Abstract
COVID-19 is an enveloped virus with a single-stranded genome. The surface of the virus contains spike proteins, which enable the virus to attach to host cells and enter the interior of the cells. After entering the cell, the virus exploits the host cell’s mechanisms for replication and dissemination. Since the end of 2019, COVID-19 has spread rapidly around the world, leading to a large-scale epidemic. In response to the COVID-19 pandemic, the global scientific community quickly launched vaccine research and development. Vaccination is regarded as a crucial strategy for controlling viral transmission and mitigating severe cases. In this paper, we propose a novel mathematical model for COVID-19 infection incorporating vaccine-induced immunization failure. As a cornerstone of infectious disease prevention measures, vaccination stands as the most effective and efficient strategy for curtailing disease transmission. Nevertheless, even with vaccination, the occurrence of vaccine immunization failure is not uncommon. This necessitates a comprehensive understanding and consideration of vaccine effectiveness in epidemiological models and public health strategies. In this paper, the basic regeneration number is calculated by the next generation matrix method, and the local and global asymptotic stability of disease-free equilibrium point and endemic equilibrium point are proven by methods such as the Routh–Hurwitz criterion and Lyapunov functions. Additionally, we conduct fractional-order numerical simulations to verify that order provides the best fit with COVID-19 data. This study sheds light on the roles of immunization failure and fractional-order control.
Keywords:
COVID-19; fractional Caputo derivative; vaccine immunization failure; basic regeneration number MSC:
92D30
1. Introduction
In the past few years, COVID-19 has had a great impact on personal life, work, and even the economic order. Research shows that COVID-19 is an acute infectious disease and that its pathogen is a novel coronavirus that has not been found in humans before, namely, 2019 novel coronavirus. COVID-19 can adapt to the host and mutate during replication. Patients typically exhibit symptoms such as fever, dry cough, and fatigue. Additionally, some individuals may experience nasal congestion, a runny nose, sore throat, reduction or loss of sense of smell and taste, conjunctivitis, muscle pain, and abdominal discomfort. In severe cases, patients may develop acute respiratory distress syndrome, severe toxic shock, or even succumb to death (see [1] and other references therein).
COVID-19 primarily spreads through direct, aerosol, and contact transmission. Direct transmission occurs when individuals inhale droplets emitted through sneezing, coughing, talking, or through close-range inhalation of exhaled gas. Aerosol transmission involves the formation of infectious aerosols when droplets mix in the air, leading to infection upon inhalation. Contact transmission occurs when droplets land on surfaces, contaminating hands and transferring the virus to mucous membranes such as the mouth, nose, and eyes, resulting in infection (see [2,3]).
The incubation period exists in the transmission process of COVID-19, when it generally has no symptoms but is still infectious. After the incubation period, it can develop into symptomatic infection or asymptomatic infection, both of which can become sources of infection.
In order to prevent COVID-19, China has taken a series of measures, such as reduction in going out, use of home offices and online classes, dividing medium- and high-risk areas, and taking isolation measures for the population flowing out of medium-to-high risk areas. Through publicity and education, individuals should pay attention to personal care, such as wearing masks when going out or in public, washing their hands frequently, and last but not least, getting vaccinated. On 1 January 2021, the first batch of COVID-19 vaccine in the Chinese Mainland was provided in Beijing, Shandong, and other places to key populations (see [4] and other references therein).
As of the end of 2022, vaccination has emerged as a critical strategy in the Chinese Mainland’s efforts to combat COVID-19, reflecting a shift in approach towards the pandemic. Under the current latest policy, the treatment of COVID-19 infected persons is also different; asymptomatic infected persons and mildly infected persons generally do not need to enter the hospital for treatment, while people with mild infection can take antiviral treatment such as Paxlovid at home if needed (see [5] and other references therein).
Although vaccination is an effective and important measure for epidemic prevention and control, the phenomenon of vaccine immunization failure is also common and cannot be ignored. Research shows that people who are vaccinated with COVID-19 vaccine may experience vaccination failure with the increase of time since vaccination.
Following the onset of the COVID-19 pandemic in late 2019, a large number of mathematical scholars at home and abroad have studied the dynamic behavior of COVID-19 through mathematical models (see [6,7,8,9]). In [10], the authors analyzed the stability of a class of integer-order COVID-19 mathematical models based on fundamental regeneration numbers. In [11], the authors introduced a category of integer-order SEIQR mathematical models considering isolation factors, and examined the stability of equilibrium points between disease absence and presence. Denu and Kermausuor [12] investigated a COVID-19 mathematical model with Caputo fractional differentials, focusing on the existence, uniqueness, and stability of model solutions regarding disease-free and endemic equilibrium points. Another study [13] presented an integer-order mathematical model for COVID-19 transmission considering vaccination and isolation delays, and calculated the basic reproduction number while demonstrating the global dynamics of the model.
