Abstract
The development of transport infrastructure is crucial for economic growth, social connectivity, and sustainable development. Many countries have historically underinvested in transport infrastructure, necessitating more efficient strategic planning in the implementation of transport infrastructure investment projects. This article addresses the selection and scheduling of transport infrastructure projects, specifically within the context of utilizing pre-allocated funds within a multi-annual budget investment program. The current decision-making process relies heavily on expert judgment and lacks quantitative decision support methods. We propose a genetic algorithm as a decision-support tool, framing the problem as an NP-hard 0–1 multiple knapsack problem. The proposed genetic algorithm (GA) is unique for its matrix-encoded chromosomes, specially designed genetic operators, and a customized repair operator to address the large number of invalid chromosomes generated during the GA computation. In computational experiments, the proposed GA is compared to an exact solution and proves to be efficient in terms of quality of obtained solutions and computational time, with an average computational time of 108 s and the quality of obtained solutions typically ranging between 85% and 95% of the optimal solution. These results highlight the potential of the proposed GA to enhance strategic decision-making in transport infrastructure development.
Keywords:
genetic algorithms; multiple knapsack problem; scheduling; transport infrastructure investment projects; transport infrastructure development MSC:
68W50; 90C08
1. Introduction
A well-developed transport infrastructure is a key element for quality of life, sustainable socio-economic development, and international competitiveness of a country, especially in relatively small countries. This case is typical for Europe, and research on this topic has been conducted in countries such as Belgium [1] and Baltic countries [2]. Due to the importance of well-developed transport infrastructure, the EU aims to assist countries with neglected transport infrastructure [3] through financial aid from European funding programs. Many countries have already improved their transport infrastructure using these funds [4,5,6]. However, it has been noted that the development of transport infrastructure varies between countries, despite similar allocation of total funds for transport infrastructure development [7]. This can be caused by different strategies in allocating available funds to specific transport infrastructure projects [8,9,10].
The strategic decision-making process in transport infrastructure development can be formulated at varying levels of complexity, primarily shaped by real-world constraints. The simplest case involves project selection, where projects are chosen from a set of projects ready for implementation. In academic literature, transport infrastructure project selection has been addressed using evolutionary approaches [11], mathematical programming [12,13], and scenario-based methodologies [14,15]. However, one limitation of this method is that it often overlooks the dimension of time, which can significantly impact decision-making. For example, when planning project implementation over the next decade, both constraints and input parameters may evolve. To address this, the problem is extended to include project scheduling, where decisions involve not only selecting projects but also determining the specific year of their implementation. This more complex variation is less commonly discussed in the literature and is typically approached in a highly specialized manner, with mathematical programming being commonly used to solve it [16,17].
The authors of this paper have long been involved in optimizing the selection of transport infrastructure projects for implementation in the Czech Republic. Our goals is to develop a method that supports decision-making in implementation planning of transport infrastructure projects to make the development as effective as possible. Like some previously mentioned European countries, the Czech Republic has also neglected transport infrastructure and is therefore eligible to use European funds. The problem of transport infrastructure development can be interpreted as the selection and scheduling of transport infrastructure investment projects, which can be presented as a modified version of the multiple knapsack problem (MKP).
The article deals with the selection and scheduling of project implementation within a specific multi-annual transport infrastructure investment program. Due to the large-scale nature of the problem, which reflects a real-world scenario, it is impractical to address it using exact methods, as they are computationally demanding. Therefore, we propose a genetic algorithm to solve the problem, introducing a new conceptual approach to the problem. The algorithm incorporates a unique chromosome encoding along with a repair operator designed to handle the numerous invalid chromosomes that arise due to the specific constraints. The key contributions of the proposed algorithm include:
- obtaining high-quality solutions within the available time;
- efficient development of transport infrastructure;
- the ability to expand the algorithm and account for more practical requirements;
- high flexibility, as the algorithm is applicable at multiple levels (national, regional, urban);
- unique chromosome encoding and operator design;
- easy implementation in practice, as the tools for implementing the algorithm are freely available.
2. Literature Review
In the classical concept of the knapsack problem (KP), the goal is to maximize the profit of selected items while being limited by the knapsack’s weight capacity. Due to its popularity as a combinatorial optimization problem, the NP-hard KP has been discussed in dozens of publications regarding its modifications, applications, and solving methods [18]. Both exact algorithms, heuristics, and their combinations have been studied to solve the KP and its variations. The most important variation in the problem discussed in this article is the multiple knapsack problem (MKP) [19,20], which extends the classical KP by adding new knapsacks into the decision process. The MKP is also often interpreted in scientific publications as multidimensional knapsack problem. While many sources [18,20,21] differentiate between the multiple knapsack problem and multidimensional knapsack problem in terms of applications, the solving algorithms are very similar and can often be used to solve both problems.
The most common methods used to solve the MKP include the branch and bound algorithm [22] and dynamic programming [23], which were also the first widely used methods [18]. The branch and bound algorithm has been applied to many variations of the MKP [24,25,26,27], and several authors have studied its performance in solving the MKP [28,29,30]. Dynamic programming has been used to solve MKP in cases where the MKP is also multicriterial [31] or influenced by uncertainty [32,33]. Other methods used to solve MKP are, for example, the greedy algorithm [26,34], cutting planes algorithm [35], and nature-inspired algorithms [36,37,38,39].
The focus of this article is solving a very specific MKP in a real-life application using another nature-inspired algorithm, the genetic algorithm (GA). The GA is a probabilistic heuristic algorithm based on natural selection and evolution [40]. Due to its suitability for combinatorial optimization, the GA has been applied to many problems, including the MKP.
A GA application to a MKP problem in its basic form was presented in [41], where the authors report better results on randomly generated data than three other published heuristics, along with better performance in terms computational time, while obtaining a sub-optimal solution compared to the commercial CPLEX solver. The authors also implemented a repair operator into the GA to ensure that only valid chromosomes were considered for the GA operators. In [42], the authors implemented a controlled (non-probabilistic) generation of an initial population to better explore the feasible region, reporting optimal solutions in all tested instances. A better overall performance of hybrid GA for the MKP compared to a branch and bound algorithm are also reported in [43]. A more complex variation of the MKP solved by the GA is presented in [44], where a specialized crossover operator along with two distinct mutation operators is presented to ensure validity of chromosomes. Another complex variation of the MKP is discussed in [45], where the GA is adapted from a classical static environment to the dynamic one, where fitness function or problem constraints may change over time.
In previously mentioned publications, the MKP is addressed using different approaches and concepts of genetic operators. Due to the specific constraints of the problem in this paper, we present a unique matrix encoding of chromosomes. Although no publications were found where chromosomes were matrix-encoded in MKP, several publications report matrix-encoding of chromosomes for other problems. A typical use of matrix-encoded chromosomes is in job shop scheduling problems [46,47,48], where chromosomes present processing of operations on individual machines. In [49], the authors present a GA for a unit commitment problem, where the matrix-encoded chromosomes represent a power-generation schedule. The authors also present problem-specific repair and mutation operators. Another possible use of chromosome-encoded matrices in GA is for graph-based problems, such as in [50], where the chromosome represents a clustering of nodes in a graph, with customized crossover and mutation operators.
Related articles focusing on the effective development of transport infrastructure, like this one, are often centered on a specific region or country. This is primarily due to the specific requirements and conditions that vary based on factors such as geography, environmental aspects, or political situations. Generally, the decision-making process regarding the development of transport infrastructure can be divided into several phases. Before the first phase, the process starts with identifying infrastructure needs by assessing the current state of various areas, and determining their development needs [51,52,53]. Based on these needs, investment projects for transport infrastructure are proposed, usually in multiple variants.
