A Novel Brillouin and Langevin Functions Dynamic Model for Two Conflicting Social Groups: Study of R&D Processes
Abstract
1. Introduction
- To conduct a critical analysis of existing approaches and methods for modeling social conflicts.
- To develop a sociophysical model of the conflict dynamics between two groups of participants in the R&D process. Participants in each group interact with each other within their group through mean field interactions [10,17]. We add a depolarization field similar to the magnetic field of the Brillouin model [18], under which the tendency (preference) of group participants to select a conflict resolution method (from extreme competition to close cooperation) is formed.
- To study various types of dynamics of the simulated conflict system and the structure of its phase space.
- To explore various scenarios based on realistic assumptions about the conflict behavior of groups.
2. Literature Review
2.1. Behavioral Styles in Conflict
2.2. Models for Describing Social Conflicts
2.3. Types of Social Conflict Participants in R&D Business Processes
- For solving operational tasks, employees with an adaptive behavioral style are more useful, since they ensure the stability of the organization; for solving strategic tasks—employees with an innovative style, ensuring a breakthrough development style;
- For solving routine problems and tasks, employees with an adaptive style are more effective; for solving problems in crisis situations—with an innovative style;
- Employees with an adaptive style offer acceptable and relevant solutions to problems, employees with an innovative style offer many ideas that are not obvious and not always directly acceptable for solving the problem;
- Employees with an adaptive style prefer to include new data in the existing structure (context) of the problem, and employees with an innovative style use new data to change the existing structure (paradigm).
3. Research Methodology
3.1. Sociophysical Approach to Resolving Contradictions: Principles and Methods
- Openness: the social system is open since it exchanges matter, energy, and information with the external environment;
- Nonlinearity: the presence of a spectrum of different development options, and such multivariance is combined with the probabilistic and rhythmic (wave) nature of the social processes and systems. Different phases of system development are distinguished: (1) the linear phase as a unidirectional change that reveals a clear pattern, and it can be accurately calculated and on this basis a forecast for the future can be made; (2) the nonlinear phase represents critical states characterized by the possibility of only a probabilistic forecast of a set of future possible states;
- Coherence as self-consistency of complex social processes and systems;
- Interdisciplinarity: social processes are considered on the basis of different scientific disciplines. Self-organization theory identifies a single algorithm for transition from less complex and disordered states to more complex and ordered ones. The theoretical basis is the theory of coordinated processes by G. Haken and nonequilibrium thermodynamics by I. Prigogine. Self-organization in the theory of nonlinear dynamic systems is identified with the ability of systems to behave in a diverse, complex, and adequate manner to external influences, which are interpreted as a jump (bifurcation) of the system from one state to another; evolutionism. Evolution in global evolutionism differs from the similar concept of change and development, and it is associated with the emergence of new parameters or systems. Development is associated with the emergence of new features in the system.
3.2. Elements of the Theory of Paramagnetism, Langevin, and Brillouin Functions
3.3. Statemant of the Problem
4. Empirical Results and Discussion
4.1. Modeling and Situational Analysis
- The groups are not connected to each other; .
- Intergroup interactions have different signs for the two groups; .
- There are no connections between group participants or they are low; .
- Connections within and between groups are different from zero.
- Situation 1. ; there are no intergroup communications, that is, the networks of innovators and adapters are not connected.
- Situation 2.
- Situation 3.