In [14,15], the authors investigated the mathematical modeling of COVID-19 utilizing fractional Atangana–Balaeanu–Caputo derivatives. In [14], the nonlocal Atangana–Balaeanu fractional order method was employed to analyze the transmission dynamics of SARS-CoV-2, considering various stages of infection and transmission pathways. The model presented in [15] incorporated factors related to isolation and treatment. Specifically, the authors performed a theoretical analysis addressing boundedness, positivity, existence, and uniqueness within the system while evaluating both disease-free and endemic equilibria. Furthermore, they projected the trajectory of COVID-19 infections over a subsequent period of 200 days based on data collected from three regions (the Americas, Europe, and Southeast Asia) between 1 May 2021 and 31 July 2021.
It is worth mentioning that the application of fractional derivatives has gained significant prominence across various disciplines, including physics, engineering, finance, and biology. Fractional calculus offers a more precise representation of these systems compared to traditional integral calculus. Due to its intrinsic characteristics and nonlocal behavior, fractional differentiation effectively captures biological processes. Consequently, scholars are increasingly employing mathematical analysis and other facets of fractional calculus to investigate diverse models addressing various diseases and their manifestations, not only in the context of studying the COVID-19 pandemic but also in broader research endeavors (see [16,17,18]). Additional recent research papers on COVID-19 transmission dynamics include [19,20,21,22,23,24].
Considering the transmission mechanism of COVID-19, recent policies implemented in Chinese Mainland regarding COVID-19, and existing research on vaccination, in this paper we develop a mathematical model centered on vaccine immunization failure.
In this study, we introduce a mathematical model that incorporates vaccine-induced immune failure in the context of new COVID-19 infections. The basic reproduction number is determined using the next-generation matrix method, and we establish both local and global asymptotic stability for the disease-free equilibrium and endemic equilibrium through application of the Routh–Hurwitz criterion and Lyapunov functions. Furthermore, we perform fractional-order numerical simulations to validate the optimal fit for fractional-order COVID-19 data.
The novelty of this article lies in the fact that the model we consider includes fractional-order differential and vaccine immunization failure factors. Specifically, this article proposes a new fractional differential equation model by applying fractional derivatives to infectious disease models and incorporating the memory effect of COVID-19 transmission. This method overcomes the limitation of traditional integer-order models, which cannot capture the memory effect in the process of disease transmission, and provides a more accurate fit to actual epidemic data. In addition, this study innovatively introduces the factor of vaccine failure, further improving the complexity of the infectious disease model and reflecting the possible decline in immune levels after vaccination. This provides a new perspective for analyzing the long-term impact of vaccine failure on the spread of the epidemic.
The remainder of this paper is structured as follows. Section 2 provides essential preparatory knowledge and formulates the model. Section 3 computes the fundamental regeneration number and examines the stability of both disease-free and endemic equilibrium points. In Section 4, we conduct a numerical simulation of the fractional differential equation using MATLAB (version 9.13.0.2105380 (R2022b) Update 2) to explore the dynamics of COVID-19 in greater depth. To accomplish this, we employ the Adams–Bashforth–Moulton predictor–corrector method to solve this fractional nonlinear system. Finally, Section 5 concludes with a summary and discussion of the contributions made in this study.
2. Model Formulation
As previously noted, ref. [13] introduced a mathematical model for COVID-19 transmission, incorporating vaccination and isolation delays, as follows:
This system includes a total of six groups. Specifically, represents susceptible individuals, represents exposed individuals (infected but not infectious), represents asymptomatic infectious individuals, represents symptomatic infectious individuals, represents isolated individuals, and represents recovered individuals. At the time of publication, the epidemic prevention policy included quarantine; thus, isolated individuals were considered in the model. The vaccination rate is and the probability of the vaccine having an immune effect is . The isolation rates are for asymptomatic infected individuals and for symptomatic infected individuals. Additionally, isolation delays for asymptomatic () and symptomatic () infected individuals are accounted for.
With the rapid development of fractional-order differential equations, many mathematicians have attempted to carry out modeling using fractional-order differential equations. Fractals are abundant in biological systems, and share a close relationship with fractional differential equations. Research has shown that fractional-order equations can provide various possibilities where integer-order equations cannot be modeled. Fractional-order models are distinguished by their memory feature, which offers a notable divergence from integer-order models. Notably, the immune response inherently involves memory; hence, in this paper we introduce a fractional COVID-19 model integrating vaccine immunization failure.