The first phase of the decision-making process is the comprehensive evaluation of project alternatives and the selection of the final option. This evaluation is typically conducted using conventional, monetarily focused methods such as cost–benefit analysis [54], benefit–cost ratio [55], and value for money [56]. Usually, this is supplemented with non-monetary methods, such as risk analysis [57] or environmental impact assessment [58]. Once project alternatives are evaluated, the decision-making process to determine the final project variant begins, with others relying on multiple-criteria decision-making methods [59,60,61].
Following several administrative processes, a set of projects ready for implementation is established, leading to the next phase—the planning of project implementation, which is the focus of this article. The scope of this phase varies and is often constrained by local authority requirements and data availability. The two main decision-making concepts during this phase are project selection and project scheduling. For selection, evolutionary-based frameworks [11] and mathematical programming methods [12,13] were used in recent publications. A slightly different scenario-based approach was used in [14,15]. These methods enable the modeling of multiple transport infrastructure development plans and their evaluation according to a range of both interdependent and independent criteria. The scheduling of project implementation was solved in [16] using bi-level programming to consider both infrastructure owners and users in the decision-making process. In [17], the authors focus on a transport network between two origin-destination points and its development over a span of 10 years using stochastic dynamic programming for both project selection and scheduling. In publications [62,63,64], quantitative methods are applied for scheduling various phases of a project, such as construction or maintenance.
The final phase is monitoring and evaluation. This stage provides feedback on completed transport infrastructure projects and helps pinpoint successes, shortcomings, and areas for improvement. It plays a crucial role in enhancing efficiency and sustainability for future transport infrastructure development. Evaluation processes include analyzing cost variance in project implementation [65,66], developing demand forecasting concepts for transport infrastructure [67], and comparing implemented planning concepts with actual outcomes [68].
The overall summary of related work is presented in Table 1.
Table 1.
Overview of related work.
3. Problem Description
As previously mentioned, the development of transport infrastructure is a crucial element for modern countries. It contributes to economic growth, social connectivity, and sustainable development. Enhanced transport networks facilitate trade, improve access to education and healthcare, reduce travel time, and contribute to the overall quality of life. While the importance of transport infrastructure is clear, many countries have neglected transport infrastructure, and for these countries in particular, emphasis should be placed on ensuring that its development is as efficient as possible. The ability to develop transport infrastructure may be influenced, for example, by political, technological, or natural aspects. This article focuses on the issue from the perspective of planning the implementation of transport infrastructure projects already in the pipeline (ready for implementation), which implicitly includes project selection and scheduling of their implementation.
Our aim is to create a tool to support decision-making in the development of transport infrastructure in the context of drawing financial resources from EU funding programs, specifically the Operational Program Transport (OPT). The OPT is the largest in the Czech Republic in terms of the allocated volume of funds and has clearly defined rules and projects that can be supported. The financing of transport infrastructure projects within the OPT can be relatively easily formulated as an optimization task, and, given the significant amount of available funds, a greater impact on the development of transport infrastructure can be expected compared to other, less voluminous funds. A similar system of financing transport infrastructure development exists also outside the EU, for example, in some states in the USA [69].
The current system of financing transport infrastructure development in the Czech Republic is managed by an expert commission of the Ministry of Transport. This commission meets regularly (usually once a year) to decide on the support of individual projects from a set of projects ready for implementation in the following year. These projects are defined as those that meet all administrative requirements needed for financial support and implementation, such as project documentation, construction permits, feasibility studies, environmental impact assessments, risk analysis, and other prerequisites.
The current decision-making process for financial support for transport infrastructure projects relies heavily on subjective expert opinion and is not based on any quantitative methods. This process can be formulated as a 0–1 knapsack problem, where projects are selected for implementation in the following year and the selection is limited by a defined amount of available funds that cannot be exceeded when disbursed. However, given our focus on the financing of transport infrastructure development through the OPT, the task can be extended to include the development of a project financing schedule. The OPT is implemented in seven-year intervals, and since the Czech Republic joined the EU, two OPTs have already been completed, with a third currently underway. Given the approved budget for all seven years of the OPT programming period, this information can be used to enhance project selection by developing a financing schedule, thus strengthening the possibility of effective development of transport infrastructure by taking into account all years of the programming period.
In order to finance transport infrastructure projects under the OPT, the projects must contribute to the objectives of EU transport policy. Such projects can be identified by quantitative indicators, such as “Number of reconstructed or modernized railway lines—Trans-European Network”. These indicators are used by the authors to quantify the development of transport infrastructure. Regarding the allocation of funds in the OPT, for projects that take more than one year to implement, the funds are released annually rather than all at once. Additionally, the rule called by experts applies. This rule stipulates that if funds are not spent in a given year , the unspent amount of funds can be used in years and . Some member states have also negotiated an rule with the European Commission, which may be applied if the proposed solution is adopted by other countries.
We approached the problem systematically, aiming to create a tool to support investment decision-making in practice. This tool can be designed with several variants of complexity.
- Variant 1—selection of projects to be implemented from a set of transport infrastructure projects (the mentioned variation of the KP);
This simplest form of decision support tool is comparable in complexity to the current system of selecting projects for implementation by a group of experts. However, the advantage of implementing the optimization approach lies in its objectivity and the potential for higher quality of the solutions achieved, and consequently of the development of transport infrastructure.
- Variant 2—selection and implementation schedule of transport infrastructure projects;
When an approved budget for the upcoming years is known (for example in the OPT), another dimension of time can be introduced into the optimization problem. In addition to selecting projects for implementation, this variant also determines the specific year of implementation, improving the efficient use of total available budget and the development of transport infrastructure. This variation is equivalent to the basic MKP.
- Variant 3—selection and implementation schedule of transport infrastructure projects with multi-year funding allocations;
This variant extends Variant 2 by incorporating multi-year budget allocations, which are necessary for projects requiring more than one year for full implementation. This is typical for transport infrastructure projects and, given the need for a large volume of funds for their implementation, it is not appropriate to draw down the full amount of funds in the initial year of project implementation, but rather in a phased manner. Additionally, the multi-year project implementation reflects the different construction phases of the project, which can vary significantly in terms of implementation costs, meaning that funds are not evenly distributed across the implementation years.
- Variant 4—selection and implementation schedule of transport infrastructure projects with multi-year funding allocation and the rule;
This variant, specific to the OPT, extends Variant 3 by including the rule. Since this rule is also implemented in the current system for financing transport infrastructure development, incorporating it into the proposed method is both practical and necessary.
4. Mathematical Formulation of the Problem and Mathematical Model
Let denote a set of transport infrastructure projects that can be implemented within the programming period, with the years defined by elements of set . Each project has an assigned value , which determines its contribution to development of transport infrastructure. Each year has a specified amount of available funds that can be utilized for project implementation. Additionally, each project is characterized by parameter , indicating the number of years required for its full implementation. The costs of implementing project are expressed during its implementation years , where , using parameter (Table 2, Table 3 and Table 4).
Table 2.
Notations of sets used in the mathematical model.
Table 3.
Notations of input parameters used in the mathematical model.
Table 4.
Notations of decision variables used in the mathematical model.
The mathematical model of the problem has the form:
subject to
The objective function (1) maximizes the optimization criterion—cumulative development of transport infrastructure. The set of constraints (2) ensures that each project starts at most once. The set of constraints (3) ensures that the financing of projects does not exceed the use of available volume of funds allocated in year , taking into account the rule. Since the rule can generally only be applied starting from the third year of the programming period, the group of constraints (3) is divided into (3a), (3b), and (3c). The group of constraints (4) ensures that the implementation phases for each project are executed consecutively in years . The groups of constraints (5) and (6) define the domains of the model variables.
