Next Article in Journal
Right Conoids Demonstrating a Time-like Axis within Minkowski Four-Dimensional Space
Next Article in Special Issue
I-fp Convergence in Fuzzy Paranormed Spaces and Its Application to Robust Base-Stock Policies with Triangular Fuzzy Demand
Previous Article in Journal
A Copula Discretization of Time Series-Type Model for Examining Climate Data
 
 
Font Type:
Arial Georgia Verdana
Font Size:
Aa Aa Aa
Line Spacing:
Column Width:
Background:
Article

Dynamic Optimization of a Supply Chain Operation Model with Multiple Products

by
Carlos E. Lopez-Landeros
1,2,
Ricardo Valenzuela-Gonzalez
1 and
Elias Olivares-Benitez
3,*
1
Universidad Panamericana, Facultad de Ingenieria, Jose Maria Escriva de Balaguer 101, Villas Bonaterra, Aguascalientes 20296, Mexico
2
Tecnologico Nacional de Mexico/Aguascalientes, Departamento de Ciencias Basicas, Adolfo Lopez Mateos 1801 Ote., Bonagens, Aguascalientes 20196, Mexico
3
Universidad Panamericana, Facultad de Ingenieria, Alvaro del Portillo 49, Zapopan 45010, Mexico
*
Author to whom correspondence should be addressed.
Mathematics 2024, 12(15), 2420; https://doi.org/10.3390/math12152420
Submission received: 24 May 2024 / Revised: 19 July 2024 / Accepted: 31 July 2024 / Published: 3 August 2024

Abstract

Determination of the optimal operational policy for an automotive supply chain is explored under a centralized management approach using dynamic programming. A deterministic optimal control model is proposed to meet multi-product demand over a period while minimizing a cost performance index for a five-echelon network. The production-inventory levels are the state variables and the raw material acquisition rates are the control variables to be decided in the problem. The novelties include parts mixing operations, assembly requirements, and a push–pull chain operation strategy. The continuous model is solved using Iterative Dynamic Programming, an algorithm with successful applications in chemical engineering problems. Its implementation here is the first in supply chain (SC) management models. The results demonstrate that the proposal is suitable to represent the dynamic behavior of the SC and provides useful information to outline a cooperative decision-making process. Managerial insights are derived to improve the resilience and efficiency of the chain.

1. Introduction

The automotive supply chain (ASC), one of the most engaging and dynamic industries, is constantly changing and leading innovation as it adopts new technologies [1,2,3,4]. It is composed of vehicle manufacturers, parts suppliers, and logistics distribution centers, whose interactions involve the interchange of orders and flow of material to manufacture cars and fulfill customers’ needs [5,6,7,8,9,10]. In the context of global sourcing, transportation challenges, diversified customer requirements, and cost competition, ASC partners require a synchronized decision-making process. Such coordination is essential to remain competitive, reduce costs, increase profitability, and meet customer expectations [2,11].
Major research efforts, both in academia and industry, to coordinate the production planning, inventory control, and logistic processes, have been made with steady-state optimization methodologies: linear programming (LP), mixed integer linear (MILP), non-linear (NLP), and mixed integer non-linear (MINLP) [12,13,14,15,16,17]. However, these approaches are insufficient when dealing with the variable state of the SC [11,18,19,20]. The reaction to decisions typically happens where time lags and positive and negative feedback loops exist [21]. Furthermore, the challenge of the bullwhip effect [22,23,24] and ripple effect [25,26,27,28] force the analysis of the SC from a dynamic perspective to deal with them [19,20,29,30,31].
In recent years, several works have been published that use MILP or MINLP models in a multi-stage manner to address the dynamic nature of the SC [21,32,33,34,35,36]. Problems of production rate control, the interchange of orders between partners, the determination of planned lead times, and safety stock levels to minimize cost or maximize profit have been the topics of such works to improve SC operations. They are good approximations to dynamic modeling, but their framework is still stationary in nature.
True dynamic approaches based on classical control theory such as inventory and order-based production control systems (IOBPCS) and model predictive control (MPC) have been used for SC management problems [37,38,39,40,41,42,43]. These methodologies focus on keeping SC operational processes controlled around suitable set points. Another class of control theory tools is so-called “advanced” and includes the calculus of variations (CV), Pontryagin maximum principle, and dynamic programming [44,45]. They began to be implemented in the 1950s in warehousing problems [46,47], but their use in SC dynamic optimization has been less popular. Unlike classical control theory, these advanced tools improve the performance of a system over time by making sequential decisions, rather than keeping it controlled around desired levels [48,49,50,51,52]. However, despite being flexible and scalable methodologies to real applications [53], they have not been used enough to improve supply chains with complex interactions. Although several implementations of these tools in SC problems have been published [2,28,29,31,53,54,55,56,57,58], they refer to isolated systems with little or no interaction with other entities or are only for a single product.
This is the gap that this paper seeks to fill in twofold: with the dynamic modeling of a complex SC and with the first implementation in SC problems of a proven advanced control theory algorithm. Thus, the following objectives are addressed:
(1)
Build an optimal control model to minimize a cost performance index for a capacitated five-echelon ASC operating under a push–pull strategy, that considers parts mixing operations, assembly requirements, and multi-product demand.
(2)
Implement an advanced control theory numerical tool based on dynamic programming to the determination of the optimal production-inventory policy for the chain, under a centralized management approach.
The ASC network used in this work was shaped using as a reference the Cluster organization of the automotive industry illustrated in [59], and the basic relational structure of the automotive industry depicted in [2]. The production-inventory levels in each node are the state variables and their changes are modeled by linear differential equations using the tank analogy [42,57]. The raw material procurement rates at the beginning of the chain are the control variables as inputs to the system. Their profiles over time constitute the primary decisions to be made in the optimal control problem. Inequality constraints bind the values of the state and control variables, and equality constraints define the assembly requirements and the multi-product demand. A set of parameters define the operation costs and capabilities of each node. Their values are based on information from Mexican government sources and the private initiative for the automotive sector [60,61]. The resulting model is solved by Iterative Dynamic Programming (IDP) [62], an advanced control theory algorithm with applications in a variety of dynamic systems [63,64,65,66,67,68,69,70,71,72,73]. Its use here is the first one in SC management problems. The results allow it to outline the optimal production-inventory policy to help managers devise a cooperative decision-making process.
The structure of the paper is as follows: after introducing insights about SC dynamic optimization, a study of state-of-art concern of multi-stage optimization and control theory approaches of the ASC and general SCs, and an overview and use of IDP are presented to establish the gap to be filled with this work; then, the problem is formulated with relevant information such as how the SC network is made up and the IDP algorithm is described; next, in the results section, the proposed optimal control model and its solution for two control configurations are addressed; finally, the findings and managerial insights are discussed and in the conclusions, the main contributions of this papers are stated considering limitations and future work.

2. Literature Review

Dynamic modeling and analysis of time-varying phenomena in production and logistics have been carried out since the 1950s. Excellent reviews have been published on research about the SC as a non-stationary system [18,19,30,49,51,52,53]. Since the work of Simon [37] to control the production rate of a single product and the conceptualization of system dynamics by Forrester [38], the classical control theory has been the most used methodology in SC dynamic optimization. IOBPCS [39] and MPC [40,41,42,43] are typical tools for modeling and solving linear and non-linear systems for single or multi-echelon production-inventory problems. Managers control deviations from desired levels through changes in production rates and orders by the action of PI and PID controllers working with Laplace or Z transforms in a closed loop.
On the other hand, the advanced control theory tools saw their first implementations in the production-inventory models with the warehousing problem [46,47]. Based on the time domain, the calculus of variations, Pontryagin maximum principle [44], and dynamic programming [45] deal with state variables that evolve by the action of control variables to optimize a performance index [48,49,50,51,52,53]. The following subsections review the most recent and relevant contributions from multi-stage MILP/MINLP and classical control theory approaches in the dynamic optimization of both the ASC and general SCs.

2.1. ASC Dynamic Optimization

This subsection briefly reviews the most relevant papers on dynamic optimization for the automotive industry in recent years. Schröder et al. [21] took a real SC with ten partners of DaimlerChrysler Truck to model its dynamic behavior. They optimize a cost function summing two costs in conflict: the inventory and backlog costs. Their proposal was a set of discrete algebraic equations representing the interchanges of finished and incoming goods. In a multi-stage manner, they compute the optimal order sequence between SC partners assuming known demand for a given period. Lanza et al. [54] presented an approach supporting both tactical and strategic decision-making for a single production unit of automotive industries. They proposed a queueing theory model combined with a Markovian decision process to minimize a cost function by sequentially adjusting the capacities of machines, plants, or factories.
Dömötörfi et al. [2] presented a model for describing automotive supply chain networks combining both network and traffic systems theories. They built a mathematical formulation in linear differential equations including transportation issues between nodes. Their contribution is the only optimal control model and suggests its solution through the use of control theory tools. Wang et al. [9] developed a basic model for ASC inventory management. A network of four nodes composed of raw material suppliers, part manufacturers, vehicle manufacturers, and distributors was addressed considering the demand as the model disturbance. The single-node inventory management model was set up with four ordinary differential equations (one per node) with four control variables related to upstream shipments between nodes. The solution of the model was developed using MPC.
Sanci et al. [35] developed a decision support framework in collaboration with Ford Motor Company to choose the best supplier operation strategy against a disruption risk. They formulated a multi-stage MILP model to determine the number of parts provided by the primary and secondary suppliers in every period of time. The solution of the model was obtained by a graph strategy. No mathematical rigor is identified in the way the model is solved. Recently, Markulik et al. [11] presented research based on the need of the automotive industry to manage the dynamics of the business environment. They proposed a dynamic methodology using SWOT, PESTLE, brainstorming, multifactor risk matrix, and risk register tools. Although the authors tackled a significant and relevant topic concerning ASC under a dynamic perspective, no mathematical formulation of any type of control theory or multi-stage approaches can be identified. The results obtained are limited to applications in quality management systems.

