An Iterative Procurement Combinatorial Auction Mechanism for the Multi-Item, Multi-Sourcing Supplier-Selection and Order-Allocation Problem under a Flexible Bidding Language and Price-Sensitive Demand
Abstract
1. Introduction
2. Literature Review
2.1. Supplier Selection and Order Allocation
2.2. Auctions in Supplier Selection and Order Allocation
2.3. Information Sharing in Iterative Auction Mechanisms
2.4. Research Gaps
3. Problem Statement
4. Methodology
4.1. The Manufacturer’s Subproblem
- The demand rate of each item is distributed among the suppliers of the item proportionally. Mathematically, let be the part of the demand rate for item in the current iteration satisfied by supplier . Then, can be calculated as follows:
4.2. The Supplier’s Subproblem
4.3. Auction Mechanism
- The supplier cannot find a feasible solution that satisfies the required improvement in the manufacturer’s profit, constraint (28), while maintaining the desired minimum profit markups, constraint (29).
- The profit of the optimal solution of the supplier’s model, , does not exceed the supplier’s actual profit from the optimal solution of the buyer’s model in the previous iteration, .
| Algorithm 1: Procurement CA Algorithm |
|
|
|
|
|
- 1.
- There are no new updated bids submitted; the algorithm iterates while updating the profit-improvement factor .
- 2.
- There are new updated bids submitted; the algorithm iterates without updating .
5. Experimental Results
5.1. Randomly Generated Problems
5.2. Discussion and Sensitivity Analysis
6. Conclusions and Future Research
Author Contributions
Funding
Data Availability Statement
Conflicts of Interest
References
- Beelen, C. Manage Product Complexity: How to Unlock Sales. Available online: https://www.xait.com/resources/blog/manage-product-complexity (accessed on 6 July 2024).
- Fürst, A.; Pecornik, N.; Hoyer, W.D. How Product Complexity Affects Consumer Adoption of New Products: The Role of Feature Heterogeneity and Interrelatedness. J. Acad. Mark. Sci. 2024, 52, 329–348. [Google Scholar] [CrossRef]
- Tang, Y.; Zhang, P. The Impact of Virtual Integration on Innovation Speed: On the View of Organizational Information Processing Theory. J. Organ. End User Comput. 2022, 34, 1–20. [Google Scholar] [CrossRef]
- Spina, G.; Caniato, F.; Luzzini, D.; Ronchi, S. Past, Present and Future Trends of Purchasing and Supply Management: An Extensive Literature Review. Ind. Mark. Manag. 2013, 42, 1202–1212. [Google Scholar] [CrossRef]
- Deng, S.; Xu, J. Manufacturing and Procurement Outsourcing Strategies of Competing Original Equipment Manufacturers. Eur. J. Oper. Res. 2023, 308, 884–896. [Google Scholar] [CrossRef]
- Magretta, J. The power of virtual integration: An interview with Dell Computer’s Michael Dell. Harvard Business Review, March–April 1998; pp. 73–84. [Google Scholar]
- Ventura, J.A.; Bunn, K.A.; Venegas, B.B.; Duan, L. A Coordination Mechanism for Supplier Selection and Order Quantity Allocation with Price-Sensitive Demand and Finite Production Rates. Int. J. Prod. Econ. 2021, 233, 108007. [Google Scholar] [CrossRef]
- Bhimani, A.; Ncube, M. Virtual Integration Costs and the Limits of Supply Chain Scalability. J. Account. Public Policy 2006, 25, 390–408. [Google Scholar] [CrossRef]
- Uygun, Y.; Gotsadze, N.; Schupp, F.; Gzirishvili, L.; Tindjou Nana, B.S. A Holistic Model for Understanding the Dynamics of Outsourcing. Int. J. Prod. Res. 2023, 61, 1202–1232. [Google Scholar] [CrossRef]
- Logistics Outsourcing Trends in 2020. Available online: https://www.gartner.com/smarterwithgartner/logistics-outsourcing-trends-in-2020 (accessed on 31 March 2022).
