Influence of Fractional Order on the Behavior of a Normalized Time-Fractional SIR Model
Abstract
1. Introduction
2. Proposed Normalized Time-Fractional SIR Model
3. Numerical Solution Algorithm
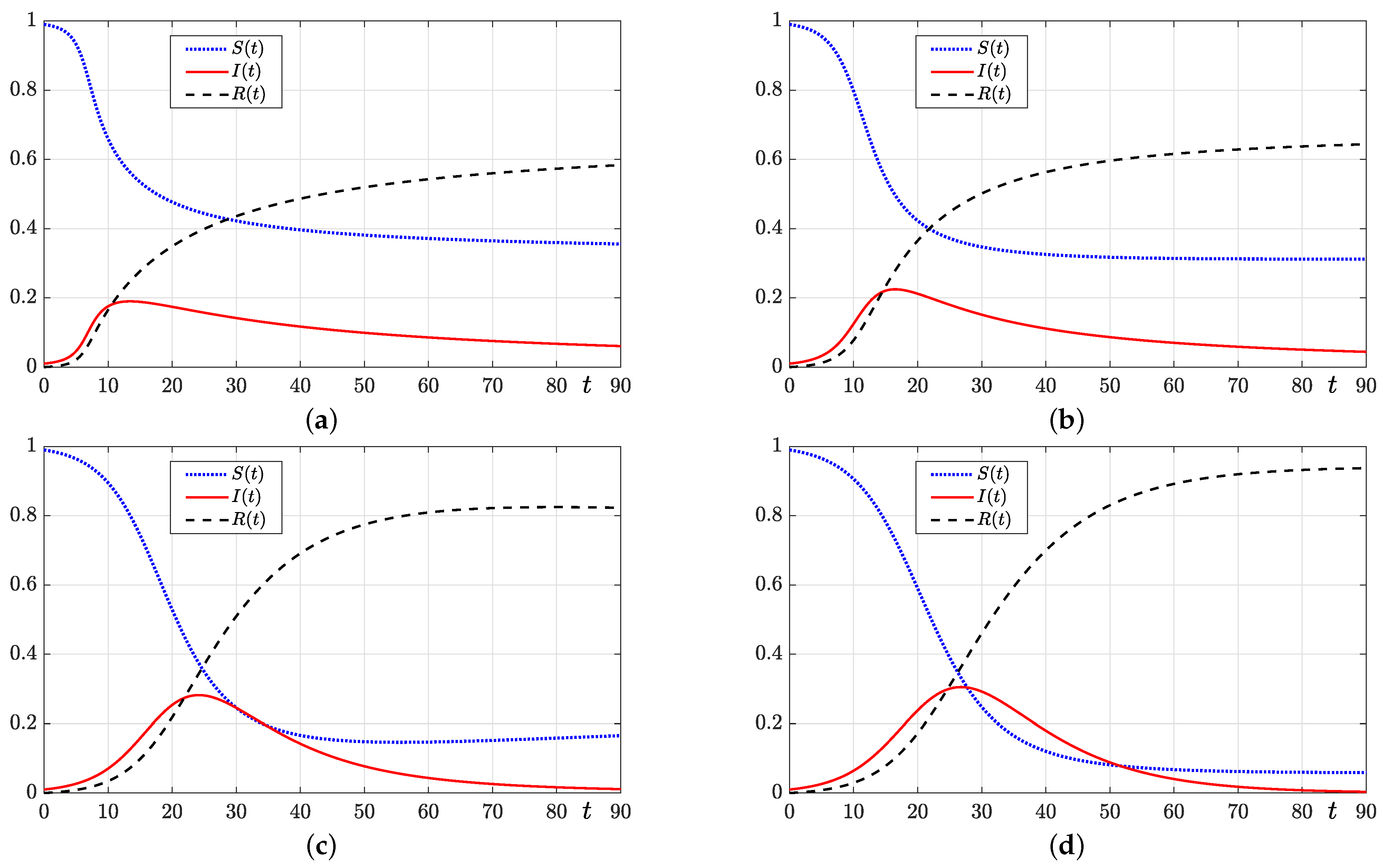
4. Computational Experiments
5. Conclusions
Funding
Data Availability Statement
Acknowledgments
Conflicts of Interest
Appendix A
| Listing A1. MATLAB code for a normalized time-fractional SIR model. |
| clear; clf; T=90; dt=0.1; Nt=T/dt; S=zeros(Nt,1); I=S; R=S; S(1)=0.99; I(1)=0.01; R(1)=0; b=0.3; g=0.1; alpha = 0.5; for n = 1:Nt deno = n^(1-alpha); for p = 1:n w(p) = ((n+1-p)^(1-alpha)-(n-p)^(1-alpha))/deno; end F1=0; F2=0; if n > 1 for p = 1:n-1 F1 = F1+w(p)*(S(p+1)-S(p))/dt; F2 = F2+w(p)*(I(p+1)-I(p))/dt; end end S(n+1)=(S(n)+dt/w(n)*(-F1))/(1+dt/w(n)*b*I(n)); I(n+1)=(I(n)+dt/w(n)*(b*S(n+1)*I(n)-F2))/(1+dt/w(n)*g); end R=1-S-I; set(gcf, ‘position’, [100 400 700 400]) t=linspace(0, Nt*dt, Nt+1); plot(t, S, ‘b:’, ‘linewidth’, 2); hold on plot(t, I, ‘r-’, ‘linewidth’, 1.5); plot(t, R, ‘k--’,‘linewidth’, 1.5); grid on xticks(linspace(0,T,10)); yticks(linspace(0,1,6)) set(gca,‘fontsize’, 14); leg=legend(‘$S(t)$’, ‘$I(t)$’, ‘$R(t)$’); set(leg,‘Position’, [0.3,0.73,0.15,0.15], ‘Interpreter’, ‘latex’,‘FontSize’, 15); text(‘Interpreter’, ‘latex’, ‘String’, ‘$$t$$’, ‘Position’, [84, -0.055], ‘FontSize’, 19) axis([0 T 0 1]) |
References
- Olayiwola, M.O.; Yunus, A.O. Non-integer Time Fractional-Order Mathematical Model of the COVID-19 Pandemic Impacts on the Societal and Economic Aspects of Nigeria. Int. J. Appl. Comput. Math. 2024, 10, 90. [Google Scholar] [CrossRef]
- Aghayan, Z.S.; Alfi, A.; Pahnehkolaei, S.M.A.; Lopes, A.M. Feedback Control Design Strategy for Stabilization of Delayed Descriptor Fractional Neutral Systems with Order 0 < ϱ < 1 in the Presence of Time-Varying Parametric Uncertainty. Fractal Fract. 2024, 8, 481. [Google Scholar]
- Dimitrov, Y.; Georgiev, S.; Todorov, V. Approximation of Caputo Fractional Derivative and Numerical Solutions of Fractional Differential Equations. Fractal Fract. 2023, 7, 750. [Google Scholar] [CrossRef]
