Next Article in Journal
Signaling Security Games with Attack Planner Deception
Next Article in Special Issue
Global Existence of Solutions to a Free Boundary Problem for Viscous Incompressible Magnetohydrodynamics for Small Data
Previous Article in Journal
Comparative Evaluation of Model Accuracy for Predicting Selected Attributes in Agile Project Management
 
 
Font Type:
Arial Georgia Verdana
Font Size:
Aa Aa Aa
Line Spacing:
Column Width:
Background:
Article

A Numerical Investigation of Activation Energy Impact on MHD Water-Based Fe3O4 and CoFe2O4 Flow between the Rotating Cone and Expanding Disc

by
Kandavkovi Mallikarjuna Nihaal
1,
Ulavathi Shettar Mahabaleshwar
1,
Nedunchezhian Swaminathan
2,
David Laroze
3 and
Igor V. Shevchuk
4,*
1
Department of Studies in Mathematics, Davangere University, Shivagangothri, Davangere 577007, India
2
Department of Engineering, University of Cambridge, Cambridge CB2 1PZ, UK
3
Instituto de Alta Investigación, Universidad de Tarapacá, Casilla 7 D, Arica 1000000, Chile
4
Faculty of Computer Science and Engineering Science, TH Koln-University of Applied Sciences, 51643 Gummersbach, Germany
*
Author to whom correspondence should be addressed.
Mathematics 2024, 12(16), 2530; https://doi.org/10.3390/math12162530
Submission received: 14 July 2024 / Revised: 6 August 2024 / Accepted: 12 August 2024 / Published: 16 August 2024
(This article belongs to the Special Issue Computational Fluid Dynamics with Applications)

Abstract

Hybrid nanofluids have caught the attention of scholars and investigators in the present technological period due to their improved thermophysical features and the desire to boost heat transfer rates compared to those of conventional fluids. The present paper is mainly concerned with heat transmission in cone-disk geometry in the presence of a magnetic field, activation energy, and non-uniform heat absorption/generation. In this work, the cone-disk (CD) apparatus is considered to have a rotating cone (RC) and a stretching disk, along with iron oxide and cobalt ferrite-based hybrid nanofluid. Appropriate similarity transformations are employed to change the physically modeled equations into ordinary differential equations (ODEs). Heat transfer rates at both surfaces are estimated by implementing a modified energy equation with non-uniform heat absorption/generation. The outcomes illustrated that the inclusion of such physical streamwise heat conduction variables in the energy equation has a significant impact on the well-known conclusions of heat transfer rates. To understand flow profile behavior, we have resorted to the RKF-45 method and the shooting method, which are illustrated using graphs. The findings provide conclusive evidence that wall stretching alters the flow, heat, and mass profile characteristics within the conical gap. The wall deformation caused by disk stretching was found to have a potential impact of modifying the centripetal/centrifugal flow characteristics of the disk, increasing the flow velocity and swirling angles. A rise in activation energy leads to an improved concentration field.