- Guchhait, R.; Sarkar, B. A Decision-Making Problem for Product Outsourcing with Flexible Production under a Global Supply Chain Management. Int. J. Prod. Econ. 2024, 272, 109230. [Google Scholar] [CrossRef]
- Koufteros, X.; Vickery, S.K.; Dröge, C. The Effects of Strategic Supplier Selection on Buyer Competitive Performance in Matched Domains: Does Supplier Integration Mediate the Relationships? J. Supply Chain Manag. 2012, 48, 93–115. [Google Scholar] [CrossRef]
- Ghadimi, P.; Toosi, F.G.; Heavey, C. A Multi-Agent Systems Approach for Sustainable Supplier Selection and Order Allocation in a Partnership Supply Chain. Eur. J. Oper. Res. 2018, 269, 286–301. [Google Scholar] [CrossRef]
- Yu, C.; Wong, T.N. An Agent-Based Negotiation Model for Supplier Selection of Multiple Products with Synergy Effect. Expert Syst. Appl. 2015, 42, 223–237. [Google Scholar] [CrossRef]
- Saputro, T.E.; Figueira, G.; Almada-Lobo, B. A Comprehensive Framework and Literature Review of Supplier Selection under Different Purchasing Strategies. Comput. Ind. Eng. 2022, 167, 108010. [Google Scholar] [CrossRef]
- Dertwinkel-Kalt, M.; Wey, C. Multi-Product Bargaining, Bundling, and Buyer Power. Econ. Lett. 2020, 188, 108936. [Google Scholar] [CrossRef]
- Parmigiani, A.; Mitchell, W. Complementarity, Capabilities, and the Boundaries of the Firm: The Impact of within-Firm and Interfirm Expertise on Concurrent Sourcing of Complementary Components. Strateg. Manag. J. 2009, 30, 1065–1091. [Google Scholar] [CrossRef]
- Zhang, Q.; Zheng, Y. Pricing Strategies for Bundled Products Considering Consumers’ Green Preference. J. Clean. Prod. 2022, 344, 130962. [Google Scholar] [CrossRef]
- Cramton, P.C.; Shoham, Y.; Steinberg, R. (Eds.) Combinatorial Auctions; MIT Press: Cambridge, MA, USA, 2006; ISBN 978-0-262-51413-2. [Google Scholar]
- Yang, F.; Li, S.; Huang, Y. The Bid Generation Problem in Combinatorial Auctions for Transportation Service Procurement. Int. J. Ind. Eng. Comput. 2023, 14, 511–522. [Google Scholar] [CrossRef]
- Palacios-Huerta, I.; Parkes, D.C.; Steinberg, R. Combinatorial Auctions in Practice. J. Econ. Lit. 2024, 62, 517–553. [Google Scholar] [CrossRef]
- Cardadeiro, E.; Gata, J. Scoring Auctions: Are They the Key to Marketbased Allocation of Airport Slots? Eur. Rev. Bus. Econ. 2021, 1, 59–76. [Google Scholar] [CrossRef]
- Kang, H.; Li, M.; Lin, L.; Fan, S.; Cai, W. Bridging Incentives and Dependencies: An Iterative Combinatorial Auction Approach to Dependency-Aware Offloading in Mobile Edge Computing. IEEE Trans. Mob. Comput. 2024, 1–18. [Google Scholar] [CrossRef]
- Gao, G.-X.; Han, M.; Li, X. Procurement of Last-Mile Delivery Capacity: A Reverse Auction Mechanism Considering Logistics Service Quality. Int. J. Logist. Res. Appl. 2024, 1–19. [Google Scholar] [CrossRef]
- Triki, C.; Piya, S.; Fu, L.-L. Integrating Production Scheduling and Transportation Procurement through Combinatorial Auctions. Networks 2020, 76, 147–163. [Google Scholar] [CrossRef]
- Bichler, M.; Shabalin, P.; Pikovsky, A. A Computational Analysis of Linear Price Iterative Combinatorial Auction Formats. Inf. Syst. Res. 2009, 20, 33–59. [Google Scholar] [CrossRef]
