An Evolutionary Game-Based Regulatory Path for Algorithmic Price Discrimination in E-Commerce Platforms
Abstract
1. Introduction
2. Construction and Analysis of Evolutionary Game Models
2.1. Description of the Problem
2.2. Underlying Assumptions
2.2.1. Strategy Space Hypothesis
2.2.2. E-Commerce Platform-Related Assumptions
- (1)
- The normal pricing for the e-commerce platform is denoted as C1, whereas the cost of adopting algorithmic price discrimination is denoted as C2. Implementing algorithmic price discrimination incurs additional technology expenses such as system development, maintenance, and updates. Consequently, the cost for the e-commerce platform to adopt algorithmic discriminatory pricing exceeds the cost of its normal pricing, denoted as C2 > C1.
- (2)
- The e-commerce platform has a normal pricing called P1, but the deployment of algorithmic price discrimination has a different pricing called P2. Due to the additional cost expenditure, the e-commerce platform implementing algorithmic discrimination sets its pricing higher than the normal pricing. In other words, the platform adopts a pricing (P2) that is greater than its normal pricing (P1).
- (3)
- E-commerce platforms prefer algorithmic discriminatory pricing over prescriptive pricing due to the advantages of the former compared to the latter, resulting in C2-P1 > C1-P1.
- (4)
- The reputation of a platform is passively affected when the platform engages in algorithmic price discrimination and a consumer files a complaint, denoted as LP.
- (5)
- The government imposes a fine of F2 on platforms that practice algorithmic price discrimination.
2.2.3. Consumer-Related Assumptions
- (1)
- When a consumer experiences algorithmic price discrimination from an e-commerce platform, the cost of defending and reporting this discrimination is denoted as C4. The consumer’s willingness to accept that they do not have to expend much time and effort to file a complaint and recover the price difference is almost zero and, therefore, insignificant.
- (2)
- The estimated value that a customer assigns to goods or services provided by an e-commerce platform is denoted as VE. A consumer will only purchase such goods or services if its estimated value is greater than its pricing, whether it is normal pricing or discriminatory pricing. In other words, VE must be greater than P1 and P2.
- (3)
- The psychological advantage of consumers comparing prices and discovering that the e-commerce platform does not engage in algorithmic price discrimination is referred to as RC1. The incentive provided by the government when the platform engages in algorithmic price discrimination, and consumers exercise their reporting it is known as RC2. The potential advantage for the e-commerce platform resulting from an increase in consumer trust is referred to as RP.
- (4)
- The probability that a consumer, upon realizing that they have experienced algorithmic price discrimination by a platform, will report the price discrepancy to assert their rights is represented by the variable β.
2.2.4. Market Regulators-Related Assumptions
- (1)
- The cost associated with active supervision by the market regulator is C3. In contrast, passive supervision, which does not involve significant time and effort, has a cost that is near zero and can be considered inconsequential.
- (2)
- Algorithmic price discrimination on e-commerce platforms can result in negative consequences for social credibility when the government regulates it unfavorably (LG), highlighting the potential risks. Conversely, positive government regulation can lead to potential benefits such as increased social credibility and rewards from higher authorities (RG). However, if e-commerce platforms implement algorithmic price discrimination and face negative regulation from market regulators, they may incur penalties from higher authorities (F2).
- (3)
- The government’s ability to discover e-commerce platforms engaging in algorithmic price discrimination is significantly enhanced when it actively controls, underscoring the importance of such measures (α).
- (4)
- From the perspective of maximizing the market regulator’s self-interest, the fines imposed on e-commerce platforms by the regulator must exceed the bonuses provided to customers for reporting their rights to ensure a positive return. Therefore, F1 > RC2.
- (5)
- Market regulators are motivated to implement this technique only if the advantages they gain from independently identifying infractions are greater than the costs associated with implementing stricter regulations, so αF1 > C3.
2.2.5. Probabilistic Assumption
2.3. Model Parameter Setting
3. Analysis of the Two-Party Evolutionary Game
3.1. The “E-Commerce Platform-Consumer” Two-Party Game
- (1)
- When , the equilibrium point of is greater than 0 and is less than 0, so is a stable point. In this case, due to the implementation of algorithmic price discrimination in the e-commerce platform when the revenue is greater than its standardized operation of the revenue, the e-commerce platform will tend to choose “discriminatory pricing” strategy. At the same time, due to the rights of consumers to report the recovery of the difference in the price , cannot be compensated for their rights to report the cost, so the consumer will ultimately tend to choose the “acceptance” strategy. Thus both sides will eventually take the stabilization of the “discriminatory pricing, acceptance” strategy.