1. Introduction

Studies of radial rotating flows in gaps between a disk and a coaxial cone touching the disk with its vertex in a self-similar formulation of the problem were first carried out in the pioneering works of Shevchuk [1,2]. The cases of cone rotation with a stationary disk, disk rotation with a stationary cone, co-rotation or counter-rotation of the disk and cone, as well as swirling radial flow in a stationary conical diffuser, were investigated. In these works, self-similar functions and self-similar Navier–Stokes and energy equations were first obtained, which were then widely used by various authors to simulate flow, heat transfer, and mass transfer in ordinary fluids and nanofluids. In these works, air flows (with a Prandtl number equal to Pr = 0.71) were studied at small and large conicity angles. A new step in modeling heat transfer in conical gaps was the inclusion by Turkiylmazoglu [3] of radial thermal conductivity in the equation energy in a fluid (which was not taken into account in previous works). Rotating surfaces are critical tools in specific engineering applications. Thus, multiple attempts were undertaken by top scholars to determine various physical aspects of the problem. Recently, a convective heat transfer study was performed by Saini and Hanumagowda [4] on electrically conducting hybrid nanofluid flow in a tiny space between a disk and a rotating cone. The study found that the co-rotation model has a greater heat transfer rate at the cone surface. Batool et al. [5] investigated Casson hybrid nanofluid flow via a permeable rotating cone in the presence of radiation, viscous dissipation, and a cluster interfacial layer. Higher radiation and interfacial nanolayer parameters result in improved thermal distribution.
Following Crane’s [6] successful theoretical work in 1970, the process of wall expansion (stretching) has been an ongoing topic in contemporary literature. It has several applications in science, including polymer plastic sheet extrusion, metal sheet fabrication, fiber spinning, metallurgy, and chemical processes. The recent updates on this topic can be found in the works done in the following articles. Maiti et al. [7] investigated unsteady hybrid nanofluid flow via a stagnation point across a shrinking/stretching disk with radiation effects. Findings indicate that, in comparison to ordinary nanofluid, hybrid nanofluid mixtures transmit heat more effectively. Venkateswarlu et al. [8] assessed the effects of suction/injection and viscous dissipation on a convective hybrid nanofluid flow over a nonlinear expanding disk. Entropy analysis was also used to examine the thermodynamic behavior of hybrid nanofluids.
Since the beginning of time, a way to regulate and enhance the efficacy of thermal transfer systems has been regarded as vital, and several approaches have been investigated to reduce excessive energy consumption via heat loss. Over the past decades, owing to the unique thermo-physical properties of nanoparticles which allow for better heat transfer rates than conventional fluid (Das et al. [9], Simpson et al. [10], Rezaei Miandoab et al. [11], and F. Mebarek-Oudina and I. Chabani [12]), they were proposed to tackle fluid dynamics-related problems. Recent inspections and research have shown that hybrid nanofluids’ unique features make them a great tool for boosting effectiveness and productivity in a variety of engineering and industrial operations. Hybrid nanofluids’ enhanced heat transfer capability can lead to increased energy utilization, lighter system designs, and lower operational costs, thus offering an appealing alternative to industries looking for distinct energy-saving solutions. Gul et al. [13] investigated the thermal properties of hybrid nanofluid flow in the conical space between the cone and rotating disk. Based on the findings, the required cooling of disk-cone instruments may be achieved by spinning a disk with a fixed cone while keeping the surface temperature constant. Barakat et al. [14] implemented a unique study on thermal management within the conical gap between a disk and a cone for hybrid nanofluid flow with the effect of a magnetic field using an Artificial Neural Network approach. The result was that when the cone and disk spin in the same direction, the momentum barrier layer improves, and when they rotate in different directions, it decreases.
In recent years, researchers and engineers have paid close attention to examinations of the impact of extrinsic components, such as magnetic fields, on boundary layer movement. This external factor has a wide range of applications, including transporting liquids, producing electricity, shaping metals, and developing nuclear fusion reactors. MHD is popular because it can regulate fluid flow using electric charges. Within this framework, several investigations (Zainal et al. [15], Manna et al. [16], and Krishna and Kumar [17]) were conducted to explore the prospect and utilization of MHD in nanofluid flows. Farooq et al. [18] investigated the magnetic field effects on a hybrid nanofluid flow past a cone and a rotating disk. A circulating disc with a stationary cone has been recognized as providing the best cooling of the cone disc device while maintaining a consistent outer edge temperature. The implications of a heat source, chemical reaction, and thermal and solutal buoyancy forces on MHD nanofluid flow through a porous stretched sheet were investigated by Mahboobtosi et al. [19]. The study’s findings contribute to the body of knowledge about practical solutions for optimizing fluid flow systems and industrial operations.
Non-uniform heat absorption/generation models are often included in production simulations and design computations to boost process control, energy efficiency, and whole-system effectiveness. In addition, studies on non-uniform heat absorption/generation have resulted in advances in numerical methods, computational fluid dynamics (CFD), and multiphysics simulations. These advancements have allowed for more accurate and efficient simulations, making it easier to design and optimize complicated industrial systems that involve nonlinear thermal processes. Recently, Paul et al. [20] investigated the combined effects of non-uniform heat absorption/generation and non-linear mixed convection on non-Newtonian ternary nanofluid flow on an expanded rotating disk. The study’s findings demonstrate that the presence of non-uniform heat generation parameters and non-linear thermal convection factors increases the rate of heat transfer. Kathyayani and Satya Nagendra Rao [21] evaluated the effects of non-uniform heat source/sink and radiation on a Darcy Forchhiemer ternary nanofluid model over an inclined flat plate. The study indicates a significant correlation between the heat source parameter and fluid temperature growth. Raghupathi and Prakash [22] investigated a second-grade nanofluid flow across a rotating disk under the influence of a non-uniform heat source/sink as well as linear and nonlinear radiation. The results show that the space- and temperature-dependent heat source/sink characteristics have significant impacts on the heat transfer profile for both linear and non-linear thermal radiation situations.
Svante Arrhenius coined the phrase “activation energy” in 1889 when discussing heat and mass transfer processes. He perceived activation energy as the amount of energy required to model chemical reaction processes. In food manufacturing, solar power production, and healthcare sectors, activation energy refers to the least amount of energy necessary to activate chemical reactions in a large flow of oil repositories. Industrial sectors can gain improved oversight, higher revenue, and a competitive advantage in their particular marketplaces by implementing activation energy notions. Nihaal et al. [23] explored Darcy–Fochheimer-encouraged ternary nanofluid flow across an exponential stretching disk, impacted by the heat source/sink and activation energy. It further shows that employing bioconvection phenomena improves the base fluid’s thermal conductivity and heat transfer capabilities, resulting in more efficient heat transfer systems. Dharmaiah et al. [24] explored the effect of activation energy and radiation absorption on tangent hyperbolic nanofluid flowing past a cone. The results show that when the activation energy parameter escalates, the rate of heat and mass transfer increases significantly. Azhar et al. [25] analyzed the consequences of changing viscosity and joule heating on MHD Tri-hybrid nanofluid flow across an expanding disk. In this work, the author employs a fourth-order Runge–Kutta method to obtain the solution. Das and Patgiri [26] probed the effect of changing heat source, Joule heating, and Arrhenius energy activation on the flow of bioconvective nanofluid over a vertically rotating cone with gyrotactic motile microorganisms.
According to the research indicated above, cone and disk geometries have been thoroughly examined in the literature. The present study extends the work done by Turkyilmazoglu [27], where he investigated flow and heat transfer behavior between the stretching disk and rotating cone. The current motivation has been enriched with some new ideas for regulating the heat transfer rate across both surfaces. The current work’s novelty is that it analyzes the impacts of wall expansion within the conical gap between a spinning cone and a stretching disk; pressure effects on both radial and axial coordinates under the influence of the magnetic field, non-uniform heat absorption/generation; and activation energy and also estimates heat transfer rates from both the cone and disk surfaces. The ideal heat transfer rate attained is significantly affected by the characteristics of the two-dimensional/three-dimensional flow, the strength of wall expansion, the power exponent of radial coordinates, the cone/disk surface, and the thin/large extent of the conical gap. This physical mechanism is common in industrial processes including metal shaping, machine manufacturing, and food preparation.

