Next Article in Journal
The General Extended Adjacency Eigenvalues of Chain Graphs
Previous Article in Journal
Hypothesis Test to Compare Two Paired Binomial Proportions: Assessment of 24 Methods
 
 
Font Type:
Arial Georgia Verdana
Font Size:
Aa Aa Aa
Line Spacing:
Column Width:
Background:
Article

Tilting Quivers for Hereditary Algebras

School of Science, Shandong Jianzhu University, Jinan 250101, China
Mathematics 2024, 12(2), 191; https://doi.org/10.3390/math12020191
Submission received: 11 December 2023 / Revised: 4 January 2024 / Accepted: 4 January 2024 / Published: 6 January 2024
(This article belongs to the Section A: Algebra and Logic)

Abstract

Let A be a finite dimensional hereditary algebra over an algebraically closed field k. In this paper, we study the tilting quiver of A from the viewpoint of τ -tilting theory. First, we prove that there exists an isomorphism between the support τ -tilting quiver Q(s τ -tilt A) of A and the tilting quiver Q(tilt A ¯ ) of the duplicated algebra A ¯ . Then, we give a new method to calculate the number of arrows in the tilting quiver Q(tilt A) when A is representation-finite. Finally, we study the conjecture given by Happel and Unger, which claims that each connected component of Q(tilt A) contains only finitely many non-saturated vertices. We provide an example to show that this conjecture does not hold for some algebras whose quivers are wild with at least four vertices.