- (2)
- When and , the equilibrium point of is greater than 0 and is less than 0, so is a stable point. In this case, since the price difference recovered by consumers when they report their rights to defend is larger than the cost of reporting, consumers will eventually choose the strategy of “reporting”; however, since the revenue of the e-commerce platform from implementing algorithmic price discrimination can make up for its loss from being reported by consumers, even if the e-commerce platform is reported by consumers for defending their rights, it still tends to choose the strategy of “discriminatory pricing” in the end, and thus both parties will eventually adopt the stabilization strategy of “discriminatory pricing, reporting”.
- (3)
- The equilibrium point of and cannot be established at the same time, i.e., the stabilization conditions are in conflict, so is not a stabilization point.
- (4)
- The equilibrium point of and cannot be established at the same time, i.e., the stabilization conditions are in conflict, so is not a stabilization point.
3.2. “E-Commerce Platform-Market Regulators” Two-Party Game
- (1)
- When , the equilibrium point of is greater than 0 and is less than 0, so is the stabilization point. In this case, the illegal gains from the implementation of algorithmic price discrimination by the e-commerce platform are greater than the legal gains from its regulated operation, and the various revenues and expenditures gained by the market regulator are not enough to compensate for the cost of its active supervision, so both sides will ultimately adopt the stabilizing strategy of “discriminatory pricing, passive supervision”.
- (2)
- When and , the equilibrium point of is greater than 0 and is less than 0, so is a stable point. In this case, the illegal income of the e-commerce platform implementing algorithmic price discrimination can compensate for the fine imposed by the market regulator, so even if the market regulator adopts the strategy of “active supervision”, it still cannot change the e-commerce platform’s behavior of implementing algorithmic price discrimination. Both parties will therefore eventually adopt the stabilization strategy of “discrimination pricing, active supervision”.
