [CrossRef]
- Boullé, N.; Dallas, V.; Farrell, P.E. Bifurcation analysis of two-dimensional Rayleigh-Bénard convection using deflation. Phys. Rev. E 2022, 105, 055106. [Google Scholar] [CrossRef]
- Evstigneev, N.M.; Magnitskii, N.A. Bifurcation Analysis Software and Chaotic Dynamics for Some Problems in Fluid Dynamics Laminar–Turbulent Transition. Mathematics 2023, 11, 3875. [Google Scholar] [CrossRef]
- Xia, J.; Farrell, P.E.; Castro, S.G. Nonlinear bifurcation analysis of stiffener profiles via deflation techniques. Thin-Walled Struct. 2020, 149, 106662. [Google Scholar] [CrossRef]
- Boullé, N.; Charalampidis, E.G.; Farrell, P.E.; Kevrekidis, P.G. Deflation-based identification of nonlinear excitations of the three-dimensional Gross-Pitaevskii equation. Phys. Rev. A 2020, 102, 053307. [Google Scholar] [CrossRef]
- Temam, R. Navier-Stokes Equations: Theory and Numerical Analysis; Elsevier Science: Amsterdam, The Netherlands, 1984. [Google Scholar]
- Gottlieb, D.; Orszag, S.A. Numerical Analysis of Spectral Methods: Theory and Applications; Society for Industrial and Applied Mathematics: Philadelphia, PA, USA, 1977. [Google Scholar] [CrossRef]
- Evstigneev, N.; Magnitskii, N. Nonlinear dynamics of laminar-turbulent transition in generalized 3D Kolmogorov problem for incompressible viscous fluid at symmetric solution subset. J. Appl. Nonlinear Dyn. 2017, 6, 345–353. [Google Scholar] [CrossRef]
- Cox, S.; Matthews, P. Exponential Time Differencing for Stiff Systems. J. Comput. Phys. 2002, 176, 430–455. [Google Scholar] [CrossRef]
- Magnitskii, N.A.; Sidorov, S.V. New Methods for Chaotic Dynamics; World Scientific: Singapore, 2006; Volume 58. [Google Scholar]
- Evstigneev, N.M. Disconnected stationary solutions for 2D Kolmogorov flow problem in periodic domain. J. Phys. Conf. Ser. 2021, 1730, 012078. [Google Scholar] [CrossRef]
- Dlotko, T. Navier–Stokes Equation and its Fractional Approximations. Appl. Math. Optim. 2016, 77, 99–128. [Google Scholar] [CrossRef]
- Elsayed, E.M.; Shah, R.; Nonlaopon, K. The Analysis of the Fractional-Order Navier-Stokes Equations by a Novel Approach. J. Funct. Spaces 2022, 2022, 8979447. [Google Scholar] [CrossRef]
- Mukhtar, S.; Shah, R.; Noor, S. The Numerical Investigation of a Fractional-Order Multi-Dimensional Model of Navier–Stokes Equation via Novel Techniques. Symmetry 2022, 14, 1102. [Google Scholar] [CrossRef]
- Gao, R.; Li, D.; Li, Y.; Yin, Y. An energy-stable variable-step L1 scheme for time-fractional Navier–Stokes equations. Phys. Nonlinear Phenom. 2024, 467, 134264. [Google Scholar] [CrossRef]
- Dong, B.; Fu, Z.; Xu, J. Riesz-Kolmogorov theorem in variable exponent Lebesgue spaces and its applications to Riemann-Liouville fractional differential equations. Sci. China Math. 2018, 61, 1807–1824. [Google Scholar] [CrossRef]
Disclaimer/Publisher’s Note: The statements, opinions and data contained in all publications are solely those of the individual author(s) and contributor(s) and not of MDPI and/or the editor(s). MDPI and/or the editor(s) disclaim responsibility for any injury to people or property resulting from any ideas, methods, instructions or products referred to in the content. |
© 2024 by the authors. Licensee MDPI, Basel, Switzerland. This article is an open access article distributed under the terms and conditions of the Creative Commons Attribution (CC BY) license (https://creativecommons.org/licenses/by/4.0/).