1. Introduction

Throughout this paper, all algebras are finite dimensional algebras over an algebraically closed field k and all modules are finitely generated left modules. For an algebra A, we denote by A-mod the category of A-modules and by proj A the category of projective A-modules. For an A-module M, pd M stands for the projective dimension of M and | M | stands for the number of pairwise non-isomorphic indecomposable direct summands of M. The subcategory add M consists of direct summands of finite direct sums of M. We denote by τ A the Auslander–Reiten translation of A and by D the standard duality functor Hom k ( , k ) .
Tilting theory is an essential tool in representation theory of finite dimensional algebras. It usually deals with the problem of comparing a fixed module category with the category of modules over the endomorphism algebra of a tilting module. These two categories are closely related by tilting functors constructed from the tilting module. Thus, tilting modules play an important role in tilting theory. Recall that an A-module T is called a tilting module if the following three conditions are satisfied:
(1)
pd T 1 ,
(2)
Ext A 1 ( T , T ) = 0 ,
(3)
there exists an exact sequence 0 A T 0 T 1 0 with T 0 , T 1 add T .
For example, the regular module A is a tilting module and we always have | T | = | A | for any tilting A-module T. An A-module M satisfying the above conditions (1) and (2) is called a partial tilting module and if, moreover, | M | = | A | 1 , then M is called an almost complete tilting module. An indecomposable A-module X such that M X is a tilting A-module is called a complement to the almost complete tilting module M. It is well-known that any almost complete tilting module has either one or two complements, and it has two non-isomorphic complements if and only if it is faithful; see [1] for details.
Let tilt A be the set of isomorphism classes of basic tilting A-modules. The tilting quiver Q(tilt A) of A introduced by Riedtmann and Schofield in [2] shows the relations between tilting modules with an almost complete tilting module as common direct summands. The vertices of Q(tilt A) are elements of tilt A. For two basic tilting A-modules T 1 and T 2 , there is an arrow T 1 T 2 if T 1 = X 1 M , T 2 = X 2 M with X 1 , X 2 indecomposable and there exists a non-split short exact sequence 0 X 1 M X 2 0 with M add M . The tilting modules T 1 and T 2 are said to be mutations of each other. The basic idea of mutation is to replace an indecomposable direct summand of a tilting module to obtain a new tilting module. However, mutations of tilting modules are not always possible, since any non-faithful almost complete tilting module has only one complement.
Recently, Adachi, Iyama and Reiten introduced τ -tilting theory in [3], which completes the classical tilting theory from the viewpoint of mutation. Instead of tilting modules, they considered a larger class of modules called support τ -tilting modules whose mutations are always possible. Support τ -tilting modules are a generalisation of tilting modules. They are closely related to functorially finite torsion classes, two-term silting complexes and cluster tilting objects; see [3] for details. In particular, the support τ -tilting quiver Q(s τ -tilt A) of A is defined by mutations of support τ -tilting modules and each vertex in such a quiver has exactly | A | neighbours. Since the tilting quiver Q(tilt A) can be embedded into Q(s τ -tilt A), we study the tilting quiver from the viewpoint of τ -tilting theory.
Let A be a hereditary algebra and C A be the cluster category of A. An important property in C A is that any almost complete cluster tilting object has exactly two complements. In [4], the duplicated algebra A ¯ = A 0 D A A of A was considered as a perfect context to view cluster tilting objects in C A as tilting A ¯ -modules. There exists a one-to-one correspondence between tilting A ¯ -modules and cluster tilting objects in C A ; see [4,5] for details. Moreover, a connection between cluster tilting objects in C A and support τ -tilting modules over cluster tilted algebras was established in [3]. In this paper, we relate tilting A ¯ -modules to support τ -tilting A-modules and prove the following result.
Theorem 1.
Let A be a hereditary algebra. Then there exists an isomorphism between the support τ-tilting quiver Q ( sτ-tilt  A ) of A and the tilting quiver Q (tilt  A ¯ ) of A ¯ .
In fact, the support τ -tilting modules over a hereditary algebra are exactly the support tilting modules whose numbers were calculated in [6]. Thus, Theorem 1 gives the number of tilting A ¯ -modules when A is a hereditary algebra of Dynkin type.
Let A = k Q be a hereditary algebra where Q is a Dynkin quiver. It is well-known that the number of basic tilting A-modules is independent of the orientation of Q. This implies that the number of vertices in Q(tilt A) is a constant for all Dynkin quivers of the same type. Moreover, Kase proved in [7] that the number of arrows in Q(tilt A) is also a constant. Considering Q(tilt A) as a subquiver of Q(s τ -tilt A), we give a new method to calculate the number of these arrows. The following result was included in [7] and we provide a new proof for it.
Theorem 2.
Let A = k Q be a hereditary algebra where Q is a Dynkin quiver. Then the number of arrows in Q ( tilt  A ) does not depend on the orientation of Q.
Let T be a basic tilting A-module. If the number of arrows starting or ending at T in Q(tilt A) is less than | A | , then T is said to be non-saturated. It follows from [8], Theorem 3.5, that each connected component of Q(tilt A) contains a non-saturated vertex. Happel and Unger conjectured in [8] that each connected component of Q(tilt A) contains only finitely many non-saturated vertices. This conjecture is true for hereditary algebras of Dynkin and Euclidean type; see [9]. Moreover, it also holds for hereditary algebras of wild type whose quivers have two or three vertices; see [10]. We provide an example to show that the conjecture of Happel and Unger is not true for some wild quivers with at least four vertices.
Proposition  1.
Let A = k Q be a hereditary algebra with
Q : 1 2 3 n ( n 4 ) .
Then there exists a connected component of Q ( tilt  A ) that contains infinitely many non-saturated vertices.