2.2. General SCs Dynamic Optimization

Contributions to the dynamic optimization of SCs from other industries were reviewed, taking into account the similarity in modeling with that of this work. Perea-Lopez et al. [41] presented a dynamic analysis model for supply chains with multi-echelon distribution networks and multiproduct batch plants. The proposed multi-stage MILP model was implemented with an MPC strategy to maximize profits by finding the optimal shipments between nodes. Subramanian et al. [42] focused on the inventory management of a two-echelon SC of a single product under a decentralized approach. They used a tank analogy to conceive the dynamic modeling of each node of the chain. The model was solved by the classical control theory tool MPC to optimize an overall supply chain objective function in a feedback control environment.
Tan [32] developed a multi-stage MILP model for the production rate control problem with backlog, with lost sales, and for the production and subcontracting rate control. These problems are about one production unit and were solved by using MATLAB. Sabbaghnia et al. [29] proposed a dynamic model for a five-echelon bicycle supply chain. They used the Pontryagin maximum principle to solve the problem and calculate the optimal orders between nodes to reduce the total inventory costs. Ben-Ammar et al. [33] worked with a multi-stage MILP model to deal with production planning problems. The solution of the model was supported by the implementation of genetic algorithms and was aimed at determining planned lead times and safety stock levels while minimizing the expected total costs. A five-echelon poultry SC is modeled by Khamseh et al. [31] as a bounded optimal control theory problem to maximize SC resilience through defined measures. The model is solved analytically using the Pontryagin maximum principle to determine production rates in each node-echelon and the purchase volume between them. Kappelman et al. [34] modeled a dynamic food SC to maximize the expected profit and reduce rejected products. They used dynamic programming to enable data-driven decision-making.
A multi-stage model to address the dynamic design of SC networks is presented by Fattahi and Govindan [36]. The resulting MILP formulation is solved algebraically by GAMs and CPLEX, commercial solvers. Taboada et al. [57] recently worked with a formulation for general high-volume manufacturing SCs. They implemented the Pontryagin maximum principle to solve a generic four-echelon dynamic SC problem. However, they did not consider complex operations of mixing parts or the demand for several products. In Yu et al. [58], a SC scheduling method for the coordination of agile production is developed. They consider a two-echelon steel SC scheduling problem with parallel-batching processing and a deterioration effect in the production stage. The model is solved by a heuristic algorithm based on dynamic programming. Nevertheless, the SC considered is small and no interactions between nodes are taken into account.

2.3. Iterative Dynamic Programming

IDP is an exhaustive search algorithm based on dynamic programming [45] for determining through a process of control variables discretization an optimal decision sequence over a time horizon. It was originally proposed by Luus [62] for optimizing chemical processes such as batch reactors, fed-batch fermenters, and distillation columns [62,63,64]. However, its use has been extended to solving a variety of optimal control problems.
Effati and Roohparvar [65] used IDP for solving linear and nonlinear differential equations. The determination of plans for oil exploitation has been dealt with using IDP [66]. More complex applications such as nitrogen removal in wastewater treatment have been addressed too [67]. A problem of driving control for hybrid electric vehicles reported the successful use of the Luus algorithm [68,72]. Elbert et al. [69] described and solved a model for controlling water reservoirs. Other interesting implementations of IDP to solve dynamic systems were presented by Lopez-Landeros et al. [70] for designing treatments for health diseases where the algorithm could determine the optimal dosing of drugs in an immunotherapy protocol. Recently, the findings of optimal flight trajectories [71] and enhanced oil recovery by flooding polymer [73] have been reported using IDP.

2.4. Research Gap

Two main limitations of the existing literature about ASC and SC dynamic optimization are identified. First, they do not consider complex interactions between echelons, multi-product demand, or concepts such as push and pull strategy. Second, the majority of works do not report the use of advanced control theory tools to address the problem of determining the minimum-cost system operation over a time horizon. These two limitations are the knowledge gap that seeks to be filled with this paper through the achievement of the stated objectives. Covering it is considered essential to increase the alternative reliable strategies for decision-makers concerned with improving SC performance in the automotive industry. To guide the research, the following questions were formulated:
  • How the interactions between nodes can be mathematically modeled?
  • Which variables of the SC are states and which are control variables?
  • How can be conceived a performance index of total cost?
  • What are the main constraints for the model?
  • Can the optimal control model of the automotive SC be solved by IDP?
  • What interpretation do the results have and what is their impact?

3. Problem Formulation

An automotive Original Equipment Manufacturer (OEM) must meet the full monthly demand for three car models at the minimum cost for the entire chain. Managers of the SC companies must coordinate to determine their synchronized production-inventory policy, driven by raw material procurement rates. Parts mixing operations, assembly requirements, constraints related to production-inventory, and transportation capacities must be considered.

3.1. ASC Network

Modeling the entire ASC including all its participants is not a practical task because a car is typically built with more than 10,000 parts [2]. For this reason, based on the work of Valenzuela-González [59] about the cluster anatomy of the automotive industry in the central part of Mexico and the work of Dömotorfi et al. [2], a network of five echelons was modeled: Tier-2, Tier-1, OEM, Distributor, and Retailer. Figure 1 shows each partner’s chain as nodes and their relationships with links.
The first two echelons operate as a push subsystem driven by fixed production inventory capacities for each node and a defined transportation capacity between them, both established according to the parts’ demand forecast from historical data. A macroscopic system approach to aggregately represent parts that share common characteristics was used. So, Tier-1 suppliers for three part-families were considered: engine train, electronics, and seating, and their three most representative raw material supplies as Tier-2, i.e., sensors, copper wires, and metal and iron, respectively. The last two echelons operate as a pull subsystem driven by customer demand placed on the Retailer. This one accumulates the cars shipped by the Distributor over a time horizon and begins to satisfy the demand at the end of this (batch operation). The OEM acts as a push–pull boundary and its parts mixing operations for car assembly are driven by customer demand coming from the Distributor orders and the availability of sufficient parts from Tier-1 suppliers.

3.2. Notation

(1)
Set and indices:
  • A: {1,…,Ns} set of parts-families
  • D: {1,…,Nd} set of car models
  • E: {1,…,Nech} set of echelons in the ASC
  • j: index for parts-family node in Tier-1 and Tier-2 echelons
  • j’: index for car model node in OEM, Distributor, and Retailer echelons
  • k: index for ASC echelon
(2)
Performance, state, and control variables:
  • J: performance index
  • ϕ: end-time scalar function to evaluate J
  • Ijk: Parts-family production-inventory level in Tier-1 and Tier-2 nodes, ∀ jϵA, kϵE
  • Ij’k: Car production-inventory level in OEM, Distributor, and Retailer nodes, ∀ j’ϵD, kϵE
  • uj: Raw material procurement rate in Tier-2 nodes, ∀ jϵA
  • mFj: parts-family production-inventory limiting quantity for assembly of one car, ∀ jϵA
(3)
Parameters:
  • Ns: number of parts-families
  • Nd: number of car models
  • Nech: number of echelons for the ASC
  • Npp: echelon number of the push–pull boundary
  • Dmj’: demand for each car model, ∀ j’ϵD
  • sjk: parts-family transportation capacity from node jk, ∀ jϵA, kϵE
  • sjj’k: parts-family transportation capacity from node jk to node j’, ∀ j’ϵD, kϵE
  • sj’k: cars transportation capacity from node j’k, ∀ jϵA, kϵE
  • Cjk: production-inventory capacity in Tier-1 and Tier-2 nodes, ∀ jϵA, kϵE
  • Cj’k: production-inventory capacity in OEM, Distributor, and Retailer, ∀ j’ϵD, kϵE
  • ctjk: unit production-inventory cost in Tier-1 and Tier-2 nodes, ∀ jϵA, kϵE
  • ctj’k: unit production-inventory cost in OEM, Distributor, and Retailer nodes, ∀ j’ϵD,kϵE
  • csjk: unit transportation cost from Tier-2 nodes, ∀ jϵA, kϵE
  • cssjj’k: unit transportation cost from node jk to node j’, ∀ jϵA, kϵE
  • csj’k: unit transportation cost from OEM and Distributor nodes, ∀ j’ϵD, kϵE
  • cstj: unit raw material procurement cost in Tier-2 nodes, ∀ jϵA
  • t0: initial time of the period
  • tf: end time of the period
  • ujmin: minimal bound for raw material procurement rate, ∀ jϵA
  • ujmax: maximal bound for raw material procurement rate, ∀ jϵA
  • Ijk(0): initial parts-family production-inventory level in Tier-1 and Tier-2 nodes, ∀ jϵA, kϵE
  • Ij’k(0): initial cars production-inventory level in OEM, Distributor, and Retailer nodes, ∀ j’ϵD, kϵE
  • Ap: number of necessary parts-families to assembly one car
(4)
Matrices and vectors:
  • x ˙ : differential equations vector for state variables
  • F: dynamics matrix for differential equations
  • x: state variables vector
  • x0: initial conditions vector at t0 for state variables
  • x(tf): end-time conditions vector at tf for state variables
  • u: control variables vector
  • u0: initial conditions vector at t0 for control variables
  • S: path constraints matrix
  • T: end-time constraints matrix

