Optimization of MOSFET Copper Clip to Enhance Thermal Management Using Kriging Surrogate Model and Genetic Algorithm
Abstract
1. Introduction
2. The Proposed Design Optimization Framework
2.1. Finite Element Analysis
2.2. DoEs Using LHS
2.3. Surrogate Model Selection and Validation
2.4. Kriging-Based Genetic Algorithm
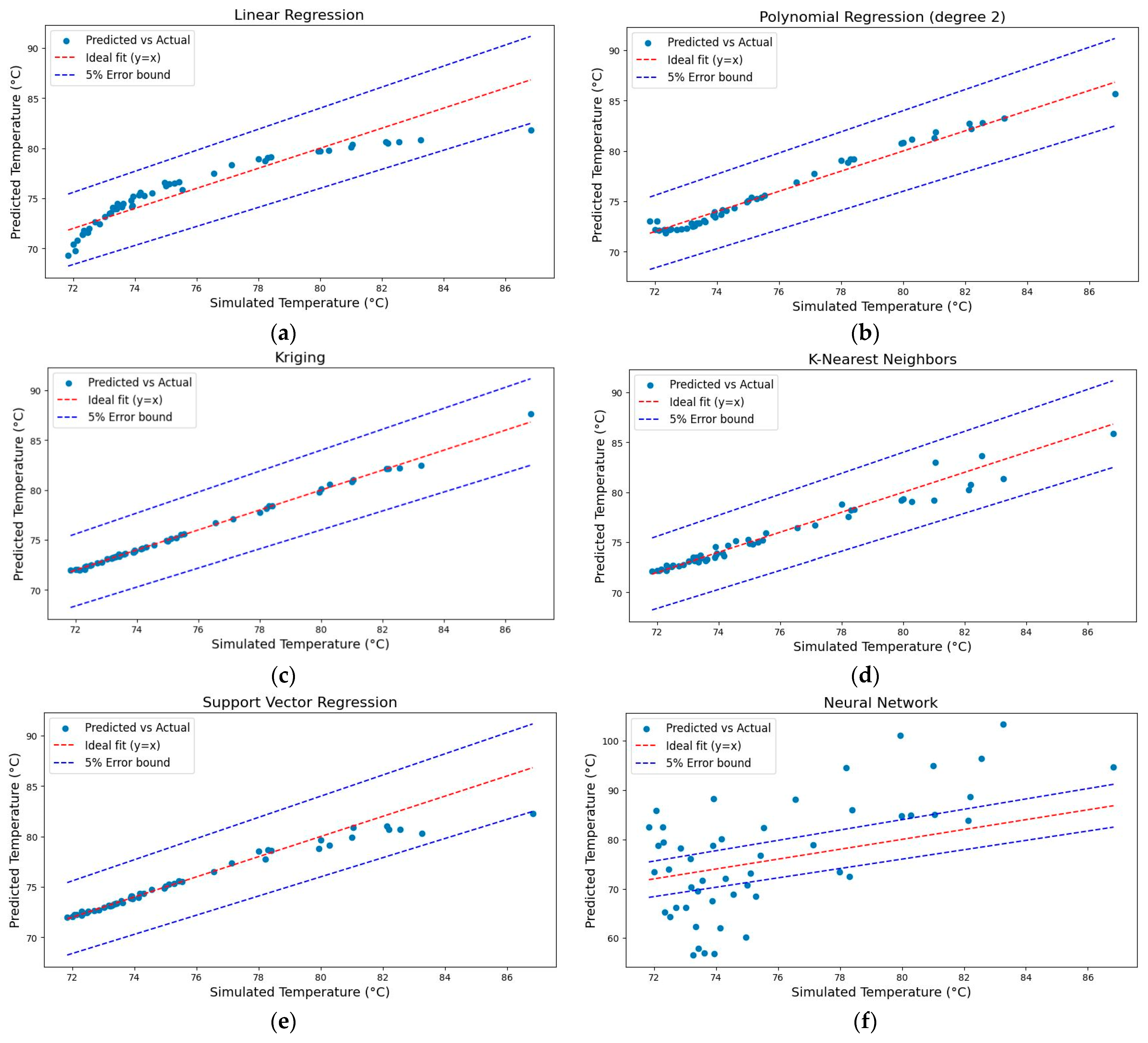
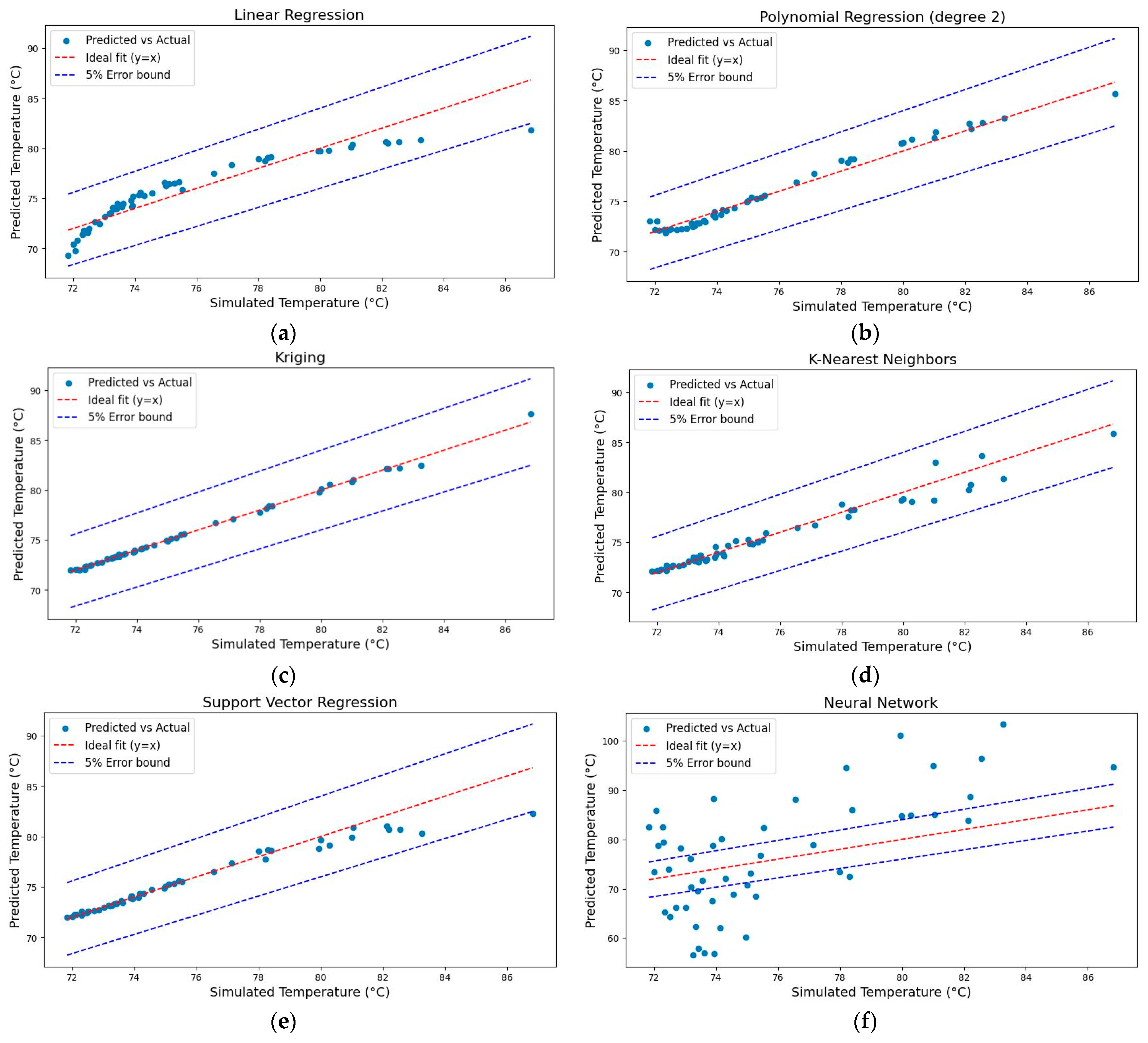
3. Results and Discussion
3.1. Comparison between Al Wire and Cu Clip Bonding Results
3.2. Latin Hypercube Sampling and Simulation Results
3.3. Surrogate Model Selection Results
3.4. Kriging–GA-Based Optimization Results
4. Conclusions
Author Contributions
Funding
Data Availability Statement
Conflicts of Interest
Nomenclature
| Acronym | Definition |
| CAD | Computer-Aided Design modeling |
| DoEs | Design of Experiments |
| FEA | Finite Element Analysis |
| FEM | Finite Element Method |
| GA | Genetic Algorithm |
| GPR | Gaussian Process Regression |
| LHS | Latin Hypercube Sampling |
| MSE | Mean Squared Error |
| MOSFETs | Metal–Oxide–Semiconductor Field-Effect Transistors |
| RBF | Radial Basis Function |
| R2 | R-squared |
References
- Marzoughi, A.; Burgos, R.; Boroyevich, D. Investigating Impact of Emerging Medium-Voltage SiC MOSFETs on Medium-Voltage High-Power Industrial Motor Drives. IEEE J. Emerg. Sel. Top. Power Electron. 2019, 7, 1371–1387. [Google Scholar] [CrossRef]
- Gao, R.; Yang, L.; Yu, W.; Husain, I. Gate Driver Design for a High Power Density EV/HEV Traction Drive Using Silicon Carbide MOSFET Six-Pack Power Modules. In Proceedings of the 2017 IEEE Energy Conversion Congress and Exposition (ECCE), Cincinnati, OH, USA, 7 October 2017; pp. 2546–2551. [Google Scholar]
- Tasca, D.M. Pulse Power Failure Modes in Semiconductors. IEEE Trans. Nucl. Sci. 1970, 17, 364–372. [Google Scholar] [CrossRef]
- Hou, F.; Wang, W.; Cao, L.; Li, J.; Su, M.; Lin, T.; Zhang, G.; Ferreira, B. Review of Packaging Schemes for Power Module. IEEE J. Emerg. Sel. Top. Power Electron. 2020, 8, 223–238. [Google Scholar] [CrossRef]
- Liu, C.; Liu, A.; Jiang, H.; Liang, S.; Zhou, Z.; Liu, C. Self-Propagating Exothermic Reaction Assisted Cu Clip Bonding for Effective High-Power Electronics Packaging. Microelectron. Reliab. 2022, 138, 114688. [Google Scholar] [CrossRef]