- Sen, A.K.; Bagchi, A.; Chakraborty, S. Designing Information Feedback for Bidders in Multi-Item Multi-Unit Combinatorial Auctions. Decis. Support Syst. 2020, 130, 113230. [Google Scholar] [CrossRef]
- Iftekhar, M.S.; Hailu, A.; Lindner, R.K. Does It Pay to Increase Competition in Combinatorial Conservation Auctions? Can. J. Agric. Econ. Can. Agroecon. 2014, 62, 411–433. [Google Scholar] [CrossRef]
- Milgrom, P.R.; Weber, R.J. A Theory of Auctions and Competitive Bidding. Econom. J. Econom. Soc. 1982, 50, 1089–1122. [Google Scholar] [CrossRef]
- Bichler, M.; Milgrom, P.; Schwarz, G. Taming the Communication and Computation Complexity of Combinatorial Auctions: The FUEL Bid Language. Manag. Sci. 2023, 69, 2217–2238. [Google Scholar] [CrossRef]
- Adomavicius, G.; Curley, S.P.; Gupta, A.; Sanyal, P. How Decision Complexity Affects Outcomes in Combinatorial Auctions. Prod. Oper. Manag. 2020, 29, 2579–2600. [Google Scholar] [CrossRef]
- De Vries, S.; Vohra, R.V. Combinatorial Auctions: A Survey. Inf. J. Comput. 2003, 15, 284–309. [Google Scholar] [CrossRef]
- Mansouri, B.; Hassini, E. Optimal Pricing in Iterative Flexible Combinatorial Procurement Auctions. Eur. J. Oper. Res. 2019, 277, 1083–1097. [Google Scholar] [CrossRef]
- Bichler, M.; Schneider, S.; Guler, K.; Sayal, M. Compact Bidding Languages and Supplier Selection for Markets with Economies of Scale and Scope. Eur. J. Oper. Res. 2011, 214, 67–77. [Google Scholar] [CrossRef]
- Phillips, R.L. Pricing and Revenue Optimization; Stanford University Press: Redwood City, CA, USA, 2021. [Google Scholar]
- Abbaas, O.; Ventura, J.A. A Flexible Combinatorial Auction Bidding Language for Supplier Selection and Order Allocation in a Supply Chain with Price Sensitive Demand. Comput. Ind. Eng. 2024, 194, 110373. [Google Scholar] [CrossRef]
- Manuel Maqueira, J.; Moyano-Fuentes, J.; Bruque, S. Drivers and Consequences of an Innovative Technology Assimilation in the Supply Chain: Cloud Computing and Supply Chain Integration. Int. J. Prod. Res. 2019, 57, 2083–2103. [Google Scholar] [CrossRef]
- Kumar, A.; Liu, R.; Shan, Z. Is Blockchain a Silver Bullet for Supply Chain Management? Technical Challenges and Research Opportunities. Decis. Sci. 2020, 51, 8–37. [Google Scholar] [CrossRef]
- Aissaoui, N.; Haouari, M.; Hassini, E. Supplier Selection and Order Lot Sizing Modeling: A Review. Comput. Oper. Res. 2007, 34, 3516–3540. [Google Scholar] [CrossRef]
- Di Pasquale, V.; Nenni, M.E.; Riemma, S. Order Allocation in Purchasing Management: A Review of State-of-the-Art Studies from a Supply Chain Perspective. Int. J. Prod. Res. 2020, 58, 4741–4766. [Google Scholar] [CrossRef]
- Aouadni, S.; Aouadni, I.; Rebaï, A. A Systematic Review on Supplier Selection and Order Allocation Problems. J. Ind. Eng. Int. 2019, 15, 267–289. [Google Scholar] [CrossRef]
- Rao, C.; Xiao, X.; Goh, M.; Zheng, J.; Wen, J. Compound Mechanism Design of Supplier Selection Based on Multi-Attribute Auction and Risk Management of Supply Chain. Comput. Ind. Eng. 2017, 105, 63–75. [Google Scholar] [CrossRef]
- Ghodsypour, S.H.; O’brien, C. A Decision Support System for Supplier Selection Using an Integrated Analytic Hierarchy Process and Linear Programming. Int. J. Prod. Econ. 1998, 56, 199–212. [Google Scholar] [CrossRef]
