Evolutionary Game and Simulation Analysis of New-Energy Vehicle Promotion in China Based on Reward and Punishment Mechanisms
Abstract
1. Introduction
2. Model Assumptions and Construction
2.1. Model Assumptions
2.2. Model Construction
3. Evolutionary Game Analysis
3.1. Stability Analysis of Automobile Enterprise Strategy
3.2. Stability Analysis of Consumer Strategy
3.3. Stability Analysis of Government Strategy
3.4. System Stability Solution
4. Numerical Analysis of Evolutionary Strategy
4.1. Simulation Data
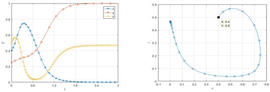
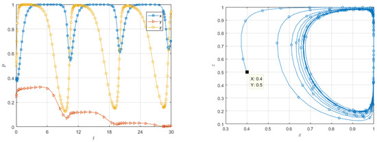
4.2. Numerical Simulation of Three-Party Evolutionary Game
4.3. Linear Reward and Punishment Machine Mechanism
4.3.1. Linear Static Rewards
4.3.2. Linear Static Penalty
4.3.3. Linear Static Reward and Dynamic Punishment
4.3.4. Linear Dynamic Reward and Static Penalty
4.3.5. Linear Dynamic Reward and Dynamic Penalty
4.4. Nonlinear Dynamic Reward and Punishment
4.4.1. Nonlinear Dynamic Reward and Punishment Mechanism
4.4.2. Theoretical Proof of Nonlinear Dynamic Reward and Punishment Mechanism
5. Conclusions and Implications
5.1. Conclusions
- (1)
- Relevant enterprises selling new-energy vehicles and the government actively promote new-energy vehicle sales in a fluctuating manner, leading to unstable results. It is difficult to predict at which point their behavior will stabilize. A fluctuation state often occurs, which is not conducive to carbon emission reduction. Moreover, the fluctuations in this behavior, which are difficult to accurately predict, are not conducive to new-energy vehicle supply chain sales.
- (2)
- The static reward and punishment mechanism changes the fluctuation thresholds or peaks. Nevertheless, it is not a systematic stabilization strategy, which means that the government may engage in active promotion, but enterprises are still in a fluctuating state in terms of choosing between new-energy and fuel vehicles.
- (3)
- Dynamic rewards and punishments have their own drawbacks, although they stabilize the system. Nevertheless, one will encourage the evolution of X and Y to 0, which is certainly not conducive to the stability of the system. Therefore, from the point of view of dynamic rewards and punishments, this type of situation is also not the system’s most desirable state, although a stabilization strategy is achieved.
- (4)
- The nonlinear dynamic reward and punishment mechanism, which is superior to the previous linear dynamic and static reward and punishment mechanisms, can effectively control the behavior of the subjects and allows the system to achieve the ideal state, i.e., the ideal state of stability.