3.3. Assumptions

  • The modeling is deterministic because car demand is considered known and other perturbations in the SC parameters or variables are not taken into account.
  • Only one variable refers to the production-inventory level of finished goods at each echelon node.
  • Tier-2 raw material suppliers are of the same nature, regardless of the car model they are for; Tier-1 customizes the requirements for each car model.
  • Transport capacities of the parts-families in the push section (Tier-2 to Tier-1) are fixed and defined. Transportation capacities at the push–pull boundary and pull section (OEM, Distributor, and Retailer) are parameters calculated with the demand for cars.
  • Tier-1 and Tier-2 nodes have fixed bounds on their production-inventory levels, and those of OEM, Distributor, and Retailers adjust their bounds according to car demand.
  • All nodes in the network have fixed unit production-inventory costs.
  • The unit raw material procurement costs for Tier-2 depend linearly on their rates, i.e., (csj·uj) uj.
  • An equal flow of parts-families is necessary for the OEM echelon, i.e., one Engine train, one Electronics, and one Seating system are required simultaneously to assemble one car. If one is missing, the car cannot be manufactured.
  • Transportation times between echelon nodes, delays, modes of transport, and others such as road traffic are not taken into account.
  • Production delays, technical stoppages, or any other related delays are not considered.
  • Only downstream parts-families and car flows are considered. No upstream flow is allowed as it might be for returns or warranty fulfillment.
  • Production-inventory levels and flows across the SC network are considered continuous and non-negative.
Assumptions (i), (ii), (vi), (ix), (x), and (xi) are common in the literature to facilitate the analysis. Assumption (iii) is justified for flexible manufacturing systems. Assumption (iv) makes sense for a push–pull strategy of the SC. Assumption (v) is a natural consideration given the existence in reality of enterprise production-inventory limits. Assumption (vii) is a common consideration in management problems to calculate variable costs. Assumption (viii) is a logical constraint. Finally, assumption (xii) is in concordance with the continuous nature of the solving method used here. Undoubtedly, these assumptions reduce the accuracy of the model, but they are necessary to make its formulation tractable. Despite this, the essence of the problem as a dynamic model is preserved and the results obtained from it can be interpreted as a good approximation to reality.

3.4. Dynamic Characterization

The tank model [42,57] was used in this work as an analogy to address each node in the SC network as a reservoir in which one or more incoming mass flows and one or more outgoing mass flows occur, according to Figure 2.
The mass balance variation in the tank can be written using the next general ordinary differential equation:
d m a s s d t i m e = v o l u m e t i m e m a s s v o l u m e i n v o l u m e t i m e m a s s v o l u m e o u t
Considering the fixed tank volume as the node production-inventory capacity C, the mass content inside the tank as the production-inventory level I, and the flow (volume/time) through the pipes as the transportation capacity s, the above equation becomes a more specific one:
d I d t = s I C i n s I C o u t
The role of the valve that regulates the incoming flow would be played by the raw material procurement rates uj at the beginning of the network (Tier-2). To minimize the cost performance index, the valve opening must be varied. The control profiles will derive the states in downstream nodes, which can be interpreted as the optimal production-inventory policy under a centralized management approach.

4. Optimization Modeling Approach and the Proposed Model

Optimal control for SC problems determines the sequence of decisions that improve a performance index J, usually in economic, environmental, or quality terms, over a defined period. Thus, starting from an initial situation x0, a decision u(t) in the present must lead to a favorable situation x(t + 1) in the future, where in turn another decision u(t + 1) must be taken that leads in the same way to another favorable situation x(t + 2). In the context of the production-inventory problem, these decisions u(t), u(t + 1), and u(t + 2) constitute an optimal operation policy. During this process, various path constraints S (e.g., warehousing capacities, production rates, transportation times) and end-time constraints T must be satisfied (e.g., demand fulfillment, customer satisfaction level, product delivery date).

4.1. General Formulation of an Optimal Control Problem

A problem with the aforementioned characteristics can be represented in the Mayer form as a minimization problem:
min   J = φ ( x ( t f ) )
      s.t.:
x ˙ = F ( x , u ) , x ( t 0 ) = x 0
S ( x , u ) 0
T ( x ( t f ) ) 0
where Equation (3) represents an initial condition x0 for the state variables that evolve according to a differential equation x ˙ in terms of the dynamics F as functions of both state and control variables x and u. Equations (4) and (5) are the path and end-time constraints, respectively. The action of control variables u over the state variables x must lead to a minimum value for the performance index J according to Equation (2).

4.2. The Proposed Optimal Control Model

The optimal control model for the ASC was developed based on the problem formulation, dynamic characterization, and optimization modeling approach explained above.

4.2.1. Objective Function

The scalar end-time function ϕ through which the performance index J must be minimized, adds from t0 to tf all the costs associated with the operation of the chain. Its scalar value comes from the evaluation of the next integral:
J = t 0 t f j = 1 N s c s j u j 2 + k = 1 N p p 1 j = 1 N s c t j k I j k + k = N p p N e c h j = 1 N d c t j k I j k + j = 1 N s c s j 1 s j 1 I j 1 C j 1 + j = 1 N d j = 1 N s c s s j j 2 m F j + k = N p p N e c h 1 j = 1 N d c s j k s j k I j k C j k d t
The first term of the integral refers to the raw material procurement cost calculated from assumption (vii). The second term is the sum of the parts-family production-inventory costs and the third is the sum of the cars production-inventory costs. The last three terms refer to the transportation costs through the ASC nodes from Tier-2 to the Retailer. To fit the problem to the Mayer form, the integral of Equation (6) is dealt with as an additional differential equation whose final value allows the evaluation of ϕ to minimize J.

4.2.2. Dynamic Equations

According to the mass balance of Equation (1), and since uj are the inputs to the Tier-2 nodes, their dynamic production-inventory equations are as follows:
d I j k d t = u j s j k I j k C j k , k = N p p 2 , j N s
Similarly, the production-inventory balance equations for Tier-1 nodes are:
d I j k d t = s j k 1 I j k 1 C j k 1 j = 1 N s m F j , k = N p p 1 , j N s
where mFj is the limiting quantity of the production-inventory of the parts-families that can reach the OEM from Tier-1 nodes to guarantee the assembly of one car as stated in assumption (viii). Even if the production-inventory of the Tier-1 parts-family is larger than another, the set with the smallest quantity determines the number of complete cars that can be produced.
For OEM, the following is obtained:
d I j k d t = m F j s j k I j , k C j , k , k = N p p , j N d
Balance equations for the Distributor echelon are:
d I j k d t = s j k 1 I j k 1 C j k 1 s j k I j k C j k f o r k = N p p + 1 , j N d
And j’ additional differential equations to represent the progress in the production of car models to meet the respective demands at time tf. These equations come from the outputs of the Distributor echelon and describe the dynamics of the Retailer, thus:
d I j k d t = s j k 1 I j k 1 C j k 1 , k = N p p + 2 , j N d

4.2.3. Path and End-Time Constraints

Path constraints related to node production-inventory capacities for the push section are considered:
0 I j , k C j , k j N s , k ( 1 , , N p p 1 )
and values for the minimum and maximum bounds of raw material procurement rates:
u j min u j u j max j N s
The end-time constraints are referred to the fulfillment of car demand:
I j , k ( t f ) = D m j j N d , k = 5

4.2.4. Auxiliary Equations for the Pull Section

According to assumption (iv), the transportation capacities from Tier-1 nodes to OEM, from OEM to Distributor, and from Distributor to Retailer, are parameters calculated in function of known demands and Tier-2 transportation capacities, that is:
s j j k = s j k 1 D m j j = 1 N d D m j , k = 2 , j N s , j N d
s j k = j = 1 N s s j j k 1 A p = s j k + 1 = = s j N e c h , k = N p p j N s , j N d
where Ap is the number of necessary parts-families to assemble one car. This factor converts the parts-families set to cars into an Ap: 1 ratio. That causes a fictitious effect of reducing transportation capacity since the Ap flow of parts-families becomes a single-car flow.