- Golmohammadi, D.; Mellat-Parast, M. Developing a Grey-Based Decision-Making Model for Supplier Selection. Int. J. Prod. Econ. 2012, 137, 191–200. [Google Scholar] [CrossRef]
- Ng, W.L. An Efficient and Simple Model for Multiple Criteria Supplier Selection Problem. Eur. J. Oper. Res. 2008, 186, 1059–1067. [Google Scholar] [CrossRef]
- Talluri, S.; Narasimhan, R. Vendor Evaluation with Performance Variability: A Max–Min Approach. Eur. J. Oper. Res. 2003, 146, 543–552. [Google Scholar] [CrossRef]
- Liang, D.; Li, Y.; Xin, J. Dynamic Selection and Order Allocation of Resilient Suppliers Based on Improved Fuzzy Multi-Criteria Decision Method. J. Chin. Inst. Eng. 2024, 47, 442–455. [Google Scholar] [CrossRef]
- Degraeve, Z.; Labro, E.; Roodhooft, F. An Evaluation of Vendor Selection Models from a Total Cost of Ownership Perspective. Eur. J. Oper. Res. 2000, 125, 34–58. [Google Scholar] [CrossRef]
- Alfares, H.K.; Turnadi, R. Lot Sizing and Supplier Selection with Multiple Items, Multiple Periods, Quantity Discounts, and Backordering. Comput. Ind. Eng. 2018, 116, 59–71. [Google Scholar] [CrossRef]
- Venegas, B.B.; Ventura, J.A. A Two-Stage Supply Chain Coordination Mechanism Considering Price Sensitive Demand and Quantity Discounts. Eur. J. Oper. Res. 2018, 264, 524–533. [Google Scholar] [CrossRef]
- Talluri, S. A Buyer–Seller Game Model for Selection and Negotiation of Purchasing Bids. Eur. J. Oper. Res. 2002, 143, 171–180. [Google Scholar] [CrossRef]
- Glickman, T.S.; White, S.C. Optimal Vendor Selection in a Multiproduct Supply Chain with Truckload Discounts. Transp. Res. Part E Logist. Transp. Rev. 2008, 44, 684–695. [Google Scholar] [CrossRef]
- Choudhary, D.; Shankar, R. Joint Decision of Procurement Lot-Size, Supplier Selection, and Carrier Selection. J. Purch. Supply Manag. 2013, 19, 16–26. [Google Scholar] [CrossRef]
- Ahmad, M.T.; Mondal, S. Dynamic Supplier Selection Model under Two-Echelon Supply Network. Expert Syst. Appl. 2016, 65, 255–270. [Google Scholar] [CrossRef]
- Gupta, S.; Ali, I.; Ahmed, A. Multi-Objective Bi-Level Supply Chain Network Order Allocation Problem under Fuzziness. Opsearch 2018, 55, 721–748. [Google Scholar] [CrossRef]
- Lo, H.-W.; Liou, J.J.; Wang, H.-S.; Tsai, Y.-S. An Integrated Model for Solving Problems in Green Supplier Selection and Order Allocation. J. Clean. Prod. 2018, 190, 339–352. [Google Scholar] [CrossRef]
- Vahidi, F.; Torabi, S.A.; Ramezankhani, M.J. Sustainable Supplier Selection and Order Allocation under Operational and Disruption Risks. J. Clean. Prod. 2018, 174, 1351–1365. [Google Scholar] [CrossRef]
- Saputro, T.E.; Figueira, G.; Almada-Lobo, B. Integrating Supplier Selection with Inventory Management under Supply Disruptions. Int. J. Prod. Res. 2021, 59, 3304–3322. [Google Scholar] [CrossRef]
- Luthra, S.; Govindan, K.; Kannan, D.; Mangla, S.K.; Garg, C.P. An Integrated Framework for Sustainable Supplier Selection and Evaluation in Supply Chains. J. Clean. Prod. 2017, 140, 1686–1698. [Google Scholar] [CrossRef]
- Hosseini, Z.S.; Flapper, S.D.; Pirayesh, M. Sustainable Supplier Selection and Order Allocation under Demand, Supplier Availability and Supplier Grading Uncertainties. Comput. Ind. Eng. 2022, 165, 107811. [Google Scholar] [CrossRef]