2. Mathematical Modeling

Figure 1 displays a vivid layout of the physical challenge in this investigation. The viscous flow and heat generated within a conical gap between a rotating cone and a radially extending disk are addressed here. The motion is likely considered because of both cone rotation and disk expansion. The formula u = ω R 2 / r governs the disk’s expansion, where ω represents the radial stretching rate and R is the vortex radius. As the cone’s tip contacts the disk at the origin, r = 0 , then the above formula implies a constantly broad expansion that dims away from the origin in the radial direction. Further, u , v , w denotes the radial, azimuthal, and axial velocity fields. Considering the cylindrical coordinates r , ϕ , z , the flow governing, heat, and mass transfer equations are given as follows (see [23,27,28,29]):
u r + u r + w z = 0 ,
u u r + w u z v 2 r = 1 ρ h n f p r + ν h n f 2 u r 2 + 1 r u r u r 2 + 2 u z 2 σ h n f ρ h n f B o 2 u ,
u v r + w v z + u v r = ν h n f 2 v r 2 + 1 r v r v r 2 + 2 v z 2 σ h n f ρ h n f B o 2 v ,
u w r + w w z = 1 ρ h n f p z + ν h n f 2 w r 2 + 1 r w r + 2 w z 2 ,
u T r + w T z = α h n f 2 T r 2 + 1 r T r + 2 T z 2 + q ρ C p h n f ,
u C r + w C z = D f 2 C r 2 + 1 r C r + 2 C z 2 k r T / T m e E a K T C C .
and imposed boundary conditions are described as follows:
u = ω R 2 r ,   v = 0 ,   w = 0 ,   T = T w ,   C = C w ,   P = 0 a t z = 0 , u = 0 ,   v = Ω r ,   w = 0 ,   T = T ,   C = C a t z = r tan γ
where the gap angle is denoted by γ , Ω denotes the angular velocity of the cone, ρ ,   σ are the density and electrical conductivity, ν ,   α are the kinematic viscosity and thermal diffusivity of the fluid, B o and q are, respectively, the magnetic field and non-uniform heat source/sink parameters, concentration C at the surface and far field is denoted by C w ,   C , respectively, and the temperature T at the surface and far field is denoted by T w ,   T . p ,   P represents the dimensional and dimensionless pressure terms, k r is the chemical reaction parameter, D f is the diffusivity term, K denotes the Boltzmann constant, T / T m e E a K T denotes the modified Arrhenius function, m ,   E a signifies the fitted rate constant and activation energy, and subscript h n f represents the hybrid nano fluid.
To generate similarity solutions, we employed the following transformations [27]:
η = z r ,   f = u r ν f ,   g = v r ν f ,   h = w r ν f ,   P = p r 2 ρ h n f ν f 2 ,   χ = C C C w C ,   θ = T T T w T .
As such, the effective absolute viscosity, density, heat capacitance, and thermal conductivity of nanofluid for hybrid nanoparticles are presented below.
μ h n f = μ f 1 ϕ 1 2.5 1 ϕ 2 2.5 ,   ρ C p h n f = ρ C p s 2 φ 2 + 1 ϕ 2 1 ϕ 1 ρ C p f + ϕ 1 ρ C p s 1
ρ h n f = 1 ϕ 2 1 ϕ 1 ρ f + ϕ 1 ρ s 1 + ϕ 2 ρ s 2 ,   k h n f k f = k s 2 + k f φ 2 k f k s 2 k s 2 + k f + φ 2 k f k s 2 ,
k n f k f = k s 1 + k f φ 1 k f k s 1 k s 1 + k f + φ 1 k f k s 1 ,   σ h n f σ n f = σ s 2 + 2 σ f 2 ϕ 2 σ f σ s 2 σ s 2 + 2 σ f + ϕ 2 σ f σ s 2 ,   σ n f σ f = σ s 1 + 2 σ f 2 ϕ 1 σ f σ s 1 σ s 1 + 2 σ f + ϕ 1 σ f σ s 1 ,
With the aid of transformations (8) and the above-mentioned thermophysical properties of hybrid nanoparticles, Equations (1)–(7) are transformed into a coupled system as follows:
h η f = 0 ,
f 1 + η 2 A 1 A 2 + f 3 η A 1 A 2 h + f η + f 2 + g 2 + 2 P + P η A 2 A 3 A 2 M f = 0 ,
g 1 + η 2 A 1 A 2 + g 3 η A 1 A 2 h + f η A 3 A 2 M g = 0 ,
h 1 + η 2 A 1 A 2 + h 3 η A 1 A 2 h + f η + h 1 A 1 A 2 + f P A 2 = 0 ,
A 4 A 5 1 Pr θ η 2 + θ η + θ + θ η f h + 1 Pr A 5 A f + B θ = 0 .
1 S c χ 1 + η 2 + χ η + χ f η h R c 1 + δ θ m e E 1 + δ θ χ = 0
and
f 0 = S ,   g ( 0 ) = 0 ,   h ( 0 ) = 0 ,   P 0 = 0 ,   θ 0 = 1 ,   χ 0 = 1 ,   f η o = 0 ,   g η o = Re ,   θ η o = 0 ,   χ η o = 0
where the obtained parameters are S = ω R 2 ν f is the disk stretching parameter, the surface of the cone is represented by η o = tan γ , and the local Reynolds number Re built on the cone’s angular velocity Ω is given as Re = Ω r 2 ν f , M = σ f B o 2 r 2 ρ f ν f is the magnetic field parameter, Pr = ρ C p f ν f k f is the Prandtl number, S c = ν f D f is the Schmidt number, R c = k r r 2 ν f is the reaction rate parameter, δ = T w T T is the temperature difference, A ,   B represents space-dependent and time-dependent internal heat generation/absorption parameters, E is the activation energy, A 1 = 1 ϕ 1 2.5 1 ϕ 2 2.5 , A 2 = 1 ϕ 2 1 ϕ 1 + ϕ 1 ρ s 1 ρ f + ϕ 2 ρ s 2 ρ f , A 3 = σ h n f ρ f , A 4 = k h n f k f , and A 5 = ρ C p s 2 ρ C p f φ 2 + 1 ϕ 2 1 ϕ 1 + ϕ 1 ρ C p s 1 ρ C p f These correlations are proposed by various authors (see [30]).
The rate of heat transfer at the disc and cone, respectively, are attained as follows:
Re 1 / 2 N u d = k h n f k f θ 0 ,
Re 1 / 2 N u c = k h n f k f θ η o .

3. Numerical Methodology

A numerical solution approximates a solution obtained through mathematical techniques and algorithms. The numerical solution allows for the accurate and efficient modeling of compressible and incompressible flows, which approximate solutions to complex equations, and allows for the study and forecasting of flowing activities in various settings. The modified governing equations and boundary conditions are numerically solved utilizing numerical methods such as the RKF-45. The order-five Runge–Kutta method (Butcher) is combined with the order-five Runge–Kutta–Fehlberg technique. This technique is very useful for solving stiff systems of ordinary differential equations because of its lengthy stability interval and excellent selection of stable formulae and step sizes. We transform the changed reduced Equations (10)–(14) into a first-order system by introducing additional parameters, and there are:
f = Δ 1 ,   f = Δ 2 ,   g = Δ 3 ,   g = Δ 4 ,   h = Δ 5 ,   θ = Δ 6 ,   θ = Δ 7 ,   χ = Δ 8 ,   χ = Δ 9 ,   P = Δ 10 ,   P = Δ 11 .
f = A 1 A 2 1 + η 2 Δ 2 3 η A 1 A 2 Δ 5 + Δ 1 η + Δ 1 2 + Δ 3 2 + 2 P + P η A 2 A 3 A 2 M Δ 1 ,
g = A 1 A 2 1 + η 2 Δ 4 3 η A 1 A 2 Δ 5 + Δ 1 η A 3 A 2 M Δ 3 ,
h = A 1 A 2 1 + η 2 Δ 6 3 η A 1 A 2 Δ 5 + Δ 1 η + Δ 5 1 A 1 A 2 + Δ 1 Δ 11 Δ 1 ,
θ = Pr A 5 1 + η 2 A 4 Δ 8 η Δ 1 Δ 5 + 1 Pr A 5 A Δ 1 + B Δ 7 Δ 8 η 1 + η 2 ,
χ = S c 1 + η 2 Δ 10 Δ 1 η Δ 5 R c 1 + δ Δ 7 m e E 1 + δ Δ 7 m Δ 9 Δ 10 η 1 + η 2 ,
and
Δ 1 0 = S ,   Δ 3 0 = 0 ,   Δ 5 0 = 0 ,   Δ 10 0 = 0 ,   Δ 7 0 = 1 ,   Δ 9 0 = 1 , Δ 1 η 0 = 1 ,   Δ 3 η 0 = Re ,   Δ 7 η 0 = 0 ,   Δ 9 η 0 = 0 .
The RKF-45 approach begins with considering the governing equations for the fluid flow or heat transfer problem at hand. After that, the proper similarity transformations are used to make the equations simpler and the problem less difficult. This altered system is then transformed into a boundary value problem, which is further reduced to an initial value problem for easier numerical processing. A guess is made for any missing initial conditions needed to solve the initial value problem. The RKF-45 approach is then used to solve the initial value problem, leveraging its adaptable step-size capabilities. After finding the solution, the residuals of all boundary conditions are calculated to evaluate the solution’s accuracy. If the residuals exceed the predefined error tolerance, the starting guess is changed, and the procedure is repeated until the solution reaches the desired accuracy, yielding the final results. The error tolerance and step size will be increased to 10 6 and h = 0.01 , correspondingly. The scheme of the method is shown in Figure 2.
For simulation purposes, we have these parameters fixed as: M = 0.5 , Pr = 6.2 , E = 0.1 , m = 0.1 , R c = 0.6 , δ = 0.1 , S = 1 , A = B = 0.5 , S c = 0.6 , Re = 0.7 . Additionally, the numerical outcomes of the current study are correlated with those of previous results, and the results found were quite similar (see Table 1).