- Situation 4. Connections within groups and between groups are different from zero
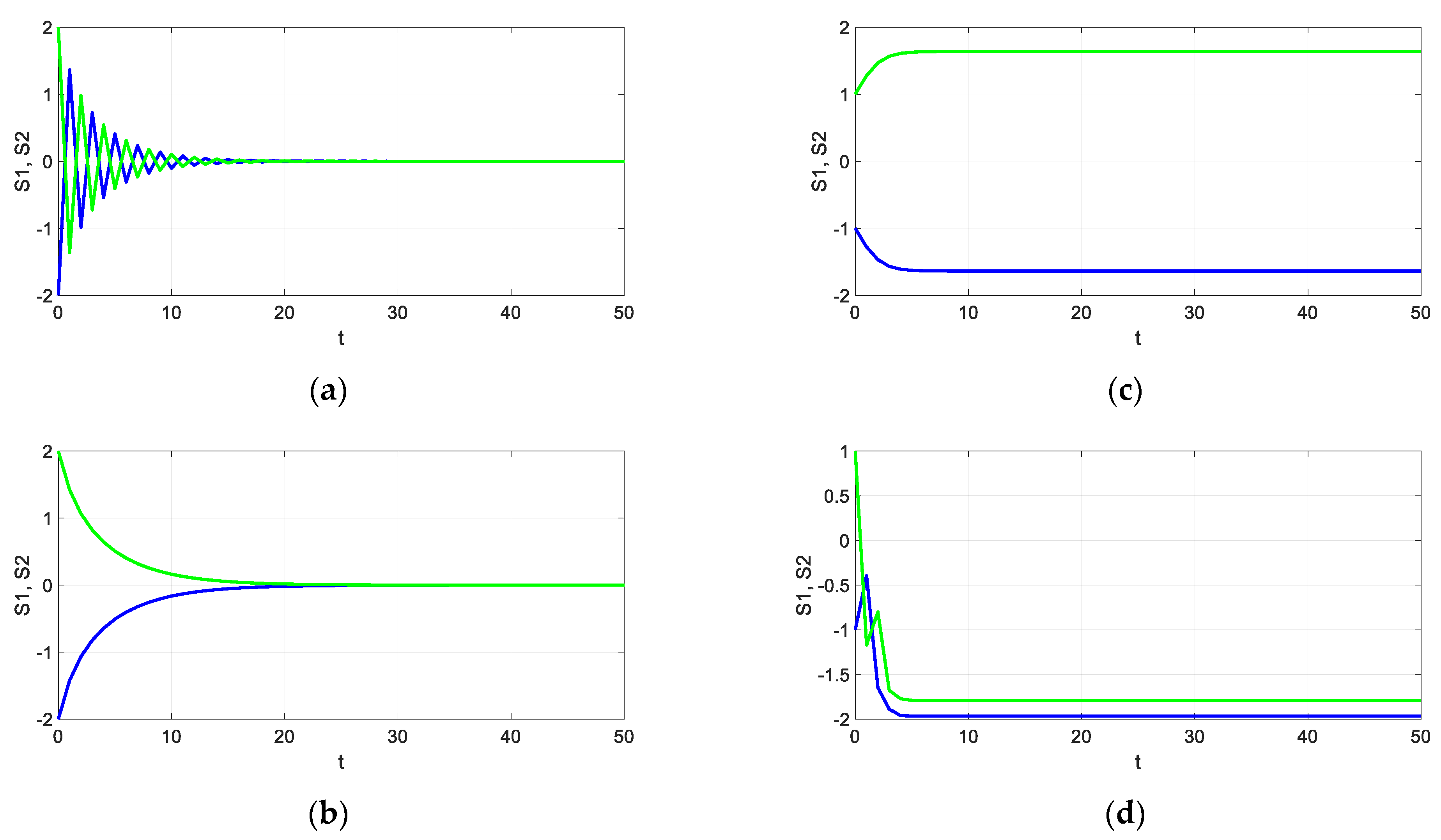
- High intra-group, high intergroup ties with opposite signs. Strengthening intra-group ties only aggravates the contradictions of the parties; see Figure 9c.