5. Proposed Genetic Algorithm Solution
When addressing NP-hard optimization problems, exact methods like branch and bound can struggle with unpredictable computational times due to their exhaustive nature. To obtain efficient solutions within an available timeframe, especially given the combinatorial complexity and high computational demands of exact algorithms, genetic algorithms (GAs) are proposed as a practical alternative. GAs offer flexibility with user-defined termination conditions, such as time limits and iteration counts, and can be seamlessly integrated with other metaheuristic techniques. Additionally, GAs support enhancements such as elitism and repair operator, which further improve their effectiveness. The straightforward process of estimating parameters for GAs makes them a compelling choice for solving complex NP-hard problems where traditional exact methods may be impractical and other metaheuristics methods are less effective. As seen in Figure 1, in addition to the classical genetic operators, which are selection, crossover, and mutation, a repair operator is introduced to ensure that the GA works exclusively with valid chromosomes.
Figure 1.
Scheme of the proposed genetic algorithm.
The flowchart of the proposed GA presented in Figure 1 illustrates a general concept with an integrated repair operator. Initially, a population is generated at the start of the proposed GA. Due to the potential creation of invalid chromosomes in this initial population, a repair operator is applied subsequently. Its role is to ensure that all chromosomes within the population are valid before advancing to subsequent operations. Once a valid population is established, each chromosome is evaluated, computing its fitness function value, and the best solution is stored in a black box. After evaluation, the algorithm checks if the iteration limit has been reached. If not, the population proceeds to the selection operator, which forms a new intermediate population by selecting chromosomes based on their fitness values. The intermediate population then moves to the crossover operator, where certain chromosomes exchange genetic information to explore the solution space and create a new intermediate population. Since invalid chromosomes may arise during crossover, the repair operator is applied again to ensure that only valid chromosomes enter the mutation operator. The mutation operator further explores the solution space, particularly in cases where a crossover operator alone is insufficient. Following mutation, a new population is formed, and the algorithm cycle returns to the repair operator and evaluation. In each iteration, the best solution in the black box is updated if a superior solution is found. The algorithm concludes when the iteration limit is reached, and the best solution is presented to the user. Figure 2 provides a visual overview of the GA framework.
Figure 2.
System figure of the proposed genetic algorithm (GA).
In addition to designing appropriate genetic operators, the efficiency of a GA depends on proper parameter settings (Table 5 and Table 6). Key parameters include population size , crossover probability , mutation probability , and termination conditions. The termination conditions in the proposed GA are the number of iterations and the number of iterations with unchanged best solution .
Table 5.
Notations of sets used in the proposed GA.
Table 6.
Notations of GA parameters.
The other input parameters of the proposed GA are the same as in the mathematical models (1)–(6).
5.1. Chromosome Encoding and Fitness Function
Chromosome encoding reflects the principle of variables in mathematical models (1)–(6). Since the original variable is a matrix, this concept is carried over to the chromosome encoding. In the genetic algorithm, a chromosome will be denoted by and represent a matrix of dimension . The elements of the matrix will take the value 1 if the project has a start of implementation in year . For example, the chromosome, where and , could be in the following form:
which will be further presented in the form of a table; the exemplary chromosome is presented in Table 7.
Table 7.
Chromosome representation example.
The quality of a chromosome (fitness function) is calculated as follows:
5.2. Repair Operator Concept
Due to the specifics of the problem and the limitations of the solution space, a probabilistic approach to solving the problem generates many invalid chromosomes, which must be addressed to maintain the efficiency of the GA.
Before establishing a method for dealing with invalid chromosomes, it is necessary to identify the conditions under which they arise. There are three different cases of invalid chromosomes:
- Validity Case I—violation of a group of constraints (2)—a project has more than one start of implementation;
- Validity Case II—violation of a group of constraints (3a), (3b), or (3c)—the utilization of funds for project implementation exceeds the available budget;
- Validity Case III—project is started in year —the project will not be completed within the programming period.
In the chromosome shown in Table 7, it is apparent at a glance whether a violation of Validity Case I occurs, and it is relatively easy to set up the concept of genetic operators in such a way that the validity of chromosomes is not violated. In Validity Cases II and III, the validity of chromosomes cannot be determined without knowing the values of the input parameters of the problem, and additional calculations need to be implemented in the algorithm to determine the validity of the chromosomes. In case of occurrence of invalid chromosomes in the GA, we considered two possible approaches for their removal:
- penalization of invalid chromosomes in the fitness function;
- implementing a repair operator in the GA.
By penalizing invalid chromosomes in the fitness function, we addressed the problem of large numbers of invalid chromosomes in a previous publication [70]. However, this method proved to be inefficient in terms of the quality of the solutions obtained, due to the large number of invalid chromosomes generated during the genetic operators. For this article, both approaches to solving for invalid individuals were tested on generated input data. The results are based on 500 runs of the GA and are presented in Figure 3 and Figure 4.
Figure 3.
Minimum and maximum values achieved by the GA with a repair operator (left) and fitness penalization (right).
Figure 4.
Average fitness values achieved by the GA with a repair operator (left) and fitness penalization (right).
The results show a significant loss of solution quality when the repair operator is not implemented. Therefore, we focus exclusively on using the repair operator in this article.
The purpose of the algorithm is to ensure that the chromosomes in the course of the GA are always valid. As previously mentioned, the repair operator ensures validity in terms of Validity Cases II and III, since the validity of individuals in Validity Case I can be ensured during the genetic operators. The algorithm is designed not to limit the probabilistic principle of the genetic algorithm in any way. The principle of the repair operator will be explained for easier understanding using the chromosome already demonstrated, supplemented with exemplary values , indicating the number of implementation years of project ; , indicating the implementation cost of all projects in year ; and , indicating the allocated budget in year . The chromosome is presented in Table 8.
Table 8.
Chromosome and its validity in terms of Validity Case II and Validity Case III.
This chromosome is invalid because it violates Validity Case II (cost of projects in year exceeds allocated budget) and Validity Case III (project that takes years to fully implement starts in year ). The repair operator is divided into two parts, the first part ensures the validity of the chromosomes in Validity Case III and the second part in Validity Case II.
5.2.1. Repair Operator for Validity Case III
Ensuring chromosome validity in terms of Validity Case III is straightforward. It involves ensuring that each project does not have its start of implementation in year ; in other words, the value 1 must not occur in year . The repair operator for Case III can be written as follows (Algorithm 1):
| Algorithm 1. Repair operator for Validity Case III |
![]() |
This algorithm ensures that projects in the chromosome that violate its validity in Validity Case III will be started in a randomly chosen year .
5.2.2. Repair Operator for Validity Case II
The repair operator for Validity Case II is designed not to limit the stochastic nature of the GA. First, the cost of implementing the projects in year is calculated, and it is evaluated whether the sets of constraints (3a), (3b), and (3c) are violated. If these constraints are violated, the chromosome needs to be repaired.
Consider the chromosome demonstrated in Table 8. Since chromosome encoding only allows us to distinguish the years when a project starts its implementation, additional calculations are needed to determine the cost of project implementation in each year. Chromosome can be transformed according to the following logic into a matrix expressing the cost of project implementation:
From this matrix, the total cost of project implementation in year can then be simply expressed as:
Another value calculated for the repair operator is the reserve , which determines for each year the volume of funds that can be used in subsequent years, considering the rule. The algorithm for calculating the reserve assumes that the implementation of projects in a given year will be prioritized using unused funds from previous years (Algorithm 2).
| Algorithm 2. |
![]() |
For demonstration and easy understanding of the newly introduced values, the example chromosome in Table 8 is transformed to example matrix in Table 9. A reserve is also calculated for each year .
Table 9.
Transformed example chromosome into matrix .