Assuming that everyone undergoes an immune response after receiving the vaccine, that is, they will gain immunity after receiving the vaccine, individuals’ antibody levels may fluctuate with the progression of vaccination, potentially falling below or exceeding the protective threshold. Specifically, there could be instances where antibody levels decline below the protective threshold despite prior vaccination.
Accordingly, the population is categorized into six compartments: susceptible (S), exposed (E), asymptomatic infectious (A), symptomatic infectious (I), hospitalized (H), and removed (R). The removed category encompasses individuals with immunity post-vaccination or recovery from infection. Our COVID-19 model is formulated under these premises.
In the model, represents the birth rate of the susceptible population. The probability of vaccination for unvaccinated individuals is denoted by v. The fraction of vaccinated individuals who fail to develop immunity is , resulting in a proportion of vaccinated individuals acquiring immunity. The transmission rate is denoted by , with asymptomatic individuals transmitting the virus at a reduced rate provided by ; therefore, the incidence is represented as . After the incubation period of , a fraction of the population becomes asymptomatic, with p being symptomatic infectious individuals. The probability of symptomatic individuals requiring hospitalization is . The recovery rates for asymptomatic and symptomatic infected individuals as well as for hospitalized individuals are denoted by , , and , respectively. The natural mortality rate is d, while the mortality rates for infected individuals not admitted to the hospital and admitted to the hospital are and , respectively.
According to the above assumptions, the propagation process of COVID-19 studied in this paper is shown in Figure 1, and the mathematical model of COVID-19 discussed in this paper is shown in the following fractional differential equation:
where and represents the Caputo fractional derivative of order . Based on [25], the Caputo fractional derivative of order of a function is provided by
Figure 1.
Flowchart of COVID-19 transmission.
As can be seen from Figure 1 and system (1), the populations in H and R are not involved in the spread of COVID-19; thus, only the following systems need to be considered in the subsequent discussion:
For model (2), we consider a non-negative initial condition, namely
Lemma 1
([26]). Assume that the vector function satisfies the following conditions:
- (1)
- is Lebesgue measurable with respect to t on
- (2)
- is continuous with respect to on
- (3)
- is continuous with respect to on
- (4)
- for all and X, .
Then,
has a unique solution.
Combining [27,28], we have the following lemma.
Lemma 2.
If all eigenvalues of the Jacobian matrix corresponding to at the equilibrium satisfy , then the equilibrium of system (4) is locally asymptotically stable.
Lemma 3.
Proof.
Let , ,
and , then . Furthermore, System (2) with the initial conditions in (3) can be rewritten as follows:
where is Lebesgue measurable with respect to t on and continuously dependent on X on ; in addition, is also continuous with respect to X on , while satisfies Lipschitz continuity with respect to X for all . According to Lemma 1, the uniqueness of the solution of System (2) can be inferred.
Consider the vector field , where represents the transposition of the vector. In the coordinate system we have and , which means that the solution starts within and remains within . Similar evidence can be obtained in the , , and coordinate systems. Hence, the positivity of the solutions to System (2) can be established.
According to the first part of (2), it can be calculated that . Furthermore, it can be concluded that , where is the Mittag–Leffler function [29,30]; in other words, . From the sum of all equations of (2), we can obtain . Similarly, it can be concluded that when . Overall, it can be seen that the unique positive solution of (2) is uniformly bounded and that is positively invariant. □
3. Stability
The basic reproduction number of System (2) is computed using the next-generation matrix method [31,32], yielding the following result:
where denotes the spectral radius and F and V are shown as follows:
Thus, we can obtain
By direct calculation, we can obtain the following theorem.
Theorem 1.
Theorem 2.
If , then the disease-free equilibrium point is locally asymptotically stable.
Proof.
At the disease-free balance point , the corresponding characteristic equation of system (2) is
We can calculate this quartic equation about to obtain , while the other three roots can be determined by the following equation:
We claim that when , all roots of have negative real parts. In fact, this can be proved by contradiction. Assuming that at least one root of consists of a non-negative real part, that is, that there is a root such that and , then we can obtain
It follows that
which contradicts .
In conclusion, all roots of the characteristic equation have negative parts if ; that is, based on Lemma 2, we obtain the disease-free equilibrium is locally asymptotically stable. □
At the endemic equilibrium , the corresponding characteristic equation of System (2) is
where
It is evident that . If , then we can derive the sufficient conditions as and , ensuring the local asymptotic stability of the endemic equilibrium . Consequently, we obtain the following theorem.
Theorem 3.
The endemic equilibrium is locally asymptotically stable if , , , and .
Lemma 4
([33]). Let be a continuous and derivable function. Then, for any time instant ,
Theorem 4.