5.2. Limitations and Future Research
Author Contributions
Funding
Data Availability Statement
Conflicts of Interest
References
- Yu, L.; Zheng, J.; Ma, G.; Jiao, Y. Analyzing the Evolution Trend of Energy Conservation and Carbon Reduction in Transportation with Promoting Electrification in China. Energy 2023, 263, 126024. [Google Scholar] [CrossRef]
- Shao, J.; Xue, W.; Wang, J.; Zhang, Q. Advancing to Full Electrification of Rideshare Vehicles: Applying Differentiated Subsidy Phase-out Policies to Plug-in Hybrid Electric Vehicles and Battery Electric Vehicles through an Evolutionary Game Analysis. J. Clean. Prod. 2022, 377, 134265. [Google Scholar] [CrossRef]
- Zhang, Z.; Guo, M.; Yang, W. Analysis of Nev Power Battery Recycling under Different Government Reward-Penalty Mechanisms. Sustainability 2022, 14, 10538. [Google Scholar] [CrossRef]
- Han, J.; Guo, J.-E.; Cai, X.; Lv, C.; Lev, B. An Analysis on Strategy Evolution of Research & Development in Cooperative Innovation Network of New Energy Vehicle within Policy Transition Period. Omega-Int. J. Manag. Sci. 2022, 112, 102686. [Google Scholar]
- Zhou, X.; Zhao, R.; Cheng, L.; Min, X. Impact of Policy Incentives on Electric Vehicles Development: A System Dynamics-Based Evolutionary Game Theoretical Analysis. Clean Technol. Environ. Policy 2019, 21, 1039–1053. [Google Scholar] [CrossRef]
- Tanimoto, J.; Futamata, M.; Tanaka, M. Automated Vehicle Control Systems Need to Solve Social Dilemmas to Be Disseminated. Chaos Solitons Fractals 2020, 138, 109861. [Google Scholar] [CrossRef]
- Li, J.; Jiao, J.; Tang, Y. An Evolutionary Analysis on the Effect of Government Policies on Electric Vehicle Diffusion in Complex Network. Energy Policy 2019, 129, 1–12. [Google Scholar] [CrossRef]
- Fang, Y.; Wei, W.; Liu, F.; Mei, S.; Chen, L.; Li, J. Improving Solar Power Usage with Electric Vehicles: Analyzing a Public-Private Partnership Cooperation Scheme Based on Evolutionary Game Theory. J. Clean. Prod. 2019, 233, 1284–1297. [Google Scholar] [CrossRef]
- Guan, X.; Zhang, G.; Liu, D.; Tan, X.; Wu, D. The Behavior of Consumer Buying New Energy Vehicles Based on Stochastic Evolutionary Game. Filomat 2016, 30, 3987–3997. [Google Scholar] [CrossRef]
- Keivanpour, S.; Ait-Kadi, D.; Mascle, C. Automobile Manufacturers’ Strategic Choice in Applying Green Practices: Joint Application of Evolutionary Game Theory and Fuzzy Rule-Based Approach. Int. J. Prod. Res. 2017, 55, 1312–1335. [Google Scholar] [CrossRef]
- Wang, S.; Fan, J.; Zhao, D.; Wu, Y. The Impact of Government Subsidies or Penalties for New-Energy Vehicles a Static and Evolutionary Game Model Analysis. J. Transp. Econ. Policy 2015, 49, 98–114. [Google Scholar]
- Gao, Y.-L.; Gong, B.; Liu, Z.; Tang, J.; Wang, C. The Behavioural Evolution of the Smart Electric Vehicle Battery Reverse Supply Chain under Government Supervision. Ind. Manag. Data Syst. 2023, 123, 2577–2606. [Google Scholar] [CrossRef]
- Elvik, R. A Review of Game-Theoretic Models of Road User Behaviour. Accid. Anal. Prev. 2014, 62, 388–396. [Google Scholar] [CrossRef] [PubMed]
- Sun, Q.; Chen, H.; Long, R.; Li, Q.; Huang, H. Comparative Evaluation for Recycling Waste Power Batteries with Different Collection Modes Based on Stackelberg Game. J. Environ. Manag. 2022, 312, 114892. [Google Scholar] [CrossRef] [PubMed]