4. Results and Discussion

Using mathematical modeling and numerical analysis, the RKF-45 simulates hybrid nanofluid flow in a cone-disk apparatus while considering the magnetic field, non-linear heat source/sink, and activation energy. To achieve a thorough understanding of the physical notion, the numerical solutions for f η , g η , θ η , and χ η are accompanied by graphical illustrations. The current study focuses on the impact of multiple factors such as magnetic field M , non-linear heat source/sink parameters A   &   B , chemical reaction parameter R c , local Reynolds number Re Ω , and stretching parameter S . The parameters listed below were chosen to convey the various effects of variation: 0.5 M 2.0 , 1 Re Ω 7 , 0.3 A 0.9 , 0.3 B 1.1 , 1 S 7 , 0.8 R c 2.6 , 0.5 E 2.9 , 0.01 ϕ 0.03 . The thermophysical properties of the conventional fluid and hybrid nanoparticles (see [31,32]) are listed in Table 2.
The impacts of M on f , g , and θ are illustrated in Figure 3, Figure 4, and Figure 5, respectively. In Figure 3 and Figure 4, the nature of the graph showcases a decreasing trend, whereas the opposite trend is found in the case of θ in Figure 5. Physically, the Lorentz force, resulting from the interaction of the magnetic field and the moving charges in the fluid, functions as a limiting force against the flow, causing the velocity to drop within the boundary layer. Simultaneously, the magnetic field strengthens the thermal field, causing the temperature to rise within the system.
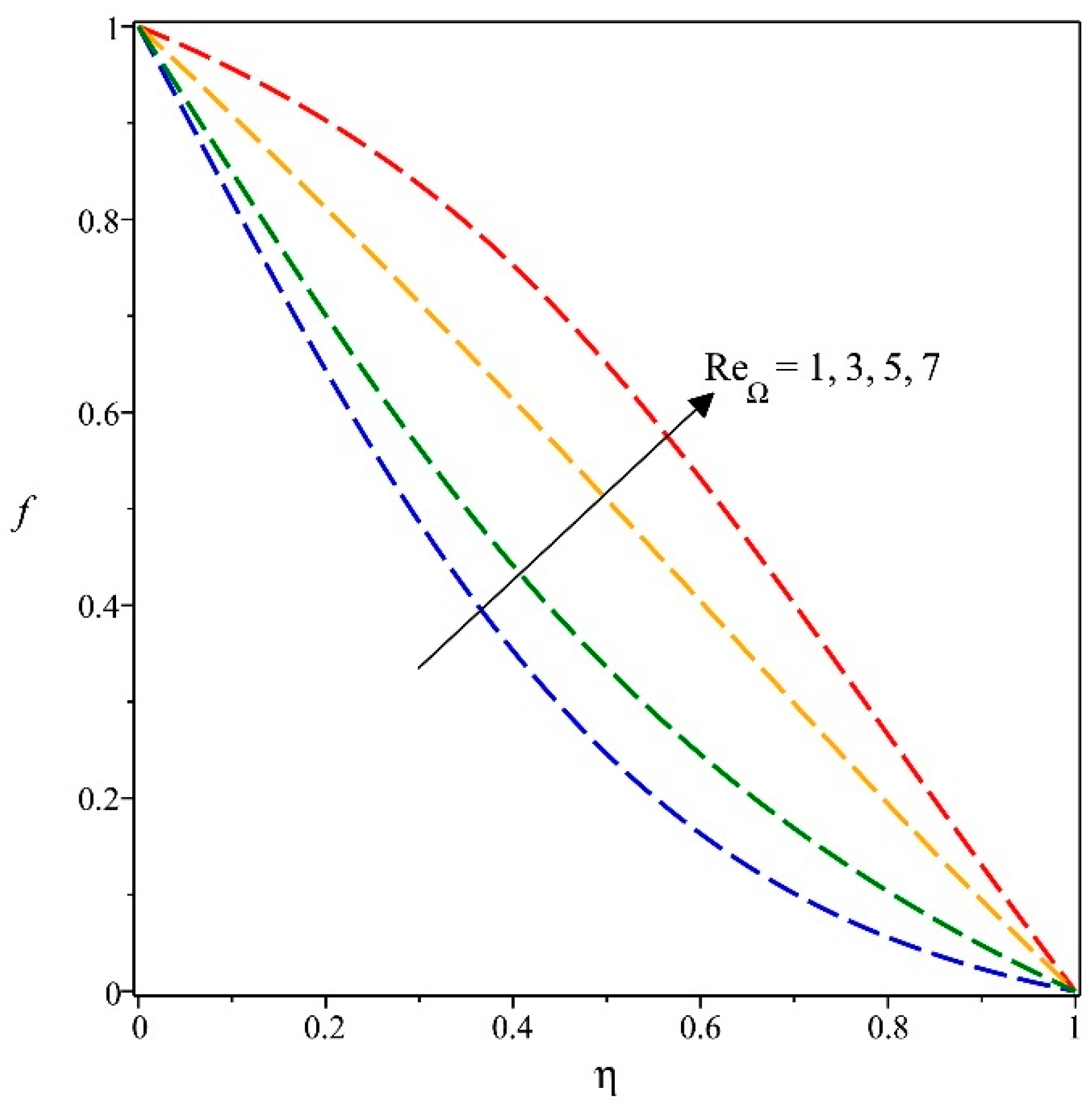
Figure 6 displays the variations in the curves of f for augmented values of Re Ω . It was observed that the velocity rises as Re Ω increases. This is due to the fact that when the Reynolds number rises, inertial forces dominate viscous forces, and the flow becomes disturbed. This type of flow is distinguished by the chaotic, uneven motion of fluid particles, which forms eddies and vortices. Disruption improves momentum transmission throughout the fluid, lowering the resistance to flow.
Therefore, the velocity of the fluid rises. A similar phenomenon is observed in Figure 7 where azimuthal velocity g upsurges for larger values of Re Ω since the g acts along the rotational direction. As Re Ω grows, the system cools more effectively because as the Reynolds number rises, so does the flow rate, resulting in higher velocity. This increased speed helps propel heat away from the surface more effectively, resulting in a lower temperature.
The influence of Re Ω on θ can be observed in Figure 8. From the figure, we can witness a decline in θ curves when Re Ω is raised.
Physically, higher Reynolds numbers result in narrower thermal boundary layers. A thinner boundary layer provides less resistance to heat transmission from the surface to the fluid, which can lead to a fall in the temperature profile because the heat is rapidly drawn away by the bulk fluid. This causes the fluid temperature in the system to decline more quickly.
The effect of space-dependent internal heat generation parameter A on the temperature profile is depicted in Figure 9. It shows that when A is elevated, the temperature of the system drops. From a physical point of view, this is because heat is not equally distributed throughout the system; the overall temperature profile gets lower as A is raised.
In Figure 10, we can see that when the internal heat generation parameter B escalates over time, it indicates that the rate at which heat is produced within the system grows. This is because the increased heat input raises the temperature within the system, resulting in a greater temperature profile.
The upsurge behavior of f for increasing values of S is portrayed in Figure 11. Physically, the action of disk expansion in the radial direction causes a radially outward (centrifugal) flow near the disk region, which grows stronger as the stretching increases. This results in a radially inward flow near the cone section that is broader than the radially outward flow.
This causes more turbulence in the flow, allowing the fluid to travel at faster speeds. The same increasing behavior was attained in the case of azimuthal velocity g in Figure 12. The decay in the temperature profile θ due to the expansion of the disk’s surface is demonstrated in Figure 13. From a physical point of view, the static pressure diminishes as the fluid travels over the expanding disk surface at a greater velocity. Because of the pressure–temperature association, a drop in static pressure causes a substantial fall in fluid temperature.
The declining trend is also observed in the concentration profile χ upon disk expansion in Figure 14. This behavior occurs because, as the disk expands, its surface area grows.
This increased surface area provides a larger space for the fluid to spread, and the concentration gradient between the disk surface and its surrounds reduces, resulting in a slower rate of diffusion and a more dynamic decline in concentration over time. The effect of reaction rate parameter R c on the χ profile is described in Figure 15. It is found that there is a decrease in the χ curves for upsurge values of R c . From a physical standpoint, the reaction accelerates when the reaction rate increases, resulting in the reactant concentrations at the boundaries being depleted more rapidly, and a thinner concentration boundary layer is seen.
The raised E value enhances the concentration profile χ in Figure 16. Physically, increasing E values lessen the Arrhenius process, which speeds up the generative chemical process that yields the concentration. So, the greater the activation energy parameter, the more the production of concentration is detected.
Figure 17 exemplifies the variations in velocity profile f for larger values of solid volume fraction. From a physical perspective, when the solid volume proportion rises, the overall velocity of the combined substance falls. This is because additional particles in the system cause higher drag and resistance to flow, resulting in a fall in overall velocity.
The influence of solid volume fraction on temperature profile θ is addressed in Figure 18. Generally, solid-volume particles have a greater thermal conductivity than fluids. The mixture’s effective thermal conductivity increases according to the solid volume fraction. This enhanced thermal conductivity enables a more effective heat transfer across the system, resulting in a higher temperature profile.
Figure 19 and Figure 20 reveal the rate of heat transfer between surfaces. As the solid volume fraction ϕ and the heat-generating parameter increases, the rate of thermal transfer N u d near the disk increases, as shown in Figure 19. Whereas in Figure 20, the heat transfer N u c at the cone surface exhibits the opposite trend. This is because when the flow advances over the cone surface, the boundary layer grows, and the heat transfer rate reduces, and so does the surface area, resulting in a decreased Nusselt number. The analysis of the Nusselt number can be used to study heat transmission in processes such as sintering and casting, which frequently involve cone and disc geometries. This analysis facilitates controlled heat transfer to optimize material characteristics. The impact of M and ϕ on the Nusselt number across the disk and cone is displayed in Figure 21 and Figure 22. In Figure 21, a high magnetic field might result in a larger thermal boundary layer, increasing the surface temperature gradient. Because of the more consistent flow provided by the disk’s surface, the heat transfer rate is increased, raising the Nusselt number N u d across the disk. But the opposite trend is found in Figure 22, where the Nusselt number N u c across the cone declines as the values of M upsurge. This is because the thermal boundary layer near the surface of the cone is affected by the magnetic field. The thickness of the boundary layer that results from a stronger magnetic field can lower the surface temperature gradient. A lower temperature gradient leads to a lower Nusselt number.