2. Preliminaries

In this section, we recall some results about τ -tilting theory that are needed in our paper.
Definition 1
([3], Definition 0.1). Let A be an algebra.
(1) 
An A-module M is called τ-rigid if Hom A ( M , τ M ) = 0 .
(2) 
An A-module M is called τ-tilting (respectively, almost complete τ-tilting) if M is τ-rigid and | M | = | A | (respectively, | M | = | A | 1 ).
(3) 
An A-module M is called support τ-tilting if there exists an idempotent e in A such that M is a τ-tilting ( A / e ) -module.
Example 1.
Let A = k Q / β α be an algebra with Q : 1 α 2 β 3 . Then 1 2 1 3 is a τ-tilting module and 2 3 3 is a support τ-tilting module.
The following result shows the relation between tilting modules and τ -tilting modules.
Proposition  2
([11], Proposition 3.8). Let A be an algebra. Then an A-module M is tilting if and only if M is τ-tilting and pd M 1 .
Thus, τ -tilting modules are a generalisation of tilting modules. In particular, τ -tilting modules over a hereditary algebra coincide with tilting modules.
It is often convenient to view support τ -tilting modules as certain pairs of A-modules.
Definition 2
([3], Definition 0.3). Let ( M , P ) be a pair with M ∈ A-mod and P proj A .
(1) We call ( M , P ) a τ-rigid pair if M is τ-rigid and Hom A ( P , M ) = 0 .
(2) We call ( M , P ) a support τ-tilting pair (respectively, almost complete support τ-tilting pair) if ( M , P ) is a τ-rigid pair and | M | + | P | = | A | (respectively, | M | + | P | = | A | 1 ) .
These notions are compatible with those in Definition 1. In Example 1, ( 2 3 3 , 1 2 ) is a support τ -tilting pair and ( 2 3 , 1 2 ) is an almost complete support τ -tilting pair.
We say ( M , P ) is basic if both M and P are basic. If M and P are direct summands of M and P , respectively, we say ( M , P ) is a direct summand of ( M , P ) . One of the main results in [3] is the following.
Theorem 3
([3], Theorem 2.18). Let A be an algebra. Then any basic almost complete support τ-tilting pair ( U , Q ) for A is a direct summand of exactly two basic support τ-tilting pairs ( T , P ) and ( T , P ) for A.
In the above theorem, the support τ -tilting module T is called the left mutation of the support τ -tilting module T if Fac T Fac T . In Example 1, the almost complete support τ -tilting pair ( 2 3 , 1 2 ) is the direct summand of support τ -tilting pairs ( 2 3 3 , 1 2 ) and ( 2 3 2 , 1 2 ) . Moreover, the support τ -tilting module 2 3 2 is the left mutation of the support τ -tilting module 2 3 3 . The support τ -tilting quiver is defined by mutations of support τ -tilting modules.
Definition 3
([3], Definition 2.29). Let sτ-tilt A be the set of isomorphism classes of basic support τ-tilting A-modules. The support τ-tilting quiver Q(sτ-tilt A) of A is as follows.
(1) The set of vertices is sτ-tilt A.
(2) There is an arrow from T to T if T is a left mutation of T.
According to Theorem 3, the support τ -tilting quiver Q(s τ -tilt A) is an | A | -regular quiver, that is, each vertex in Q(s τ -tilt A) has exactly | A | neighbours. On the other hand, there is a partial order ≤ on the set s τ -tilt A given by T T if Fac T Fac T . It was proved in [3] that the Hasse quiver of the partially ordered set (s τ -tilt A, ) coincides with the support τ -tilting quiver Q(s τ -tilt A). It is a generalisation of the classical result in [12], which claims that the Hasse quiver of the partially ordered set (tilt A, ) is the tilting quiver Q(tilt A).
Definition 4.
An A-module T is called support tilting (respectively, almost complete support tilting) if T is a tilting ( A / e )-module (respectively, almost complete tilting ( A / e )-module) for some idempotent e of A.
For a hereditary algebra, it follows from Proposition 2 that the support τ -tilting modules are exactly the support tilting modules. Let A = k Q be a hereditary algebra where Q is a Dynkin quiver with n vertices. The number of support tilting A-modules was calculated in [6], which is independent of the orientation of Q. Denote by a s ( Q ) ( 0 s n ) the number of basic support tilting A-modules with s non-isomorphic indecomposable direct summands. Obviously, the number of basic tilting A-modules is a n ( Q ) . Let a ( Q ) be the number of basic support tilting A-modules. Then we have a ( Q ) = s = 0 n a s ( Q ) .
Theorem 4
([6], Theorem 1). Let A = k Q be a hereditary algebra where Q is a Dynkin quiver with n vertices. Then we have the following results where s t is the binomial coefficient.
Q A n D n E 6 E 7 E 8
a n ( Q ) 1 n + 1 2 n n 3 n 4 2 n 2 2 n 2 n 2 4182431 17,342
a n 1 ( Q ) 2 n + 1 2 n 1 n 1 3 n 4 2 n 3 2 n 3 n 1 22810014784
a ( Q ) 1 n + 2 2 n + 2 n + 1 3 n 2 2 n 1 2 n 1 n 1 833416025,080

3. Main Results

Throughout this section, let A = k Q be a hereditary algebra where Q is a finite and acyclic quiver. We investigate the tilting quiver Q(tilt A) and the support τ -tilting quiver Q(s τ -tilt A) of A.

