Next Article in Journal
Optimization of Interaction with Counterparties: Selection Game Algorithm under Uncertainty
Previous Article in Journal
Obtaining Conservative Estimates of Integrated Profitability for a Single-Period Product in an Own-Branding-and-Manufacturing Enterprise with Multiple Owned Channels
 
 
Font Type:
Arial Georgia Verdana
Font Size:
Aa Aa Aa
Line Spacing:
Column Width:
Background:
Article

Coupled Simultaneous Evolution of Policy, Enterprise Innovation Awareness, and Technology Diffusion in Multiplex Networks

1
Ministry of Education Key Laboratory of NSLSCS, Nanjing Normal University, Nanjing 210023, China
2
College of Mathematics and Computer Science, Tongling University, Tongling 244061, China
3
Department of Mathematics, Nanjing Normal University Taizhou College, Taizhou 225300, China
*
Author to whom correspondence should be addressed.
Mathematics 2024, 12(13), 2078; https://doi.org/10.3390/math12132078
Submission received: 4 June 2024 / Revised: 29 June 2024 / Accepted: 30 June 2024 / Published: 2 July 2024
(This article belongs to the Section E5: Financial Mathematics)

Abstract

This study comprehensively examines the coupling effect of government policies, enterprise behavior, and existing technology on the diffusion of innovative technology. Utilizing multiplex network theory, a multiplex network model is constructed to couple policy incentives, enterprise innovation consciousness, and technology diffusion. Both global- and local-order parameters are introduced to characterize the interaction mechanisms between new and old technologies. By employing the microscopic Markov chain approach (MMCA), the threshold for technology diffusion is derived, theoretically revealing the mechanisms behind the diffusion of innovative technology. Considering the heterogeneity of enterprises, a numerical simulation is conducted on a scale-free network. The results indicate that, as the intensity of policy incentives increases, the threshold for technology diffusion decreases, promoting the spread of innovative technology. Additionally, the coupling relationship between existing technology and innovative technology influences the diffusion scale of the latter. The innovation behavior of enterprises further facilitates the adoption and dissemination of innovative technology.