- Chen, S.; Li, G. Competition between New Energy and Fuel Vehicles with Behavior-Based Pricing Strategies When Considering Environmental Concerns and Green Innovation. Sustainability 2024, 16, 4018. [Google Scholar] [CrossRef]
- He, L.; Sun, B. Exploring the Epr System for Power Battery Recycling from a Supply-Side Perspective: An Evolutionary Game Analysis. Waste Manag. 2022, 140, 204–212. [Google Scholar] [CrossRef]
- Xian, C.; Du, J.; Shahzad, F.; Xu, L.; Jin, S. Complexity and Chaos Control of Dynamic Evolution in Energy Vehicle Production Decisions. Heliyon 2023, 9, e12889. [Google Scholar] [CrossRef]
- Hu, J.; Wu, J.; Zhuang, F.; Wang, M. Contract Selection for Collaborative Innovation in the New Energy Vehicle Supply Chain under the Dual Credit Policy: Cost Sharing and Benefit Sharing. Int. J. Ind. Eng. Comput. 2024, 15, 209–222. [Google Scholar]
- Ovalle, A.; Hably, A.; Bacha, S. Escort Function Definitions for Feasible Region Flexibility in Applications of Replicatorlike Dynamics with Constraints. IEEE Trans. Autom. Control 2021, 66, 5414–5421. [Google Scholar] [CrossRef]
- Bai, W.; Wen, X.; Zhang, J.; Li, L. Cooperative Vehicle Infrastructure System or Autonomous Driving System? From the Perspective of Evolutionary Game Theory. Mathematics 2024, 12, 1404. [Google Scholar] [CrossRef]
- Zhao, J.-H.; Zeng, D.-L.; Zhou, T.-W.; Zhu, Z.-C. Data Mining of Urban New Energy Vehicles in an Intelligent Government Subsidy Environment Using Closed-Loop Supply Chain Pricing Model. Comput. Syst. Sci. Eng. 2020, 35, 151–172. [Google Scholar] [CrossRef]
- Sun, W.; Yuan, M.; Zhang, Z. The Evolutionary Game Analysis and Optimization Algorithm of Electric Vehicle Cell Innovation Diffusion Based on a Patent Pool Strategy. World Electr. Veh. J. 2021, 12, 251. [Google Scholar] [CrossRef]
- Issa, M.; Ilinca, A.; Martini, F. Ship Energy Efficiency and Maritime Sector Initiatives to Reduce Carbon Emissions. Energies 2022, 15, 7910. [Google Scholar] [CrossRef]
- Shao, Y.; Chen, Z. Can Government Subsidies Promote the Green Technology Innovation Transformation? Evidence from Chinese Listed Companies. Econ. Anal. Policy 2022, 74, 716–727. [Google Scholar] [CrossRef]
- Yang, M.; Chen, L.; Wang, J.; Msigwa, G.; Osman, A.I.; Fawzy, S.; Rooney, D.W.; Yap, P.-S. Circular Economy Strategies for Combating Climate Change and Other Environmental Issues. Environ. Chem. Lett. 2023, 21, 55–80. [Google Scholar] [CrossRef]
- Huang, X.; Lin, Y.; Lim, M.K.; Zhou, F.; Liu, F. Electric Vehicle Charging Station Diffusion: An Agent-Based Evolutionary Game Model in Complex Networks. Energy 2022, 257, 124700. [Google Scholar] [CrossRef]
- Kaewpuang, R.; Sawadsitang, S.; Niyato, D.; Yu, H. Evolutionary Carrier Selection for Shared Truck Delivery Services. IEEE Trans. Veh. Technol. 2023, 72, 6778–6782. [Google Scholar] [CrossRef]
- Liu, C.; Huang, W.; Yang, C. The Evolutionary Dynamics of China’s Electric Vehicle Industry—Taxes Vs. Subsidies. Comput. Ind. Eng. 2017, 113, 103–122. [Google Scholar] [CrossRef]
- Li, Y.; Zhang, J. Evolutionary Game Analysis of Low-Carbon Incentive Behaviour of Power Battery Recycling Based on Prospect Theory. Sustainability 2024, 16, 2793. [Google Scholar] [CrossRef]
- Huo, H.; Lu, Y.; Wang, Y. Evolutionary Game Analysis of Low-Carbon Transformation and Technological Innovation in the Cold Chain under Dual Government Intervention. Environ. Dev. Sustain. 2024, 1, 1–28. [Google Scholar] [CrossRef]