5. Solving Method

5.1. Dynamic Programming

Optimization problems formulated in the form of Equations (2)–(5) can be solved by dynamic programming, a multi-stage optimization method developed by Bellman [45] for processes where decisions must be made sequentially at different points in time. DP works with a recursive cost function V(x,t) defined as the minimum cost of state x in time t ≤ tf, and transforms the performance index J of Equation (2) to the next partial differential equation:
V ( x , t ) t + min V ( x , t ) x F ( x , u ) + μ T S ( x , u ) = 0
with boundary conditions:
V ( x ( t f ) , t f ) = φ ( x ( t f ) ) + ν T T ( x ( t f ) )
V ( x , t ) t t f = 0
Equation (17) is known as the Hamilton–Jacobi–Bellman equation. It represents the sum of the variations of V in time and the minimum effects of (i) the variations of V concerning the evolution of the state variables x due to the dynamics F according to Equation (3) and (ii) the violation of the path constraints S weighted by μT functions. Equation (18) is the V value at time tf calculated as the sum of the end-time scalar performance index of Equation (2) and the violation of the end-time constraints T weighted by υT functions. Equation (19) is a transversality condition that must be satisfied when tf is not specified. To solve this boundary-value problem, DP discretizes the time interval (t0, tf) into P time stages to break up the complex problem into simpler problems. For the last stage corresponding to a time interval (tP−1, tP) the calculated V value at the end of that stage is V(xP, tP) according to Equation (18). Starting here, DP calculates V at the beginning of that stage (in tP−1 and xP-1 state) through the total derivative of V(x,t) with the application of chain rule and the integration of the resulting equation for time interval ΔtP from tP−1 to tP (the last stage length) to obtain:
V x P , t P V x P 1 , t P 1 = V x , t t Δ t P + V x , t x d x d t Δ t P
Dividing Equation (20) by ΔtP generated the first and second terms of Equation (17):
V x P , t P V x P 1 , t P 1 Δ t P = V x , t t + V x , t x d x d t
which, by substitution, the last equality can be rewritten as follows:
V x P , t P V x P 1 , t P 1 Δ t P + μ T S x , u = 0
where it is possible to calculate V(xP−1,tP−1) in the next form:
V ( x P 1 , t P 1 ) = min V ( x P , t P ) + t P 1 t P μ T S ( x , u ) d t
With Equation (23), DP searches a control variable vector u that, by integration of the dynamics F with xP−1 as initial conditions, leads to a state xP at tP of the minimum value for V(xP, tP). At this point, DP stores that control variables vector as u*P to be utilized in the next calculation of V corresponding to the previous stage P−1. Thus, Equation (23) is implemented in a recursive way for decreasing values of P until reaching the initial conditions x0 of stage 1. In this process, DP stores the u*P, u*P−1, u*P−2… control vectors that, by integration of the dynamics matrix F, describe continuous state trajectories x from each stage up to the end P stage and means a minimum value for V(xP, tP). According to the Bellman Optimality Principle stated as “an optimal policy (or a set of decisions) has the property that whatever the initial state and the initial decision are, the remaining decision must constitute an optimal policy with regard to the state resulting from the first decision”, the set of control vector u* constitutes the optimal decision policy of the problem for a defined time interval.

5.2. Iterative Dynamic Programming

Iterative Dynamic Programming (IDP) is an exhaustive search numerical optimization tool proposed by Luus [62] that follows the methodological basis of DP described in the previous subsection. The process is carried out by the calculation of N grid points for the state variables x from the integration of the dynamics F stage by stage with M feasible values in the control variables u generated randomly with initial values ui* and defined initial search radius r0.
Feasibility of the control variables u is ensured by using the clipping technique; if u exceeds the maximum (umax) or minimum (umin) established bounds, u acquires the value of that exceeded bound. The algorithm chooses u* values that draw continuous or quasi-continuous states trajectories x from x0 in stage 1 (t0) up to xP in stage P (tf) and that means a minimum value for V(xP, tP) in the augmented form:
V ( x ( t P ) , t P ) = φ ( x ( t P ) ) + θ 1 T ( x ( t P ) ) + θ 2 S ( x ( t P ) , u )
where the path constraints S are considered of the end-time type by the inclusion of the integral in Equation (23) as additional differential equations in F to capture the violations along the period. θ1 and θ2 are parameters that play the role of the υT and μT weight functions and penalize V. Figure 3 outlines the general procedure of IDP for an arbitrary problem. The red lines represent the optimal decision sequence u* that minimizes V and draws the corresponding x state continuous trajectory.
Several iterations (Itn) are necessary to refine the solution by collapsing, in a factor γ, the search radius r generated from the restoration of r0 in a factor η at the beginning of each pass. A mechanism of several passes (Ips) helps the algorithm to escape local optima [62]. See Algorithm 1 for more details on IDP pseudocode.
Algorithm 1. IDP pseudocode.
Input: P, N, M, γ, η, x0, ui*, r0, umin, umax, F, t0, tf, Itn, Ips
RD is a diagonal matrix of random numbers between −1 and 1.
Calculate generator factor for N grid points q; fc = 2(q − 1)/(N − 1) q = 1, 2…, N if N = 1 then fc = 0
k = 1
  Repeat /*pass cycle /
    ri = r0ηk−1; x0ix0; uiq* ← ui*; tP ← tf  i = 1, 2, …, P  q = 1, 2, …, N
      j = 1
      Repeat /*iterations cycle /
        Generate N values q for u for all i stages; uiq = ui* − ri + fc·ri
          if uiq < umin then uiq = umin or if uiq > umax then uiq = umax
            Integrate the F to generate N trajectories q for all i stages; xiqF(x0i,uiq)
            i = P
            Repeat /*stage-recursive cycle /
              Generate M values l for u in each q grid point at i-stage; uilq = uiq* + RD·ri
              Integrate the F from ti−1 to ti; xilqF(xi−1q,uilq)
                if i < P then
                  s = i
                  Repeat /*stage-progressive cycle /
                    Choose and store the q us+1q* whose xs+1q* is near or connects with xslq
                    s = s + 1
                  Until s = P
                end if
              Compare the M values l of V(xPlq,tP) from xilq, and store uilq of Vmin; uiq* ← uilq; xiq* ← xilq
              i = i − 1
            Until i = 1
        Compare the N values q of V(xPq,tP) and choose uiq* of Vmin; ui* ← uiq*; xi* ← xiq* i = 1, 2, …,P
        j = j + 1
        ri = riγ i = 1, 2, …,P
      Until j = Itn
    k = k + 1
  Until k = Ips
Output: xi* ui* Vmin

6. Results

In this section, to illustrate the application of the model developed for the ASC, a numerical example is provided for the case of the Mexican automotive industry. Two model configurations are compared in terms of the values obtained in their performance index and the profiles in their state and control variables.

6.1. Data Model Parameters Setting

Arbitrary monthly demands Dmj for each car model were considered. However, the values of the rest of the model parameters are based on ranges and trends reported by the National Institute of Statistics, Geography, and Informatics (INEGI) [60] for the automotive industry in Mexico, and the Nissan Motor Income Statement 2009–2024 [61].
The unit raw material procurement costs cstj at Tier-2 nodes, and the minimum and maximum permissible bounds for their rates uj are shown in Table 1.
The unit production-inventory costs ctjk of the push section and ctj’k of the push–pull boundary and the pull section are set out in Table 2. The unit transportation costs csjk from Tier-2 j-nodes, cssjj’k from Tier-1 j-nodes to each car model j’-node in OEM, and csj’k from OEM and Distributor j’-nodes of cars are shown in Table 3.
The node production-inventory capacities Cjk of the push section and Cj’k of the push–pull boundary and the pull section are set out in Table 4. The transportation capacities sjk from Tier-2 j-nodes, sjj’k from Tier-1 j-nodes to each car model j’-node in OEM, and sj’k from OEM and Distributor j’-nodes of cars are shown in Table 5.
The initial production-inventory levels Ijk and Ij’k for each node are considered 0 and a value of 3 for Ap is used, i.e., three parts-families are needed simultaneously to assemble a single car.

6.2. Configurations to ASC Model

6.2.1. Configuration 1—Equal Raw Material Procurement Rates

Considering all the raw material procurement rates uj as equal at Tier-2 i.e., for sensors, copper wires, and metal and iron, for a time tf = 30 days (one month), Figure 4 shows the optimal raw material procurement rate profile that minimizes the cost performance index. The minimum value achieved in it was USD 41,196,825.70 using the data model parameters provided above. Table 6 shows the specific value for each measured cost that contributes to the overall cost performance index.
The dynamic behavior of all production-inventory nodes is presented in Figure 5. The push section of the ASC is plotted in Figure 5a for Tier-2 and Tier-1 supplier nodes. Figure 5b is referred to as the push–pull boundary at the OEM node, where the three car models are assembled.
Production-inventory behavior for the pull section in the Distributor and Retailer nodes is shown by the graphs in Figure 5c,d. The flat region observed in the control profile depicted in Figure 4 aligns temporally with the period during which the node’s production-inventory capacity at the Sensors node in Tier-2 is reached.
The solution of this configuration using IDP was obtained with P = 30, Itn = 50, Ips = 100, M = 25, and N =1, and a contraction factor for r search radius γ = 0.95 and restoration factor η = 0.85, θ1 = θ2 = 10. In the Core i7-2.30GHz, RAM-32GB work-station computer, a time of 1747.20 s was necessary to solve the proposed dynamic optimization model.