- (3)
- The equilibrium point of and cannot be established at the same time, i.e., the stabilization conditions are in conflict, so is not a stabilization point.
- (4)
- When and , the equilibrium point of is greater than 0 and is less than 0, so is the stabilization point. In this case, the illegal proceeds from the implementation of algorithmic price discrimination by the e-commerce platform cannot compensate for the fines imposed by the market regulator, so the stabilization strategy that both parties will ultimately adopt is “normal pricing, active supervision”.
4. Analysis of the Three-Party Evolutionary Game
4.1. Game Matrix Construction
4.2. Strategic Stability Analysis of Three-Party Game Subjects
4.2.1. E-Commerce Platform Strategy Stability Analysis
- (1)
- Let ,then .
4.2.2. Consumer Strategy Stability Analysis
4.2.3. Analysis of Strategic Stability in the Market Regulation Sector
4.3. ESS Analysis of the Subjects of the Three-Way Game
5. Numerical Simulation Analysis and Parametric Sensitivity Analysis
5.1. Case Description
5.2. Analysis of the Impact of Changes in Relevant Parameters
5.2.1. The Effect of Initial Willingness on the Outcome of Evolutionary Games
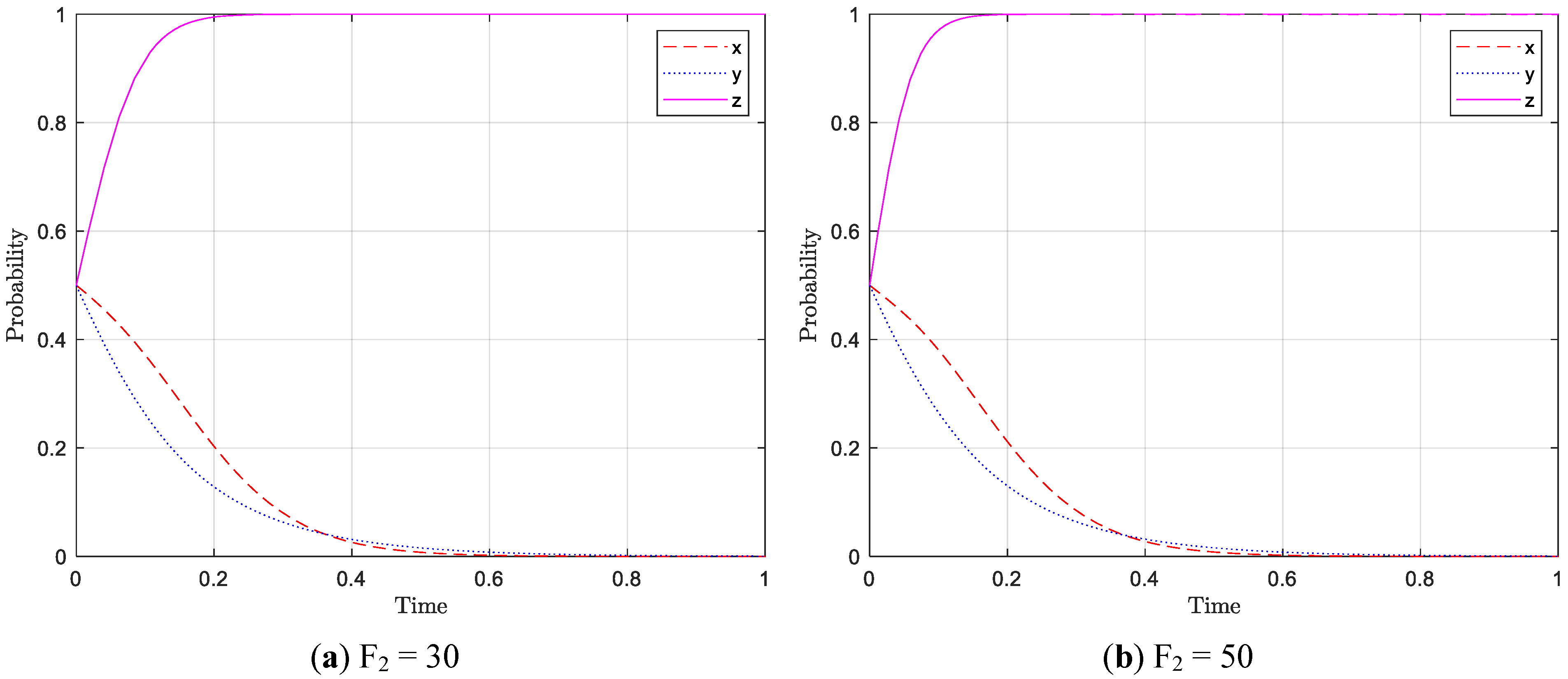
5.2.2. The Effect of Platform Penalties on the Outcome of Evolutionary Games
5.2.3. The Effect of Consumer Advocacy Incentives on the Outcome of an Evolutionary Game
5.2.4. The Impact of Market Regulators’ Enforcement Acumen on Evolutionary Game Outcomes
5.2.5. The Impact of Consumer Autonomy Likelihood on Evolutionary Game Outcomes
5.2.6. The Effect of Punishment of Government by Superiors on the Outcome of the Evolutionary Game
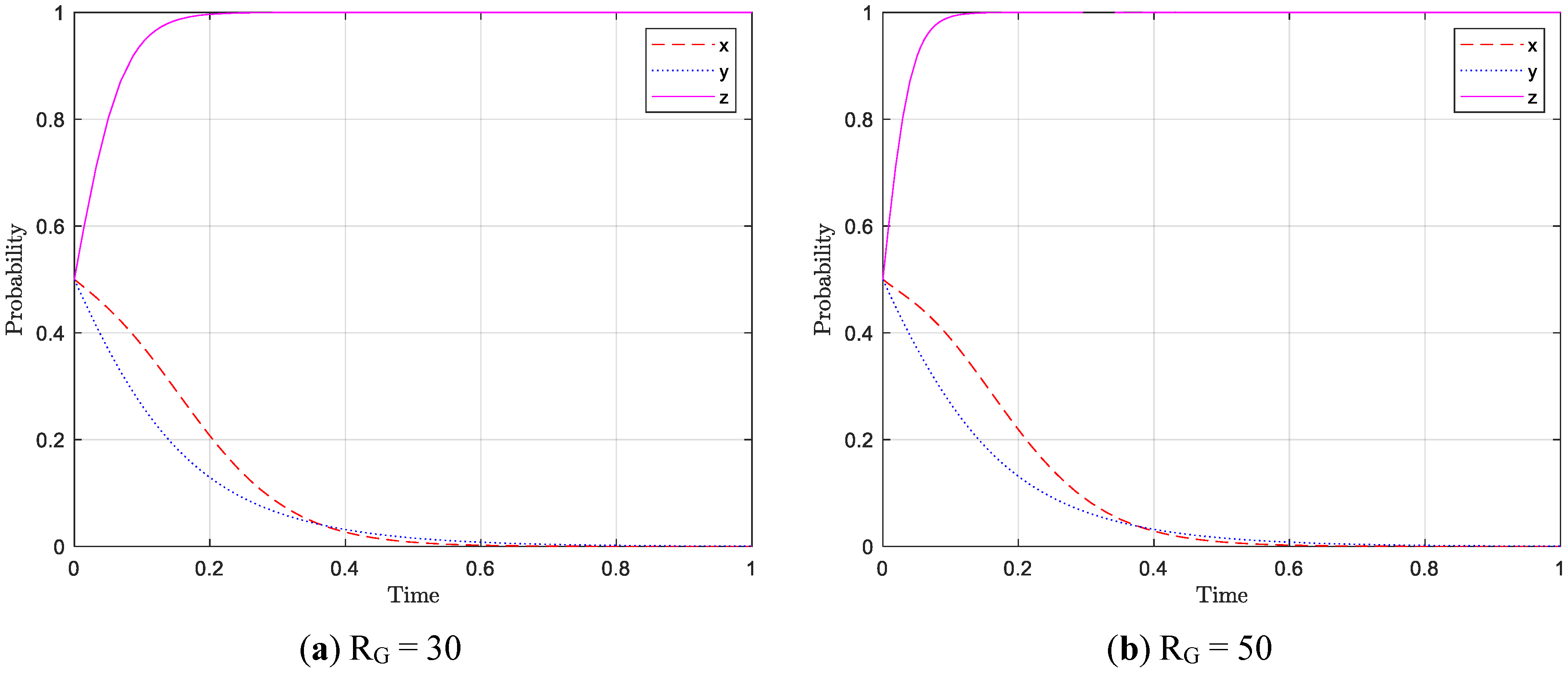
5.2.7. The Potential Benefits of Active Supervision by Market Regulators on the Outcome of Evolutionary Games
6. Conclusions and Discussion
6.1. Conclusions
6.2. Suggestion
6.2.1. Consumers
6.2.2. Market Regulator
6.3. Limitations
Author Contributions
Funding
Data Availability Statement
Acknowledgments
Conflicts of Interest
References
- Islek, I.; Oguducu, S.G. A hierarchical recommendation system for E-commerce using online user reviews. Electron. Commer. Res. Appl. 2022, 52, 101131. [Google Scholar] [CrossRef]