- Yasui, K.; Morikawa, T.; Hayakawa, S.; Funaki, T. Performance Improvement for 3.3 kV 1000 A High Power Density Full-SiC Power Modules with Sintered Copper Die Attach. IEEE J. Emerg. Sel. Top. Power Electron. 2024, 1. [Google Scholar] [CrossRef]
- Wang, L.; Zhang, T.; Yang, F.; Ma, D.; Zhao, C.; Pei, Y.; Gan, Y. Cu Clip-Bonding Method With Optimized Source Inductance for Current Balancing in Multichip SiC MOSFET Power Module. IEEE Trans. Power Electron. 2022, 37, 7952–7964. [Google Scholar] [CrossRef]
- Herbsommer, J.A.; Noquil, J.; Bull, C.; Lopez, O. Novel Thermally Enhanced Power Package. In Proceedings of the 2010 Twenty-Fifth Annual IEEE Applied Power Electronics Conference and Exposition (APEC), Palm Springs, CA, USA, 21–25 February 2010; pp. 398–400. [Google Scholar]
- Zhu, Q.; Forsyth, A.; Todd, R.; Mills, L. Thermal Characterisation of a Copper-Clip-Bonded IGBT Module with Double-Sided Cooling. In Proceedings of the 2017 23rd International Workshop on Thermal Investigations of ICs and Systems (THERMINIC), Amsterdam, The Netherlands, 27–29 September 2017; pp. 1–6. [Google Scholar]
- Kim, D.-H.; Oh, A.-S.; Park, E.-Y.; Kim, K.-H.; Jeon, S.-J.; Bae, H.-C. Thermal and Electrical Reliability Analysis of TO-247 for Bonding Method, Substrate Structure and Heat Dissipation Bonding Material. In Proceedings of the 2021 IEEE 71st Electronic Components and Technology Conference (ECTC), San Diego, CA, USA, 1 June 2021; pp. 1950–1956. [Google Scholar]
- Liu, B.; Koziel, S.; Zhang, Q. A Multi-Fidelity Surrogate-Model-Assisted Evolutionary Algorithm for Computationally Expensive Optimization Problems. J. Comput. Sci. 2016, 12, 28–37. [Google Scholar] [CrossRef]
- Cai, X.; Gao, L.; Li, X. Efficient Generalized Surrogate-Assisted Evolutionary Algorithm for High-Dimensional Expensive Problems. IEEE Trans. Evol. Comput. 2020, 24, 365–379. [Google Scholar] [CrossRef]
- Karlsson, R.; Bliek, L.; Verwer, S.; de Weerdt, M. Continuous Surrogate-Based Optimization Algorithms Are Well-Suited for Expensive Discrete Problems. In Proceedings of the Artificial Intelligence and Machine Learning; Baratchi, M., Cao, L., Kosters, W.A., Lijffijt, J., van Rijn, J.N., Takes, F.W., Eds.; Springer International Publishing: Cham, Switzerland, 2021; pp. 48–63. [Google Scholar]