- Aghayan, Z.S.; Alfi, A.; Machado, J.T. Delay-dependent robust stability analysis of uncertain fractional-order neutral systems with distributed delays and nonlinear perturbations subject to input saturation. Int. J. Nonlinear Sci. Numer. Simul. 2023, 24, 329–347. [Google Scholar] [CrossRef]
- Bouissa, A.; Tahiri, M.; Tsouli, N.; Sidi Ammi, M.R. Global dynamics of a time-fractional spatio-temporal SIR model with a generalized incidence rate. J. Appl. Math. Comput. 2023, 69, 4779–4804. [Google Scholar] [CrossRef]
- Sidi Ammi, M.R.; Tahiri, M.; Tilioua, M.; Zeb, A.; Khan, I.; Andualem, M. Global analysis of a time fractional order spatio-temporal SIR model. Sci. Rep. 2022, 12, 5751. [Google Scholar] [CrossRef] [PubMed]
- He, Z.Y.; Abbes, A.; Jahanshahi, H.; Alotaibi, N.D.; Wang, Y. Fractional-Order Discrete-Time SIR Epidemic Model with Vaccination: Chaos and Complexity. Mathematics 2022, 10, 165. [Google Scholar] [CrossRef]
- Sene, N. SIR epidemic model with Mittag–Leffler fractional derivative. Chaos Solitons Fractals 2020, 137, 109833. [Google Scholar] [CrossRef]
- Zhang, Y.; Yu, X.; Sun, H.; Tick, G.R.; Wei, W.; Jin, B. Applicability of time fractional derivative models for simulating the dynamics and mitigation scenarios of COVID-19. Chaos Solitons Fractals 2020, 138, 109959. [Google Scholar] [CrossRef] [PubMed]
- Georgiev, S.; Vulkov, L. Numerical Coefficient Reconstruction of Time-Depending Integer- and Fractional-Order SIR Models for Economic Analysis of COVID-19. Mathematics 2022, 10, 4247. [Google Scholar] [CrossRef]
- Djenina, N.; Ouannas, A.; Batiha, I.M.; Grassi, G.; Oussaeif, T.-E.; Momani, S. A Novel Fractional-Order Discrete SIR Model for Predicting COVID-19 Behavior. Mathematics 2022, 10, 2224. [Google Scholar] [CrossRef]
- Khan, M.A.; Ismail, M.; Ullah, S.; Farhan, M. Fractional order SIR model with generalized incidence rate. AIMS Math. 2020, 5, 1856–1880. [Google Scholar] [CrossRef]
- Gao, W.; Veeresha, P.; Cattani, C.; Baishya, C.; Baskonus, H.M. Modified Predictor–Corrector Method for the Numerical Solution of a Fractional-Order SIR Model with 2019-nCoV. Fractal Fract. 2022, 6, 92. [Google Scholar] [CrossRef]
- Majee, S.; Adak, S.; Jana, S.; Mandal, M.; Kar, T.K. Complex dynamics of a fractional-order SIR system in the context of COVID-19. J. Appl. Math. Comput. 2022, 68, 4051–4074. [Google Scholar] [CrossRef] [PubMed]