If , then the disease-free equilibrium is globally asymptotically stable.
Proof.
Define the following Lyapunov function:
From Lemma 4 along with the solution of the model in (2), the total derivative of is calculated as follows:
Note that if and only if , .
In conclusion, applying LaSalle’s invariance principle [34], the disease-free equilibrium is globally asymptotically stable when . □
Prior to constructing the Lyapunov function to establish global stability of the endemic equilibrium , we present the following lemma, which can be obtained analogously to Theorem 5 in [35] and Theorem in [36].
Lemma 5.
If , then for each there exists a constant such that
Theorem 5.
If , then the endemic equilibrium is globally asymptotically stable.
Proof.
Define the following Lyapunov function:
Along with the solution of the model in (2), the total derivative of is calculated as follows:
Notice that when , if and only if , , , .
In conclusion, applying LaSalle’s invariance principle [34], the endemic equilibrium is globally asymptotically stable when . □
4. Numerical Simulations
In this section, we perform numerical simulations of the fractional-order differential equation in (1), using MATLAB to delve deeper into the dynamics of COVID-19. To accomplish this, we employ the Adams–Bashforth–Moulton predictor–corrector method [37,38] to solve this fractional-order nonlinear system.
This study is based on data from the open dataset “Our World in Data” (https://ourworldindata.org/coronavirus, accessed on 24 May 2023). This paper analyzes COVID-19 confirmed case data from 24 January 2020 to 14 June 2020 to investigate the trend of the COVID-19 pandemic’s development in China. The initial conditions for the model are set as follows: , , , , , and . The vaccination rate for the complete COVID-19 vaccine regimen is [39], with approximately newborns per day and a natural mortality rate of [40]. Later stages of the pandemic witnessed multiple outbreaks, primarily caused by the Delta variant; genome sequencing revealed that the incubation period of this variant is approximately 2 to 4 days (referenced in [41]).
Considering that some parameter values of the model are unknown, we utilize the Least Squares Method (LSM) to fit the model to the actual data. The estimated values for the parameters , , , , , , , , , and are presented in Table 1. Figure 2 displays the actual data for new confirmed cases in China. The simulation results show a good fit with the actual data, validating the accuracy of the estimated parameters.
Table 1.
Parameter values for the model (1).
Figure 2.
Estimated parameters for the model (1).
Figure 3 presents a clear demonstration of how the fractional order distinctly impacts the dynamic behavior of each component. The system’s memory effect strengthens as decreases from 1, leading to a slower infection growth rate, and consequently a prolonged increase in the number of COVID-19 cases. Additionally, some members of society may delay virus testing due to insufficient understanding of the disease, leading to a delay in identifying infected individuals and consequently an increasing number of undiagnosed cases, rapidly exacerbating the spread of the epidemic and the increase in confirmed cases. On the other hand, individuals’ experience and knowledge of the disease may lead susceptible and exposed individuals to take different preventive measures to prevent the spread of infection, such as vaccination, treatment, and the use of protective equipment. These factors collectively contribute to slowing the rate of infection. In summary, based on the numerical results shown in Figure 3, the choice of fractional derivative order () plays a crucial role in preventing infection spread, treating infections, and delaying case identification.
Figure 3.
Dynamics of System (1) for different values of : , , , , and .
Figure 4 illustrates the presence of certain fractional-order attractors for different population groups. Consequently, the results in Figure 4 indicate that over time, each population category exhibits a tendency to exist and enter a permanent trend. Fractional-order derivative equations offer rich dynamic characteristics, providing a more accurate description of biological systems compared to traditional integer-order models. The fractional derivative order serves as a reflection of individuals’ past experiences or knowledge of the disease. Hence, the presence of the fractional derivative order () in our numerical results ensures greater logical consistency compared to other studies on COVID-19 epidemic modeling and integer-order derivative models.
Figure 4.
Numerical results indicating the existence of attractors for different values of .
Figure 5 employs the Mean Squared Error (MSE) as the model evaluation criterion to assess the fitting performance of different fractional-order derivatives with actual data on the COVID-19 pandemic in China. The evaluation results are summarized in Table 2. It can be observed that the rate of disease containment slows down as decreases, leading to a higher likelihood of outbreaks. Moreover, the fractional-order operator with of demonstrates superior fitting performance.
Figure 5.
Comparison of COVID-19 cases at different order levels with real data.
Table 2.
Results for different order levels using MSE.