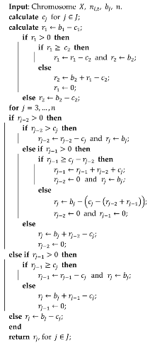
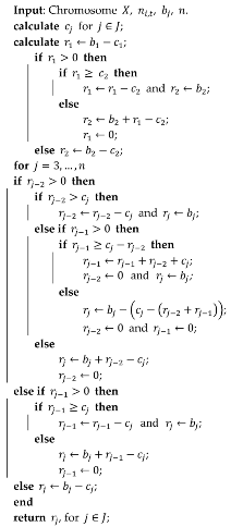
The repair operator for Validity Case II ensures that budget utilization is not exceeded in any year of the program period . The concept of the operator is based on the calculated reserve , which can identify the years in which budget utilization is exceeded (). If such years exist, projects financed in these years are either transferred and financed in other years or not financed at all. The potential for transferring the beginning of project to year is expressed by value (Algorithm 3).
| Algorithm 3. Repair operator for Validity Case II |
![]() |
* Note that the potential is not always accurate in terms of the beginning of project being able to be transferred from year to . While in many cases the algorithm needs several iterations to transfer projects into feasible solution, the proposed repair operator also creates a more efficient way to search the solution space.
A repair operator is applied to a population as follows (Algorithm 4):
| Algorithm 4. Repair operator algorithm |
![]() |
5.3. Generation of Initial Population
Considering the constraints in the problem, a high number of invalid chromosomes can be expected during uncontrolled chromosome generation in the initial population. Due to the proposed repair operator, it is necessary to ensure the validity of individuals during the initial population generation only in terms of Validity Case I. However, because of the computational complexity of the repair operator for Validity Case II, it is beneficial to maximize the number of valid chromosomes in the initial population to minimize the need to repair invalid ones. A suitable method for creating initial chromosomes is presented in the following algorithm (Algorithm 5):
| Algorithm 5. Generation of initial chromosome |
![]() |
Where:
This algorithm ensures that the chromosome is always valid in terms of Validity Case I. Validity of the chromosomes in terms of Validity Case II cannot be ensured by this algorithm, but by using the probability , the number of valid chromosomes generated will be significantly higher than in uncontrolled generation. The value of indicates the approximate proportion of projects for implementation given the cost of implementing them and the total volume of funds available. The initial population is then generated depending on the population size by the following algorithm (Algorithm 6):
| Algorithm 6. Generation of initial population |
![]() |
5.4. Selection Operator
The selection operator, one of the three genetic operators, ensures the selection of strong chromosomes for subsequent operators and populations. The principle of evolutionary algorithms is to work with better chromosomes as the algorithm progresses (as the number of iterations increases), while preserving the possibility of weaker chromosomes. This is important because, in some cases, the crossover of two weak chromosomes can produce a stronger chromosome than the crossover of two strong chromosomes. For this problem, weighted roulette wheel selection was chosen as it is relatively simple and suitable for problems with a maximization criterion. The probability of selecting chromosome via the weighted roulette wheel can be calculated as the ratio of the fitness function value of chromosome and the sum of the fitness function values of all chromosomes in the population, i.e.,
In each iteration of the GA, the selection process selects a number of chromosomes that corresponds to the population size . After “spins” of the roulette wheel, an intermediate population is created, which corresponds to the set of chromosomes selected to proceed to subsequent genetic operators (Algorithm 7).
| Algorithm 7. Selection operator algorithm |
![]() |
5.5. Crossover Operator
The purpose of the crossover operator is to create new chromosomes within the already existing intermediate population . This allows for the combination of genetic information from chromosomes and the exploration of the solution space by diversifying chromosomes. There are several types of chromosome crossover methods, primarily differing in how genes are exchanged between parents and their offspring. Some of the basic crossover methods include single-point crossover, two-point crossover, uniform crossover, and probability-based crossover.
For the crossover operator, a single-line crossover method was chosen. The principle is the same as in single-point crossover, but due to matrix encoding of chromosomes, the chromosomes are divided by a line rather than by a single point. Given the matrix encoding of chromosomes, there are several options for setting up the crossover, the basic two being vertical line crossover and horizontal line crossover. Since vertical line crossover could produce individuals that are invalid from Validity Case I but also Validity Case II, horizontal line crossover was chosen, which can produce invalid chromosomes in terms of Validity Cases II and III, both of which are addressed by a repair operator.
When the crossover operator runs, two parent chromosomes are transformed into two offspring chromosomes. Offspring chromosomes are a combination of their parents via the horizontal line crossover method with probability . Hence, the population size of the GA needs to be set to an even number. In a GA with population size , there will be runs of the crossover operator to create a new intermediate population . The transformation of two parent chromosomes into two offspring chromosomes in the case when crossover takes place is as follows (Algorithm 8):
| Algorithm 8. Crossover operator algorithm |
![]() |
Consider the interpretation of the two parent chromosomes as:
then the two offspring chromosomes are created as follows:
where represents the element of or matrix with indices and .
For better understanding, the crossover operator is demonstrated by the following examples in Table 10 and Table 11.
Table 10.
Fragments of parent chromosomes.
Table 11.
Fragments of offspring chromosomes.
5.6. Mutation Operator
In general, mutation is implemented in GAs to diversify the population and thereby expand the search space of solutions. In the context of the current problem, this might involve forming a population in which all chromosomes have only zeros in a certain column. In such a population, it would not be possible for a value other than zero to appear in that column by crossover alone. As with crossover, the mutation must be designed to avoid creating invalid chromosomes in terms of Validity Case I.
Within the mutation, for each column of the chromosome matrix, row will be selected with probability . The element will then be inverted to the opposite binary value. Three different mutation cases can occur:
- Mutation Case I—mutated element ;
- Mutation Case II—mutated element and ;
- Mutation Case III—mutated element and .
While mutating an element of the chromosome matrix in Mutation Case I or Mutation Case II is trivial (only the binary value of the element is inverted), in Mutation Case III, it is necessary to ensure that after inverting the value of the element, (Validity Case I) remains satisfied for a given . The example of all mutation cases is presented in Table 12.
Table 12.
Example of three mutation cases.
The algorithm of the genetic mutation operator is as follows (Algorithm 9):
| Algorithm 9. Mutation operator algorithm |
![]() |
* For better understanding, every chromosome is expressed as matrix in each iteration .
6. Results and Discussion
In GAs, in addition to the correct setup of genetic operators, chromosome encoding, and fitness function, it is crucial to set the input parameters correctly. The parameter settings of a GA have a major impact on its efficiency, affecting both the quality of the solutions obtained and the computational time required. As previously stated, the proposed GA supports decision-making in real-life scenarios. Since the experts meet usually once a year, the GA must be configured to provide a sufficiently good solution in a short time frame. We assume that several changes will be made during the meeting based on the experts’ discussion, meaning the calculations will need to be repeated frequently. In such cases, quick solution generation is essential to minimize unproductive time. We aimed to achieve at least 90% of the optimal solution within 90 s of computation time.
All of the algorithms are coded in Visual Studio using the Python programming language (version 3.11.4). All computations were performed on the same PC with an Intel Core i5-8250U CPU @ 1.60 GHz, 16 GB RAM, and operating system Windows 11 Pro.
6.1. GA Parameter Calibration
Since we plan to implement the proposed GA as a practical decision support tool, computational experiments were conducted on a real-world problem. Specifically, this involves transport infrastructure investment projects and a program period of years. Calibration and computational experiments with the proposed GA were performed using input data that correspond to reality. The input parameters were , and . Subsequently, several variations of the GA input parameters, such as population size , number of iterations , maximum number of iterations with an unchanged best solution , crossover probability , and mutation probability , were tested and then evaluated in terms of their impact on GA efficiency.
The initial computational experiments aimed to determine effective settings for the crossover probability , mutation probability , and population size . Since these GA parameters significantly influence solution quality, identifying optimal settings was prioritized. The GA was run 10 times for each parameter setting combination, while maintaining and .
The population size for the GA was determined based on the task’s complexity and insights from past research. Larger populations provide a more diverse search space, while smaller populations may lead to faster convergence, but with the risk of premature convergence. Given the scale of the problem and prior findings, population sizes of , , and were selected. These values offer a balance between chromosome diversity and computational time, ensuring that the algorithm sufficiently searches the solution space without excessive computational costs.