4.2. Testing the Model at an Industrial Enterprise
5. Conclusions
Funding
Data Availability Statement
Conflicts of Interest
References
- Kirton, M.J. Adaptors and innovators-Why new initiatives get blocked. Long Range Plan. 1984, 17, 137–143. [Google Scholar] [CrossRef]
- Kirton, M.J. Adaptors and innovators: A description and measure. In Creativity Assessment: Readings and Resources; Puccio, G.J., Murdock, M.C., Eds.; Creative Education Foundation Press: Buffalo, NY, USA, 1999; pp. 121–132. [Google Scholar]
- Stieglitz, N.; Heine, K. Innovations and the role of complementarities in a strategic theory of the firm. Strateg. Manag. J. 2007, 28, 1–15. [Google Scholar] [CrossRef]
- Hodge, J.; Sprague-Williams, F.; Woelk, J. Rank disequilibrium in multiple-criteria evaluation schemes. Involv. A J. Math. 2017, 10, 165–180. [Google Scholar] [CrossRef]
- Racek, D.; Thurner, P.; Kauermann, G. Integrating Spatio-temporal Diffusion into Statistical Forecasting Models of Armed Conflict via Non-parametric Smoothing. Cent. Open Sci. 2024, preprint. [Google Scholar] [CrossRef]
- Wei, E.; Tan, S.; Yu, P.; Kvist, T.; Yu, V. A video-based decision aid improved knowledge and decreased decisional conflict for asymptomatic persistent endodontic lesions. Int. Endod. J. 2017, 57, 394–405. [Google Scholar] [CrossRef] [PubMed]
- Malietskii, G.G.; Makhov, S.A. Dynamics of macroeconomic and bilateral trade’s indicators of the BRICS countries and the USA. Math. Model. Numer. Methods 2023, 37, 112–123. [Google Scholar] [CrossRef]
- Coleman, P.T.; Vallacher, R.R.; Nowak, A.; Bui-Wrzosinska, L. Intractable conflict as an attractor: A dynamical systems approach to conflict escalation and intractability. Am. Behav. Sci. 2007, 50, 1454–1475. [Google Scholar] [CrossRef]
- Liebovitch, L.S.; Naudot, V.; Vallacher, R.; Nowak, A.; Bui-Wrzosinska, L.; Coleman, P. Dynamics of two-actor cooperation-competition conflict models. Phys. A Stat. Mech. Its Appl. 2008, 387, 6360–6378. [Google Scholar] [CrossRef]
- Kaufman, M.; Kaufman, S.; Diep, H.T. Social Depolarization: Blume–Capel Model. Physics 2024, 6, 138–147. [Google Scholar] [CrossRef]
- Orlova, E.V. Design Technology and AI-Based Decision Making Model for Digital Twin Engineering. Future Internet 2022, 14, 248. [Google Scholar] [CrossRef]
- Orlova, E.V. Methodology and Statistical Modeling of Social Capital Influence on Employees’ Individual Innovativeness in a Company. Mathematics 2022, 10, 1809. [Google Scholar] [CrossRef]
- Orlova, E.V. Design of Personal Trajectories for Employees’ Professional Development in the Knowledge Society under Industry 5.0. Soc. Sci. 2021, 10, 427. [Google Scholar] [CrossRef]
- Orlova, E.V. Dynamic Regimes for Corporate Human Capital Development Used Reinforcement Learning Methods. Mathematics 2023, 11, 3916. [Google Scholar] [CrossRef]
- Orlova, E.V. Inference of Factors for Labor Productivity Growth Used Randomized Experiment and Statistical Causality. Mathematics 2023, 11, 863. [Google Scholar] [CrossRef]
- Orlova, E.V. Innovation in Company Labor Productivity Management: Data Science Methods Application. Appl. Syst. Innov. 2021, 4, 68. [Google Scholar] [CrossRef]
- Boudec, J.-Y.L.; McDonald, D.; Mundinger, J. A Generic Mean Field Convergence Result for Systems of Interacting Objects. In Proceedings of the Fourth International Conference on the Quantitative Evaluation of Systems (QEST 2007), Edinburgh, UK, 17–19 September 2007; pp. 3–18. [Google Scholar] [CrossRef]