- Gonçalves, M.J.A.; Pereira, R.H.; Coelho, M.A.G.M. User Reputation on E-Commerce: Blockchain-Based Approaches. J. Cybersecur. Priv. 2022, 2, 907–923. [Google Scholar] [CrossRef]
- Abrardi, L.; Cambini, C.; Rondi, L. Artificial intelligence, firms and consumer behavior: A survey. J. Econ. Surv. 2022, 36, 969–991. [Google Scholar] [CrossRef]
- Keller, A.; Vogelsang, M.; Totzek, D. How displaying price discounts can mitigate negative customer reactions to dynamic pricing. J. Bus. Res. 2022, 148, 277–291. [Google Scholar] [CrossRef]
- Wang, J.; Shu, T.; Zhao, W.; Zhou, J. Research on Chinese Consumers’ Attitudes Analysis of Big-Data Driven Price Discrimination Based on Machine Learning. Front. Psychol. 2022, 12, 803212. [Google Scholar] [CrossRef]
- Zhu, Z. Legal Regulation of Algorithmic Discrimination. Adv. Soc. Behav. Res. 2021, 1, 65–72. [Google Scholar] [CrossRef]
- Wang, F. China’s Regulatory Framework for Dynamic and Personalized Pricing in the Digital Economy. Int. J. Soc. Sci. Stud. 2022, 10, 1–10. [Google Scholar] [CrossRef]
- Zhao, Q. Exploration on the protection of consumer rights and interests in big data price discrimination. Int. J. Front. Sociol. 2024, 6, 060403. [Google Scholar]
- Li, Y. The Anti-nonopoly Law Regulation of Big Data Killing in the Background of Digital Economy. J. Econ. Law 2024, 1, 214–222. [Google Scholar] [CrossRef]
- Hu, Z. Liability Rules for Algorithmic Discrimination. Sci. Law J. 2023, 2, 020902. [Google Scholar]
- Wang, Y. Price Discrimination in the Era of Big Data; Atlantis Press: Amsterdam, The Netherlands, 2022; 664p. [Google Scholar]
- Yang, X.; Dai, X.; Bin, H. The Dynamics of Rewards and Penalties: Governmental Impact on Green Packaging Adoption in Logistics. Sustainability 2024, 16, 4835. [Google Scholar] [CrossRef]
- Hu, Z.; Wang, Y.; Zhang, H.; Liao, W.; Tao, T. An evolutionary game study on the collaborative governance of environmental pollution: From the perspective of regulatory capture. Front. Public Health 2024, 11, 1320072. [Google Scholar] [CrossRef] [PubMed]
- Luo, E.; Xiang, S.; Yang, Y.; Sethi, N. A stochastic and time-delay evolutionary game of food safety regulation under central government A stochastic and time-delay evolutionary game of food safety regulation under central government punishment mechanism. Heliyon 2024, 10, e30126. [Google Scholar]