5. Conclusions

This study looks at a hybrid nanofluid flow over a cone–disk apparatus in which the cone rotates with a fixed angular velocity and the disk expands (stretches) radially. The behavior of momentum, temperature, and concentration layers, as well as heat transfer rates from both the disk and cone surfaces, are investigated under the influence of a few different physical factors, such as a porous medium, a nonlinear heat source/sink, and activation energy. The defined governing equations are subjected to suitable similarities and boundary conditions to give non-linear ODEs, and then flow solutions for pressure, heat, and concentration fields are obtained numerically using the RKF-45 method. We evaluated the velocity, temperature, and concentration profiles concerning the physical parameters affecting the flow behavior. The following listing represents the key findings from the current study.
The increase in the magnetic parameter slows down fluid velocity. This is due to the presence of the Lorentz force developed within the fluid flow. The velocity profiles elevate as the Reynolds number grows. This is because flow turbulence occurs as the Reynolds number increases due to the dominance of inertial forces over viscous forces. By enhancing particle momentum transfer throughout the fluid, the disruption reduces flow resistance, thereby upsurging fluid velocity. As the Reynolds number rises, thermal boundary layers become thinner, which may cause the temperature profile to drop since heat is more effectively removed from the surface. Hence, the temperature profile decreases upon the impact of the Reynolds number. For larger values of the space-dependent internal heat generation parameter, the temperature is lowered due to the uneven distribution of heat in the system, but for rising values of the temperature-dependent internal heat generation parameter, there is a surge in the temperature profile because of the additional heat generated as the internal heat generation parameter is elevated. The pressure distribution over the conical gap layer is almost constant. The stretching of the disk reduces/increases the fluid velocity due to radially outward (centrifugal) flow and a decrease in static pressure, resulting in a significant reduction in fluid temperature. The drop in N u d at the disk surface intensifies for bigger values of solid volume fraction, and we witnessed a drop in N u c at the cone surface.
The correlation between flow, heat, and mass transport properties in a hybrid nanofluid is critical for many scientific and commercial cone–disk applications. Nanofluid stream models can explore a similar study in the presence of shape effects, entropy generation, the CC–heat flux model, convective heat conditions, exponential heat source/sink, and slip circumstances. In the future, a better numerical model for hydrodynamic and thermal interface constraints might be employed to create a mathematical model for non-Newtonian fluid flows.

Author Contributions

Methodology, K.M.N. and N.S.; Software, K.M.N.; Validation, K.M.N., D.L. and I.V.S.; Formal analysis, K.M.N., U.S.M., D.L. and I.V.S.; Investigation, N.S.; Writing—original draft, K.M.N.; Project administration, U.S.M. All authors have read and agreed to the published version of the manuscript.

Funding

This research received no external funding.

Data Availability Statement

Data are contained within the article.

Acknowledgments

The preliminary discussion of this problem was initiated during a visit to Cambridge by U.S.M. (U.S. Mahabaleshwar) through the Cambridge-Hamid Visiting Research Fellowship in 2016 and the support for this visit by Cambridge University is acknowledged gratefully by U.S.M.

Conflicts of Interest

The authors declare no conflict of interest.