- Jin, T.; Jiang, Y.; Liu, X. Evolutionary Game Analysis of the Impact of Dynamic Dual Credit Policy on New Energy Vehicles after Subsidy Cancellation. Appl. Math. Comput. 2023, 440, 127677. [Google Scholar] [CrossRef]
- Li, K.; Xia, L.; Zhao, N.; Fu, H. Evolutionary Game Analysis on Incremental Component Suppliers and Auto Manufacturers’ Intelligent Connected Vehicle Production Decisions. Manag. Decis. Econ. 2023, 44, 2907–2923. [Google Scholar] [CrossRef]
- Kim, W. Evolutionary Game for Content Cache in a Mm-Wave-Based Vehicular Fog. Electronics 2020, 9, 1794. [Google Scholar] [CrossRef]
- Zhao, D.; Wang, J.; Li, Y.-K.; Tang, J.-H.; Zhang, S.-W. How to Promote the Transition of Fuel Vehicle Enterprises under Dual Credit Policy? An Improved Tripartite Evolutionary Game Analysis with Time Delay. Energy 2024, 293, 130696. [Google Scholar] [CrossRef]
- Zhang, Z.-X.; Chen, W.-N.; Shi, W.; Jeon, S.-W.; Zhang, J. An Individual Evolutionary Game Model Guided by Global Evolutionary Optimization for Vehicle Energy Station Distribution. IEEE Trans. Comput. Soc. Syst. 2024, 11, 1289–1301. [Google Scholar] [CrossRef]
- Zhang, W.; Luo, R.; Mao, Q.; Zhu, Z. Optimal Production Cooperation Strategies for Automakers Considering Different Sales Channels under Dual Credit Policy. Comput. Ind. Eng. 2024, 187, 109769. [Google Scholar] [CrossRef]
- Yu, H.; Li, Y.; Wang, W. Optimal Innovation Strategies of Automakers with Market Competition under the Dual-Credit Policy. Energy 2023, 283, 128403. [Google Scholar] [CrossRef]
- Tan, B.Q.; Kang, K.; Zhong, R.Y. Electric Vehicle Charging Infrastructure Investment Strategy Analysis: State-Owned Versus Private Parking Lots. Transp. Policy 2023, 141, 54–71. [Google Scholar] [CrossRef]
- Gong, B.; Xia, X.; Cheng, J. Supply-Chain Pricing and Coordination for New Energy Vehicles Considering Heterogeneity in Consumers’ Low Carbon Preference. Sustainability 2020, 12, 1306. [Google Scholar] [CrossRef]
- Li, G.; Lu, M.; Lai, S.; Li, Y. Research on Power Battery Recycling in the Green Closed-Loop Supply Chain: An Evolutionary Game-Theoretic Analysis. Sustainability 2023, 15, 10425. [Google Scholar] [CrossRef]
- Zhang, Q.; Wu, J.; Sun, T.; Huang, Y.; Li, C. Multi-Microgrid Bi-Layer Economic Scheduling Strategy Considering Evolutionary-Stackelberg Hybrid Game of Electric Vehicles. IET Smart Grid 2024, 2, 1–18. [Google Scholar] [CrossRef]
- Feng, Z.; Luo, N.; Shalpegin, T.; Cui, H. The Influence of Carbon Emission Reduction Instruments on Blockchain Technology Adoption in Recycling Batteries of the New Energy Vehicles. Int. J. Prod. Res. 2024, 62, 891–908. [Google Scholar] [CrossRef]
- Liao, D.; Tan, B. An Evolutionary Game Analysis of New Energy Vehicles Promotion Considering Carbon Tax in Post-Subsidy Era. Energy 2023, 264, 126156. [Google Scholar] [CrossRef]
- Liu, C.; Song, Y.; Wang, W.; Shi, X. The Governance of Manufacturers’ Greenwashing Behaviors: A Tripartite Evolutionary Game Analysis of Electric Vehicles. Appl. Energy 2023, 333, 120498. [Google Scholar] [CrossRef]
- Li, J.; Wu, D.; Wang, Y. How to Choose the Refueling of New Energy Vehicles under Swapping vs. Charging Mode: From the Consumers’ Perspective. World Electr. Veh. J. 2023, 14, 211. [Google Scholar] [CrossRef]
- Fan, R.; Bao, X.; Du, K.; Wang, Y.; Wang, Y. The Effect of Government Policies and Consumer Green Preferences on the R&D Diffusion of New Energy Vehicles: A Perspective of Complex Network Games. Energy 2022, 254, 124316. [Google Scholar]