- Nayeri, S.; Khoei, M.A.; Rouhani-Tazangi, M.R.; GhanavatiNejad, M.; Rahmani, M.; Tirkolaee, E.B. A Data-Driven Model for Sustainable and Resilient Supplier Selection and Order Allocation Problem in a Responsive Supply Chain: A Case Study of Healthcare System. Eng. Appl. Artif. Intell. 2023, 124, 106511. [Google Scholar] [CrossRef]
- Wu, C.; Gao, J.; Barnes, D. Sustainable Partner Selection and Order Allocation for Strategic Items: An Integrated Multi-Stage Decision-Making Model. Int. J. Prod. Res. 2023, 61, 1076–1100. [Google Scholar] [CrossRef]
- Kelly, F.; Steinberg, R. A Combinatorial Auction with Multiple Winners for Universal Service. Manag. Sci. 2000, 46, 586–596. [Google Scholar] [CrossRef][Green Version]
- Pekeč, A.; Rothkopf, M.H. Combinatorial Auction Design. Manag. Sci. 2003, 49, 1485–1503. [Google Scholar] [CrossRef]
- Porter, D.; Rassenti, S.; Roopnarine, A.; Smith, V. Combinatorial Auction Design. Proc. Natl. Acad. Sci. USA 2003, 100, 11153–11157. [Google Scholar] [CrossRef]
- Kwon, R.H.; Anandalingam, G.; Ungar, L.H. Iterative Combinatorial Auctions with Bidder-Determined Combinations. Manag. Sci. 2005, 51, 407–418. [Google Scholar] [CrossRef]
- Dehghanbaghi, N.; Sajadieh, M.S. Joint Optimization of Production, Transportation and Pricing Policies of Complementary Products in a Supply Chain. Comput. Ind. Eng. 2017, 107, 150–157. [Google Scholar] [CrossRef]
- Alaei, R.; Setak, M. Selecting Unique Suppliers through Winner Determination in Combinatorial Reverse Auction: Scatter Search Algorithm. Sci. Iran. 2017, 24, 3297–3307. [Google Scholar] [CrossRef]
- Gujar, S.; Narahari, Y. Optimal Multi-Unit Combinatorial Auctions. Oper. Res. 2013, 13, 27–46. [Google Scholar] [CrossRef]
- Yu, C.; Wong, T.N. A Supplier Pre-Selection Model for Multiple Products with Synergy Effect. Int. J. Prod. Res. 2014, 52, 5206–5222. [Google Scholar] [CrossRef]
- Lopomo, G. The English Auction Is Optimal among Simple Sequential Auctions. J. Econ. Theory 1998, 82, 144–166. [Google Scholar] [CrossRef][Green Version]
- Brisset, K.; Cochard, F.; Le Gallo, J. Secret versus Public Reserve Price in an “Outcry” English Procurement Auction: Experimental Results. Int. J. Prod. Econ. 2015, 169, 285–298. [Google Scholar] [CrossRef]
- Sogn-Grundvåg, G.; Zhang, D.; Asche, F. Starting High or Low in English Auctions? The Case of Frozen Saithe in Norway. J. Agric. Appl. Econ. Assoc. 2024, 1–13. [Google Scholar] [CrossRef]
- Gonçalves, R.; Ray, I. Revenue Implications of Choosing Discrete Bid Levels in a Japanese–English Auction. Rev. Econ. Des. 2024, 28, 125–150. [Google Scholar] [CrossRef]
- Auster, S.; Kellner, C. Robust Bidding and Revenue in Descending Price Auctions. J. Econ. Theory 2022, 199, 105072. [Google Scholar] [CrossRef]
- Hafalir, I.; Luo, D.; Tao, C. Istanbul Flower Auction: The Need for Speed. arXiv 2024, arXiv:2404.08288. [Google Scholar]
- Mishra, D.; Parkes, D.C. Multi-Item Vickrey–Dutch Auctions. Games Econ. Behav. 2009, 66, 326–347. [Google Scholar] [CrossRef]
- Lai, M.; Cai, X.; Hu, Q. An Iterative Auction for Carrier Collaboration in Truckload Pickup and Delivery. Transp. Res. Part E Logist. Transp. Rev. 2017, 107, 60–80. [Google Scholar] [CrossRef]