References

  1. Shevchuk, I.V. A self-similar solution of Navier–Stokes and energy equations for rotating flows between a cone and a disk. High Temp. 2004, 42, 95–100. [Google Scholar] [CrossRef]
  2. Shevchuk, I.V. Laminar heat and mass transfer in rotating cone-and-plate devices. Trans ASME J. Heat Transf. 2011, 133, 024502. [Google Scholar] [CrossRef]
  3. Turkyilmazoglu, M. On the fluid flow and heat transfer between a cone and a disk both stationary or rotating. Math. Comput. Simul. 2020, 177, 329–340. [Google Scholar] [CrossRef]
  4. Saini, G.; Hanumagowda, B.N. Natural Convective Heat Transfer Analysis of Electrically Conducting Hybrid Nanofluid in a Small Gap Between Rotating Cone and Disc. BioNanoScience 2024, 14, 1442–1455. [Google Scholar] [CrossRef]
  5. Batool, K.; Haq, F.; Fatima, F.; Ali, K. Significance of Interfacial Nanolayer and Mixed Convection in Radiative Casson Hybrid Nanofluid Flow by Permeable Rotating Cone. BioNanoScience 2023, 13, 1741–1752. [Google Scholar] [CrossRef]
  6. Crane, L.J. Flow past a stretching plate. Z. Angew. Math. Phys. ZAMP 1970, 21, 645–647. [Google Scholar] [CrossRef]
  7. Maiti, H.; Mukhopadhyay, S.; Vajravelu, K. Hybrid nanofluid flow over an unsteady stretching/shrinking disk with thermal radiation. Int. J. Mod. Phys. B 2024, 38, 2450220. [Google Scholar] [CrossRef]
  8. Venkateswarlu, B.; Narayana, P.V.S.; Joo, S.W. Exploration of entropy analysis and viscous dissipation on radially convective flow of (Cu-Al2O3:H2O) hybrid nanofluid over a stretching disk. Asia Pac. J. Chem. Eng. 2024, 19, e3002. [Google Scholar] [CrossRef]
  9. Das, S.K.; Choi, S.U.S.; Patel, H.E. Heat Transfer in Nanofluids—A Review. Heat Transf. Eng. 2006, 27, 3–19. [Google Scholar] [CrossRef]
  10. Simpson, S.; Schelfhout, A.; Golden, C.; Vafaei, S. Nanofluid Thermal Conductivity and Effective Parameters. Appl. Sci. 2018, 9, 87. [Google Scholar] [CrossRef]
  11. Miandoab, A.R.; Bagherzadeh, S.A.; Isfahani, A.H.M. Numerical study of the effects of twisted-tape inserts on heat transfer parameters and pressure drop across a tube carrying Graphene Oxide nanofluid: An optimization by implementation of Artificial Neural Network and Genetic Algorithm. Eng. Anal. Bound. Elem. 2022, 140, 1–11. [Google Scholar] [CrossRef]
  12. Mebarek-Oudina, F.; Chabani, I. Review on Nano Enhanced PCMs: Insight on nePCM Application in Thermal Management/Storage Systems. Energies 2023, 16, 1066. [Google Scholar] [CrossRef]
  13. Gul, T.; Kashifullah; Bilal, M.; Alghamdi, W.; Asjad, M.I.; Abdeljawad, T. Hybrid nanofluid flow within the conical gap between the cone and the surface of a rotating disk. Sci. Rep. 2021, 11, 1180. [Google Scholar] [CrossRef] [PubMed]
  14. Barakat, J.M.H.; Al Barakeh, Z.; Ghandour, R. Examining Hybrid Nanofluid Flow Dynamics in the Conical Gap between a Rotating Disk and Cone Surface: An Artificial Neural Network Approach. Appl. Syst. Innov. 2024, 7, 63. [Google Scholar] [CrossRef]
  15. Zainal, N.A.; Nazar, R.; Naganthran, K.; Pop, I. Unsteady MHD hybrid nanofluid flow towards a horizontal cylinder. Int. Commun. Heat Mass. Transf. 2022, 134, 106020. [Google Scholar] [CrossRef]
  16. Manna, N.K.; Saha, A.; Biswas, N.; Ghosh, K. Effects of enclosure shape on MHD nanofluid flow and irreversibility in different shaped systems under fluid volume constraint. Int. J. Numer. Methods Heat Fluid Flow 2024, 34, 666–708. [Google Scholar] [CrossRef]
  17. Krishna, M.V.; Kumar, A.G.V. Chemical reaction, slip effects and non-linear thermal radiation on unsteady MHD Jeffreys nanofluid flow over a stretching sheet. Case Stud. Therm. Eng. 2024, 55, 104129. [Google Scholar] [CrossRef]
  18. Farooq, U.; Waqas, H.; Fatima, N.; Imran, M.; Noreen, S.; Bariq, A.; Akgül, A.; Galal, A.M. Computational framework of cobalt ferrite and silver-based hybrid nanofluid over a rotating disk and cone: A comparative study. Sci. Rep. 2023, 13, 5369. [Google Scholar] [CrossRef] [PubMed]
  19. Mahboobtosi, M.; Ganji, A.M.; Jalili, P.; Jalili, B.; Ahmad, I.; Hendy, A.S.; Ali, M.R.; Ganji, D.D. Investigate the Influence of Various Parameters on MHD Flow characteristics in a Porous Medium. Case Stud. Therm. Eng. 2024, 59, 104428. [Google Scholar] [CrossRef]
  20. Paul, A.; Patgiri, B.; Sarma, N. Combined Effect of Non-Linear Mixed Convection, and Non-Uniform Heat Source/Sink on Casson Ternary Hybrid Nanofluid Flow Across a Stretched Rotatory Disk. J. Nanofluids 2024, 13, 586–599. [Google Scholar] [CrossRef]
  21. Kathyayani, G.; Rao, S.S.N. Impact of Shape Factor on a Couple Stress Flow of a Ternary Hybrid Nanofluid over an Inclined Flat Plate when Non-Uniform Heat Source and Thermal Radiation are Significant: A Darcy-Forchheimer Model. J. Phys. Conf. Ser. 2024, 2765, 012022. [Google Scholar] [CrossRef]
  22. Ragupathi, E.; Prakash, D. Role of linear and non-linear thermal radiation over the rotating porous disc with the occurrence of non-uniform heat source/sink: HAM analysis. Int. Conf. Math. Model. 2024, 222, 350–378. [Google Scholar] [CrossRef]
  23. Nihaal, K.M.; Mahabaleshwar, U.S.; Joo, S.W. Darcy Forchhiemer imposed exponential heat source-sink and activation energy with the effects of bioconvection over radially stretching disc. Sci. Rep. 2024, 14, 7910. [Google Scholar] [CrossRef]
  24. Dharmaiah, G.; Dinarvand, S.; Durgaprasad, P.; Noeiaghdam, S. Arrhenius activation energy of tangent hyperbolic nanofluid over a cone with radiation absorption. Results Eng. 2022, 16, 100745. [Google Scholar] [CrossRef]
  25. Azhar, E.; Maraj, E.N.; Afaq, H.; Jamal, M.; Iqbal, Z. Application of activation energy and Joule heating with variable viscosity on MHD flow of trihybrid nanofluid over a disk. Int. Commun. Heat Mass. Transf. 2024, 155, 107573. [Google Scholar] [CrossRef]
  26. Das, U.J.; Patgiri, I. Gyrotactic Mixed Bioconvective Flow of Copper–Water Nanofluid Past a Rotating Cone with Non-uniform Heat Source and Activation Energy. BioNanoScience 2024, 14, 1157–1170. [Google Scholar] [CrossRef]