6.2.2. Configuration 2—Non-Equal Raw Material Procurement Rates

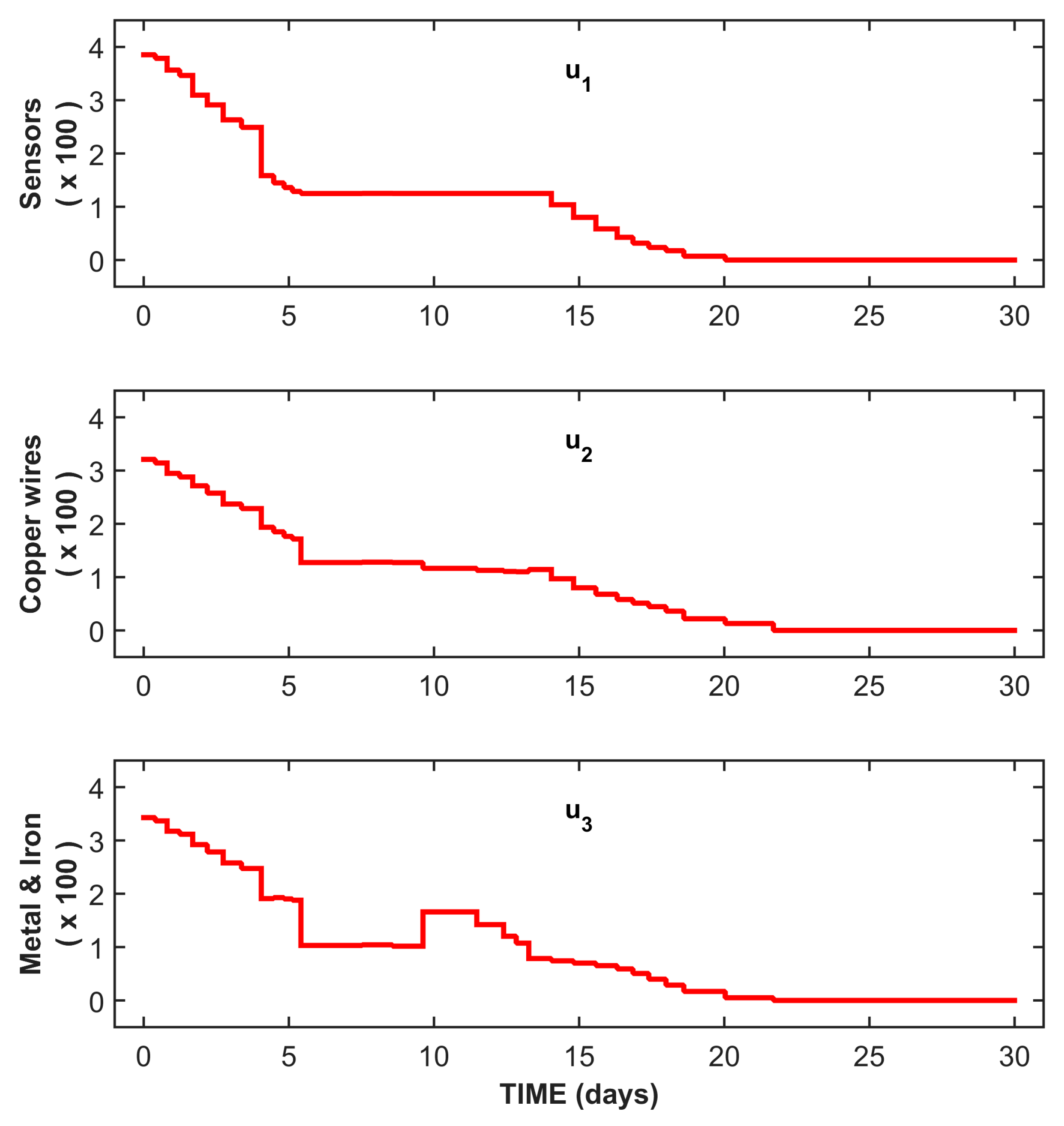
Now, by allowing all different raw material procurement rates at Tier-2, i.e., for sensors, copper wires, and metal and iron, for a time tf = 30 days (one month), Figure 6 shows the optimal raw material procurement rate profiles that minimize the cost performance index. The minimum value achieved now was USD 39,402,216.42 using the data model parameters provided above. Again, Table 6 has the detailed cost values for raw material procurement, production-inventory, and transportation costs responsible for that cost performance index value.
The dynamic behavior of all production-inventory nodes is presented in Figure 7. Figure 7a corresponds to Tier-2 and Tier-1 supplier nodes of the push section. Figure 7b refers to OEM, the push–pull boundary of the chain, and Figure 7c,d show the production-inventory behavior for the pull section where the Distributor and Retailer are. The heterogeneous control profiles of Figure 6 produce irregular variations in the production-inventory levels of copper wires and metal and iron nodes, as can be seen in Figure 8a. The flat zone in the raw material procurement rates for u1 coincides in time with the reach of the node production-inventory capacity of the Sensors node in Tier-2.
This time, the solution using IDP was obtained through P = 30, Itn = 50, Ips = 100, M = 25, and N = 1. Values for γ contraction factor and η restoration were 0.95 and 0.85, respectively, and θ1 = θ2 = 10. In the Core i7-2.30GHz, 32GB RAM work-station computer, the time to solve the three non-equal-control optimization model was 1578.25 s.

6.3. Comparison of Configurations

Table 6 shows the comparison between the two configurations. The non-equal raw material procurement rates (Configuration 2) yield better results than the equal raw material procurement rates (Configuration 1) concerning the cost performance index. All the specific measured costs of Configuration 2 are marginally lower than Configuration 1. The biggest difference is in the raw material procurement costs.
The average contribution of the specific measured costs to the cost performance index value was the following: 58% of raw material procurement costs, 28% of production-inventory costs, and 14% of transportation costs.

6.4. Sensitivity Analysis

The proposed model was evaluated to measure the effect of changes on demand Dmj’, transportation capacities sjk, raw material procurement costs cstj, and node production-inventory capacities Cjk on the cost performance index. The computational experiment consisted of applying a 15% increase and decrease to the base value of each of them, modifying one parameter at a time and keeping the others fixed. This procedure involved 24 additional runs of the IDP algorithm. The results for Configuration 1 and Configuration 2 are shown in Figure 8; the value of 0 on the x-axis is the base case described above.
It can be seen in both configurations that changes in demand have the greatest effect on the cost performance index, with a greater effect when it increases than when it decreases (Figure 8a). Changes in raw material procurement costs have the least effect on the cost performance index (Figure 8c). Regarding the effects caused by changes in sjk and Cjk, the latter (Figure 8d) is smaller than the former (Figure 8b). The stacked bars showed the proportion of the total cost performance index for each specific measured cost.
In summary, this sensitivity analysis showed that if demand increases, the cost increases in the same proportion too. When the transportation capacities decrease, the costs increase. The explanation for this is that a greater amount of material remains in the nodes for a longer time and the production-inventory costs are higher. This can be seen in the medium-saturated color stacked bars of Figure 8b. In parallel, node capacity problems may be experienced. The weak variations in capacity nodes cause increases in costs because of the higher availability of space for the production-inventory process. The null effects in costs due to raw material procurement cost variations seem to occur because the optimization process cushions these changes by regulating the flow of material in the network.

7. Discussion

From the dynamic modeling of the ASC under a centralized management approach using the tank analogy, and the solution of the proposed model with IDP for two control configurations, the following findings and managerial insights are pointed out:

7.1. Main Findings

  • In two analyzed control configurations it was possible to obtain, through IDP, an optimal production-inventory policy of the minimum cost for the entire chain. The demand for the three car models was met and they were on the market at the defined time. The nature of the exhaustive search method meant an extensive exploration of possible solutions, which provided reliability in the results.
  • The proportion of raw material, production-inventory, and transportation costs expressed in the Comparison of configurations coincided with the ranges reported in [60,61].
  • When equal raw material procurement rates were considered (Configuration 1), the cost performance index was marginally higher than non-equal raw material procurement rates (Configuration 2). This was because for Configuration 1, the number of control variables was one, and for Configuration 2, there were three. Therefore, better results were achieved when more control variables were used.
  • The production-inventory behavior was the same for the push–pull boundary and the pull section in either configuration. Nevertheless, different slopes of the curves that describe the production-inventory levels at Tier-2 and Tier-1 can be visualized for each configuration, which suggests that in the push section, the number of control variables had an impact on ASC performance.
  • For Configuration 2, the production-inventory level of the engine train node was higher than that of the electronics node, but the latter was the lowest of Tier-1 suppliers for Configuration 1. Therefore, it was more convenient for the overall costs that the electronics node dealt with at a low production-inventory level.
  • When some node reached its production-inventory capacity, the associated raw material procurement rate remained constant as a control action, ensuring supply and, at the same time, avoiding violations of the node capacities constraints.
The main differences between this work and that of Taboada et al. [57] are the inclusion of more nodes per echelon (not just one), the consideration of part mixing operations, assembly requirements, and the use of push and pull strategies. Furthermore, the performance index used here measures the operating costs of the chain; it is not just a generic minimum energy objective function. Regarding the solution method, analytically they used the Pontryagin maximum principle, which limits its scaling to complex problems where there are a greater number of state and control variables like this.
A similar situation is presented in the work of Yu et al. [58], who worked with a small SC for the steel industry, without taking into account complex interactions between nodes. Although their solution method is based on a dynamic programming algorithm, it is computationally expensive due to the parallel use of heuristic methods such as genetic and flower pollination algorithms.

7.2. Managerial Insights

In general, the production-inventory levels can be interpreted as a cooperative decision-making process for the participants in this ASC on a monthly time horizon. This master policy indicates the production-inventory units that each node must have in time according to Figure 5 and Figure 7, driven by the raw material procurement rates for Tier-2 shown in Figure 4 and Figure 6. An operation scheme like this promotes the development of flexible operations and close relationships between chain partners. Information must be shared among all participants to operate in a synchronized form and, with this, to prevent the demand amplification and the disruption propagation along the chain. An increment in the resilience and efficiency of the system is the main effect of this collaboration.
A management philosophy in which all members of the chain are willing to respond promptly will reduce inventory levels and operation costs, and improve production efficiency. In addition, the proposed scheme will have environmental, economic, and social impacts. The diminution of transport operations will contribute to the reduction in the carbon footprint. A better-integrated chain, regardless of the sector, will mean better brand positioning and job retention, which will result in a solid and greater contribution to the gross domestic product and wellness.