3.1. Tilting Modules over the Duplicated Algebra A ¯

Let C be a Krull–Schmidt 2-Calabi–Yau triangulated category. An object T in C is called cluster tilting if add T = { X C | Hom C ( T , X [ 1 ] ) = 0 } , where [1] is the shift functor of C . The endomorphism algebra Λ = End C T is called the 2-Calabi–Yau tilted algebra of C whose module category is closely related to the triangulated category C . Let c-tilt C be the set of isomorphism classes of basic cluster tilting objects in C .
Theorem 5
([3], Theorem 4.1). There exists a bijection between the setc-tilt C and the set s τ -tilt Λ .
The bijection in Theorem 5 induces an isomorphism between the cluster tilting graph G(c-tilt C ) and the underlying graph of Q(s τ -tilt Λ ). Let C A be the cluster category of A. It is known that C A is a 2-Calabi–Yau triangulated category and A is a cluster tilting object in C A with End C A A A . Since the cluster tilting graph G(c-tilt C A ) is connected, so is the support τ -tilting quiver Q(s τ -tilt A) of A. However, the tilting quiver Q(tilt A) is not always connected.
Example 2.
Let A = k Q be the Kronecker algebra with Q : 1 2 . Then the support τ-tilting quiver Q ( s τ - tilt A ) is as follows.
222 11 22 1 22 1 2 2 0 1 1 2 11 2 11 22 111
Let A ¯ = A 0 D A A be the duplicated algebra of A. According to [4], Theorem 10, there exists a bijection between the tilting A ¯ -modules and cluster tilting objects in C A . Combining Theorem 5, we give the following relation between the tilting quiver Q(tilt A ¯ ) of A ¯ and the support τ -tilting quiver Q(s τ -tilt A) of A.
Theorem 6.
Let A be a hereditary algebra. Then there exists an isomorphism between the support τ-tilting quiver Q (sτ-tilt  A ) of A and the tilting quiver Q (tilt  A ¯ ) of A ¯ .
Proof. 
We set Σ1 = { Ω A ¯ 1 P | P as an indecomposable projective A-module}, where Ω A ¯ 1 P is the cosyzygy of P over A ¯ . Let P ¯ be the direct sum of all non-isomorphic indecomposable projective-injective A ¯ -modules. For a tilting A ¯ -module T, it follows from [4] that we have a decomposition T = T 1 T 2 P ¯ with T 1 A -mod and T 2 add Σ 1 . According to Theorem 5 and [4], Theorem 10, there exists a bijection between the set s τ -tilt A and the set tilt A ¯ , sending the support τ -tilting pair ( M , P ) to the tilting A ¯ -module M Ω A ¯ 1 P P ¯ . Then it suffices to prove that this bijection preserves the partial orders on s τ -tilt A and tilt A ¯ .
By [13], Lemma 15(2), the injective envelope of an A-module in A ¯ -mod is projective-injective. Then, for a support τ -tilting pair ( M , P ) , the A ¯ -module Ω A ¯ 1 P is generated by P ¯ and this implies Fac ( M Ω A ¯ 1 P P ¯ ) = Fac ( M P ¯ ) . It follows from [4], Lemma 2(b) that we can consider Ind A as a convex subcategory of Ind A ¯ that is closed under predecessors. Note that P ¯ is not in A-mod; there are no nonzero morphisms from P ¯ to M. Thus, for two support τ -tilting A-modules M 1 and M 2 , we have Fac M 1 Fac M 2 if and only if Fac ( M 1 P ¯ ) Fac ( M 2 P ¯ ) . As a result, the Hasse quiver of s τ -tilt A is isomorphic to the Hasse quiver of tlit A ¯ . This completes our proof. □
Example 3.
Let A = k Q be the Kronecker algebra with Q : 1 2 . Then the tilting quiver Q ( tilt A ¯ ) is isomorphic to the support τ-tilting quiver in Example 2.
Note that the support τ -tilting modules over a hereditary algebra coincide with the support tilting modules. We give the number of tilting A ¯ -modules when A is a hereditary algebra of Dynkin type.
Proposition  3.
Let A = k Q be a hereditary algebra where Q is a Dynkin quiver. Then the number of basic tilting A ¯ -modules, denoted by | tilt A ¯ |, is as follows.
| tilt A ¯ | = 1 n + 2 2 n + 2 n + 1 i f Q = A n 3 n 2 2 n 1 2 n 1 n 1 i f Q = D n 833 i f Q = E 6 4160 i f Q = E 7 25,080 i f Q = E 8
Proof. 
This result follows immediately from Theorem 4 and Theorem 6. □