- Fraehr, N.; Wang, Q.J.; Wu, W.; Nathan, R. Assessment of Surrogate Models for Flood Inundation: The Physics-Guided LSG Model vs. State-of-the-Art Machine Learning Models. Water Res. 2024, 252, 121202. [Google Scholar] [CrossRef]
- Cozad, A.; Sahinidis, N.V.; Miller, D.C. Learning Surrogate Models for Simulation-Based Optimization. AIChE J. 2014, 60, 2211–2227. [Google Scholar] [CrossRef]
- Alizadeh, R.; Allen, J.K.; Mistree, F. Managing Computational Complexity Using Surrogate Models: A Critical Review. Res. Eng. Des. 2020, 31, 275–298. [Google Scholar] [CrossRef]
- Bhosekar, A.; Ierapetritou, M. Advances in Surrogate Based Modeling, Feasibility Analysis, and Optimization: A Review. Comput. Chem. Eng. 2018, 108, 250–267. [Google Scholar] [CrossRef]
- Tyan, M.; Nguyen, N.V.; Lee, J.-W. A Tailless UAV Multidisciplinary Design Optimization Using Global Variable Fidelity Modeling. IJASS 2017, 18, 662–674. [Google Scholar] [CrossRef]
- Tian, K.; Gao, T.; Hu, X.; Xiao, J.; Liu, Y. Novel Optimal Sensor Placement Method towards the High-Precision Digital Twin for Complex Curved Structures. Int. J. Solids Struct. 2024, 302, 113003. [Google Scholar] [CrossRef]
- Cheng, K.; Lu, Z.; Ling, C.; Zhou, S. Surrogate-Assisted Global Sensitivity Analysis: An Overview. Struct. Multidiscip. Optim. 2020, 61, 1187–1213. [Google Scholar] [CrossRef]
- McBride, K.; Sundmacher, K. Overview of Surrogate Modeling in Chemical Process Engineering. Chem. Ing. Tech. 2019, 91, 228–239. [Google Scholar] [CrossRef]
- Hong, X.; Mitchell, R.J.; Chen, S.; Harris, C.J.; Li, K.; Irwin, G.W. Model Selection Approaches for Non-Linear System Identification: A Review. Int. J. Syst. Sci. 2008, 39, 925–946. [Google Scholar] [CrossRef]
- Wang, P.; Lu, Z.; Tang, Z. An Application of the Kriging Method in Global Sensitivity Analysis with Parameter Uncertainty. Appl. Math. Model. 2013, 37, 6543–6555. [Google Scholar] [CrossRef]
- Takoutsing, B.; Heuvelink, G.B.M. Comparing the Prediction Performance, Uncertainty Quantification and Extrapolation Potential of Regression Kriging and Random Forest While Accounting for Soil Measurement Errors. Geoderma 2022, 428, 116192. [Google Scholar] [CrossRef]