- Nie, Q.; Zhang, L.; Tong, Z.; Hubacek, K. Strategies for Applying Carbon Trading to the New Energy Vehicle Market in China: An Improved Evolutionary Game Analysis for the Bus Industry. Energy 2022, 259, 124904. [Google Scholar] [CrossRef]
- Li, K.; Dong, F. Government Strategy for Banning Gasoline Vehicles: Evidence from Tripartite Evolutionary Game. Energy 2022, 254, 124158. [Google Scholar] [CrossRef]
- Zhao, C.; Ma, X.; Wang, K. The Electric Vehicle Promotion in the Cold-Chain Logistics under Two-Sided Support Policy: An Evolutionary Game Perspective. Transp. Policy 2022, 121, 14–34. [Google Scholar] [CrossRef]
- Huang, X.; Lin, Y.; Lim, M.K.; Zhou, F.; Ding, R.; Zhang, Z. Evolutionary Dynamics of Promoting Electric Vehicle-Charging Infrastructure Based on Public-Private Partnership Cooperation. Energy 2022, 239, 122281. [Google Scholar] [CrossRef]
- Ding, L.; Zhu, X. The Impact of the Dual-Credit Policy on Production and Cooperative R&D in the Automotive Supply Chain. Sustainability 2023, 15, 1302. [Google Scholar] [CrossRef]
- Tang, J.; Wu, W.; Zhao, D.; Chen, X. Evolutionary Game and Simulation Analysis of Intelligent Connected Vehicle Industry with Cross-Border Collaborative Innovation. IEEE Access 2023, 11, 17721–17730. [Google Scholar] [CrossRef]
- Tang, X.; Feng, J.; Feng, B.; Mao, X.; Wei, X.Z. Policy Analysis on the Promotion of New Energy Vehicles in China Considering Consumers’ Car Purchasing Choices in the Post-Subsidy Era: Based on the Study of a Three-Party Evolutionary Game. Environ. Dev. Sustain. 2024, 4, 1–32. [Google Scholar] [CrossRef]
- Chen, Y.; Zhan, M.; Liu, Y. Promoting the Development of China’s New-Energy Vehicle Industry in the Post-Subsidy Era: A Study Based on the Evolutionary Game Theory Method. Energies 2023, 16, 5760. [Google Scholar] [CrossRef]
- Xu, X.; Mi, Z.; Zhan, Z.; Ji, L. Response Capability Evaluation Model of Electric Vehicle Aggregator Based on Evolutionary Game and Response Anticipation. Front. Energy Res. 2023, 11, 1225327. [Google Scholar]
- Chen, Q.; Li, C. The Green Paradox in Nev Manufacturing: Regulatory Impacts on Innovation from a Stakeholder Perspective. Energies 2024, 17, 3508. [Google Scholar] [CrossRef]
- Guo, R.; He, Y.; Tian, X.; Li, Y. New Energy Vehicle Battery Recycling Strategy Considering Carbon Emotion from a Closed-Loop Supply Chain Perspective. Sci. Rep. 2024, 14, 688. [Google Scholar] [CrossRef]
- Liao, H.; Peng, S.; Li, L.; Zhu, Y. The Role of Governmental Policy in Game between Traditional Fuel and New Energy Vehicles. Comput. Ind. Eng. 2022, 169, 108292. [Google Scholar] [CrossRef]
- Sun, H.; Wan, Y.; Lv, H. System Dynamics Model for the Evolutionary Behaviour of Government Enterprises and Consumers in China’s New Energy Vehicle Market. Sustainability 2020, 12, 1578. [Google Scholar] [CrossRef]
- Tsai, W.-H.; Chang, S.-C.; Teng, Y. Equilibrium between Environmental and Economic Objectives: An Activity-Based Costing Approach Application for Carbon Emissions Management in the Aluminum Alloy Wheel Industry. Energies 2024, 17, 1331. [Google Scholar] [CrossRef]
- Chen, C.-F.; de Rubens, G.Z.; Noel, L.; Kester, J.; Sovacool, B.K. Assessing the Socio-Demographic, Technical, Economic and Behavioral Factors of Nordic Electric Vehicle Adoption and the Influence of Vehicle-to-Grid Preferences. Renew. Sustain. Energy Rev. 2020, 121, 109692. [Google Scholar] [CrossRef]