The crossover probability was selected based on standard values commonly used in GA literature, typically ranging from 0.6 to 0.9. These values are widely accepted for maintaining a balance between exploration, exploitation, and convergence rate. Although different values are sometimes used depending on the specific problem, the standard range was initially adopted. If these values proved insufficient for achieving optimal results, further exploration of alternative crossover probabilities would be conducted to better adapt the algorithm to the problem at hand.
While the crossover probability settings were based on fixed conventional values, the mutation probability was calculated based on the following formula:
where the value determines the period of chromosome mutation. For example, for , a mutation occurs in every chromosome, while for , a mutation is expected to occur once in every two chromosomes. Formula (12) was implemented to ensure the correct mutation probability setting in cases when the GA is applied to problems of varying sizes and that mutation remains effective without disrupting the search process excessively for large-scale problems. The overall results are presented in Figure 5.
Figure 5.
Representation of computational experiment results: fitness function values and time for each var-iation of GA parameter settings.
The experiments suggest that the most suitable population size setting is , as it produced most of the top ten variants in terms of fitness values. The results for population sizes and show more stable results in terms of average fitness values obtained by crossover and mutation probability variations, making them less sensitive to parameter settings. However, the sensitivity of population size to probability settings suggests that with proper calibration, better results can be achieved more efficiently. Results of probability setting combinations for population size are shown in Table 13 and Table 14.
Table 13.
Calibrations results—average quality of the solution (ten GA runs for each combination).
Table 14.
Calibrations results—average computational time (ten GA runs for each combination).
The results indicated no significant difference in the quality of solutions or computational time based on crossover probability settings. Conversely, the mutation probability had more substantial impact on the GA performance due to the fact that repair operator can nullify a lot of elements in chromosomes. A high mutation probability increases chromosome diversity, which may hinder efficient convergence, while a low mutation probability limits effective exploration of the solution space. Mutation probabilities were set with the value (mutation occurs once per chromosome), (mutation occurs once per two chromosomes), (mutation occurs once per four chromosomes), and (mutation occurs once per 20 chromosomes). The results show a significant difference in the quality of solutions obtained with the setting compared to the other three settings. In the first phase of computational experiments, the combination of crossover and mutation probabilities and proved to be the most effective and was therefore used in further computational experiments.
The second phase of GA calibration aimed to determine efficient settings of termination conditions. We considered two options—terminating the calculation when maximum number or iterations is reached or when the best solution remains unchanged for number of iterations. The preferred option is based on the convergence behavior; an example is illustrated in Figure 6.
Figure 6.
Convergence behavior of one exemplary run of the proposed GA.
Since the settings of termination conditions can significantly affect GA computational time, several variations in the number of iterations with unchanged best solution were tested on a constant number of maximum iterations . The parameter was set to a constant value due to GA run time limitations with the assumption that it would rarely be exceeded. The results in Figure 7 show the dependency of obtained fitness function values and computational time on the maximum number of iterations with unchanged best solution . In Figure 8, correlation between the real number of iterations and computational time is presented.
Figure 7.
Representation of computational experiment results—fitness function values and computational time for each termination condition setting (parameter ).
Figure 8.
Representation of computational experiment results—correlation between computation time and real number of iterations in a GA run.
Due to the GA’s computational time requirements, the optimal termination condition was determined as and , since it provides best solutions obtained while keeping the average computation time under 90 s. In GA applications where the maximum amount of available computational time is known, an alternative approach is to set a termination condition as a timeout. However, this approach is not generally recommended, as it is difficult to determine an appropriate timeout in practical applications.
6.2. GA Performance
Since the calibration provided an efficient setting of GA parameters, a comparison to an exact solution was made to justify the use of the GA in practice and demonstrate its benefits. The implementation of a sophisticated decision support tool in practice is not feasible until its effectiveness is substantially proven, so the proposed solutions were created using freely available software. Both the GA and the exact linear model were programmed in Python programming language. The freely available PuLP library (version 2.7.0) was used to solve the linear model, which employs the ‘PULP_CBC_CMD’ solver by default, based on the Branch and Cut algorithm.
Initially, the performance of the proposed GA was compared to an exact solution fo- a problem of already discussed size ( and ). To fully explore the possibilities of GA implementation in larger scale problems, another three scenarios were considered. The testing was performed on randomly generated data based on real data distribution and scaled to the size of the problem. In following results in Table 15, the GA was run only a single time to simulate a real-life situation, and calculation by the ‘PULP_CBC_CMD’ solver was terminated after one hour of computational time.
Table 15.
Computation results of GA in comparison with linear programming (LP) model solution.
While the GA outperforms exact solutions on medium-sized problems, it loses its effectiveness on larger problems due to the increasing size of the matrices encoding the chromosomes. Although the GA’s operators are efficient for the problem size it was designed for, the approach needs further modification for larger problems. Priority should be given to modify the repair operator, which currently takes a lot of computational time. Although we considered some modifications, they negatively impacted the quality of the solutions for the problem size addressed in this paper and were therefore not implemented. However, in terms of time savings, it was a matter of reducing the computational time of the repair operator to roughly the same time as the crossover operator (reduction by circa 60%).
To summarize the overall performance of the proposed GA with efficient parameter calibration, additional computations were performed. The results of calibrated GAs are presented in Table 16.
Table 16.
Results of 10 GA runs with calibrated parameters.
6.3. Discussion
The proposed GA was developed to solve a very specific version of the multiple knapsack problem, tailored for real-life decision-making processes. This application presents unique challenges, primarily due to the constraints imposed by the problem. As a result, a significant number of chromosomes generated during the GA computation are invalid, which necessitates special handling.
Two main approaches were considered for dealing with these invalid chromosomes: penalization within the fitness function and the use of a repair operator. In the proposed GA, a repair operator was implemented to correct the invalid chromosomes. While proven effective in maintaining a viable population and exploring the solution space, this operator is computationally demanding. A post-computational analysis was conducted to investigate the computational time of each GA phase, with the results presented in Table 17.
Table 17.
Computation time of GA phases (average based on 10 GA runs).
Since the repair operator takes about 46% of total computational time, a potential area for further research is the development of a more efficient repair operator to reduce the computational time and increase overall performance of the GA, making it more suitable for practical decision-making applications. Alternatively, exploring the penalization approach, where invalid chromosomes are assigned lower fitness scores, could provide a less computationally intensive solution. This could allow the GA to focus more on exploring the solution space, potentially leading to better overall solutions with reduced computational overhead.
Additionally, given the constraints of the problem, special crossover and mutation operators were designed to preserve the feasibility of solutions. However, these custom operators may also contribute to the computational complexity of the algorithm. Future work could explore optimizing these operators to reduce their complexity, thereby improving the efficiency of the GA without sacrificing solution quality. Another consideration is the quality of the initial population. Introducing a heuristic-based method to generate a better initial population could improve the starting point for the algorithm, potentially accelerating convergence towards high-quality solutions.
In terms of the concept of the problem addressed, we consider several modifications for future research. Since this article dealt only with ready-to-implement projects, it may be worth considering the readiness of projects in different years of the programming period. This modification could also introduce uncertain parameters into the problem, as project readiness or implementation costs often change or are difficult to estimate in practice. We also consider the possibility of increasing project implementation costs in future years (e.g., due to inflation), which would transform the problem into a combination of multiple and multidimensional knapsack problems.
In conclusion, while the proposed GA with a repair operator has demonstrated effectiveness in solving this specific version of the multiple knapsack problem, several opportunities for improvement remain. Optimizing the repair operator, considering penalization as an alternative approach, refining crossover and mutation operators, and enhancing the initialization process through heuristics are all promising directions for future research. Addressing these areas could lead to a more efficient and robust algorithm capable of solving complex real-life decision-making problems more effectively.