- Palar, P.S.; Shimoyama, K. On Efficient Global Optimization via Universal Kriging Surrogate Models. Struct. Multidiscip. Optim. 2018, 57, 2377–2397. Available online: https://link.springer.com/article/10.1007/s00158-017-1867-1 (accessed on 2 August 2024). [CrossRef]
- Moustapha, M.; Sudret, B.; Bourinet, J.-M.; Guillaume, B. Quantile-Based Optimization under Uncertainties Using Adaptive Kriging Surrogate Models. Struct. Multidiscip. Optim. 2016, 54, 1403–1421. [Google Scholar] [CrossRef]
- Liu, H.; Cai, J.; Ong, Y.-S. An Adaptive Sampling Approach for Kriging Metamodeling by Maximizing Expected Prediction Error. Comput. Chem. Eng. 2017, 106, 171–182. [Google Scholar] [CrossRef]
- Fuhg, J.N.; Fau, A.; Nackenhorst, U. State-of-the-Art and Comparative Review of Adaptive Sampling Methods for Kriging. Arch. Comput. Methods Eng. 2021, 28, 2689–2747. [Google Scholar] [CrossRef]
- Asritha, K.S.L.K. Comparing Random Forest and Kriging Methods for Surrogate Modeling, Blekinge Institute of Technology, Faculty of Computing, Independent Thesis Basic Level (Degree of Bachelor) 2020, DiVA. Available online: http://urn.kb.se/resolve?urn=urn:nbn:se:bth-20103 (accessed on 12 September 2024).
- Ren, C.; Aoues, Y.; Lemosse, D.; Souza De Cursi, E. Ensemble of Surrogates Combining Kriging and Artificial Neural Networks for Reliability Analysis with Local Goodness Measurement. Struct. Saf. 2022, 96, 102186. [Google Scholar] [CrossRef]
- Wang, X.; Xiao, Y.; Li, W.; Wang, M.; Zhou, Y.; Chen, Y.; Li, Z. Kriging-Based Surrogate Data-Enriching Artificial Neural Network Prediction of Strength and Permeability of Permeable Cement-Stabilized Base. Nat. Commun. 2024, 15, 4891. [Google Scholar] [CrossRef] [PubMed]
- Dong, G. Genetic Algorithm Optimization for Reduced Order Problem Based on Kriging Modeling with Restricted Maximum Likelihood Criterion. In Proceedings of the 10th World Congress on Structural and Multidisciplinary Optimization, Orlando, FL, USA, 19–24 May 2013. [Google Scholar]
- Zhu, C.; Wan, X.-J.; Zhou, Z. Two-Stage Optimization Layout of Grasping Points for Sheet Metal Part Based on GSA-Kriging Model. Preprint 2022. [Google Scholar] [CrossRef]