From Figure 6, it can be clearly observed that at there are significant changes in the development of the epidemic. Over the next 15 days, the number of susceptible individuals rapidly decreases, indicating the effectiveness of vaccination and other control measures. Meanwhile, the number of individuals in the latent and asymptomatic infection periods begins to increase significantly, surpassing the number of symptomatic infections and isolated individuals. This phenomenon may suggest the presence of a large number of asymptomatic infections in the epidemic, exacerbating the spread of the virus; on the other hand, the number of isolated individuals fluctuates with the fluctuations in symptomatic infections, possibly because close contacts of symptomatic infections are also isolated after they are identified, leading to changes in the number of isolated individuals. Additionally, the number of recovered individuals experiences rapid growth in the next 10 days, followed by a gradual stabilization and decrease. This may indicate the investment of medical resources and improvements in treatment methods, allowing more patients to receive timely and effective treatment. However, the number of recovered individuals begins to decrease as time progresses, which may indicate that the epidemic is not fully under control and still presents challenges. Therefore, the cyclic nature of this epidemic requires careful attention and strengthened control measures to address potential resurgence.
Figure 6.
Different compartments with a fractional order of .
To determine the basic reproduction number and evaluate sensitivity indicators reflecting the significance of variables in influencing the model, we employed two methods. First, we utilized the Partial Rank Correlation Coefficient (PRCC) based on sampling and rank transformation to quantify the linearity of an individual variable’s effect concerning other variables. Additionally, we employed the Extended Fourier Amplitude Sensitivity Test (eFAST), which relies on variance decomposition, to measure the magnitude of effects of each variable and their interactions with other variables [42].
Figure 7 presents the results of the PRCC and eFAST sensitivity analyses for . PRCC allows the correlations between input and output variables to be examined. As depicted in Figure 7a, the parameters , , and exhibit a significant positive influence on , while the parameters , v, and have a notable negative impact on . In Figure 7b, we can observe both the individual effects of parameters on the basic reproduction number and their cumulative effects with interactions. Notably, parameter d exerts a substantial influence on .
Figure 7.
(a) PRCC for and (b) eFAST for .
The first plot in Figure 8 illustrates the impact of the daily new susceptible population () and the transmission rate () on the basic reproduction number (). For a fixed value of , a higher transmission rate leads to a higher .
Figure 8.
Impact of different factors on the reproduction number.
Choosing , we can explain some specific cases in detail:
- When the transmission rate reaches , , this indicates the disappearance of the virus.
- When the transmission rate reaches , , it implying that an infected individual can infect an average of more than one person during their infectious period, leading to an outbreak.
For a fixed transmission rate of , neglecting the addition of new susceptible individuals is more likely to result in an value below 1. From a biological standpoint, in this scenario the average infected individual is unable to transmit the virus to susceptible individuals, resulting in the extinction of the epidemic. However, when the daily influx of individuals in the new susceptible population surpasses , the basic reproduction number is , signifying an uncontained outbreak.
The second plot in Figure 8 displays the impact of the transmission rate from asymptomatic to symptomatic () and the proportion of acquired immunity through vaccination () on the basic reproduction number (). On the one hand, for a fixed value of , a higher transmission rate leads to a higher basic reproduction number . On the other, for a fixed value of , a higher proportion of acquired immunity through vaccination is more likely to result in a smaller . From a biological perspective, as the proportion of acquired immunity through vaccination increases, the virus becomes less likely to spread to susceptible individuals, leading to the extinction of the epidemic.
The third plot in Figure 8 illustrate the impact of the vaccine administration probability (v) and the transmission rate () on the basic reproduction number (). On one hand, for a fixed value of v, a higher recovery rate leads to a lower basic reproduction number . On the other hand, for a fixed value of , a higher vaccine administration probability is more likely to result in a smaller . From a biological perspective, as the vaccine administration probability increases, the virus becomes less likely to spread to susceptible individuals, gradually leading to the disappearance of the epidemic.
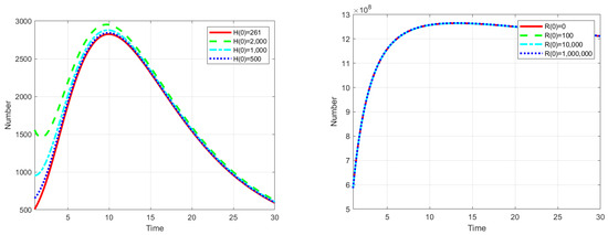
Figure 9 illustrates sensitivity simulation results for different initial values of the compartments. From the figure, it can be observed that when the initial value of susceptible individuals is small, the rate of decrease is slower. Conversely, higher initial values for the latent period, symptomatic infections, and asymptomatic infections result in increased growth of individuals in subsequent compartments. As time progresses, the initial value of isolated individuals is influenced for a period, but eventually stabilizes at a similar level. Importantly, the number of recovered individuals remains unaffected by initial conditions, indicating that the recovery process is not strongly correlated with the initial conditions.