1. Introduction

Today, with the rapid development of society, technical knowledge is constantly being updated. The rational promotion and use of emerging technology is undoubtedly necessary for the development and progress of industry and even countries. For example, in agriculture, the justifiable use of improved or environmentally friendly technology by farmers and related parties can not only promote an increase in crop yields [1,2] but also aid in the transformation of agricultural production to a green and efficient mode, to achieve the purpose of increasing farmers’ incomes and improving the agricultural ecological environment [3,4,5,6,7]. In the context of low-carbon green sustainable development, relevant enterprises in high-emission industries such as steel [8,9], electric power [10,11,12] and cement [13,14] can effectively reduce their greenhouse gas emissions and contribute to the realization of low-carbon strategic objectives [15] by using low-carbon technologies and pursuing green research and development (R&D). Under the current dual-carbon goal, technological innovation is a prerequisite for the achievement of carbon neutrality. Industrial development is constantly seeking to use technological innovation to promote cleaner, more efficient, and more economical energy and production methods. Revealing the diffusion mechanism of technology and exploring the supporting and leading roles of technological innovation are key goals of research in the current academic and industrial circles.
In the real world, the evolution of technology from research and development to market promotion is complicated. Therefore, the efficient promotion of new technology on a large scale is challenging. At present, the most common technology diffusion models include path simulation based on cellular automata [16,17] and the Bass model [18,19], which can describe and predict the overall diffusion processes of new products and new technology. In addition to the characteristics of the model, some scholars have improved the original model, such as proposing a new technology diffusion model from the perspective of the system dynamics of cloud computing [20], developing a hybrid Bass–Markov model [21], introducing an exponential function and power function to modify the structure of the Bass model [22], and expanding the Bass model’s parameters according to the features extracted from text analysis [23]. Furthermore, in response to the lack of any multi-perspective consideration of social technology systems in the existing innovation diffusion research, scholars have also proposed the diffusion innovation system (DIS) method [24] and the empirical learning method to predict the future trends and saturation state of technology diffusion through the S curve and learning curve models [25].
However, with the rapid development of the Internet and the Internet of Things (IoT) era, technology diffusion has shown complex network characteristics, and scholars have begun to study technology diffusion from a network perspective [26]. Among them, the evolution path simulation of technology and behavior based on complex networks [27] has attracted widespread attention. Some scholars have constructed multiplex networks. On this basis, they have used the evolutionary game model and complex network theory to analyze the role of the industry characteristics in the network in the diffusion of low-carbon technologies [28,29,30]. In particular, incorporating government interventions, some scholars have established a government–enterprise evolutionary game model and studied the capacity for enterprise technology diffusion under different government policy interventions [31,32]. It can be seen that enterprises are the main participants in the process of technology diffusion, and their attitude towards technology diffusion determines whether a technology can be popularized in the industry. However, the existing research mainly focuses on the diffusion of technological innovation among enterprises and the understanding of the complexity and regularity of the diffusion system. It lacks the consideration of enterprise heterogeneity, lacks theoretical research on the dynamics of technology diffusion, and does not consider the coupling effect of enterprise technological innovation consciousness and existing technology on new technology diffusion.
The diffusion of innovative technology involves complex dynamic interactions at multiple levels, including policy incentives, enterprise innovation consciousness, and technology diffusion. To study these complex dynamic characteristics, the coupling dynamics of innovation diffusion can be explored by analogy with the dynamics of epidemic consciousness within the framework of a multiplex network [33,34,35]. This approach allows for a comprehensive analysis of the interplay among different factors influencing the spread of innovative technology. Therefore, this study constructs a PCDD model to effectively capture these complex dynamic characteristics, particularly in multiplex networks and multi-state transitions. Additionally, the design of the policy incentive–enterprise innovation consciousness–technology diffusion-coupled multiplex network model (PCDD) is highly adaptable and flexible, allowing for adjustments and expansions according to different application requirements. The diversity and heterogeneity in the diffusion of innovative technology for low-carbon environmental protection are better reflected, showcasing the dynamic evolution process more accurately. The model can also be adapted to different research needs and application scenarios by adjusting its parameters and structures. For instance, the adoption and promotion of new medical technology (such as telemedicine technology and electronic medical record systems) are often influenced by policies, the innovation consciousness of medical institutions and the practical application effects of the technology. The PCDD model can simulate these complex dynamic processes effectively.
The purpose of this study is to explore the influence mechanisms of policy incentives, enterprises’ innovation consciousness, and the existing mature technology on the diffusion of innovative technology. By constructing the PCDD model, this study aims to systematically analyze and reveal the mechanisms and evolution trends of innovative technology diffusion. It provides a comprehensive theoretical framework and empirical analysis tools to help to understand and predict the diffusion process of innovative technology in complex environments. This research also offers a scientific basis for policy formulation and enterprise innovation strategies. In view of the above research defects, based on the theoretical research on knowledge diffusion and infectious disease diffusion [36,37,38,39], this study comprehensively considers the coupling effects of policies, enterprises’ innovation consciousness, and existing technology on innovative technology diffusion. It carries out theoretical and numerical simulation analyses on the technology diffusion mechanism and the evolutionary trend of technology diffusion. The main contributions and innovations of this study include the following aspects.
(1) Taking the diffusion process of existing technology, the diffusion process of new technology, the innovation behavior of enterprises, and the policy measures of the government as one layer of the multi-layer network, a coupled multi-layer network model of policy incentives–enterprise innovation consciousness–technology diffusion (PCDD) is constructed.
(2) The threshold of technology diffusion is derived through the micro-Markov chain (MMCA), and the interaction mechanism of technology diffusion with policy incentive intensity and with old and new technologies is theoretically revealed.
(3) Considering the heterogeneity of enterprises, a numerical simulation of the diffusion behavior of innovative technology is carried out on a scale-free network. This reveals the influence of the government’s policy incentive intensity, enterprises’ own innovation behavior, and the dependence on old and new technologies on the diffusion of new technology, verifying the correctness of the theoretical analysis.
The rest of this paper is organized as follows. Section 2 describes the policy incentive–enterprise innovation consciousness–technology diffusion-coupled multiplex network model (PCDD). The impact of policy incentives, enterprises’ technological innovation consciousness and existing technology on technology diffusion is explored. The threshold of technology diffusion is deduced, and a simulation experiment is conducted. Section 3 provides a summary and discussion of the full text.

2. Policy Incentive–Enterprise Innovation Consciousness–Technology Diffusion–Coupled Multiplex Network Model (PCDD)

The policies implemented by the government, the behavior of individual enterprises and the existing technical level will have an impact on the diffusion of innovative technology. This section comprehensively considers the coupling effects of policy, enterprise behavior and existing technology. It constructs a policy incentive–enterprise innovation consciousness–technology diffusion–coupled multiplex network model (PCDD) to reveal the interaction mechanisms between the diffusion of new technology, enterprise innovation consciousness, the policy incentive intensity, and existing technology.