3.2. The Number of Arrows in Tilting Quivers

Let A = k Q be a hereditary algebra where Q is a Dynkin quiver. The number of tilting A-modules was calculated in [14] via cluster algebras. It does not depend on the orientation of Q and the number of vertices in Q(tilt A) is a constant for Dynkin quivers of the same type. Moreover, Kase proved in [7] that the number of arrows in Q(tilt A) is also independent of the orientation of Q. Note that Q(tilt A) can be embedded into Q(s τ -tilt A), which is an | A | -regular quiver; we give a new method to calculate the number of arrows in Q(tilt A). Then we provide a new and straightforward proof for the following result.
Theorem 7
([7], Theorem 0.1). Let A = k Q be a hereditary algebra where Q is a Dynkin quiver with n vertices. Then the number of arrows in Q (tilt  A ), denoted by | Q ( tilt  A ) 1 | , does not depend on the orientation of Q. In particular, we have
| Q ( tilt A ) 1 | = 2 n 1 n + 1 i f Q = A n ( 3 n 4 ) 2 n 4 n 3 i f Q = D n 1140 i f Q = E 6 8008 i f Q = E 7 66,976 i f Q = E 8
Proof. 
We consider Q(tilt A) as a subquiver of Q(s τ -tilt A). By Theorem 3, each vertex in Q(s τ -tilt A) has exactly n neighbours. For a tilting A-module T, its neighbours in Q(s τ -tilt A) are either tilting modules T or support τ -tilting modules M with | M | = n 1 . Note that a support τ -tilting module M with | M | = n 1 is not sincere. As a non-sincere almost complete tilting module, it is connected with exactly one tilting module by an arrow in Q(s τ -tilt A). The number of such support τ -tilting modules is a n 1 ( Q ) . Thus, we have
| Q ( tilt A ) 1 | = 1 2 ( a n ( Q ) × n a n 1 ( Q ) ) .
The result follows from Theorem 4 by direct calculation. □
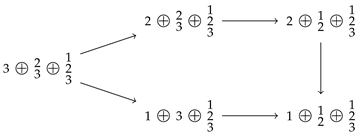
Example 4.
Let A = k Q be a hereditary algebra with Q : 1 2 3 . Then the tilting quiver Q (tilt A ) is as follows and it has five arrows.
Mathematics 12 00191 i001
Moreover, we calculate the number of arrows in Q (tilt  A ¯ ).
Proposition 4.
Let A = k Q be a hereditary algebra where Q is a Dynkin quiver with n vertices. Then the number of arrows in Q(tilt  A ¯ ), denoted by |Q(tilt  A ¯ )1| is as follows.
| Q ( tilt A ¯ ) 1 | = n 2 ( n + 2 ) 2 n + 2 n + 1 i f Q = A n n ( 3 n 2 ) 2 ( 2 n 1 ) 2 n 1 n 1 i f Q = D n 2499 i f Q = E 6 14 , 560 i f Q = E 7 100 , 320 i f Q = E 8
Proof. 
Since Q(sτ-tilt A) is an n-regular quiver, the number of arrows in Q(sτ-tilt A) is 1 2 ( a ( Q ) × n ) . According to Theorem 6, the number of arrows in Q(tilt  A ¯ ) is 1 2 ( a ( Q ) × n ) and the result follows from Theorem 4 by direct calculation. □
By Proposition 3 and Proposition 4, we obtain the numbers of vertices and arrows in the tilting quiver Q(tilt  A ¯ ) of the duplicated algebra A ¯ when A is a hereditary algebra of Dynkin type.