- Liu, Z.; Zhao, L.; Wu, C. Supervision Timing Simulation Analysis of Community E-commerce Platform Supply Chain Based on Tripartite Game Model. Teh. Vjesn. 2022, 29, 2008–2017. [Google Scholar]
- Liu, X.; Huang, Z.; Wang, Q.; Wan, B. An Evolutionary Game Theory-Based Method to Mitigate Block Withholding Attack in Blockchain System. Electronics 2023, 12, 2808. [Google Scholar] [CrossRef]
- Pan, K.; Wang, L.; Zhang, L. A Study on Enhancing the Information Security of Urban Traffic Control Systems Using Evolutionary Game Theory. Electronics 2023, 12, 4856. [Google Scholar] [CrossRef]
- Friedman, D. On economic applications of evolutionary game theory. J. Evol. Econ. 1998, 8, 15–43. [Google Scholar] [CrossRef]
- Luo, J.; Huang, M.; Bai, Y. Promoting green development of agriculture based on low-carbon policies and green preferences: An evolutionary game analysis. Environ. Dev. Sustain. 2023, 26, 6443–6470. [Google Scholar] [CrossRef]
- Bai, S.; Liu, Z.; Lv, Y. Evolutionary Game Analysis of Consumer Complaint Handling in E-Commerce. Discret. Dyn. Nat. Soc. 2022, 2022, 3792080. [Google Scholar] [CrossRef]
- Zha, Y.; Wang, Y.; Li, Q.; Yao, W. Credit offering strategy and dynamic pricing in the presence of consumer strategic behavior. Eur. J. Oper. Res. 2022, 303, 753–766. [Google Scholar] [CrossRef]
- Yu, D.; Li, X. Dynamic evolutionary game research of big data-based price discrimination between consumers and merchants. Price Theory Pract. 2019, 11, 129–132. [Google Scholar]
- Xing, G.; Lu, F.; Luo, D. An Evolutionary Simulation Analysis of E-Commerce Big Data-Based Price Discrimination under Government Supervision. J. Hunan Univ. Technol. 2021, 35, 65–72. [Google Scholar]
- Qiu, Z.; Yin, Y.; Yuan, Y.; Chen, Y. Research on Credit Regulation Mechanism of E-commerce Platform Based on Evolutionary Game Theory. J. Syst. Sci. Syst. Eng. 2024, 33, 330–359. [Google Scholar] [CrossRef]
- Statistical Mechanics; Data on Statistical Mechanics Reported by Researchers at Nanjing Tech University (Tripartite Evolutionary Game Analysis for “deceive Acquaintances” Behavior of E-commerce Platforms in Cooperative Supervision). J. Phys. Res. 2020.