Figure 9.
Simulation results for different numbers of initial cases in different compartments.
5. Conclusions
This study presents a fractional-order mathematical model considering vaccine immunization failure in the spread of COVID-19. We conducted an in-depth analysis of the model’s dynamics and stability, finding the basic reproduction number to be crucial in understanding epidemic behavior. We employed the Adams–Bashforth–Moulton method to handle fractional-order nonlinear systems and fitted the model using data on COVID-19 confirmed cases in China between 24 January and 14 June 2020. The initial conditions and parameters of the model were determined using the Least Squares Method (LSM), and the sensitivity of was evaluated using the Partial Rank Correlation Coefficient (PRCC) and the Extended Fourier Amplitude Sensitivity Test (eFAST). The model achieved the best fit with the actual data at , with variations in this parameter significantly influencing disease spread within the community. Our fractional-order model reveals novel patterns that contribute to better understanding and control of COVID-19 transmission.
With the widespread application of fractional calculus, increasingly complex differential equations are being abstracted from practical problems, each with distinct nonlinear terms. Therefore, future research should not be limited to the continuity or compactness conditions of operators, and should continue to delve into various types of nonlinear operator fixed-point theorems, including those concerning “sum-type” nonlinear operators with different concavities on sets, in order to address the existence and uniqueness of solutions for more complex differential equations.
This paper theoretically examines the properties of solutions for a class of fractional differential systems where the nonlinear terms are abstract, providing a solid theoretical foundation for solving specific fractional biological models. Further exploration of the applications of these abstract theorems in concrete fractional biological models is necessary. In fact, the global nature of infectious disease transmission often spans different regions, making it essential to study reaction–diffusion infectious disease models in different spaces and to construct corresponding fractional infectious disease models.
On the other hand, existing fractional infectious disease models are mostly based on fixed fractional orders. In reality, however, environmental differences among different state variables can cause the fractional order to become a variable related to time or space. Therefore, studying variational fractional infectious disease models has greater generality and wider applicability. Furthermore, future research could integrate the ongoing impact of environmental noise on model parameters and the global characteristics of disease transmission to establish corresponding fractional stochastic differential equation models. As the qualitative theory of fractional stochastic differential equations remains incomplete, further investigation into stability analysis and other qualitative analysis methods is needed.
Author Contributions
Conceptualization, Y.Q.; methodology, Y.Q. and D.P.; formal analysis, Y.D.; writing—original draft, Y.Q.; writing—review and editing, B.W. and T.L. All authors have read and agreed to the published version of the manuscript.
Funding
This work was supported by the National Natural Science Foundation of China (Grant Nos.: 12172166, 11872201, 12301185, 12326312) and the Natural Science Foundation of the Jiangsu Higher Education Institutions of China (Grant No.: 22KJB110013). Tao Lu is supported by the Qinglan Project of Jiangsu Province.
Data Availability Statement
No new data were created or analyzed in this study.
Acknowledgments
The authors would like to thank all referees of this paper for their careful reading and helpful suggestions.
Conflicts of Interest
The authors declare no conflicts of interest.
References
- Chatterjee, A.N.; Ahmad, B. A fractional-order differential equation model of COVID-19 infection of epithelial cells. Chaos Solitons Fractals 2021, 147, 110952. [Google Scholar] [CrossRef] [PubMed]
- Khan, H.; Ahmad, F.; Tunç, O.; Idress, M. On fractal-fractional COVID-19 mathematical model. Chaos Solitons Fractals 2022, 157, 111937. [Google Scholar] [CrossRef] [PubMed]
- World Health Organization. Available online: https://www.who.int/emergencies/disease-outbreak-news/item/2020-DON233 (accessed on 2 October 2022).