- Wang, J.; Wang, C.; Zhao, J. Structural Dynamic Model Updating Based on Kriging Model Using Frequency Response Data. J. Vibroengineering 2016, 18, 3484–3498. [Google Scholar] [CrossRef]
- Guirguis, D.; Aulig, N.; Picelli, R.; Zhu, B.; Zhou, Y.; Vicente, W.; Iorio, F.; Olhofer, M.; Matusik, W.; Coello Coello, C.A.; et al. Evolutionary Black-Box Topology Optimization: Challenges and Promises. IEEE Trans. Evol. Comput. 2020, 24, 613–633. [Google Scholar] [CrossRef]
- Tamijani, A.Y. Vibration and Buckling Analysis of Unitized Structure Using Meshfree Method and Kriging Model. Ph.D. Dissertation, Virginia Polytechnic Institute and State University, Blacksburg, VA, USA, 2011. [Google Scholar]
- Gu, Z.; Hou, X.; Ye, J. Design and Analysis Method of Nonlinear Helical Springs Using a Combining Technique: Finite Element Analysis, Constrained Latin Hypercube Sampling and Genetic Programming. Proc. Inst. Mech. Eng. Part C J. Mech. Eng. Sci. 2021, 235, 5917–5930. [Google Scholar] [CrossRef]
- Akin, J.E. Finite Element Analysis Concepts: Via SolidWorks; World Scientific: Singapore, 2010; ISBN 978-981-4313-01-8. [Google Scholar]
- Stolarski, T.; Nakasone, Y.; Yoshimoto, S. Engineering Analysis with ANSYS Software; Butterworth-Heinemann: Oxford, UK, 2018; ISBN 978-0-08-102165-1. [Google Scholar]
- Helton, J.C.; Davis, F.J. Latin Hypercube Sampling and the Propagation of Uncertainty in Analyses of Complex Systems. Reliab. Eng. Syst. Saf. 2003, 81, 23–69. [Google Scholar] [CrossRef]
- Wang, Y.; Li, Y.; Huang, H.; Bai, S. An AK-MCS-based Probabilistic Fatigue Life Prediction Framework for Turbine Disc with a Mean Stress Correction Model. Qual. Reliab. Eng. 2024, 40, 3238–3252. [Google Scholar] [CrossRef]
- Wang, Z. Comparative Study of Latin Hypercube Sampling and Monte Carlo Method in Structural Reliability Analysis. Highlights Sci. Eng. Technol. 2022, 28, 61–69. [Google Scholar] [CrossRef]
- Heap, R.C.; Hepworth, A.I.; Greg Jensen, C. Real-Time Visualization of Finite Element Models Using Surrogate Modeling Methods. J. Comput. Inf. Sci. Eng. 2015, 15, 011007. [Google Scholar] [CrossRef]
- Kim, D.; Azad, M.M.; Khalid, S.; Kim, H.S. Data-Driven Surrogate Modeling for Global Sensitivity Analysis and the Design Optimization of Medical Waste Shredding Systems. Alex. Eng. J. 2023, 82, 69–81. [Google Scholar] [CrossRef]