7. Conclusions
The selection and scheduling of the implementation of transport infrastructure investment projects, which can be formulated as an NP-hard multiple knapsack problem, is a real-life problem currently addressed by a group of experts without any quantitative tools to support the decision-making. Since these experts define the direction of transport infrastructure development for the coming years, it is beneficial to develop a tool to support their decision-making. Due to the significant time required to solve this problem with exact methods, a genetic algorithm was employed as a solution. The proposed genetic algorithm is unique in its chromosome encoding and the associated genetic operators. Additionally, because a large number of invalid chromosomes is generated during the genetic operators, a repair operator was introduced to ensure the validity of the chromosomes throughout the GA’s computation. In total, there are three scenarios in which invalid chromosomes can occur. While one of these can be easily avoided by properly configuring the genetic operators, the remaining two are secured by the repair operator.
Computational experiments demonstrated that the proposed GA provides solutions where fitness function values range from 85% to 95% of the optimal solution value. In terms of computational time, the mean value of computational time of one GA computation is 108 s, which is a small fraction of the computational time of the exact solution of a freely available solver. A detailed analysis revealed that future research should focus on designing a more efficient repair operator or developing genetic operators that prevent the generation of invalid chromosomes, as this could improve computational time. The convergence behavior of the GA could potentially be enhanced by implementing a heuristic algorithm to ensure better initial solutions.
Given the high efficiency of the proposed GA, it can be implemented in the current decision-making process used by experts. In general, the constraints of the problem addressed are very specific, since the GA is applied to a specific decision-making process. However, the method of encoding individuals and working with them in genetic operators is universal and can be applied to both simple and complex problems.
The GA solution developed for national transport infrastructure projects in the Czech Republic can also be effectively applied to regional and urban levels. At the regional level, where infrastructure projects are significant but smaller in scope compared to national or multinational endeavors, the GA can aid in optimizing project selection and scheduling amidst similar complexities. In urban settings, local governments and public agencies can leverage the GA to address the nuanced and often shorter-term planning needs of city-level transport infrastructure projects. Despite the increased detail and reduced planning horizon, the GA’s adaptability allows it to handle these challenges efficiently, making it a versatile tool for diverse decision-making contexts.
While the GA solution offers significant benefits for optimizing infrastructure project decisions, it is important to acknowledge its limitations. The implementation is currently available in Python and is designed to be used within Visual Studio Code, making it accessible for those familiar with these tools. However, since the primary users of this solution are likely to be experts from practice rather than programmers or mathematicians, additional data visualization and transformation tools are recommended. These tools can enhance the user experience by providing intuitive interfaces for interacting with the GA results and facilitating better decision-making based on the output. This additional layer of functionality can bridge the gap between complex algorithmic solutions and practical, user-friendly applications.
Author Contributions
Conceptualization, K.J. and D.M.; methodology, K.J.; software, K.J.; validation, K.J. and D.M.; formal analysis, K.J.; investigation, K.J.; resources, K.J.; data curation, K.J.; writing—original draft preparation, K.J.; writing—review and editing, D.M. and D.T.; visualization, K.J.; supervision, D.M. and D.T. All authors have read and agreed to the published version of the manuscript.
Funding
This research was supported by Czech Technical University in Prague under student grant number SGS24/069/OHK2/1T/16.
Data Availability Statement
The code of the proposed GA and LP model along with computational results are available at https://github.com/jecmekar/Genetic-algorithm-for-project-selection-and-scheduling, accessed on 29 August 2024.
Conflicts of Interest
The authors declare no conflicts of interest.
References
- Meersman, H.; Nazemzadeh, M. The Contribution of Transport Infrastructure to Economic Activity: The Case of Belgium. Case Stud. Transp. Policy 2017, 5, 316–324. [Google Scholar] [CrossRef]
- Kovács, G.; Spens, K.M. Transport Infrastructure in the Baltic States Post-EU Succession. J. Transp. Geogr. 2006, 14, 426–436. [Google Scholar] [CrossRef]
- Purwanto, A.J.; Heyndrickx, C.; Kiel, J.; Betancor, O.; Socorro, M.P.; Hernandez, A.; Eugenio-Martin, J.L.; Pawlowska, B.; Borkowski, P.; Fiedler, R. Impact of Transport Infrastructure on International Competitiveness of Europe. Transp. Res. Procedia 2017, 25, 2877–2888. [Google Scholar] [CrossRef]
- Pawlas, I. Cohesion Fund as an Instrument Stimulating Transport Infrastructure Development in Poland. In Proceedings of the 16th International Scientific Conference Finance and Risk, Bratislava, Slovakia, 24–25 November 2014; Publishing House Ekonóm: Bratislava, Slovak Republic, 2014; Volume 1, pp. 173–181. [Google Scholar]
- Stawicki, M. Development of Transport Infrastructure in Latvia, Lithuania and Poland with Support of Structural Funds. In Proceedings of the 19th International Scientific Conference "Economic Science for Rural Development 2018", Jelgava, Łotwa, 5–9 May 2018; pp. 244–251. [Google Scholar]
- Crescenzi, R.; Rodríguez-Pose, A. Infrastructure and Regional Growth in the European Union*. Pap. Reg. Sci. 2012, 91, 487–513. [Google Scholar] [CrossRef]
- Kemmerling, A.; Stephan, A. Comparative Political Economy of Regional Transport Infrastructure Investment in Europe. J. Comp. Econ. 2015, 43, 227–239. [Google Scholar] [CrossRef]
- Kyriacou, A.P.; Muinelo-Gallo, L.; Roca-Sagalés, O. The Efficiency of Transport Infrastructure Investment and the Role of Government Quality: An Empirical Analysis. Transp. Policy 2019, 74, 93–102. [Google Scholar] [CrossRef]
- Kuzmina-Merlino, I.; Skorobogatova, O.; Schmidtke, N.; Behrendt, F. Mechanism for Investment in the Transport Infrastructure Development in Latvia. Reliability and Statistics in Transportation and Communication; Kabashkin, I., Yatskiv, I., Prentkovskis, O., Eds.; Springer International Publishing: Cham, Switzerland, 2018; pp. 507–518. [Google Scholar]