  27. Turkyilmazoglu, M. The flow and heat in the conical region of a rotating cone and an expanding disk. Int. J. Numer. Methods Heat Fluid Flow 2023, 33, 2181–2197. [Google Scholar] [CrossRef]
  28. Alqawasmi, K.; Alharbi, K.A.M.; Farooq, U.; Noreen, S.; Imran, M.; Akgül, A.; Kanan, M.; Asad, J. Numerical approach toward ternary hybrid nanofluid flow with nonlinear heat source-sink and fourier heat flux model passing through a disk. Int. J. Thermofluids 2023, 18, 100367. [Google Scholar] [CrossRef]
  29. Sravanthi, C.S. Effect of nonlinear thermal radiation on silver and copper water nanofluid flow due to a rotating disk with variable thickness in the presence of nonuniform heat source/sink using the homotopy analysis method. Heat Transf. Asian Res. 2019, 48, 4033–4048. [Google Scholar] [CrossRef]
  30. Chamkha, A.; Jena, S.; Mahapatra, S. MHD Convection of Nanofluids: A Review. J. Nanofluids 2015, 4, 271–292. [Google Scholar] [CrossRef]
  31. Shah, N.A.; Wakif, A.; El-Zahar, E.R.; Thumma, T.; Yook, S.-J. Heat transfers thermodynamic activity of a second-grade ternary nanofluid flow over a vertical plate with Atangana-Baleanu time-fractional integral. Alex. Eng. J. 2022, 61, 10045–10053. [Google Scholar] [CrossRef]
  32. Acharya, N.; Maity, S.; Kundu, P.K. Framing the hydrothermal features of magnetized TiO2–CoFe2O4 water-based steady hybrid nanofluid flow over a radiative revolving disk. Multidiscip. Model. Mater. Struct. 2019, 16, 765–790. [Google Scholar] [CrossRef]
Figure 1. Schematic diagram.
Figure 1. Schematic diagram.
Mathematics 12 02530 g001
Figure 2. Flow chart of RKF-45.
Figure 2. Flow chart of RKF-45.
Mathematics 12 02530 g002
Figure 3. Effect of M over f (Blue—0.5, Green—1.0, Orange—1.5, Red—2.0).
Figure 3. Effect of M over f (Blue—0.5, Green—1.0, Orange—1.5, Red—2.0).
Mathematics 12 02530 g003
Figure 4. Effect of M over g (Blue—0.5, Green—1.0, Orange—1.5, Red—2.0).
Figure 4. Effect of M over g (Blue—0.5, Green—1.0, Orange—1.5, Red—2.0).
Mathematics 12 02530 g004
Figure 5. Effect of M over θ (Blue—0.5, Green—1.0, Orange—1.5, Red—2.0).
Figure 5. Effect of M over θ (Blue—0.5, Green—1.0, Orange—1.5, Red—2.0).
Mathematics 12 02530 g005
Figure 6. Impact of Re Ω on f (Blue—1, Green—3, Orange—5, Red—7).
Figure 6. Impact of Re Ω on f (Blue—1, Green—3, Orange—5, Red—7).
Mathematics 12 02530 g006
Figure 7. Impact of Re Ω on g (Blue—1, Green—3, Orange—5, Red—7).
Figure 7. Impact of Re Ω on g (Blue—1, Green—3, Orange—5, Red—7).
Mathematics 12 02530 g007
Figure 8. Impact of Re Ω on θ (Blue—1, Green—3, Orange—5, Red—7).
Figure 8. Impact of Re Ω on θ (Blue—1, Green—3, Orange—5, Red—7).
Mathematics 12 02530 g008
Figure 9. Influence of A over θ (Blue—0.3, Green—0.5, Orange—0.7, Red—0.9).
Figure 9. Influence of A over θ (Blue—0.3, Green—0.5, Orange—0.7, Red—0.9).
Mathematics 12 02530 g009
Figure 10. Influence of B over θ (Blue—0.3, Green—0.7, Orange—0.9, Red—1.1).
Figure 10. Influence of B over θ (Blue—0.3, Green—0.7, Orange—0.9, Red—1.1).
Mathematics 12 02530 g010
Figure 11. Fluctuation of f for distinct values of S (Blue—1, Green—3, Orange—5, Red—7).
Figure 11. Fluctuation of f for distinct values of S (Blue—1, Green—3, Orange—5, Red—7).
Mathematics 12 02530 g011
Figure 12. Fluctuations of g for distinct values of S (Blue—1, Green—3, Orange—5, Red—7).
Figure 12. Fluctuations of g for distinct values of S (Blue—1, Green—3, Orange—5, Red—7).
Mathematics 12 02530 g012
Figure 13. Fluctuations of θ for distinct values of S (Blue—1, Green—3, Orange—5, Red—7).
Figure 13. Fluctuations of θ for distinct values of S (Blue—1, Green—3, Orange—5, Red—7).
Mathematics 12 02530 g013
Figure 14. Fluctuations of χ for distinct values of S (Blue—1, Green—3, Orange—5, Red—7).
Figure 14. Fluctuations of χ for distinct values of S (Blue—1, Green—3, Orange—5, Red—7).
Mathematics 12 02530 g014
Figure 15. Impact on χ (Blue—0.8, Green—1.4, Orange—2.0, Red—2.6).
Figure 15. Impact on χ (Blue—0.8, Green—1.4, Orange—2.0, Red—2.6).
Mathematics 12 02530 g015
Figure 16. Impact on χ (Blue—0.5, Green—1.3, Orange—2.1, Red—2.9).
Figure 16. Impact on χ (Blue—0.5, Green—1.3, Orange—2.1, Red—2.9).
Mathematics 12 02530 g016
Figure 17. Solid volume fraction effect over f .
Figure 17. Solid volume fraction effect over f .
Mathematics 12 02530 g017
Figure 18. Solid volume fraction effect on θ .
Figure 18. Solid volume fraction effect on θ .
Mathematics 12 02530 g018
Figure 19. Variations in N u d for rising ϕ and A values.
Figure 19. Variations in N u d for rising ϕ and A values.
Mathematics 12 02530 g019
Figure 20. Variations in N u c for rising ϕ and A values.
Figure 20. Variations in N u c for rising ϕ and A values.
Mathematics 12 02530 g020
Figure 21. Variations of N u d for rising Μ and ϕ values (Blue—1.5, Red—2.0, Orange—2.5).
Figure 21. Variations of N u d for rising Μ and ϕ values (Blue—1.5, Red—2.0, Orange—2.5).
Mathematics 12 02530 g021
Figure 22. Variations of N u c for rising M and ϕ values (Blue—1.5, Red—2.0, Orange—2.5).
Figure 22. Variations of N u c for rising M and ϕ values (Blue—1.5, Red—2.0, Orange—2.5).
Mathematics 12 02530 g022
Table 1. Numerical validation for disk and cone heat transfer rates.
Table 1. Numerical validation for disk and cone heat transfer rates.
S n = 0 (Disk)
Turkyilmazoglu [27]
Present Study n = 0 (Cone)
Turkyilmazoglu [27]
Present Study
01.093284421.093283990.830280930.83028101
51.227801471.227800990.774349030.77434799
101.367446071.36745020.722261220.72226088
151.511271991.511272130.673871850.67387136
Table 2. Thermophysical properties of base fluid and hybrid nanoparticles.
Table 2. Thermophysical properties of base fluid and hybrid nanoparticles.
Particles ρ   kg / m 3 C p   J / kgK σ   S / m k   W / mK
H 2 O 997.141790.050.613
Fe 3 O 4 518067025,0009.7
CoFe 2 O 4 49077001.1 × 1071.3 × 10−5
Disclaimer/Publisher’s Note: The statements, opinions and data contained in all publications are solely those of the individual author(s) and contributor(s) and not of MDPI and/or the editor(s). MDPI and/or the editor(s) disclaim responsibility for any injury to people or property resulting from any ideas, methods, instructions or products referred to in the content.