- de Amorim, L.B.V.; Cavalcanti, G.D.C.; Cruz, R.M.O. The Choice of Scaling Technique Matters for Classification Performance. Appl. Soft Comput. 2023, 133, 109924. [Google Scholar] [CrossRef]
- Gutiérrez, S.; Tardaguila, J.; Fernández-Novales, J.; Diago, M.P. Support Vector Machine and Artificial Neural Network Models for the Classification of Grapevine Varieties Using a Portable NIR Spectrophotometer. PLoS ONE 2015, 10, e0143197. [Google Scholar] [CrossRef]
- Cao, X.H.; Stojkovic, I.; Obradovic, Z. A Robust Data Scaling Algorithm to Improve Classification Accuracies in Biomedical Data. BMC Bioinform. 2016, 17, 359. [Google Scholar] [CrossRef]
- Tatachar, A.V. Comparative Assessment of Regression Models Based on Model Evaluation Metrics. Int. J. Innov. Technol. Explor. Eng. 2021, 8, 853–860. [Google Scholar]
- Sacks, J.; Welch, W.J.; Mitchell, T.J.; Wynn, H.P. Design and Analysis of Computer Experiments. Stat. Sci. 1989, 4, 409–423. [Google Scholar] [CrossRef]
- Stein, M.L. Interpolation of Spatial Data; Springer Series in Statistics; Springer: New York, NY, USA, 1999; ISBN 978-1-4612-7166-6. [Google Scholar]
- Rasmussen, C.E.; Williams, C.K.I. Gaussian Processes for Machine Learning; Adaptive Computation and Machine Learning; MIT Press: Cambridge, MA, USA, 2006; ISBN 978-0-262-18253-9. [Google Scholar]
- Simpson, T.; Mauery, T.; Korte, J.; Mistree, F. Comparison of Response Surface and Kriging Models for Multidisciplinary Design Optimization; AIAA: Reston, VA, USA, 1998; Volume 98. [Google Scholar]
- Holland, J.H. Genetic Algorithms. Sci. Am. 1992, 267, 66–73. [Google Scholar] [CrossRef]
- Chandrasekar, K.; Ramana, N.V. Performance Comparison of GA, DE, PSO and SA Approaches in Enhancement of Total Transfer Capability Using FACTS Devices. J. Electr. Eng. Technol. 2012, 7, 493–500. [Google Scholar] [CrossRef]
- Miller, B.L.; Goldberg, D.E. Genetic Algorithms, Tournament Selection, and the Effects of Noise. Complex Syst. 1995, 9, 193–212. [Google Scholar]
- Hasançebi, O.; Erbatur, F. Evaluation of Crossover Techniques in Genetic Algorithm Based Optimum Structural Design. Comput. Struct. 2000, 78, 435–448. [Google Scholar] [CrossRef]