- Zhang, Y.; Cheng, L. The Role of Transport Infrastructure in Economic Growth: Empirical Evidence in the UK. Transp. Policy 2023, 133, 223–233. [Google Scholar] [CrossRef]
- Iniestra, J.G.; Gutiérrez, J.G. Multicriteria Decisions on Interdependent Infrastructure Transportation Projects Using an Evolutionary-Based Framework. Appl. Soft. Comput. 2009, 9, 512–526. [Google Scholar] [CrossRef]
- Pilat, D.; Jecmen, K.; Teichmann, D.; Mertlova, O. Transport Infrastructure Investment Project Portfolio Optimization Using a Cascade Approach to Solving the Min-Max Problem. In Proceedings of the 40th International Conference Mathematical Methods in Economics 2022, Jihlava, Czech Republic, 7–9 September 2022; Vojackova, H., Ed.; Coll Polytechnics Jihlava: Jihlava, Czech, 2022; pp. 280–285. [Google Scholar]
- Jecmen, K.; Pilat, D.; Teichmann, D.; Mertlova, O. Comparison of Two Selected Approaches to the Transport Infrastructure Investment Projects Portfolio Selection for Implementation. In Proceedings of the International Scientific Conference Quantitative Methods in Economics Multiple Criteria Decision Making xxi, Púchov, Slovakia, 25–27 May 2022; Letra Interactive, Sro: Bratislava, Slovakia, 2022; pp. 119–124. [Google Scholar]
- Asgarpour, S.; Hartmann, A.; Gkiotsalitis, K. Infrastructure Investment Planning through Scenario-Based System-of-Systems Modelling. Transp. Plan. Technol. 2023, 46, 527–572. [Google Scholar] [CrossRef]
- Louen, C.; Höing, N.; Böhnen, C.; Kuhnimhof, T. Scenario Planning as an Approach to Structure the Development of Transport Planning Alternatives. Case Stud. Transp. Policy 2023, 14, 101089. [Google Scholar] [CrossRef]
- Miralinaghi, M.; Seilabi, S.E.; Chen, S.; Hsu, Y.-T.; Labi, S. Optimizing the Selection and Scheduling of Multi-Class Projects Using a Stackelberg Framework. Eur. J. Oper. Res. 2020, 286, 508–522. [Google Scholar] [CrossRef]
- Chow, J.Y.J.; Regan, A.C.; Ranaiefar, F.; Arkhipov, D.I. A Network Option Portfolio Management Framework for Adaptive Transportation Planning. Transp. Res. Part A: Policy Pract. 2011, 45, 765–778. [Google Scholar] [CrossRef]
- Assi, M.; Haraty, R.A. A Survey of the Knapsack Problem. In Proceedings of the 2018 International Arab Conference on Information Technology (ACIT), Werdanye, Lebanon, 28–30 November 2018; pp. 1–6. [Google Scholar]
- Kellerer, H.; Pferschy, U.; Pisinger, D. Multiple Knapsack Problems. In Knapsack Problems; Kellerer, H., Pferschy, U., Pisinger, D., Eds.; Springer: Berlin, Heidelberg, 2004; pp. 285–316. ISBN 978-3-540-24777-7. [Google Scholar]
- Cacchiani, V.; Iori, M.; Locatelli, A.; Martello, S. Knapsack Problems—An Overview of Recent Advances. Part II: Multiple, Multidimensional, and Quadratic Knapsack Problems. Comput. Oper. Res. 2022, 143, 105693. [Google Scholar] [CrossRef]
- Kellerer, H.; Pferschy, U.; Pisinger, D. Knapsack Problems; Springer: Berlin, Germany; New York, NY, USA, 2004; ISBN 978-3-540-40286-2. [Google Scholar]
- Morrison, D.R.; Jacobson, S.H.; Sauppe, J.J.; Sewell, E.C. Branch-and-Bound Algorithms: A Survey of Recent Advances in Searching, Branching, and Pruning. Discret. Optim. 2016, 19, 79–102. [Google Scholar] [CrossRef]
- Sitarz, S. Dynamic Programming with Ordered Structures: Theory, Examples and Applications. Fuzzy Sets Syst. 2010, 161, 2623–2641. [Google Scholar] [CrossRef]
- Fleszar, K. A Branch-and-Bound Algorithm for the Quadratic Multiple Knapsack Problem. Eur. J. Oper. Res. 2022, 298, 89–98. [Google Scholar] [CrossRef]
- Galli, L.; Martello, S.; Rey, C.; Toth, P. Polynomial-Size Formulations and Relaxations for the Quadratic Multiple Knapsack Problem. Eur. J. Oper. Res. 2021, 291, 871–882. [Google Scholar] [CrossRef]
- Yamada, T.; Takeoka, T. An Exact Algorithm for the Fixed-Charge Multiple Knapsack Problem. Eur. J. Oper. Res. 2009, 192, 700–705. [Google Scholar] [CrossRef]
- Dawande, M.; Kalagnanam, J.; Keskinocak, P.; Salman, F.S.; Ravi, R. Approximation Algorithms for the Multiple Knapsack Problem with Assignment Restrictions. J. Comb. Optim. 2000, 4, 171–186. [Google Scholar] [CrossRef]
- Pisinger, D. An Exact Algorithm for Large Multiple Knapsack Problems. Eur. J. Oper. Res. 1999, 114, 528–541. [Google Scholar] [CrossRef]
- Lalonde, O.; Côté, J.-F.; Gendron, B. A Branch-and-Price Algorithm for the Multiple Knapsack Problem. INFORMS J. Comput. 2022, 34, 3134–3150. [Google Scholar] [CrossRef]
- Fukunaga, A. A Branch-and-Bound Algorithm for Hard Multiple Knapsack Problems. Ann. Oper. Res. 2011, 184, 97–119. [Google Scholar] [CrossRef]
- Bazgan, C.; Hugot, H.; Vanderpooten, D. Solving Efficiently the 0–1 Multi-Objective Knapsack Problem. Comput. Oper. Res. 2009, 36, 260–279. [Google Scholar] [CrossRef]
- Hartman, J.C.; Perry, T.C. Approximating the Solution of a Dynamic, Stochastic Multiple Knapsack Problem. Control. Cybern. 2006, 35, 535–550. [Google Scholar]
- Perry, T.; Hartman, J. An Approximate Dynamic Programming Approach to Solving a Dynamic, Stochastic Multiple Knapsack Problem. Int. Trans. Oper. Res. 2009, 16, 347–359. [Google Scholar] [CrossRef]
- Hiley, A.; Julstrom, B.A. The Quadratic Multiple Knapsack Problem and Three Heuristic Approaches to It. In Proceedings of the 8th Annual Conference on Genetic and Evolutionary Computation, Seattle, WA, USA, 8–12 July 2006; Association for Computing Machinery: New York, NY, USA, 2006; pp. 547–552. [Google Scholar]
- Ferreira, C.E.; Martin, A.; Weismantel, R. Solving Multiple Knapsack Problems by Cutting Planes. SIAM J. Optim. 1996, 6, 858–877. [Google Scholar] [CrossRef]
- Sundar, S.; Singh, A. A Swarm Intelligence Approach to the Quadratic Multiple Knapsack Problem. In Neural Information Processing, Theory and Algorithms; Wong, K.W., Mendis, B.S.U., Bouzerdoum, A., Eds.; Springer: Berlin, Heidelberg, 2010; pp. 626–633. [Google Scholar]
- Boryczka, U. Ants and Multiple Knapsack Problem. In Proceedings of the 6th International Conference on Computer Information Systems and Industrial Management Applications (CISIM’07), Elk, Poland, 28–30 June 2007; pp. 149–154. [Google Scholar]
- Liu, Q.; Odaka, T.; Kuroiwa, J.; Shirai, H.; Ogura, H. A New Artificial Fish Swarm Algorithm for the Multiple Knapsack Problem. IEICE TRANSACTIONS Inf. Syst. 2014, E97-D, 455–468. [Google Scholar] [CrossRef]
- Li, S.; Cai, S.; Sun, R.; Yuan, G.; Chen, Z.; Shi, X. Improved Bat Algorithm for Multiple Knapsack Problems; Springer: Berlin/Heidelberg, Germany, 2019; p. 157. ISBN 9789811513763. [Google Scholar]
- Sivanandam, S.N.; Deepa, S.N. Introduction to Genetic Algorithms; Springer: Berlin, Germany; New York, NY, USA, 2007; ISBN 978-3-540-73189-4. [Google Scholar]
- Chu, P.C.; Beasley, J.E. A Genetic Algorithm for the Multidimensional Knapsack Problem. J. Heuristics 1998, 4, 63–86. [Google Scholar] [CrossRef]
- Guler, A.; Nuriyev, U.; Berberler, M. A Genetic Algorithm to Solve the Multidimensional Knapsack Problem. Math. Comput. Appl. 2013, 18, 486–494. [Google Scholar] [CrossRef]
- Cotta, C.; Troya, J.M. A Hybrid Genetic Algorithm for the 0–1 Multiple Knapsack Problem. In Artificial Neural Nets and Genetic Algorithms; Smith, G.D., Steele, N.C., Albrecht, R.F., Eds.; Springer: Vienna, Austria, 1998; pp. 250–254. [Google Scholar]