- Deng, Z.; Grépin, K.A. Achilles’ heel: Elderly COVID-19 vaccination policy in China. Health Res. Policy Syst. 2024, 22, 90. [Google Scholar] [CrossRef] [PubMed]
- Zheng, L.; Liu, S.; Lu, F. Impact of National Omicron Outbreak at the end of 2022 on the future outlook of COVID-19 in China. Emerg. Microbes Infec. 2023, 12, 2191738. [Google Scholar] [CrossRef]
- Khan, M.; Atangana, A. Modeling the dynamics of novel coronavirus (2019-nCov) with fractional derivative. Alex. Eng. J. 2020, 59, 2379–2389. [Google Scholar] [CrossRef]
- Lauer, S.; Grantz, K.; Bi, Q.; Jones, F.; Zheng, Q.; Meredith, H.; Azman, A.; Reich, N.G.; Lessler, J. The incubation period of coronavirus disease 2019 (COVID-19) from publicly reported confirmed cases: Estimation and application. Ann. Intern. Med. 2020, 172, 577–582. [Google Scholar] [CrossRef]
- Tang, B.; Xia, F.; Tang, S.; Bragazzi, N.; Li, Q.; Sun, X.; Liang, J.; Xiao, Y.; Wu, J. The effectiveness of quarantine and isolation determine the trend of the COVID-19 epidemics in the final phase of the current outbreak in China. Int. J. Infect. Dis. 2020, 95, 288–293. [Google Scholar] [CrossRef]
- Yin, M.; Zhu, Q.; Lü, X. Parameter estimation of the incubation period of COVID-19 based on the doubly interval-censored data model. Nonlinear Dyn. 2021, 106, 1347–1358. [Google Scholar] [CrossRef]
- Araz, S. Analysis of a COVID-19 model: Optimal control, stability and simulations. Alex. Eng. J. 2021, 60, 647–658. [Google Scholar] [CrossRef]
- Hussain, T.; Ozair, M.; Ali, F.; Rehman, S.; Assiri, T.; Mahmoud, E. Sensitivity analysis and optimal control of COVID-19 dynamics based on SEIQR model. Results Phys. 2021, 22, 103956. [Google Scholar] [CrossRef]
- Denu, D.; Kermausuor, S. Analysis of a fractional-order COVID-19 epidemic model with lockdown. Vaccines 2022, 10, 1773. [Google Scholar] [CrossRef] [PubMed]
- Song, H.; Wang, R.; Liu, S.; Jin, Z.; He, D. Global stability and optimal control for a COVID-19 model with vaccination and isolation delays. Results Phys. 2022, 42, 106011. [Google Scholar] [CrossRef] [PubMed]
- Chu, Y.; Zarin, R.; Khan, A.; Murtaza, S. A vigorous study of fractional order mathematical model for SARS-CoV-2 epidemic with Mittag-Leffler kernel. Alex. Eng. J. 2023, 71, 565–579. [Google Scholar] [CrossRef]
- Ahmad, Z.; El-Kafrawy, S.A.; Alandijany, T.A.; Giannino, F.; Mirza, A.A.; El-Daly, M.M.; Faizo, A.A.; Bajrai, L.H.; Kamal, M.A.; Azhar, E.I. A global report on the dynamics of COVID-19 with quarantine and hospitalization: A fractional order model with non-local kernel. Comput. Biol. Chem. 2022, 98, 107645. [Google Scholar] [CrossRef]
- Eiman; Shah, K.; Sarwar, M.; Abdeljawad, T. On mathematical model of infectious disease by using fractals fractional analysis. Discret. Contin. Dyn. Syst.-S 2024, 17, 3064–3085. [Google Scholar] [CrossRef]
- Alyobi, S.; Jan, R. Qualitative and quantitative analysis of fractional dynamics of infectious diseases with control measures. Fractal Fract. 2023, 7, 400. [Google Scholar] [CrossRef]
- Ahmad, Z.; Bonanomi, G.; Serafino, D.; Giannino, F. Transmission dynamics and sensitivity analysis of pine wilt disease with asymptomatic carriers via fractal-fractional differential operator of Mittag-Leffler kernel. Appl. Numer. Math. 2023, 185, 446–465. [Google Scholar] [CrossRef]
- Lu, H.; Giannino, F.; Tartakovsky, D.M. Parsimonious models of in-host viral dynamics and immune response. Appl. Math. Lett. 2023, 145, 108781. [Google Scholar] [CrossRef]
- Ali, M.; Shah, S.; Imran, M.; Khan, A. The role of asymptomatic class, quarantine and isolation in the transmission of COVID-19. J. Biol. Dyn. 2020, 14, 389–408. [Google Scholar] [CrossRef]
- Atangana, A. Modeling the spread of COVID-19 with new fractal-fractional operators: Can the lockdown save mankind before vaccination? Chaos Solitons Fractals 2020, 136, 109860. [Google Scholar] [CrossRef]
- Babaei, A.; Ahmadi, M.; Jafari, H.; Liya, A. A mathematical model to examine the effect of quarantine on the spread of coronavirus. Chaos Solitons Fractals 2021, 142, 110418. [Google Scholar] [CrossRef] [PubMed]