- Wang, Y.; Guo, C.-H.; Chen, X.-J.; Jia, L.-Q.; Guo, X.-N.; Chen, R.-S.; Zhang, M.-S.; Chen, Z.-Y.; Wang, H.-D. Carbon Peak and Carbon Neutrality in China: Goals, Implementation Path and Prospects. China Geol. 2021, 4, 720–746. [Google Scholar] [CrossRef]











| Feature | Existing Literature | This Study |
|---|---|---|
| Focus | Primarily focused on binary interactions between two parties (e.g., consumers and government). | Examines tripartite interactions among vehicle manufacturers, consumers and government. |
| Methodology | Utilizes static models to analyze policy impacts. | Introduces a dynamic evolutionary game model that incorporates both static and dynamic rewards and penalties. |
| Data Utilization | Relies largely on theoretical models | Employs comprehensive real-world data to inform model parameters and validate outcomes. |
| Stakeholders Analyzed | Often omits detailed analysis of one or more key stakeholder groups. | Includes detailed strategic analysis for all three key stakeholder groups, providing a holistic view. |
| Policy Implications | Provides generalized policy recommendations without differentiation between short-term and long-term impacts. | Delivers nuanced policy insights distinguishing between immediate effects and sustainable strategies. |
| Symbol | Parameter | Description |
|---|---|---|
| Unit selling price of new-energy vehicles sold by automobile companies (purchase price of new-energy vehicles by consumers) | ||
| Volume of new-energy vehicles sold | ||
| Unit cost of research and development of new-energy vehicles | ||
| Unit selling price of conventional cars sold by automakers (consumer purchase price of conventional cars) | ||
| Volume of traditional fuel vehicles sold | ||
| Unit cost of R&D for conventional fuel vehicles | ||
| Benefit coefficient of producing new-energy vehicles | ||
| Coefficient of reduction in efficiency of enterprises producing traditional fuel vehicles | ||
| Benefit of consumers buying new-energy vehicles | ||
| Benefit of purchasing traditional fuel vehicles | ||
| Sales ratio of new-energy vehicles | ||
| Benefit of government subsidies for new-energy vehicles | ||
| Costs of manpower and material resources paid by government to actively promote new-energy vehicles | ||
| Benefits of government subsidies for promotion of new-energy vehicles | ||
| Government subsidies for enterprises producing new-energy vehicles | ||
| Government subsidies for consumers’ purchase of new-energy vehicles | ||
| Social benefits of carbon emission reduction | ||
| Loss of social benefits if government negatively promotes new-energy vehicles | ||
| Constraints faced by automobile enterprises in selling traditional fuel vehicles | ||
| Increase in expected cost for consumers to purchase new-energy vehicles | ||
| Loss of carbon emission reduction benefits to government |
| Game Subject | Consumer | Government | ||
|---|---|---|---|---|
| Positive Promotion z | Negative Promotion 1-z | |||
| Automobile companies | Selling new-energy vehicles | Intend to buy new-energy vehicles | ||
| Intend to buy fuel vehicles | ||||
| Selling fuel vehicles | Buy new-energy vehicle | |||
| Intention to buy a fuel car | ||||
| Equilibrium Point | |||
|---|---|---|---|
| (0, 0, 0) | |||
| (0, 1, 0) | |||