- Sarac, T.; Sipahioglu, A. A Genetic Algorithm for the Quadratic Multiple Knapsack Problem; Springer: Berlin/Heidelberg, Germany, 2007; p. 498. ISBN 978-3-540-75554-8. [Google Scholar]
- Unal, A.N. A Genetic Algorithm for the Multiple Knapsack Problem in Dynamic Environment. In Proceedings of the World Congress on Engineering and Computer Science, Wcecs 2013, San Francisco, CA, USA, 23–25 October 2013; Ao, S.I., Douglas, C., Grundfest, W.S., Burgstone, J., Eds.; Int Assoc Engineers-Iaeng: Hong Kong, China, 2013; Volume II, pp. 1162–1167. [Google Scholar]
- Zhan, H.; Yang, J.J.; Ju, L.Y. Improved Genetic Algorithm Based on Operation Order Matrix Encoding for Job Shop Scheduling Problem. Adv. Mater. Res. 2011, 189–193, 4212–4215. [Google Scholar] [CrossRef]
- Meng, L.; Cheng, W.; Zhang, B.; Zou, W.; Fang, W.; Duan, P. An Improved Genetic Algorithm for Solving the Multi-AGV Flexible Job Shop Scheduling Problem. Sensors 2023, 23, 3815. [Google Scholar] [CrossRef] [PubMed]
- Chen, D.; Shen, Y.; Liu, S. A Two-Layer Genetic Algorithm Based on Matrix Coding for FJSP. In Proceedings of the 2018 5th IEEE International Conference on Cloud Computing and Intelligence Systems (CCIS), Nanjing, China, 23–5 November 2018; pp. 507–511. [Google Scholar]
- Sun, L.; Zhang, Y.; Jiang, C. A Matrix Real-Coded Genetic Algorithm to the Unit Commitment Problem. Electr. Power Syst. Res. 2006, 76, 716–728. [Google Scholar] [CrossRef]
- Chen, K.; Bi, W. A New Genetic Algorithm for Community Detection Using Matrix Representation Method. Phys. A Stat. Mech. Its Appl. 2019, 535, 122259. [Google Scholar] [CrossRef]
- Hadjidemetriou, G.M.; Teal, J.; Kapetas, L.; Parlikad, A.K. Flexible Planning for Intercity Multimodal Transport Infrastructure. J. Infrastruct. Syst. 2022, 28, 05021010. [Google Scholar] [CrossRef]
- Givoni, M.; Perl, A. Rethinking Transport Infrastructure Planning to Extend Its Value over Time. J. Plan. Educ. Res. 2020, 40, 82–91. [Google Scholar] [CrossRef]
- Ngampravatdee, C.; Gharehbaghi, K.; Hosseinian-Far, A.; Tee, K.F.; McManus, K. Strategic Initiatives for Large Transport Infrastructure Planning: Reinforcing Sustainability in Urban Transportation through Better Stakeholder Engagement. Sustainability 2023, 15, 13912. [Google Scholar] [CrossRef]
- Chi, S.; Bunker, J. An Australian Perspective on Real-Life Cost-Benefit Analysis and Assessment Frameworks for Transport Infrastructure Investments. Res. Transp. Econ. 2021, 88, 100946. [Google Scholar] [CrossRef]
- Wang, Y.; Levinson, D. The Overlooked Transport Project Planning Process—What Happens before Selecting the Locally Preferred Alternative? Transp. Res. Interdiscip. Perspect. 2023, 19, 100809. [Google Scholar] [CrossRef]
- Zhao, J.; Greenwood, D.; Thurairajah, N.; Liu, H.J.; Haigh, R. Value for Money in Transport Infrastructure Investment: An Enhanced Model for Better Procurement Decisions. Transp. Policy 2022, 118, 68–78. [Google Scholar] [CrossRef]
- Caetano Roos, E.; Siqueira de Souza, J.; Kliemann Neto, F.J. Project Risks and Regulation in Transport Infrastructure: A Study in Brazilian Agencies Concessions Planning Process. Transp. Res. Interdiscip. Perspect. 2024, 23, 101031. [Google Scholar] [CrossRef]
- Gharehbaghi, K.; Hosseinian-Far, A.; Hilletofth, P. The Predicaments of Environmental Impact Assessment (EIA) for Transport Infrastructure: An Examination of Policy Stagnation and Progress. Transform. Gov. People Process Policy 2022, 16, 449–463. [Google Scholar] [CrossRef]
- Pamucar, D.; Macura, D.; Tavana, M.; Božanić, D.; Knežević, N. An Integrated Rough Group Multicriteria Decision-Making Model for the Ex-Ante Prioritization of Infrastructure Projects: The Serbian Railways Case. Socio-Econ. Plan. Sci. 2022, 79, 101098. [Google Scholar] [CrossRef]
- Broniewicz, E.; Ogrodnik, K. Multi-Criteria Analysis of Transport Infrastructure Projects. Transp. Res. Part D Transp. Environ. 2020, 83, 102351. [Google Scholar] [CrossRef]
- Saxena, A. Evaluating the Appropriate Fuel-Based Bus Technology in Indian Context by Integrating Fuzzy AHP-Fuzzy TOPSIS. Eur. Transp./Trasp. Eur. 2023, 1–15. [Google Scholar] [CrossRef]
- D’Ariano, A.; Meng, L.; Centulio, G.; Corman, F. Integrated Stochastic Optimization Approaches for Tactical Scheduling of Trains and Railway Infrastructure Maintenance. Comput. Ind. Eng. 2019, 127, 1315–1335. [Google Scholar] [CrossRef]
- Bagloee, S.A.; Sarvi, M.; Patriksson, M.; Asadi, M. Optimization for Roads’ Construction: Selection, Prioritization, and Scheduling. Comput. -Aided Civ. Infrastruct. Eng. 2018, 33, 833–848. [Google Scholar] [CrossRef]
- Moos, M.; Velten, S.; Weiß, C. Segmentation and Repetitive Scheduling of Linear Continuous Construction Projects. In Operations Research Proceedings 2021; Trautmann, N., Gnägi, M., Eds.; Springer International Publishing: Cham, Switzerland, 2022; pp. 134–140. [Google Scholar]
- Rokicki, B. Cost Underruns in Major Road Transport Infrastructure Projects—The Surprising Experience of Poland. Sustainability 2022, 14, 14608. [Google Scholar] [CrossRef]
- Molinari, L.; Haezendonck, E.; Mabillard, V. Cost Overruns of Belgian Transport Infrastructure Projects: Analyzing Variations over Three Land Transport Modes and Two Project Phases. Transp. Policy 2023, 134, 167–179. [Google Scholar] [CrossRef]
- Borucka, A.; Mazurkiewicz, D.; Łagowska, E. Mathematical Modelling as an Element of Planning Rail Transport Strategies. Transport 2021, 36, 354–363. [Google Scholar] [CrossRef]
- Komornicki, T.; Szejgiec-Kolenda, B. The Development of Transport Infrastructure in Poland and the Role of Spatial Planning and Cohesion Policy in Investment Processes. Plan. Pract. Res. 2023, 38, 694–713. [Google Scholar] [CrossRef]
- Capital Budgeting in the States-Nasbo. Available online: https://www.nasbo.org/reports-data/capital-budgeting-in-the-states (accessed on 14 August 2024).
- Ječmen, K.; Mocková, D.; Teichmann, D.; Mertlová, O. Selection and scheduling of transport infrastructure projects for implementation using genetic algorithms. In Proceedings of the International Scientific Conference Quantitative Methods in Economics Multiple Criteria Decision Making XXII, Bratislava, Slovakia, 12–14 June 2024; Vydavateľstvo EKONÓM: Bratislava, Slovakia, 2024; Volume 22, pp. 70–77. [Google Scholar]
Disclaimer/Publisher’s Note: The statements, opinions and data contained in all publications are solely those of the individual author(s) and contributor(s) and not of MDPI and/or the editor(s). MDPI and/or the editor(s) disclaim responsibility for any injury to people or property resulting from any ideas, methods, instructions or products referred to in the content. |
© 2024 by the authors. Licensee MDPI, Basel, Switzerland. This article is an open access article distributed under the terms and conditions of the Creative Commons Attribution (CC BY) license (https://creativecommons.org/licenses/by/4.0/).