- Coleman, P.T.; Deutsch, M.; Marcus, E.C. The Handbook of Conflict Resolution: Theory and Practice; Jossey-Bass: San Francisco, CA, USA, 2014; 1264p. [Google Scholar]
- Myers, D. Social Psychology; Piter: St. Petersburg, Russia, 2019; 800p. [Google Scholar]
- Thomas, K.W.; Kilmann, R.H. Thomas-Kilmann Conflict Mode Instrument. TKI Profile & Interpretive Report; CPP, Inc.: Sunnyvale, CA, USA, 1976. [Google Scholar] [CrossRef]
- Kapitsa, S.P.; Kurdyumov, S.P.; Malinetsky, G.G. Synergetics and Forecasts of the Future; Nauka: Moscow, Russia, 1997; 285p. [Google Scholar]
- Turchin, P.V. Historical Dynamics: How States Arise and Collapse. Towards Theoretical History; URSS: Moscow, Russia, 2022; 366p. [Google Scholar]
- Strauss, B.; Strauss, W.; Howe, N. The History of America’s Future, 1584 to 2069; Morrow: New York, NY, USA, 1991; 538p. [Google Scholar]
- Gumilev, L.N. Ethnogenesis and Biosphere Land; IrisPress: Moscow, Russia, 2016; 545p. [Google Scholar]
- Schumpeter, J. Capitalism, Socialism and Democracy; Harper & Brothers: New York, NY, USA, 1942; 431p. [Google Scholar]
- Orlova, E.V. Model for economic interests agreement in duopoly’s making price decisions. Comput. Res. Model. 2015, 7, 1309–1329. [Google Scholar] [CrossRef]
- Kaniadakis, G. Novel predator-prey model admitting exact analytical solution. Phys. Rev. E 2022, 106, 044401. [Google Scholar] [CrossRef]
- Vasin, A.A.; Stepanov, D.S. Endogenous formation of political parties. Math. Comput. Model. 2008, 48, 1519–1526. [Google Scholar] [CrossRef]
- Eguda, F.Y.; James, A.; Oguntolu, F.A.; Ogwumu, D.O. Mathematical analysis of a model to investigate the dynamics of poverty and corruption. Abacus (Math. Sci. Ser.) 2019, 44, 1. [Google Scholar]
- Petrosyan, L.A.; Yeung, D.W.K. Cooperative Dynamic Games with Durable Controls: Theory and Application. Dyn. Games Appl. 2020, 10, 872–896. [Google Scholar] [CrossRef]
- Puu, T. Nonlinear Economic Dynamics; Springer: Berlin/Heidelberg, Germany, 1997; 284p. [Google Scholar]
- Kopel, M. Improving the Performance of an Economic System: Controlling Chaos. J. Evol. Econ. 1997, 7, 269–289. [Google Scholar] [CrossRef]
- Holyst, J.A.; Urbanowicz, K. Chaos Control in Economical Model by Time-Delayed Feedback Method. Phys. A 2000, 287, 587–598. [Google Scholar] [CrossRef]
- Ahmed, E.; Elsadany, A.A.; Puu, T. On Bertrand duopoly game with differentiated goods. Appl. Math. Comput. 2015, 251, 169–179. [Google Scholar] [CrossRef]
- Orlova, E.V. Control over Chaotic Price Dynamics in a Price Competition model. Autom. Remote Control. 2017, 78, 16–28. [Google Scholar] [CrossRef]
- Vallacher, R.R.; Coleman, P.T.; Nowak, A.; Bui-Wrzosinska, L. Rethinking Intractable Conflict: The Perspective of Dynamical Systems, in Conflict, Interdependence, and Justice; Springer: New York, NY, USA, 2011; pp. 65–94. Available online: https://ssrn.com/abstract=3290370 (accessed on 1 May 2024).
- Bercovitch, J. Characteristics of Intractable Conflicts. In Beyond Intractability; Burgess, G., Burgess, H., Eds.; Conflict Information Consortium. University of Colorado: Boulder, CO, USA, 2003; Available online: http://www.beyondintractability.org/essay/characteristics-ic (accessed on 1 May 2024).