3.3. Non-Saturated Vertices in Tilting Quivers

Let A = k Q be a hereditary algebra where Q is a finite and acyclic quiver with n vertices. For a tilting A-module T, denote by s ( T ) (respectively, e ( T ) ) the number of arrows starting (respectively, ending) at T in Q (tilt A ). Note that each vertex in Q(sτ-tilt A) has n neighbours. Since Q (tilt A ) can be embedded into Q(sτ-tilt A), we have s ( T ) + e ( T ) n . A tilting A-module T is called saturated if s ( T ) + e ( T ) = n .
For an A-module X, we denote by dim X its dimension vector. The following result gives a sufficient and necessary condition for a tilting A-module to be saturated in Q (tilt A ).
Proposition 5
([8], Proposition 3.2). Let T be a basic tilting A-module. It is saturated if and only if ( dim T ) i 2 for all 1 i n .
Let i 0 be a source vertex in Q and A = i = 1 n P i with P i indecomposable. Then we have (dim i i 0 P i ) i 0 = 0 and so (dim A ) i 0 = 1 . It follows from Proposition 5 that A is not saturated. Thus, the tilting quiver Q (tilt A ) contains a non-saturated vertex. Happel and Unger in [8] gave the following result.
Theorem 8
([8], Theorem 3.5). Each connected component of Q ( tilt  A ) contains a non-saturated vertex.
Moreover, they continued to conjecture in [8] that each connected component of Q (tilt A ) contains only finitely many non-saturated vertices. This conjecture for Dynkin and Euclidean quivers was proved to be true by Wang and Zhang in [9].
Theorem 9
([9], Theorem 5.5). Let A = k Q be a hereditary algebra where Q is a Dynkin or Euclidean quiver. Then each connected component of Q ( tilt  A ) contains only finitely many non-saturated vertices.
For a wild quiver with two or three vertices, we collect some results in [10] to show the following.
Theorem 10
([10]). Let A = k Q be a hereditary algebra where Q is a wild quiver with two or three vertices. Then each connected component of Q ( tilt  A ) contains only finitely many non-saturated vertices.
Proof. 
If Q is a wild quiver with two vertices, it is of the form 2 Mathematics 12 00191 i002 1 with at least three arrows. By [15], XVIII, Corollary 2.16, there are no regular tilting A-modules. Then all tilting A-modules are either preprojective or preinjective. According to Section 2.2 in [16], the tilting quiver Q ( tilt A ) is of the form
Thus, Q ( tilt A ) has two connected components, both of which contain exactly one non-saturated vertex.
Now assume Q is a wild quiver with three vertices. Let T = T 1 T 2 T 3 be a tilting A-module with T i indecomposable for 1 i 3 . If T is a non-saturated vertex in Q (tilt A ), then there exists an arrow T ( T 1 T 2 , P ) in the support τ-tilting quiver Q (sτ- tilt A ) where P is an indecomposable projective A-module. Let e be the primitive idempotent of A corresponding to P. Then T 1 T 2 is a tilting ( A / e ) -module. Thus, each non-saturated tilting A-module contains a tilting ( A / e ) -module as a direct summand.
If A / e is representation-finite, there are only finitely many tilting A / e -modules. Then the number of non-saturated tilting A-modules containing tilting ( A / e ) -modules is finite.
If A / e is representation-infinite, the quiver of A / e is of the form Mathematics 12 00191 i003 with at least two arrows. According to [17], IX, Proposition 5.6, there are only finitely many non-sincere indecomposable preprojective and preinjective A-modules. Thus, all but finitely many tilting ( A / e ) -modules are regular A-modules. Thus, all but finitely many non-saturated tilting A-modules contain tilting ( A / e ) -modules that are regular A-modules as direct summands. Assume T 1 T 2 is a regular A-module. Let T T be a tilting A-tilting module in a connected component Γ of Q (tilt  A ) containing T. By [10], Theorem 4.3, T has at least two sincere direct summands. It follows from Proposition 5 that T is saturated. Thus, Γ contains only one non-saturated vertex T. □
We generalise [16], Example 3.2 to show that the conjecture of Happel and Unger does not hold for some wild quivers with at least four vertices.
Proposition 6.
Let A = k Q be a hereditary algebra with
Q : 1 2 3 n ( n 4 ) .
Then there exists a connected component of Q ( tilt  A ) that contains infinitely many non-saturated vertices.
Proof. 
Denote by I i (respectively, P i ) the indecomposable injective (respectively, projective) A-modules corresponding to the vertex i in Q. Let N be a tilting module over the Kronecker algebra B = k ( 1 2 ) without nonzero projective direct summands. We claim that τ A N I with I = j = 3 n I j is a tilting A-module. In fact, it follows from [3], Lemma 2.1(b) and [17], IV, Corollary 2.14(a) that
Hom A ( N , τ A N ) Hom B ( N , τ B N ) D Ext B 1 ( N , N ) = 0 .
According to [17], IV, Corollary 2.14(b), we have
Ext A 1 ( τ A N I , τ A N I ) D Hom A ( N , τ A N I ) D Hom A ( N , τ A N ) = 0 .
Thus, τ A N I is a tilting A-module.
Since Hom A ( P n , τ A N ) D Ext A 1 ( N , P n ) = 0 , we have ( dim τ A N ) n = 0 and then ( dim ( τ A N I ) ) n = 1 . This implies that τ A N I is non-saturated by Proposition 5. Denote by Q ( tilt I A ) the subquiver of Q ( tilt A ) with vertices T such that T contains I as a direct summand. Then Q (tilt I A ) is infinite, since there are infinitely many tilting B-modules. Note that I is not sincere; by [16], Theorem 1, Q (tilt I A ) is of the form
Thus, at least one of the above connected components of Q ( tilt I A ) contains infinitely many non-saturated vertices τ A N I where N is a tilting B-module. This completes our proof. □