- Chen, Y.; Liu, F.; Yu, Q.; Li, T. Review of fractional epidemic models. Appl. Math. Model. 2021, 97, 281–307. [Google Scholar] [CrossRef] [PubMed]
- Lee, C.; Nam, Y.; Bang, M.; Ham, S.; Kim, J. Numerical investigation of the dynamics for a normalized time-fractional diffusion equation. AIMS Math. 2024, 9, 26671–26687. [Google Scholar] [CrossRef]
- Cooper, I.; Mondal, A.; Antonopoulos, C.G. A SIR model assumption for the spread of COVID-19 in different communities. Chaos Solitons Fractals 2020, 139, 110057. [Google Scholar] [CrossRef] [PubMed]
- Hasan, S.; Al-Zoubi, A.; Freihet, A.; Al-Smadi, M.; Momani, S. Solution of fractional SIR epidemic model using residual power series method. Appl. Math. Inf. Sci. 2019, 13, 153–161. [Google Scholar] [CrossRef]




Disclaimer/Publisher’s Note: The statements, opinions and data contained in all publications are solely those of the individual author(s) and contributor(s) and not of MDPI and/or the editor(s). MDPI and/or the editor(s) disclaim responsibility for any injury to people or property resulting from any ideas, methods, instructions or products referred to in the content. |
© 2024 by the author. Licensee MDPI, Basel, Switzerland. This article is an open access article distributed under the terms and conditions of the Creative Commons Attribution (CC BY) license (https://creativecommons.org/licenses/by/4.0/).
Share and Cite
Kim, J. Influence of Fractional Order on the Behavior of a Normalized Time-Fractional SIR Model. Mathematics 2024, 12, 3081. https://doi.org/10.3390/math12193081
Kim J. Influence of Fractional Order on the Behavior of a Normalized Time-Fractional SIR Model. Mathematics. 2024; 12(19):3081. https://doi.org/10.3390/math12193081
Chicago/Turabian StyleKim, Junseok. 2024. "Influence of Fractional Order on the Behavior of a Normalized Time-Fractional SIR Model" Mathematics 12, no. 19: 3081. https://doi.org/10.3390/math12193081
APA StyleKim, J. (2024). Influence of Fractional Order on the Behavior of a Normalized Time-Fractional SIR Model. Mathematics, 12(19), 3081. https://doi.org/10.3390/math12193081