- Wilson, A. Notes on some concepts in social physics. Pap. Reg. Sci. 1969, 22, 159–193. [Google Scholar] [CrossRef]
- Stauffer, D. Sociophysics simulations. Comput. Sci. Eng. 2003, 5, 71–75. [Google Scholar] [CrossRef]
- Barnes, T.J.; Wilson, M.W. Big data, social physics, and spatial analysis: The early years. Big Data Soc. 2014, 1, 1–14. [Google Scholar] [CrossRef]
- Galam, S. Sociophysics: A Physicist’s Modeling of Psycho-Political Phenomena; Springer Science & Business Media: Berlin/Heidelberg, Germany, 2012. [Google Scholar]
- Godoy, A.; Tabacof, P.; Von Zuben, F.J. The role of the interaction network in the emergence of diversity of behavior. PLoS ONE 2017, 12, e0172073. [Google Scholar] [CrossRef]
- Schweitzer, F. Sociophysics. Phys. Today 2018, 71, 40. [Google Scholar] [CrossRef]
- Kaufman, S.; Kaufman, M. Tipping points in the dynamics of peace and war. Int. Negot. Found. Models Philos. 2013, 251–272. [Google Scholar]
- Kaufman, S.; Kaufman, M. Two-Group Dynamic Conflict Scenarios: Toy Model with a Severity Index. Negot. Confl. Manag. Res. 2015, 8, 41–55. [Google Scholar] [CrossRef]
- Deutsch, M.; Coleman, P.T.; Marcus, E.C. The Handbook of Conflict Resolution: Theory and Practice; John Wiley & Sons: San Francisco, CA, USA, 2006. [Google Scholar]
- Diep, H.T.; Kaufman, M.; Kaufman, S. Dynamics of two-group conflicts: A statistical physics model. Phys. A Stat. Mech. Its Appl. 2017, 469, 183–199. [Google Scholar] [CrossRef]
- Vallacher, R.R.; Nowak, A. Dynamical social psychology: Finding order in the flow of human experience. In Social Psychology: Handbook of Basic Principles; Kruglanski, A.W., Higgins, E.T., Eds.; Guilford Publications: New York, NY, USA, 2005. [Google Scholar]
- Vallacher, R.R.; Coleman, P.T.; Nowak, A.; Bui-Wrzosinska, L. Dynamical foundations of intractable conflict: Introduction to the special issue. Peace Confl. J. Peace Psychol. 2010, 16, 113–125. [Google Scholar] [CrossRef]
- Boulding, K.E. Conflict and Defense; Harper: New York, NY, USA, 1962. [Google Scholar]
- Pruitt, D.G. A graphical interpretation of escalation and de-escalation. Presented at Dynamics and Complexity of Intractable Conicts, Kamimierz, Poland, 19–22 October 2006. [Google Scholar]
- Liebovitch, L.S.; Coleman, P.T.; Vallacher, R.; Nowak, A.; Bui-Wrzosinska, L. Dynamics of Two-Actor Cooperation-Competition Conflict Models. IACM 2007 Meetings Paper. Available online: https://ssrn.com/abstract=1066815 (accessed on 1 May 2024).
- Kastler, A. Life and Work of Leon Brillouin. Uspekhi Fiz. Nauk. 1972, 106, 101–118. [Google Scholar] [CrossRef]
- Kittel, C. Statistical Thermodynamics; Nauka: Moscow, Russia, 1977; 336p. [Google Scholar]
- Borovik, E.S.; Eremenko, V.V.; Milner, A.S. Lectures on Magnetism; FIZMATLIT: Moscow, Russia, 2005; 512p. [Google Scholar]
- Trukhan, S.N.; Martyanov, O.N. Magnetic Properties of Matter. Part 1. Fundamentals of Structure; Boreskov Institute of Catalysis SB RAS: Novosibirsk, Russia, 2012; 75p. [Google Scholar]
- Glazkov, V.N. Magnetism: Static and Dynamic Properties of Magnets. Notes for a Lecture on General Physics; MIPT: Moscow, Russia, 2022; 67p. [Google Scholar]
- Darby, M.I. Tables of the Brillouin function and of the related function for the spontaneous magnetization. Brit. J. Appl. Phys. 1967, 18, 1415–1417. [Google Scholar] [CrossRef]










| Indicator | Group 1—Innovators (36 People Out of 100) | Group 2—Adapters (64 People Out of 100) | ||
|---|---|---|---|---|
| Mean | Standard Deviation | Mean | Standard Deviation | |
| Trust | 0.9236 | 0.0706 | 0.8925 | 0.0924 |
| Social networks and connections | 0.4675 | 0.1828 | 0.3944 | 0.1572 |