- Li, J.; Xu, X.; Yang, Y. Research on the Regulation of Algorithmic Price Discrimination Behaviour of E-Commerce Platform Based on Tripartite Evolutionary Game. Sustainability 2023, 15, 8294. [Google Scholar] [CrossRef]
- Chen, Y.-F.; Pang, T.-T.; Kuslina, B.H. The Effect of Price Discrimination on Fairness Perception and Online Hotel Reservation Intention. J. Theor. Appl. Electron. Commer. Res. 2023, 18, 1320–1337. [Google Scholar] [CrossRef]
- Wu, Z.; Yang, Y.; Zhao, J.; Wu, Y. The Impact of Algorithmic Price Discrimination on Consumers’ Perceived Betrayal. Front. Psychol. 2022, 13, 825420. [Google Scholar] [CrossRef] [PubMed]
- Hu, L.; Zhang, Y.; Chung, S.-H.; Wang, L. Two-tier price membership mechanism design based on user profiles. Electron. Commer. Res. Appl. 2022, 52, 101130. [Google Scholar] [CrossRef]
- Peiseler, F.; Rasch, A.; Shekhar, S. Imperfect information, algorithmic price discrimination, and collusion. Scand. J. Econ. 2022, 124, 516–549. [Google Scholar] [CrossRef]
- Liu, W.; Long, S.; Xie, D.; Liang, Y.; Wang, J. How to govern the big data discriminatory pricing behavior in the platform service supply chain? An examination with a three-party evolutionary game model. Int. J. Prod. Econ. 2020, 231, 107910. [Google Scholar] [CrossRef]
- Aparicio, D.; Misra, K. Artificial Intelligence and Pricing; Emerald Publishing Limited: Bradford, UK, 2023; Volume 20, pp. 103–124. [Google Scholar]
- van der Rest, J.-P.; Sears, A.M.; Kuokkanen, H.; Heidary, K. Algorithmic pricing in hospitality and tourism: Call for research on ethics, consumer backlash and CSR. J. Hosp. Tour. Insights 2022, 5, 771–781. [Google Scholar] [CrossRef]
- Deng, C.; Zhu, H. On the Legal Status of OTA Network Platform: Taking the “Ctrip Price Discrimination” Case as an Example. J. Hunan Univ. Technol. (Soc. Sci. Ed.) 2023, 28, 60–71. [Google Scholar]
- Zhou, K.; Wang, Q.; Tang, J. Evolutionary game and simulation analysis of enterprise’s green technology innovation under green credit policy: Evidence from China. Technol. Anal. Strateg. Manag. 2024, 36, 1551–1570. [Google Scholar] [CrossRef]













| Parameters | Significance |
|---|---|
| x | Probability that the e-commerce platform will adopt normal pricing |
| y | Probability of a consumer advocacy report |
| z | Probability of active government regulation |
| C1 | The cost of regulating the platform’s operations |
| C2 | Costs when platforms adopt algorithmic price discrimination |
| C3 | Costs when governments adopt active supervision |
| C4 | Costs to consumers when reporting |
| P1 | Pricing when platforms adopt regulated operations |
| P2 | Pricing when platforms adopt algorithmic price discrimination |
| LP | Loss of platform reputation when platform algorithmic price discrimination occurs in consumer advocacy reports |
| LG | Loss of social credibility when platform algorithmic price discrimination occurs with negative government regulation |
| RG | Potential benefits when actively regulated by the government (increased social credibility, rewards from higher authorities) |
| F1 | Government fines for platforms that engage in algorithmic price discrimination |
| F2 | Penalties imposed by superiors when platforms algorithmically price discriminate, and governments passively regulate them |
| VE | Consumers’ estimated value of platform goods and services |
| RC1 | Psychological gains when consumers compare prices among themselves and find no algorithmic price discrimination by platforms |
| RC2 | Government incentives when platform algorithmic price discrimination occurs in consumer advocacy reports |
| RP | Potential benefits of increased consumer trust for e-commerce platforms |
| When the government actively regulates, the acuity of the platforms’ algorithmic price discrimination is found to increase to | |