8. Conclusions

A dynamic optimization model for an ASC under a centralized management approach was presented to determine the optimal production-inventory policy at minimum cost. The considerations of multi-product demand, parts mixing operations, assembly requirements, and concepts such as push and pull strategies, are the main contributions of this paper to increase the realism in this type of mathematical model. Also, the use of IDP to solve the resulting model means the first implementation of this algorithm in SC management problems. Two model control configurations were compared and the results provided useful information to help managers devise a non-empiric cooperative decision-making process aimed at improving the resilience and efficiency of the SC.
Despite the promising results reported here by using advanced control theory tools, their applicability in real life could be limited. Even in the context of Industry 4.0 with flexible and automated manufacturing processes, necessary startup process activities and the associated costs of free variations in production-inventory levels can be problematic. Furthermore, the implementation of operation policies such as those reported in this paper needs the support of the business organization and an open-minded business culture. The challenge is to coordinate decisions and processes between all participants, allow free electronic data exchange, and align them with the same management philosophy.
The proposal model is still a limited formulation to deal with the complexity of the automotive industry. Future research should be conducted to consider specific production operations for each car model, variable demand satisfaction levels, economies of scale, transportation lead times, and other logistics issues. Furthermore, for the sake of outlining a robust decision-making process, uncertainties and risk management should be considered. Variability on multi-product demand, stochastic transportation lead time, raw material acquisition costs, and the availability of parts issues must be included. Also, uncertainty in production parameters such as production rates due to delays or technical stoppages, security aspects of transport, and even the actions that the competition implements must be investigated. Interesting studies could be carried out to balance economic, environmental, and social concerns through multi-objective optimization. An analysis of trade-offs between SC resilience and efficiency should be developed.

Author Contributions

Conceptualization, C.E.L.-L. and R.V.-G.; methodology, C.E.L.-L.; software, C.E.L.-L.; validation, C.E.L.-L., R.V.-G. and E.O.-B.; formal analysis, C.E.L.-L., R.V.-G. and E.O.-B.; investigation, C.E.L.-L.; data curation, C.E.L.-L. and E.O.-B.; resources, C.E.L.-L.; writing—original draft preparation, C.E.L.-L.; writing—review and editing, R.V.-G. and E.O.-B.; visualization, C.E.L.-L.; supervision, R.V.-G. and E.O.-B.; project administration, R.V.-G.; funding acquisition, E.O.-B. All authors have read and agreed to the published version of the manuscript.

Funding

This research was funded by Universidad Panamericana, grant number UP-CI-2023-GDL-06-ING.

Data Availability Statement

The data used in this study are shown in Section 6.1. Additionally, numerical results of the computer program are available at https://github.com/EliasOBoptlog/DynamicProgramming_SCND (accessed on 23 May 2024).

Conflicts of Interest

The authors declare no conflicts of interest.