- Qiu, M.; Hu, T.; Cui, H. Parametric estimation for the incubation period distribution of COVID-19 under doubly interval censoring. Acta Math. Appl. Sin. 2020, 43, 200–210. [Google Scholar]
- Tregoning, J.; Flight, K.; Higham, S.; Wang, Z.; Pierce, B. Progress of the COVID-19 vaccines effort: Viruses, vaccines and variants versus efficacy, effevtiveness and escape. Nat. Rev. Immunol. 2021, 21, 626–636. [Google Scholar] [CrossRef] [PubMed]
- Kilbas, A.; Srivastava, H.; Trujillo, J. Theory and Applications of Fractional Differential Equations; Elsevier: Amsterdam, The Netherlands, 2006. [Google Scholar]
- Diethelm, K.; Ford, N. Analysis of fractional differential equation. J. Math. Anal. Appl. 2002, 265, 229–248. [Google Scholar] [CrossRef]
- Ahmed, E.; El-Sayed, A.M.A.; El-Saka, H.A.A. Equilibrium points, Stability and numerical solutions of fractional-order predator-prey and rabies models. J. Math. Anal. Appl. 2007, 325, 542–553. [Google Scholar] [CrossRef]
- Li, C.; Ma, Y. Fractional dynamical system and its linearization theorem. Nonlinear Dyn. 2013, 71, 621–633. [Google Scholar] [CrossRef]
- Li, Y.; Chen, Y.; Podlubny, I. Mittag–Leffler stability of fractional order nonlinear dynamic systems. Automatica 2009, 45, 1965–1969. [Google Scholar] [CrossRef]
- Li, Y.; Chen, Y.; Podlubny, I. Stability of fractional-order nonlinear dynamic systems: Lyapunov direct method and generalized Mittag-Leffler stability. Comput. Math. Appl. 2010, 59, 1810–1821. [Google Scholar] [CrossRef]
- van den Driessche, P.; Watmough, J. Reproduction numbers and sub-threshold endemic equilibrium for compartmental models of disease transmission. Math. Biosci. 2002, 180, 29–48. [Google Scholar] [CrossRef]
- Xu, C.; Yu, Y.; Ren, G.; Sun, Y.; Si, X. Stability analysis and optimal control of a fractional-order generalized SEIR model for the COVID-19 pandemic. Appl. Math. Comput. 2023, 457, 128210. [Google Scholar] [CrossRef]
- Vargas-De-León, C. Volterra-type Lyapunov functions for fractional-order epidemic. Commun. Nonlinear Sci. Numer. Simulat. 2015, 24, 75–85. [Google Scholar] [CrossRef]
- LaSalle, J.P. The Stability of Dynamical Systems; Regional Conference Series in Applied Mathematics; SIAM: Philadelphia, PA, USA, 1976. [Google Scholar]
- Liu, S.; Zhang, R. On an age-structured Hepatitis B Virus infection model with HBV DNA-Containing capsids. Bull. Malays. Math. Sci. Soc. 2021, 44, 1345–1370. [Google Scholar] [CrossRef]
- Xu, J. Dynamic analysis of a cytokine-enhanced viral infection model with infection age. Math. Biosci. Eng. 2023, 20, 8666–8684. [Google Scholar] [CrossRef] [PubMed]
- Diethelm, K.; Ford, N.J.; Freed, A.D. A predictor-corrector approach for thenumerical solution of fractional differential equations. Nonlinear Dyn. 2002, 29, 3–22. [Google Scholar] [CrossRef]
- Garrappa, R. On linear stability of predictor-corrector algorithms for fractionaldifferential equations. Int. J. Comput. Math. 2010, 87, 2281–2290. [Google Scholar] [CrossRef]
- Central Government of the People’s Republic of China. Available online: https://www.gov.cn/xinwen/2022-03/26/content_5681691.htm (accessed on 24 May 2023).
- National Bureau of Statistics of China. Available online: http://www.stats.gov.cn/xxgk/jd/sjjd2020/202301/t20230118_1892285.html (accessed on 24 May 2023).
- China News. Available online: https://news.cctv.com/2022/07/08/ARTIn14Q2LioFCMUrnpLglVJ220708.shtml (accessed on 24 May 2023).
- Marino, S.; Hogue, I.B.; Ray, J.C.J.; Kirschner, D.E. A methodology for performing global uncertainty and sensitivity analysis in systems biology. J. Theoret. Biol. 2008, 254, 178–196. [Google Scholar] [CrossRef]
Disclaimer/Publisher’s Note: The statements, opinions and data contained in all publications are solely those of the individual author(s) and contributor(s) and not of MDPI and/or the editor(s). MDPI and/or the editor(s) disclaim responsibility for any injury to people or property resulting from any ideas, methods, instructions or products referred to in the content. |
© 2024 by the authors. Licensee MDPI, Basel, Switzerland. This article is an open access article distributed under the terms and conditions of the Creative Commons Attribution (CC BY) license (https://creativecommons.org/licenses/by/4.0/).