| Consumers who find out that they have been subjected to price discrimination have a likelihood of defending their rights to recover the difference in price |
| Consumers | |||
|---|---|---|---|
| Reporting | Acceptance | ||
| E-commerce Platform | Normal Pricing | ||
| Discriminatory Pricing | |||
| Balance Point | ||
|---|---|---|
| Market Regulator | |||
|---|---|---|---|
| Active Supervision | Passive Supervision | ||
| E-commerce Platform | Normal Pricing | , | , |
| Discriminatory Pricing | , | , | |
| Balance Point | ||
|---|---|---|
| Consumers | Market Regulator | |||
|---|---|---|---|---|
| Active Supervision | Passive Supervision | |||
| E-commerce platform | Normal Pricing | Reporting | ||
| Acceptance | ||||
| Discriminatory Pricing | Reporting | |||
| Acceptance | ||||
| Balance Point | Hidden Meaning |
|---|---|
| Discriminatory pricing by e-commerce platforms; consumers tolerate and accept; passively regulated by market regulators | |
| Discriminatory pricing by e-commerce platforms; consumers tolerate and accept; actively regulated by market regulators | |
| Discriminatory pricing by e-commerce platforms; consumers report; active supervision by market regulators | |
| Discriminatory pricing by e-commerce platforms; consumers report; passive supervision by market regulators | |
| E-commerce platforms regulate pricing; consumers tolerate and accept; market regulators passively regulate | |
| E-commerce platforms regulate pricing; consumers tolerate and accept; market regulators passively regulate | |
| E-commerce platforms standardize pricing; consumers report; market regulators actively regulate | |
| E-commerce platforms standardize pricing; consumers report; market regulators actively regulate |
| Balance Point | |||
|---|---|---|---|
| N | N | ||
| N | N | ||
| N | N | ||
| N | N | ||
| N | N | ||
| N | N | N | |
| N | N | N | |
| N | N | ||
| Note: N means uncertainty. | |||
| Parameters | Value | Source (Reference) |
|---|---|---|
| C1 | 5 | Principle of Inequality |
| C2 | 10 | |
| C3 | 8 | CEIC Data Salarylnsights |
| C4 | 16 | Scheme for the Payment of Litigation Costs |
| P1 | 20 | Deng Chunmei and Zhu Heng [34] |
| P2 | 40 | |
| F1 | 10 | |
| RC2 | 5 | |
| LP | 8 | Nanjing Tech [25] Jianjun Li et al. [26] |
| LG | 5 | |
| RG | 12 | |
| RC1 | 3 | |
| RP | 3 | |
| F2 | 5 | Principle of Inequality |
| α | 0.2 | Zhou Kui et al. [35] |
| β | 0.2 |
Disclaimer/Publisher’s Note: The statements, opinions and data contained in all publications are solely those of the individual author(s) and contributor(s) and not of MDPI and/or the editor(s). MDPI and/or the editor(s) disclaim responsibility for any injury to people or property resulting from any ideas, methods, instructions or products referred to in the content. |
© 2024 by the authors. Licensee MDPI, Basel, Switzerland. This article is an open access article distributed under the terms and conditions of the Creative Commons Attribution (CC BY) license (https://creativecommons.org/licenses/by/4.0/).
Share and Cite
Guo, Y.; Lin, J.; Zhuang, W. An Evolutionary Game-Based Regulatory Path for Algorithmic Price Discrimination in E-Commerce Platforms. Mathematics 2024, 12, 2774. https://doi.org/10.3390/math12172774
Guo Y, Lin J, Zhuang W. An Evolutionary Game-Based Regulatory Path for Algorithmic Price Discrimination in E-Commerce Platforms. Mathematics. 2024; 12(17):2774. https://doi.org/10.3390/math12172774
Chicago/Turabian StyleGuo, Yan, Jiajun Lin, and Weiqing Zhuang. 2024. "An Evolutionary Game-Based Regulatory Path for Algorithmic Price Discrimination in E-Commerce Platforms" Mathematics 12, no. 17: 2774. https://doi.org/10.3390/math12172774
APA StyleGuo, Y., Lin, J., & Zhuang, W. (2024). An Evolutionary Game-Based Regulatory Path for Algorithmic Price Discrimination in E-Commerce Platforms. Mathematics, 12(17), 2774. https://doi.org/10.3390/math12172774