Share and Cite

MDPI and ACS Style

Nihaal, K.M.; Mahabaleshwar, U.S.; Swaminathan, N.; Laroze, D.; Shevchuk, I.V. A Numerical Investigation of Activation Energy Impact on MHD Water-Based Fe3O4 and CoFe2O4 Flow between the Rotating Cone and Expanding Disc. Mathematics 2024, 12, 2530. https://doi.org/10.3390/math12162530

AMA Style

Nihaal KM, Mahabaleshwar US, Swaminathan N, Laroze D, Shevchuk IV. A Numerical Investigation of Activation Energy Impact on MHD Water-Based Fe3O4 and CoFe2O4 Flow between the Rotating Cone and Expanding Disc. Mathematics. 2024; 12(16):2530. https://doi.org/10.3390/math12162530

Chicago/Turabian Style

Nihaal, Kandavkovi Mallikarjuna, Ulavathi Shettar Mahabaleshwar, Nedunchezhian Swaminathan, David Laroze, and Igor V. Shevchuk. 2024. "A Numerical Investigation of Activation Energy Impact on MHD Water-Based Fe3O4 and CoFe2O4 Flow between the Rotating Cone and Expanding Disc" Mathematics 12, no. 16: 2530. https://doi.org/10.3390/math12162530

APA Style

Nihaal, K. M., Mahabaleshwar, U. S., Swaminathan, N., Laroze, D., & Shevchuk, I. V. (2024). A Numerical Investigation of Activation Energy Impact on MHD Water-Based Fe3O4 and CoFe2O4 Flow between the Rotating Cone and Expanding Disc. Mathematics, 12(16), 2530. https://doi.org/10.3390/math12162530

Note that from the first issue of 2016, this journal uses article numbers instead of page numbers. See further details here.

Article Metrics

Back to TopTop