2.1. Description of the PCDD Model

Based on the real background of technology diffusion, a four-layer network was used to simulate the coupling effects of existing technology, technological innovation consciousness, and policy incentives on the diffusion of innovative technology. The network structure is shown in Figure 1. Layer I and layer II are used to describe the diffusion of technologies a and b. Technology a represents the existing technology of the enterprise, and technology b represents innovative technology. Layer III is used to describe the technological innovation consciousness of enterprises. Layer IV represents policy incentives for a single node. The number of nodes in the first three layers of the network is the same, and the node set is recorded as V = { 1 , 2 , , N } . The intra-layer connections in layer I and layer II represent all possible connections between the companies in business transactions and interpersonal interactions, so the connections are consistent. The intra-layer links in layer III represent the real links between the enterprises and the virtual links generated by the network or social media, such as public promotion, news dissemination, etc. The edges connecting the layers represent the coupling of different single-layer networks.
In the enterprise technology innovation consciousness layer (layer III), considering that not all enterprises exhibit technological innovation consciousness, the node state is divided into two categories: consciousness (C) and unconsciousness (U). To focus on the main driving forces of and obstacles to innovation diffusion, the neutral state of consciousness is not considered. Clearly distinguishing the presence and absence of innovation consciousness allows for a more precise definition and analysis of key state transitions, avoiding the complexities and challenges associated with identifying and classifying neutral nodes. In the technology diffusion layer (layer I, layer II), the SIR model is used to simulate the evolution of technology diffusion. Enterprise technology diffusion is divided into three states: when the enterprise does not adopt the technology and holds a neutral opinion on the promotion of the technology, it is set as a neutral state node (Neutral, S); if the enterprise has implemented the technology and has an interest in promoting the technology, it is a positive state node (Positive, I); if the enterprise believes that the technology does not have value for promotion, it is a passive state node (Passive, R). The three states all indicate the attitude of the enterprise towards the spread of technologies a and b. There is only one node in the policy incentive layer (layer IV), which acts on the technology diffusion layer and promotes a change in the attitudes of the passive state nodes in layer II. Here, the intensity of the policy incentive is θ , indicating that under the policy incentive, the probability of an attitude change from passive state enterprises to positive state enterprises is θ .
In this study, in order to explore the impact of the existing technology of the enterprise on the diffusion of new technology, it is assumed that existing technology a is already mature, widely used in the market, and well recognized by users. This indicates that the technology has passed the early adoption stage and entered the mature phase. Mature technologies typically exhibit high stability and reliability, signifying that the technology has reached a steady state of diffusion. The interaction term of technology a on technology b’s diffusion is referred to as F a b . In layer II, in the initial stage, the diffusion of innovative technology by the nodes is almost neutral. If the corresponding state of a certain node i in layer III is a U state without technological innovation consciousness, let the diffusion rate of U nodes from the neutral state (S) to the positive state (I) be β U . The probability of node i transitioning to a positive state can be expressed as β U F a b , the product of the diffusion rate β U and the interaction term F a b . If the node in layer III has technological innovation consciousness and is in the C state, let the diffusion rate of the C node from the neutral state (S) to the positive state (I) be β C . Then, the probability of node i transitioning to a positive state is β C F a b , the product of the diffusion rate β C and the interaction term F a b . Moreover, the positive nodes have a promotional effect on the change in attitude of the surrounding or neighboring nodes. When the proportion of positive nodes in the neighboring nodes of a passive state node i reaches α , node i’s attitude towards technology diffusion becomes neutral. In addition, during the use of technology by enterprises, nodes in a positive state still have a probability of transforming μ into a passive state and losing interest in and the capacity for technology diffusion.
In layer III, there are two types of nodes: those with technological innovation consciousness and those without technological innovation consciousness. For the U node i that has no technological innovation consciousness, its attitude will be affected by the C nodes with technological innovation consciousness among the neighboring nodes. Let α be the acceptance rate of enterprises’ technology innovation consciousness. When the proportion of C nodes among the neighboring nodes reaches α , the U nodes without technological innovation consciousness are transformed into C nodes. For C nodes with technological innovation consciousness, under the influence of time or external factors, there is also the possibility of losing their innovation consciousness and then transforming into U nodes. Here, the consciousness forgetting rate of the nodes with technological innovation consciousness is set to η . Figure 2 shows the node state transition process in layer II and layer III and marks the relevant parameters of each state transition. Figure 3 gives an explanation of the role of local state ratio α in the model.

2.2. Determination of Coupling Interaction Terms between Different Technologies

The impact of technology a on technology b’s diffusion can be interdependent, competitive, and decoupled [40,41]. By introducing the global-order parameter f a , the interaction term F a b in the three modes can be expressed as a piecewise function,
F a b = f a interdependent ,   1 f a competitive ,   1 decoupled .
The local-order parameter f i a represents the proportion of the positive state neighbor nodes of node i in the diffusion layer of technology a, which can be expressed as
f i a = 1 k i I j = 1 N a i j x j a .
Here, k i I denotes the degree of node i in the technology a diffusion layer (layer I), and a i j is the element in the adjacency matrix of the technology a diffusion layer. x j a represents the status of node j in the diffusion layer of technology a. When j is a positive node for technology a’s diffusion, x j a takes the value of 1; otherwise, it takes the value of 0. Specifically,
x j a = 1 node j is positive ,   0 other .
Therefore, the global-order parameter quantity f a can be derived from the local-order parameter f i a :
f a = i = 1 N k i I f i a i = 1 N k i I .
Through the above calculation, the probability β U F a b of a passive state node transforming into a positive state node in the absence of technological innovation consciousness and the probability β C F a b of a passive state node transforming into a positive state node in the presence of technological innovation consciousness can be determined.