References

  1. Turner, K.; Williams, G. Modelling Complexity in the Automotive Industry Supply Chain. J. Manuf. Technol. Manag. 2005, 16, 447–458. [Google Scholar] [CrossRef]
  2. Dömötörfi, Á.; Péter, T.; Szabó, K. Mathematical Modeling of Automotive Supply Chain Networks. Period. Polytech. Transp. Eng. 2016, 44, 181–186. [Google Scholar] [CrossRef]
  3. Veres, P.; Illés, B.; Landschützer, C. Supply Chain Optimization in Automotive Industry: A Comparative Analysis of Evolutionary and Swarming Heuristics. In Proceedings of the Vehicle and Automotive Engineering 2; Jármai, K., Bolló, B., Eds.; Springer International Publishing: Cham, Switzerland, 2018; pp. 666–676. [Google Scholar]
  4. Markov, K.; Vitliemov, P. Logistics 4.0 and Supply Chain 4.0 in the Automotive Industry. IOP Conf. Ser. Mater. Sci. Eng. 2020, 878, 012047. [Google Scholar] [CrossRef]
  5. Beamon, B.M. Supply Chain Design and Analysis. Int. J. Prod. Econ. 1998, 55, 281–294. [Google Scholar] [CrossRef]
  6. Simchi-Levi, D.; Kaminsky, P.; Simchi-Levi, E. Designing and Managing the Supply Chain: Concepts, Strategies and Case Studies, 2nd ed.; McGraw-Hill/Irwin: New York, NY, USA, 2003. [Google Scholar]
  7. Pierreval, H.; Bruniaux, R.; Caux, C. A Continuous Simulation Approach for Supply Chains in the Automotive Industry. Simul. Model. Pract. Theory 2007, 15, 185–198. [Google Scholar] [CrossRef]
  8. Bennett, D.; Klug, F. Logistics Supplier Integration in the Automotive Industry. Int. J. Oper. Prod. Manag. 2012, 32, 1281–1305. [Google Scholar] [CrossRef]
  9. Wang, D.X.; Dou, J.J.; Chen, Y.H. Automobile Industry Supply Chain Inventory Modeling and Optimization Based on MPC. Adv. Mater. Res. 2014, 945–949, 3241–3245. [Google Scholar] [CrossRef]
  10. Cheng, J.; Xu, Z.; Huang, D.; Fang, C.; Wang, X.; Zhang, J. Automotive Supply Chain Networks Equilibrium Model under Uncertain Payment Delay and Objective Weights. Comput. Ind. Eng. 2020, 150, 106866. [Google Scholar] [CrossRef]
  11. Markulik, Š.; Šolc, M.; Blaško, P. Use of Risk Management to Support Business Sustainability in the Automotive Industry. Sustainability 2024, 16, 4308. [Google Scholar] [CrossRef]
  12. Min, H.; Zhou, G. Supply Chain Modeling: Past, Present, and Future. Comput. Ind. Eng. 2002, 43, 231–249. [Google Scholar] [CrossRef]
  13. Shah, N. Process Industry Supply Chains: Advances and Challenges. Comput. Chem. Eng. 2005, 29, 1225–1235. [Google Scholar] [CrossRef]
  14. Biegler, L.T.; Grossmann, I.E. Retrospective on Optimization. Comput. Chem. Eng. 2004, 28, 1169–1192. [Google Scholar] [CrossRef]
  15. Grossmann, I.E. Advances in Mathematical Programming Models for Enterprise-Wide Optimization. Comput. Chem. Eng. 2012, 47, 2–18. [Google Scholar] [CrossRef]
  16. Asgari, N.; Nikbakhsh, E.; Hill, A.; Farahani, R.Z. Supply Chain Management 1982–2015: A Review. IMA J. Manag. Math. 2016, 27, 353–379. [Google Scholar] [CrossRef]
  17. Dias, L.S.; Ierapetritou, M.G. From Process Control to Supply Chain Management: An Overview of Integrated Decision Making Strategies. Comput. Chem. Eng. 2017, 106, 826–835. [Google Scholar] [CrossRef]
  18. Ortega, M.; Lin, L. Control Theory Applications to the Production–Inventory Problem: A Review. Int. J. Prod. Res. 2004, 42, 2303–2322. [Google Scholar] [CrossRef]
  19. Sarimveis, H.; Patrinos, P.; Tarantilis, C.D.; Kiranoudis, C.T. Dynamic Modeling and Control of Supply Chain Systems: A Review. Comput. Oper. Res. 2008, 35, 3530–3561. [Google Scholar] [CrossRef]
  20. Rodríguez-Angeles, A.; Morales, A.; Sánchez, A. Dynamic Analysis and Control of Supply Chain Systems. In Supply Chain the Way to Flat Organisation; InTech: London, UK, 2009. [Google Scholar]
  21. Schröder, R.; Tibken, B.; Lasch, R. Global Optimization for Highly Dynamic Supply Chains. IFAC Proc. Vol. 2002, 35, 25–30. [Google Scholar] [CrossRef]
  22. Lee, H.L.; Padmanabhan, V.; Whang, S. The Bullwhip Effect in Supply Chains; Spring: Berlin/Heidelberg, Germany, 1997. [Google Scholar]
  23. Miragliotta, G. Layers and Mechanisms: A New Taxonomy for the Bullwhip Effect. Int. J. Prod. Econ. 2006, 104, 365–381. [Google Scholar] [CrossRef]
  24. Geary, S.; Disney, S.M.; Towill, D.R. On Bullwhip in Supply Chains—Historical Review, Present Practice and Expected Future Impact. Int. J. Prod. Econ. 2006, 101, 2–18. [Google Scholar] [CrossRef]
  25. Liberatore, F.; Scaparra, M.P.; Daskin, M.S. Hedging against Disruptions with Ripple Effects in Location Analysis. Omega 2012, 40, 21–30. [Google Scholar] [CrossRef]
  26. Ivanov, D.; Sokolov, B.; Dolgui, A. The Ripple Effect in Supply Chains: Trade-off ‘Efficiency-Flexibility-Resilience’ in Disruption Management. Int. J. Prod. Res. 2014, 52, 2154–2172. [Google Scholar] [CrossRef]
  27. Dolgui, A.; Ivanov, D. Ripple Effect and Supply Chain Disruption Management: New Trends and Research Directions. Int. J. Prod. Res. 2021, 59, 102–109. [Google Scholar] [CrossRef]
  28. Brusset, X.; Ivanov, D.; Jebali, A.; La Torre, D.; Repetto, M. A Dynamic Approach to Supply Chain Reconfiguration and Ripple Effect Analysis in an Epidemic. Int. J. Prod. Econ. 2023, 263, 108935. [Google Scholar] [CrossRef] [PubMed]
  29. Sabbaghnia, A.; Razmi, J.; Babazadeh, R.; Moshiri, B. Reducing the Bullwhip Effect in a Supply Chain Network by Application of Optimal Control Theory. RAIRO-Oper. Res. 2018, 52, 1377–1396. [Google Scholar] [CrossRef]
  30. Hauder, V.A.; Beham, A.; Wagner, S.; Doerner, K.F.; Affenzeller, M. Dynamic Online Optimization in the Context of Smart Manufacturing: An Overview. Procedia Comput. Sci. 2021, 180, 988–995. [Google Scholar] [CrossRef]
  31. Khamseh, A.; Teimoury, E.; Shahanaghi, K. A New Dynamic Optimisation Model for Operational Supply Chain Recovery. Int. J. Prod. Res. 2021, 59, 7441–7456. [Google Scholar] [CrossRef]
  32. Tan, B. Mathematical Programming Representations of the Dynamics of Continuous-Flow Production Systems. IIE Trans. 2015, 47, 173–189. [Google Scholar] [CrossRef][Green Version]
  33. Ben-Ammar, O.; Bettayeb, B.; Dolgui, A. Optimization of Multi-Period Supply Planning under Stochastic Lead Times and a Dynamic Demand. Int. J. Prod. Econ. 2019, 218, 106–117. [Google Scholar] [CrossRef]
  34. Kappelman, A.C.; Sinha, A.K. Optimal Control in Dynamic Food Supply Chains Using Big Data. Comput. Oper. Res. 2021, 126, 105117. [Google Scholar] [CrossRef]
  35. Sanci, E.; Daskin, M.S.; Hong, Y.-C.; Roesch, S.; Zhang, D. Mitigation Strategies against Supply Disruption Risk: A Case Study at the Ford Motor Company. Int. J. Prod. Res. 2022, 60, 5956–5976. [Google Scholar] [CrossRef]
  36. Fattahi, M.; Govindan, K. Data-Driven Rolling Horizon Approach for Dynamic Design of Supply Chain Distribution Networks under Disruption and Demand Uncertainty. Decis. Sci. 2022, 53, 150–180. [Google Scholar] [CrossRef]
  37. Simon, H.A. On the Application of Servomechanism Theory in the Study of Production Control. Econometrica 1952, 20, 247. [Google Scholar] [CrossRef]
  38. Forrester, J.W. Industry Dynamics; MIT Press: Cambridge, MA, USA, 1961. [Google Scholar]
  39. Towill, D.R. Dynamic Analysis of an Inventory and Order Based Production Control System. Int. J. Prod. Res. 1982, 20, 671–687. [Google Scholar] [CrossRef]
  40. Perea-López, E.; Grossmann, I.E.; Ydstie, B.E.; Tahmassebi, T. Dynamic Modeling and Decentralized Control of Supply Chains. Ind. Eng. Chem. Res. 2001, 40, 3369–3383. [Google Scholar] [CrossRef]
  41. Perea-López, E.; Ydstie, B.E.; Grossmann, I.E. A Model Predictive Control Strategy for Supply Chain Optimization. Comput. Chem. Eng. 2003, 27, 1201–1218. [Google Scholar] [CrossRef]
  42. Subramanian, K.; Rawlings, J.B.; Maravelias, C.T.; Flores-Cerrillo, J.; Megan, L. Integration of Control Theory and Scheduling Methods for Supply Chain Management. Comput. Chem. Eng. 2013, 51, 4–20. [Google Scholar] [CrossRef]
  43. Sagawa, J.K.; Nagano, M.S. Modeling the Dynamics of a Multi-Product Manufacturing System: A Real Case Application. Eur. J. Oper. Res. 2015, 244, 624–636. [Google Scholar] [CrossRef]
  44. Boltyanski, V.G.; Gamkrelidze, R.V.; Mishchenko, E.F.; Pontryagin, L.S. The Maximum Principle in the Theory of Optimal Processes of Control. IFAC Proc. Vol. 1960, 1, 464–469. [Google Scholar] [CrossRef]
  45. Bellman, R. Dynamic Programming; Princeton University Press: Princeton NJ, USA, 1957. [Google Scholar]
  46. Charnes, A.; Cooper, W.W. Generalizations of the Warehousing Model. J. Oper. Res. Soc. 1955, 6, 131–172. [Google Scholar] [CrossRef]
  47. Bellman, R. On the Theory of Dynamic Programming-a Warehousing Problem. Manag. Sci. 1956, 2, 272–275. [Google Scholar] [CrossRef]
  48. Sargent, R.W.H. Optimal Control. J. Comput. Appl. Math. 2000, 124, 361–371. [Google Scholar] [CrossRef]
  49. Ivanov, D.; Dolgui, A.; Sokolov, B. Applicability of Optimal Control Theory to Adaptive Supply Chain Planning and Scheduling. Annu. Rev. Control 2012, 36, 73–84. [Google Scholar] [CrossRef]
  50. Bertsekas, D.P. Dynamic Programming and Optimal Control, 4th ed.; Athena Scientific: Nashua, NH, USA, 2015; Volume II. [Google Scholar]
  51. Ivanov, D.; Sethi, S.; Dolgui, A.; Sokolov, B. A Survey on Control Theory Applications to Operational Systems, Supply Chain Management, and Industry 4.0. Annu. Rev. Control 2018, 46, 134–147. [Google Scholar] [CrossRef]
  52. Dolgui, A.; Ivanov, D.; Sethi, S.P.; Sokolov, B. Scheduling in Production, Supply Chain and Industry 4.0 Systems by Optimal Control: Fundamentals, State-of-the-Art and Applications. Int. J. Prod. Res. 2019, 57, 411–432. [Google Scholar] [CrossRef]
  53. Powell, W.B. From Reinforcement Learning to Optimal Control: A Unified Framework for Sequential Decisions. In Handbook of Reinforcement Learning and Control; Vamvoudakis, K.G., Wan, Y., Lewis, F.L., Cansever, D., Eds.; Springer International Publishing: Cham, Switzerland, 2021; pp. 29–74. ISBN 978-3-030-60990-0. [Google Scholar]
  54. Lanza, G.; Peters, S.; Herrmann, H.-G. Dynamic Optimization of Manufacturing Systems in Automotive Industries. CIRP J. Manuf. Sci. Technol. 2012, 5, 235–240. [Google Scholar] [CrossRef]
  55. Wagner, M.R. Robust Inventory Management: An Optimal Control Approach. Oper. Res. 2018, 66, 426–447. [Google Scholar] [CrossRef]
  56. Rarità, L.; Stamova, I.; Tomasiello, S. Numerical Schemes, and Genetic Algorithms for the Optimal Control of a Continuous Model of Supply Chains. Appl. Math. Comput. 2021, 388, 125464. [Google Scholar] [CrossRef]
  57. Taboada, H.; Davizón, Y.A.; Espíritu, J.F.; Sánchez-Leal, J. Mathematical Modeling and Optimal Control for a Class of Dynamic Supply Chain: A Systems Theory Approach. Appl. Sci. 2022, 12, 5347. [Google Scholar] [CrossRef]
  58. Yu, X.; Qian, J.; Zhang, Y.; Kong, M. Supply Chain Scheduling Method for the Coordination of Agile Production and Port Delivery Operation. Mathematics 2023, 11, 3276. [Google Scholar] [CrossRef]
  59. Valenzuela-González, R. Adaptive Capabilities for Improved Competitiveness of Current Tier-2 Suppliers; and Integration of Local Companies in the Automotive Industry: An Empirical Research in Aguascalientes Mexico. Ph.D. Thesis, University of Hull, Hull, UK, 2020. [Google Scholar]
  60. Registro Administrativo de La Industria Automotriz de Vehículos Ligeros. Available online: https://www.inegi.org.mx/datosprimarios/iavl/#tabulados (accessed on 25 June 2024).
  61. Nissan Motor Income Statement 2009–2024|NSANY. Available online: https://www.macrotrends.net/stocks/charts/NSANY/nissan-motor/income-statement (accessed on 25 June 2024).
  62. Luus, R. Optimal Control by Dynamic Programming Using Systematic Reduction in Grid Size. Int. J. Control 1990, 51, 995–1013. [Google Scholar] [CrossRef]
  63. Bojkov, B.; Luus, R. Optimal Control of Nonlinear Systems with Unspecified Final Times. Chem. Eng. Sci. 1996, 51, 905–919. [Google Scholar] [CrossRef]
  64. Rusnák, A.; Fikar, M.; Latifi, M.A.; Mészáros, A. Receding Horizon Iterative Dynamic Programming with Discrete Time Models. Comput. Chem. Eng. 2001, 25, 161–167. [Google Scholar] [CrossRef]
  65. Effati, S.; Roohparvar, H. Iterative Dynamic Programming for Solving Linear and Nonlinear Differential Equations. Appl. Math. Comput. 2006, 175, 247–257. [Google Scholar] [CrossRef]
  66. Effati, S.; Janfada, M.; Esmaeili, M.; Roohparvar, H. Solving of Optimal Control Problem of Parabolic PDEs in Exploitation of Oil by Iterative Dynamic Programming. Appl. Math. Comput. 2006, 181, 1505–1512. [Google Scholar] [CrossRef]
  67. Kim, Y.; Yoo, C.; Lee, I. Optimization of Biological Nutrient Removal in a SBR Using Simulation-Based Iterative Dynamic Programming. Chem. Eng. J. 2008, 139, 11–19. [Google Scholar] [CrossRef]
  68. Wahl, H.-G.; Gauterin, F. An Iterative Dynamic Programming Approach for the Global Optimal Control of Hybrid Electric Vehicles under Real-Time Constraints. In Proceedings of the 2013 IEEE Intelligent Vehicles Symposium (IV), Gold Coast City, Australia, 23–26 June 2013; IEEE: Piscataway, NJ, USA, 2013; pp. 592–597. [Google Scholar]
  69. Elbert, P.; Ebbesen, S.; Guzzella, L. Implementation of Dynamic Programming for N-Dimensional Optimal Control Problems With Final State Constraints. IEEE Trans. Control Syst. Technol. 2013, 21, 924–931. [Google Scholar] [CrossRef]
  70. Lopez-Landeros, C.E.; Carbajal-Palacios, N.J.; Cosme-Castorena, J.E.; Frausto-Hernandez, S. Using an Iterative Dynamic Programming Algorithm to Solve an Immunotherapy Model; Elsevier: Amsterdam, The Netherlands, 2013; pp. 169–174. [Google Scholar]
  71. Panteleev, A.V.; Rodionova, D.A. Application of Iterative Dynamic Programming to Optimal Feed-Back Control Problem. Civ. Aviat. High Technol. 2016, 224, 5–13. [Google Scholar]
  72. Lock, J.; McKelvey, T. A Computationally Fast Iterative Dynamic Programming Method for Optimal Control of Loosely Coupled Dynamical Systems with Different Time Scales. IFAC-Pap. 2017, 50, 5953–5960. [Google Scholar] [CrossRef]
  73. Li, S.; Ge, Y.; Shi, Y. An Iterative Dynamic Programming Optimization Based on Biorthogonal Spatial-Temporal Hammerstein Modeling for the Enhanced Oil Recovery of ASP Flooding. J. Process Control 2019, 73, 75–88. [Google Scholar] [CrossRef]
Figure 1. ASC of five echelons for the production of three car models.
Figure 1. ASC of five echelons for the production of three car models.
Mathematics 12 02420 g001
Figure 2. Tank problem as an approach to the production-inventory model.
Figure 2. Tank problem as an approach to the production-inventory model.
Mathematics 12 02420 g002
Figure 3. General procedure of IDP for a problem with n = 2, N = 5, m = 1, M = 5, P stages and defined initial values for x0 and r0.
Figure 3. General procedure of IDP for a problem with n = 2, N = 5, m = 1, M = 5, P stages and defined initial values for x0 and r0.
Mathematics 12 02420 g003
Figure 4. Raw material procurement rates for a five-echelon ASC considering equal raw material procurement rates at Tier-2.
Figure 4. Raw material procurement rates for a five-echelon ASC considering equal raw material procurement rates at Tier-2.
Mathematics 12 02420 g004
Figure 5. Production-inventory behavior at nodes of (a) Tier-1 and Tier-2 suppliers, (b) OEM, (c) Distributor, and (d) Retailer, when considering equal raw material rates at Tier-2.
Figure 5. Production-inventory behavior at nodes of (a) Tier-1 and Tier-2 suppliers, (b) OEM, (c) Distributor, and (d) Retailer, when considering equal raw material rates at Tier-2.
Mathematics 12 02420 g005
Figure 6. Raw material procurement rates for a five-echelon ASC considering non-equal raw material procurement rates at Tier-2.
Figure 6. Raw material procurement rates for a five-echelon ASC considering non-equal raw material procurement rates at Tier-2.
Mathematics 12 02420 g006
Figure 7. Production-inventory behavior at nodes of (a) Tier-1 and Tier 2 suppliers, (b) OEM, (c) Distributor, and (d) Retailer, when considering non-equal raw material rates at Tier-2.
Figure 7. Production-inventory behavior at nodes of (a) Tier-1 and Tier 2 suppliers, (b) OEM, (c) Distributor, and (d) Retailer, when considering non-equal raw material rates at Tier-2.
Mathematics 12 02420 g007
Figure 8. Sensitivity analysis by increases and decreases in (a) demand, (b) transportation capacities, (c) raw material procurement costs, and (d) production-inventory capacities. Blue bars for Configuration 1 (left) and red bars for Configuration 2 (right). The stacked bars represent each specific measured cost: saturated color for raw material, medium-saturated for production-inventory, and low-saturated for transportation.
Figure 8. Sensitivity analysis by increases and decreases in (a) demand, (b) transportation capacities, (c) raw material procurement costs, and (d) production-inventory capacities. Blue bars for Configuration 1 (left) and red bars for Configuration 2 (right). The stacked bars represent each specific measured cost: saturated color for raw material, medium-saturated for production-inventory, and low-saturated for transportation.
Mathematics 12 02420 g008
Table 1. Monthly demands Dmj, unit raw material procurement costs cstj, and the maximum and minimum permissible values for their rates uj.
Table 1. Monthly demands Dmj, unit raw material procurement costs cstj, and the maximum and minimum permissible values for their rates uj.
Car ModelDmjcstj ($ × 100,000)ujminujmax
1310Sensors1.54301000
2460Copper wires1.41801000
3230Metal & iron1.20801000
Table 2. Unit production-inventory costs ctjk of the push section and ctj’k of the push–pull boundary and the pull section.
Table 2. Unit production-inventory costs ctjk of the push section and ctj’k of the push–pull boundary and the pull section.
ctjk ($ × 100,000)ctj’k ($ × 100,000)
j or j’ NodeTier-2Tier-1OEMDistributorRetailer
10.070.080.220.110.02
20.040.060.330.160.04
30.030.040.430.230.06
Table 3. Unit transportation costs * csjk, cssjj’k, and csj’k from each indicated echelon node of the ASC.
Table 3. Unit transportation costs * csjk, cssjj’k, and csj’k from each indicated echelon node of the ASC.
csjkcssjj’kcsj’k
j or j’ NodeTier-2Tier-1-Md.1Tier-1-Md-2Tier-1-Md.3OEMDistributor
10.340.300.280.280.340.38
20.360.320.260.320.360.42
30.320.280.300.260.400.36
* (×$100,000).
Table 4. Node production-inventory capacities Cjk of the push section and Cj’k of the push–pull boundary and the pull section.
Table 4. Node production-inventory capacities Cjk of the push section and Cj’k of the push–pull boundary and the pull section.
CjkCj’k
j or j’ NodeTier-2Tier-1OEMDistributorRetailer
110001000Dm1Dm1Dm1
210001000Dm2Dm2Dm2
310001000Dm3Dm3Dm3
Table 5. Transportation capacities sjk, sjj’k, and sj’k from each indicated echelon node of the ASC.
Table 5. Transportation capacities sjk, sjj’k, and sj’k from each indicated echelon node of the ASC.
sjksjj’ksj’k
j or j’ NodeTier-2Tier-1-Md.1Tier-1-Md-2Tier-1-Md.3OEMDistributor
1125*******
2135*******
3130*******
Calculated values using * Equation (15) and using ** Equation (16).
Table 6. Comparison of configurations for specific measured costs.
Table 6. Comparison of configurations for specific measured costs.
$Cost Performance Index ValueRaw Material
Procurement Cost
Production-
Inventory Cost
Transportation Cost
Configuration 141,196,825.7024,027,489.5911,580,869.685,588,466.43
Configuration 239,402,216.4222,666,715.7611,257,891.965,477,608.70
Disclaimer/Publisher’s Note: The statements, opinions and data contained in all publications are solely those of the individual author(s) and contributor(s) and not of MDPI and/or the editor(s). MDPI and/or the editor(s) disclaim responsibility for any injury to people or property resulting from any ideas, methods, instructions or products referred to in the content.