4. Conclusions

In tilting theory, the central objects of study are tilting modules and the tilting quiver reveals the relations between these modules. In this paper, we investigate the tilting quiver from the viewpoint of τ-tilting theory, which is a generalisation of tilting theory. For a hereditary algebra A, we prove that its support τ-tilting quiver Q (sτ-tilt  A ) is isomorphic to the tilting quiver Q (tilt  A ¯ ) of its duplicated algebra A ¯ . Then, by the | A | -regular quiver Q(sτ-tilt A), we give a new method to calculate the number of arrows in  Q (tilt  A ) when A is representation-finite. Finally, we provide an example to show that the conjecture given by Happel and Unger does not always hold for wild hereditary algebras. However, we could not find a necessary and sufficient condition for a wild hereditary algebra to satisfy this conjecture. Our next goal is to try to characterise the wild hereditary algebras each connected component of whose tilting quiver contains only finitely many non-saturated vertices.

Funding

This work is supported by the Natural Science Foundation of Shandong Province of China (No. ZR2021QA069) and the Doctoral Research Start-up Foundation of Shandong Jianzhu University (No. X21104Z).

Data Availability Statement

No new data were created or analyzed in this study. Data sharing is not applicable to this article.

Acknowledgments

The author is grateful to the referees for valuable suggestions and comments.

Conflicts of Interest

The author declares no conflicts of interest.