| (0, 0, 1) | |||
| (0, 1, 1) | |||
| (1, 0, 0) | |||
| (1, 1, 0) | |||
| (1, 0, 1) | |||
| (1, 1, 1) |
| Parameter | Parameter Meaning | Assigned Value |
|---|---|---|
| Unit selling price of new-energy vehicles sold by automobile enterprises (purchase price of new-energy vehicles for consumers) | 17 | |
| Initial value of total orders in new-energy vehicle market | ||
| R&D unit cost of new-energy vehicles | 12.5 | |
| Unit selling price of traditional cars sold by automobile enterprises (purchase price of traditional cars by consumers) | 10 | |
| Initial value of total market order quantity of conventional cars sold | ||
| Unit cost of R&D for conventional cars | 6 | |
| Coefficient of benefit of producing new-energy vehicles | 0.28 | |
| Coefficient of reduction in benefits of producing traditional vehicles | 0.14 | |
| Benefit of consumers buying new-energy vehicles | 2 | |
| Benefit of buying conventional cars | 6.3 | |
| Proportion of new-energy vehicles sold | 0.25 | |
| Cost of manpower and material resources paid by government to actively promote new-energy vehicles | 25 | |
| Benefits gained by government in actively promoting new-energy vehicles | 30 | |
| Government subsidies for enterprises to produce new-energy vehicles | 6 | |
| Government subsidies for consumers to buy new-energy vehicles | 1 | |
| Loss of social benefits when government negatively promotes new-energy vehicles | 20 | |
| Constraints faced by automobile enterprises in selling traditional cars | 0.2 | |
| Expected increase in cost of cars for consumers purchasing new-energy vehicles | 0.3 | |
| Loss of carbon emission reduction benefits for government | 0.5 |
Disclaimer/Publisher’s Note: The statements, opinions and data contained in all publications are solely those of the individual author(s) and contributor(s) and not of MDPI and/or the editor(s). MDPI and/or the editor(s) disclaim responsibility for any injury to people or property resulting from any ideas, methods, instructions or products referred to in the content. |
© 2024 by the authors. Licensee MDPI, Basel, Switzerland. This article is an open access article distributed under the terms and conditions of the Creative Commons Attribution (CC BY) license (https://creativecommons.org/licenses/by/4.0/).
Share and Cite
Cai, R.; Zhang, T.; Wang, X.; Jia, Q.; Zhao, S.; Liu, N.; Wang, X. Evolutionary Game and Simulation Analysis of New-Energy Vehicle Promotion in China Based on Reward and Punishment Mechanisms. Mathematics 2024, 12, 2900. https://doi.org/10.3390/math12182900
Cai R, Zhang T, Wang X, Jia Q, Zhao S, Liu N, Wang X. Evolutionary Game and Simulation Analysis of New-Energy Vehicle Promotion in China Based on Reward and Punishment Mechanisms. Mathematics. 2024; 12(18):2900. https://doi.org/10.3390/math12182900
Chicago/Turabian StyleCai, Rongjiang, Tao Zhang, Xi Wang, Qiaoran Jia, Shufang Zhao, Nana Liu, and Xiaoguang Wang. 2024. "Evolutionary Game and Simulation Analysis of New-Energy Vehicle Promotion in China Based on Reward and Punishment Mechanisms" Mathematics 12, no. 18: 2900. https://doi.org/10.3390/math12182900
APA StyleCai, R., Zhang, T., Wang, X., Jia, Q., Zhao, S., Liu, N., & Wang, X. (2024). Evolutionary Game and Simulation Analysis of New-Energy Vehicle Promotion in China Based on Reward and Punishment Mechanisms. Mathematics, 12(18), 2900. https://doi.org/10.3390/math12182900