- Lim, S.M.; Sultan, A.B.M.; Sulaiman, M.N.; Mustapha, A.; Leong, K.Y. Crossover and Mutation Operators of Genetic Algorithms. Int. J. Mach. Learn. Comput. 2017, 7, 9–12. [Google Scholar] [CrossRef]
- Kim, J.-W.; Kim, S.W. New Encoding /Converting Methods of Binary GA/Real-Coded GA. IEICE Trans. Fundam. Electron. Commun. Comput. Sci. 2005, E88-A, 1554–1564. [Google Scholar] [CrossRef]
- Zhang, Y.; Wang, S.; Ji, G. A Comprehensive Survey on Particle Swarm Optimization Algorithm and Its Applications. Math. Probl. Eng. 2015, 2015, 931256. [Google Scholar] [CrossRef]
- Qin, A.K.; Huang, V.L.; Suganthan, P.N. Differential Evolution Algorithm With Strategy Adaptation for Global Numerical Optimization. IEEE Trans. Evol. Comput. 2009, 13, 398–417. [Google Scholar] [CrossRef]










| Component (Material) | Thermal Conductivity (W/m°C) | Isotropic Resistivity (Ωm) |
|---|---|---|
| Encapsulation (EMC) | 0.670 | 2.05 × 1014 |
| Wire (Al) | 273 | 2.82 × 10−8 |
| Die (Si) | 30.8 | 2.50 × 10−5 |
| Die attachment (Sn/Pb) | 50.0 | 1.50 × 10−7 |
| Lead frame (Pb) | 0.08 | 2.20 × 10−7 |
| Clip (Cu) | 391 | 1.68 × 10−8 |
| Parameter | Data Points | Mean (mm) | Std (mm) | Min (mm) | 25% (mm) | 50% (mm) | 75% (mm) | Max (mm) |
|---|---|---|---|---|---|---|---|---|
| (a) | 250 | −0.002 | 0.349 | −0.598 | −0.304 | 0.001 | 0.297 | 0.597 |
| (b) | 250 | 0.501 | 0.145 | 0.252 | 0.375 | 0.501 | 0.626 | 0.75 |
| (c) | 250 | 2.00 | 0.577 | 1.00 | 1.51 | 2.00 | 2.50 | 2.99 |
| Parameter | Data Points | Mean (°C) | Std (°C) | Min (°C) | 25% (°C) | 50% (°C) | 75% (°C) | Max (°C) |
|---|---|---|---|---|---|---|---|---|
| Max. Temp | 250 | 75.5 | 3.55 | 60.0 | 73.0 | 74.3 | 76.7 | 91.7 |
| Surrogate Model | MSE | R2 | Adjusted R2 |
|---|---|---|---|
| Linear regression | 1.72 | 0.868 | 0.860 |
| Polynomial regression (degree 2) | 0.305 | 0.977 | 0.970 |
| Kriging regression | 0.036 | 0.997 | 0.997 |
| K-Nearest Neighbors | 0.501 | 0.962 | 0.959 |
| Support vector regression | 0.820 | 0.937 | 0.933 |
| Neural network | 90.3 | −5.91 | −6.36 |
| Optimization Algorithm | Mean (a, b, c) (mm) | Std (a, b, c) (mm) | Mean Temperature (°C) | Std Temperature (°C) |
|---|---|---|---|---|