References

  1. Happel, D.; Unger, L. Almost complete tilting modules. Proc. Amer. Math. Soc. 1989, 107, 603–610. [Google Scholar] [CrossRef]
  2. Riedtmann, C.; Schofield, A. On a simplicial complex associated with tilting modules. Comment. Math. Helv. 1991, 66, 70–78. [Google Scholar] [CrossRef]
  3. Adachi, T.; Iyama, O.; Reiten, I. τ-tilting theory. Compos. Math. 2014, 150, 415–452. [Google Scholar] [CrossRef]
  4. Assem, I.; Brüslte, T.; Schiffler, R.; Todorov, G. Cluster categories and duplicated algebra. J. Algebra 2006, 305, 548–561. [Google Scholar] [CrossRef][Green Version]
  5. Zhang, S.H. Tilting mutation and duplicated algebras. Comm. Algebra 2009, 37, 3516–3524. [Google Scholar] [CrossRef]
  6. Obaid, M.A.A.; Nauman, S.K.; Fakieh, W.M.; Ringel, C.M. The number of support tilting modules for a Dynkin algebra. J. Integer. Seq. 2015, 18, 15.10.6. [Google Scholar]
  7. Kase, R. The number of arrows in the quiver of tilting modules over a path algebra of Dynkin type. Tsukuba J. Math. 2013, 37, 153–177. [Google Scholar] [CrossRef]
  8. Happel, D.; Unger, L. On the quiver of tilting modules. J. Algebra 2005, 284, 857–868. [Google Scholar] [CrossRef][Green Version]
  9. Wang, G.P.; Zhang, S.H. Tilting modules over duplicated algebras. arXiv 2011, arXiv:1105.2994. [Google Scholar]
  10. Unger, L. The partial order of tilting modules for three-point-quiver algebras. In Proceedings of the 7th International Conference on Representations of Algebras, Cocoyoc, Mexico, 22–26 August 1994. [Google Scholar]
  11. Treffinger, H. τ-tilting theory – an introduction. arXiv 2021, arXiv:2106.00426v3. [Google Scholar]
  12. Happel, D.; Unger, L. On a partial order of tilting modules. Algebra Represent Theor. 2005, 8, 147–156. [Google Scholar] [CrossRef]
  13. Assem, I.; Brüslte, T.; Schiffler, R.; Todorov, G. m-cluster categories and m-replicated algebras. J. Pure Appl. Algebra 2008, 212, 884–901. [Google Scholar] [CrossRef]
  14. Fomin, S.; Zelevinsky, A. Y-systems and generalized associahedra. Ann. Math. 2003, 158, 977–1018. [Google Scholar] [CrossRef]
  15. Simson, D.; Skowroński, A. Elements of the Representation Theory of Associative Algebras, Vol. 3 Representation-Infinite Tilted Algebras; Cambridge University Press: Cambridge, UK, 2007. [Google Scholar]
  16. Unger, L. The simplicial complex of tilting modules over quiver algebras. Proc. Lond. Math. Soc. 1996, 73, 27–46. [Google Scholar] [CrossRef]
  17. Assem, I.; Simson, D.; Skowroński, A. Elements of the Representation Theory of Associative Algebras, Vol. 1 Techniques of Representation Theory; Cambridge University Press: Cambridge, UK, 2006. [Google Scholar]
Disclaimer/Publisher’s Note: The statements, opinions and data contained in all publications are solely those of the individual author(s) and contributor(s) and not of MDPI and/or the editor(s). MDPI and/or the editor(s) disclaim responsibility for any injury to people or property resulting from any ideas, methods, instructions or products referred to in the content.

Share and Cite

MDPI and ACS Style

Li, S. Tilting Quivers for Hereditary Algebras. Mathematics 2024, 12, 191. https://doi.org/10.3390/math12020191

AMA Style

Li S. Tilting Quivers for Hereditary Algebras. Mathematics. 2024; 12(2):191. https://doi.org/10.3390/math12020191

Chicago/Turabian Style

Li, Shen. 2024. "Tilting Quivers for Hereditary Algebras" Mathematics 12, no. 2: 191. https://doi.org/10.3390/math12020191

APA Style

Li, S. (2024). Tilting Quivers for Hereditary Algebras. Mathematics, 12(2), 191. https://doi.org/10.3390/math12020191

Note that from the first issue of 2016, this journal uses article numbers instead of page numbers. See further details here.

Article Metrics

Back to TopTop