| Social norms and values | 0.8937 | 0.1442 | 0.9023 | 0.1554 |
| Social capital | 2.2848 | 0.2296 | 2.1892 | 0.2069 |
| Creativity | 0.5694 | 0.1477 | 0.3925 | 0.1388 |
| Risk appetite | 0.8541 | 0.1385 | 0.6875 | 0.1836 |
| Strategy | 0.6444 | 0.1402 | 0.3984 | 0.1537 |
| Innovativeness | 2.0680 | 0.1935 | 1.4785 | 0.1835 |
| Variable | Trust | Social Networks and Connections | Social Norms and Values | Social Capital | Creativity | Risk Appetite | Strategy | Innovativeness |
|---|---|---|---|---|---|---|---|---|
| Trust | 1.000 | −0.200 | −0.256 | −0.013 | 0.051 | 0.004 | −0.224 | −0.121 |
| Social networks and connections | −0.200 | 1.000 | 0.074 | 0.781 * | −0.211 | −0.349 * | −0.043 | 0.242 * |
| Social norms and values | −0.256 | 0.074 | 1.000 | 0.608 * | −0.147 | 0.103 | 0.148 | 0.068 |
| Social capital | −0.013 | 0.781 * | 0.608 * | 1.000 | −0.245 | −0.212 | −0.010 | −0.346 * |
| Creativity | 0.051 | −0.211 | −0.147 | −0.245 | 1.000 | 0.029 | −0.394 | 0.498 * |
| Risk appetite | 0.004 | −0.349 * | 0.103 | −0.212 | 0.029 | 1.000 | −0.208 | 0.587 * |
| Strategy | −0.224 | −0.043 | 0.148 | −0.010 | −0.394 * | −0.208 | 1.000 | 0.275 |
| Innovativeness | −0.121 | 0.242 * | 0.068 | −0.346 * | 0.498 * | 0.587 * | 0.275 | 1.000 |
| Variable | Trust | Social Networks and Connections | Social Norms and Values | Social Capital | Creativity | Risk Appetite | Strategy | Innovativeness |
|---|---|---|---|---|---|---|---|---|
| Trust | 1.000 | −0.072 | 0.006 | 0.397 * | −0.073 | 0.033 | 0.061 | 0.028 |
| Social networks and connections | −0.072 | 1.000 | −0.260 * | 0.532 * | −0.098 | −0.040 | −0.104 | −0.231 * |
| Social norms and values | 0.006 | −0.260 * | 1.000 | 0.557 * | 0.027 | −0.172 | 0.158 | −0.019 |
| Social capital | 0.397 * | 0.532 * | 0.557 * | 1.000 | −0.087 | −0.145 | 0.067 | −0.154 |
| Creativity | −0.073 | −0.098 | 0.027 | −0.087 | 1.000 | −0.170 | −0.203 | 0.416 * |
| Risk appetite | 0.033 | −0.040 | −0.172 | −0.145 | −0.170 | 1.000 | −0.453 * | 0.492 * |
| Strategy | 0.061 | −0.104 | 0.158 | 0.067 | −0.203 | −0.453 * | 1.000 | 0.231 |
| Innovativeness | 0.028 | −0.231 * | −0.019 | −0.154 | 0.416 * | 0.492 * | 0.231 | 1.000 |
Disclaimer/Publisher’s Note: The statements, opinions and data contained in all publications are solely those of the individual author(s) and contributor(s) and not of MDPI and/or the editor(s). MDPI and/or the editor(s) disclaim responsibility for any injury to people or property resulting from any ideas, methods, instructions or products referred to in the content. |
© 2024 by the author. Licensee MDPI, Basel, Switzerland. This article is an open access article distributed under the terms and conditions of the Creative Commons Attribution (CC BY) license (https://creativecommons.org/licenses/by/4.0/).
Share and Cite
Orlova, E.V. A Novel Brillouin and Langevin Functions Dynamic Model for Two Conflicting Social Groups: Study of R&D Processes. Mathematics 2024, 12, 2788. https://doi.org/10.3390/math12172788
Orlova EV. A Novel Brillouin and Langevin Functions Dynamic Model for Two Conflicting Social Groups: Study of R&D Processes. Mathematics. 2024; 12(17):2788. https://doi.org/10.3390/math12172788
Chicago/Turabian StyleOrlova, Ekaterina V. 2024. "A Novel Brillouin and Langevin Functions Dynamic Model for Two Conflicting Social Groups: Study of R&D Processes" Mathematics 12, no. 17: 2788. https://doi.org/10.3390/math12172788
APA StyleOrlova, E. V. (2024). A Novel Brillouin and Langevin Functions Dynamic Model for Two Conflicting Social Groups: Study of R&D Processes. Mathematics, 12(17), 2788. https://doi.org/10.3390/math12172788