- Kutanoglu, E.; David Wu, S. On Combinatorial Auction and Lagrangean Relaxation for Distributed Resource Scheduling. IIE Trans. 1999, 31, 813–826. [Google Scholar] [CrossRef]
- Mansouri, B.; Hassini, E. A Lagrangian Approach to the Winner Determination Problem in Iterative Combinatorial Reverse Auctions. Eur. J. Oper. Res. 2015, 244, 565–575. [Google Scholar] [CrossRef]
- Hsieh, F.-S. Combinatorial Reverse Auction Based on Revelation of Lagrangian Multipliers. Decis. Support Syst. 2010, 48, 323–330. [Google Scholar] [CrossRef]
- Goeree, J.K.; Holt, C.A.; Ledyard, J.O. An Experimental Comparison of the FCC’s Combinatorial and Non-Combinatorial Simultaneous Multiple Round Auctions; Citeseer: Princeton, NJ, USA, 2006. [Google Scholar]
- Los, J.; Schulte, F.; Spaan, M.T.; Negenborn, R.R. The Value of Information Sharing for Platform-Based Collaborative Vehicle Routing. Transp. Res. Part E Logist. Transp. Rev. 2020, 141, 102011. [Google Scholar] [CrossRef]
- McClellan, A. Knowing Your Opponents: Information Disclosure and Auction Design. Games Econ. Behav. 2023, 140, 173–180. [Google Scholar] [CrossRef]
- Ma, Y.; Wang, N.; Che, A.; Huang, Y.; Xu, J. The Bullwhip Effect under Different Information-Sharing Settings: A Perspective on Price-Sensitive Demand That Incorporates Price Dynamics. Int. J. Prod. Res. 2013, 51, 3085–3116. [Google Scholar] [CrossRef]
- Adeinat, H.; Ventura, J.A. Determining the Retailer’s Replenishment Policy Considering Multiple Capacitated Suppliers and Price-Sensitive Demand. Eur. J. Oper. Res. 2015, 247, 83–92. [Google Scholar] [CrossRef]
- Feng, L.; Chan, Y.-L. Joint Pricing and Production Decisions for New Products with Learning Curve Effects under Upstream and Downstream Trade Credits. Eur. J. Oper. Res. 2019, 272, 905–913. [Google Scholar] [CrossRef]
- Hajdinjak, M. Functions with Linear Price Elasticity for Forecasting Demand and Supply. BE J. Theor. Econ. 2021, 21, 149–168. [Google Scholar] [CrossRef]
- Duan, L.; Ventura, J.A. Technical Note: A Joint Pricing, Supplier Selection, and Inventory Replenishment Model Using the Logit Demand Function*. Decis. Sci. 2021, 52, 512–534. [Google Scholar] [CrossRef]
- Cachon, G.P.; Lariviere, M.A. Supply Chain Coordination with Revenue-Sharing Contracts: Strengths and Limitations. Manag. Sci. 2005, 51, 30–44. [Google Scholar] [CrossRef]
- Ferreira, K.D.; Wu, D.D. An Integrated Product Planning Model for Pricing and Bundle Selection Using Markov Decision Processes and Data Envelope Analysis. Int. J. Prod. Econ. 2011, 134, 95–107. [Google Scholar] [CrossRef]
- Feng, L.; Wang, W.-C.; Teng, J.-T.; Cárdenas-Barrón, L.E. Pricing and Lot-Sizing Decision for Fresh Goods When Demand Depends on Unit Price, Displaying Stocks and Product Age under Generalized Payments. Eur. J. Oper. Res. 2022, 296, 940–952. [Google Scholar] [CrossRef]
- Mohammaditabar, D.; Ghodsypour, S.H.; Hafezalkotob, A. A Game Theoretic Analysis in Capacity-Constrained Supplier-Selection and Cooperation by Considering the Total Supply Chain Inventory Costs. Int. J. Prod. Econ. 2016, 181, 87–97. [Google Scholar] [CrossRef]







| Problem Set | Number of Problems | Number of Products | Number of Suppliers | Number of Items | Number of Bids | Number of Price Functions |