| GA | (0.597, 0.750, 2.994) | (1.64 × 10−4, 1.15 × 10−4, 9.57 × 10−5) | 69.6 | 0.105 |
| PSO | (−0.120, 0.551, 2.995) | (5.86 × 10−1, 2.44 × 10−1, 4.44 × 10−16) | 69.3 | 0.255 |
| DE | (0.278, 0.684, 2.995) | (5.29 × 10−1, 1.69 × 10−1, 3.42 × 10−16) | 69.5 | 0.336 |
| Temperature Restriction (°C) | Optimized Parameters (a, b, c) (mm) | Predicted Temperature (°C) | Simulated Temperature (°C) | Percentage Error (%) |
|---|---|---|---|---|
| No restriction | (0.598, 0.750, 2.99) | 69.6 | 71.5 | 2.66 |
| 75 °C restriction | (0.130, 0.361, 2.52) | 74.8 | 74.5 | 0.403 |
| 80 °C restriction | (0.119, 0.275, 1.84) | 79.8 | 79.6 | 0.251 |
Disclaimer/Publisher’s Note: The statements, opinions and data contained in all publications are solely those of the individual author(s) and contributor(s) and not of MDPI and/or the editor(s). MDPI and/or the editor(s) disclaim responsibility for any injury to people or property resulting from any ideas, methods, instructions or products referred to in the content. |
© 2024 by the authors. Licensee MDPI, Basel, Switzerland. This article is an open access article distributed under the terms and conditions of the Creative Commons Attribution (CC BY) license (https://creativecommons.org/licenses/by/4.0/).
Share and Cite
Cheon, Y.; Jung, J.; Ki, D.; Khalid, S.; Kim, H.S. Optimization of MOSFET Copper Clip to Enhance Thermal Management Using Kriging Surrogate Model and Genetic Algorithm. Mathematics 2024, 12, 2949. https://doi.org/10.3390/math12182949
Cheon Y, Jung J, Ki D, Khalid S, Kim HS. Optimization of MOSFET Copper Clip to Enhance Thermal Management Using Kriging Surrogate Model and Genetic Algorithm. Mathematics. 2024; 12(18):2949. https://doi.org/10.3390/math12182949
Chicago/Turabian StyleCheon, Yubin, Jaehyun Jung, Daeyeon Ki, Salman Khalid, and Heung Soo Kim. 2024. "Optimization of MOSFET Copper Clip to Enhance Thermal Management Using Kriging Surrogate Model and Genetic Algorithm" Mathematics 12, no. 18: 2949. https://doi.org/10.3390/math12182949
APA StyleCheon, Y., Jung, J., Ki, D., Khalid, S., & Kim, H. S. (2024). Optimization of MOSFET Copper Clip to Enhance Thermal Management Using Kriging Surrogate Model and Genetic Algorithm. Mathematics, 12(18), 2949. https://doi.org/10.3390/math12182949