Share and Cite

MDPI and ACS Style

Lopez-Landeros, C.E.; Valenzuela-Gonzalez, R.; Olivares-Benitez, E. Dynamic Optimization of a Supply Chain Operation Model with Multiple Products. Mathematics 2024, 12, 2420. https://doi.org/10.3390/math12152420

AMA Style

Lopez-Landeros CE, Valenzuela-Gonzalez R, Olivares-Benitez E. Dynamic Optimization of a Supply Chain Operation Model with Multiple Products. Mathematics. 2024; 12(15):2420. https://doi.org/10.3390/math12152420

Chicago/Turabian Style

Lopez-Landeros, Carlos E., Ricardo Valenzuela-Gonzalez, and Elias Olivares-Benitez. 2024. "Dynamic Optimization of a Supply Chain Operation Model with Multiple Products" Mathematics 12, no. 15: 2420. https://doi.org/10.3390/math12152420

APA Style

Lopez-Landeros, C. E., Valenzuela-Gonzalez, R., & Olivares-Benitez, E. (2024). Dynamic Optimization of a Supply Chain Operation Model with Multiple Products. Mathematics, 12(15), 2420. https://doi.org/10.3390/math12152420

Note that from the first issue of 2016, this journal uses article numbers instead of page numbers. See further details here.

Article Metrics

Back to TopTop