|---|---|---|---|---|---|---|
| 1 | 5 | 2 | 3 | 3 | 1–2 | 2 |
| 2 | 5 | 2 | 5 | 4 | 2 | 4 |
| Parameter | Formula/Distribution |
|---|---|
| Supplier’s costs in the first price function of any bid, , | |
| Supplier’s costs in the following price functions, , | |
| Supplier’s selling prices, | |
| Lower quantity bound for item in the first price function of any bid, , | |
| Lower quantity bounds for item in the following price functions of any bid, , | |
| Supplier’s capacity | |
| Holding cost per unit of item per time unit, | |
| Weight per unit of item , | |
| Number of units of item required per one unit of finished product , | |
| TL shipping rate, | |
| LTL shipping rate, | |
| Administrative cost for supplier , | |
| Ordering cost from supplier , |
| Parameter | Value |
|---|---|
| Truck weight capacity, | |
| Market size for finished product , | , |
| Demand–price sensitivity factor for finished product , | , |
| Demand curve location parameter for finished product , | , |
| Minimum desired profit markup for supplier , | |
| Initial value of the manufacturer’s profit-improvement factor, | |
| Reduction factor, |
| Supplier () | Selling Price of Item (USD/Unit) | Lower Quantity Bound of Item (Units/Order) | ||||||
|---|---|---|---|---|---|---|---|---|
| 1 | 1 | 1 | 7.25 | 27.33 | - | 30 | 23 | - |
| 1 | 1 | 2 | 4.42 | 24.11 | - | 71 | 37 | - |
| 2 | 1 | 1 | - | 26.36 | 9.6 | - | 25 | 40 |
| 2 | 1 | 2 | - | 24.06 | 6.83 | - | 55 | 94 |
| 3 | 1 | 1 | 7.14 | - | 9.71 | 46 | - | 62 |
| 3 | 1 | 2 | 4.08 | - | 7.62 | 93 | - | 118 |
| Supplier () | Unit Cost of Item (USD/Unit) | ||||
|---|---|---|---|---|---|
| 1 | 1 | 1 | 2.5 | 10.86 | - |
| 1 | 1 | 2 | 1.87 | 7.92 | - |
| 2 | 1 | 1 | - | 9.45 | 5.18 |
| 2 | 1 | 2 | - | 8.49 | 4.27 |
| 3 | 1 | 1 | 3.62 | - | 5.24 |
| 3 | 1 | 2 | 2.7 | - | 3.53 |
| Supplier (S) | Orders per Cycle () | Supplier Selection () | No. of Full Trucks () | Remaining Items Us-ing Full Truck () |
|---|---|---|---|---|
| 1 | 5 | 1 | 1 | 0 |
| 2 | 6 | 1 | 0 | 1 |
| 3 | 0 | 0 | 0 | 0 |
| Order Quantity (Units/Order) | |||
|---|---|---|---|
| 1 | 2 | 3 | |
| 301.11 | 48.34 | 0 | |
| 0 | 55 | 225.48 | |
| 0 | 0 | 0 | |
| Supplier () | Selling Price of Item (USD/Unit) | ||||
|---|---|---|---|---|---|
| 1 | 1 | 1 | 7.25 | 27.33 | - |
| 1 | 1 | 2 | 4.42 | 24.11 | - |
| 2 | 1 | 1 | - | 26.36 | 9.6 |
| 2 | 1 | 2 | - | 22.09 | 5.55 |
| 3 | 1 | 1 | 7.14 | - | 9.71 |
| 3 | 1 | 2 | 3.97 | - | 6.87 |
| Iteration | Profit per Time Unit for Selected Suppliers and Manufacturer (USD/Week) | Notes | ||||
|---|---|---|---|---|---|---|
| Supplier 1 | Supplier 2 | Supplier 3 | Manufacturer | |||
| 0 | 5107.58 | 5667.26 | - | 15,700.39 | 10% | |
| 1 | - | 7267.36 | 2222.13 | 18,889.30 | 10% | |
| 2 | 3699.64 | 1840.68 | - | 20,778.23 | 10% | |
| 3 | 1120.27 | 2403.42 | - | 22,914.91 | 10% | |
| 4 | - | 1902.94 | 2163.85 | 25,206.40 | 10% | |
| 5 | - | 1902.94 | 2163.85 | 25,206.40 | 10% | 1 |
| 6 | - | 1902.94 | 2163.85 | 25,206.40 | 5.50% | 1 |
| 7 | 3519.28 | - | 1639.55 | 26,034.81 | 3.03% | |
| 8 | 3519.28 | - | 1639.55 | 26,034.81 | 3.03% | 1 |
| 9 | 3519.28 | - | 1639.55 | 26,034.81 | 1.66% | 1 |
| 10 | 3519.28 | - | 1639.55 | 26,034.81 | 0.92% | 1 |
| 11 | 3519.28 | - | 1639.55 | 26,034.81 | 0.50% | 2 |
| Supplier () | Selling Price of Item (USD/Unit) | ||||
|---|---|---|---|---|---|
| 1 | 1 | 1 | 3.25 | 14.118 | - |
| 1 | 1 | 2 | 2.431 | 10.296 | - |
| 2 | 1 | 1 | - | 12.285 | 6.734 |
| 2 | 1 | 2 | - | 11.037 | 5.551 |
| 3 | 1 | 1 | 4.706 | - | 6.812 |
| 3 | 1 | 2 | 3.51 | - | 4.589 |
| Iteration 2 | Iteration 5 | Iteration 8 | |||||
|---|---|---|---|---|---|---|---|
| Profit (USD/Week) | CPU Time (sec.) | Profit (USD/Week) | CPU Time (sec.) | Profit (USD/Week) | CPU Time (sec.) | ||
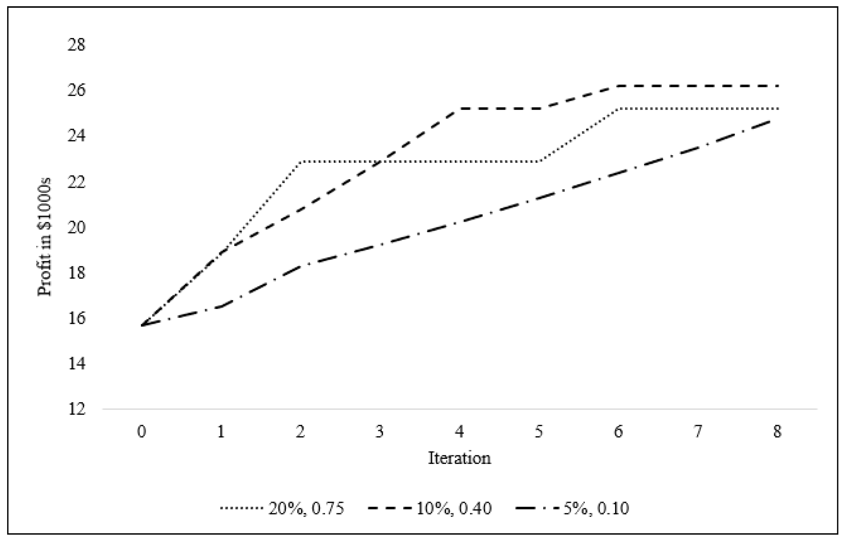
| 20% | 0.75 | 22,908.15 | 4564.83 | 22,908.15 | 10,829.11 | 25,194.26 | 17,215.9 |
| 20% | 0.40 | 22,908.15 | 4735.37 | 25,404.86 | 10,377.22 | 26,211.64 | 17,173.88 |
| 20% | 0.10 | 22,908.15 | 4732.94 | 24,704.37 | 9945.66 | 25,082.06 | 15,624.88 |
| 10% | 0.75 | 20,778.23 | 4461.05 | 25,206.40 | 10,831.37 | 25,206.40 | 17,187.3 |
| 10% | 0.40 | 20,778.23 | 4648.63 | 25,206.40 | 10,466.11 | 26,217.91 | 16,996.65 |
| 10% | 0.10 | 20,778.23 | 4693.08 | 25,206.40 | 10,217.33 | 25,966.20 | 16,009.48 |
| 5% | 0.75 | 18,312.94 | 4438.42 | 21,301.93 | 10,466.35 | 24,782.11 | 15,510.57 |
| 5% | 0.40 | 18,312.94 | 4579.31 | 21,301.93 | 10,103.71 | 24,782.11 | 16,137.73 |
| 5% | 0.10 | 18,312.94 | 4591.02 | 21,301.93 | 9871.09 | 24,782.11 | 15,026.95 |
Disclaimer/Publisher’s Note: The statements, opinions and data contained in all publications are solely those of the individual author(s) and contributor(s) and not of MDPI and/or the editor(s). MDPI and/or the editor(s) disclaim responsibility for any injury to people or property resulting from any ideas, methods, instructions or products referred to in the content. |
© 2024 by the authors. Licensee MDPI, Basel, Switzerland. This article is an open access article distributed under the terms and conditions of the Creative Commons Attribution (CC BY) license (https://creativecommons.org/licenses/by/4.0/).
Share and Cite
Abbaas, O.; Ventura, J.A. An Iterative Procurement Combinatorial Auction Mechanism for the Multi-Item, Multi-Sourcing Supplier-Selection and Order-Allocation Problem under a Flexible Bidding Language and Price-Sensitive Demand. Mathematics 2024, 12, 2228. https://doi.org/10.3390/math12142228
Abbaas O, Ventura JA. An Iterative Procurement Combinatorial Auction Mechanism for the Multi-Item, Multi-Sourcing Supplier-Selection and Order-Allocation Problem under a Flexible Bidding Language and Price-Sensitive Demand. Mathematics. 2024; 12(14):2228. https://doi.org/10.3390/math12142228
Chicago/Turabian StyleAbbaas, Omar, and Jose A. Ventura. 2024. "An Iterative Procurement Combinatorial Auction Mechanism for the Multi-Item, Multi-Sourcing Supplier-Selection and Order-Allocation Problem under a Flexible Bidding Language and Price-Sensitive Demand" Mathematics 12, no. 14: 2228. https://doi.org/10.3390/math12142228
APA StyleAbbaas, O., & Ventura, J. A. (2024). An Iterative Procurement Combinatorial Auction Mechanism for the Multi-Item, Multi-Sourcing Supplier-Selection and Order-Allocation Problem under a Flexible Bidding Language and Price-Sensitive Demand. Mathematics, 12(14), 2228. https://doi.org/10.3390/math12142228