2.3. Determination of Technology Diffusion Threshold

The adjacency matrices corresponding to the first three layers of the multiplex network are A = ( a i j ) N × N , B = ( b i j ) N × N and C = ( c i j ) N × N . The degrees of node i are k i I , k i II , and k i III . The connection of the enterprises in the technology diffusion layer is the same, so k i I = k i II . Because technological innovation consciousness has a positive and guiding effect on the diffusion of technology, β C is greater than β U . λ is used to express the promotional effect of technological innovation consciousness on technology diffusion. The technology diffusion rate β C from the neutral state of a node with technological innovation consciousness to the positive state and the technology diffusion rate β U from the neutral state of a node without technological innovation consciousness to the positive state satisfy the relationship β C = λ β U .
In the innovative technology diffusion layer, the existence of positive node neighbors promotes the positive transformation of the passive node state. When the proportion of positive node neighbors of a passive node exceeds α , the R node transforms into an S node. The unit step function E ( x ) is used to describe the non-transition probability of unconscious nodes. The probability r ˜ i ( t ) that a passive state node i remains in a passive state at time t and does not change in state is
r ˜ i ( t ) = E [ α j b j i p j I ( t ) k i II ] .
It can be seen from Figure 2 that the change in the attitude of the US node is related to the I and C nodes among its neighboring nodes. If the I node in the S node neighbor does not change the attitude of the S node, then the US node cannot be transformed into a UI node. At time t, let the probability of the US node being unaffected by the UI node be q i U ( t ) ; similarly, the probability q i C ( t ) of the CS node being unaffected by the CI node can also be defined. The two are related to the I nodes among all neighboring nodes of node i. Considering the coupling effect of the consciousness layer and the existing technology diffusion layer β U F a b , their formulas are as follows:
q i U ( t ) = j 1 b j i p j I ( t ) β U F a b ,
q i C ( t ) = j 1 b j i p j I ( t ) β C F a b .
In the layer of technological innovation consciousness, if the neighbor of node i with technological innovation consciousness (C) reaches α , the U node becomes conscious and transitions to a C state. Let r i ( t ) denote the probability that node i without innovation consciousness in the layer of technological innovation consciousness does not change to the C state at time t, which can be expressed as
r i ( t ) = E α j c j i p j C ( t ) k i III .
After the analysis, there are six possible states in the process of innovative technology diffusion: US, UI, UR, CS, CI, and CR. The state probability satisfies
p i U ( t ) = p i U S ( t ) + p i U I ( t ) + p i U R ( t ) ,
p i C ( t ) = p i C S ( t ) + p i C I ( t ) + p i C R ( t ) ,
p i S ( t ) = p i U S ( t ) + p i C S ( t ) ,
p i I ( t ) = p i U I ( t ) + p i C I ( t ) ,
p i R ( t ) = p i U R ( t ) + p i C R ( t ) .
In regard to obtaining the dynamic equation of the network’s evolutionary process over time, Figure 4 presents the state transition probability tree of technology diffusion in the six states of the nodes.
In Figure 4, the root node represents the six possible states of the nodes at time t, and the leaf node represents the possible state at t + 1 . The connection represents the probability of a transition between the corresponding two states. According to the constructed state transition probability tree [42], the state probability of node i at time t + 1 can be determined via the addition of the product and probability.
p i U S ( t + 1 ) = p i U S ( t ) r i ( t ) q i U ( t ) + p i C S ( t ) η q i U ( t ) + p i U R ( t ) r i ( t ) ( 1 r ˜ i ( t ) ) + p i C R ( t ) η ( 1 r ˜ i ( t ) ) ,
p i C S ( t + 1 ) = p i U S ( t ) ( 1 r i ( t ) ) q i C ( t ) + p i C S ( t ) ( 1 η ) q i C ( t ) + p i U R ( t ) ( 1 r i ( t ) ) ( 1 r ˜ i ( t ) ) + p i C R ( t ) ( 1 η ) ( 1 r ˜ i ( t ) ) ,
p i U I ( t + 1 ) = p i U S ( t ) r i ( t ) ( 1 q i U ( t ) ) + p i C S ( t ) η ( 1 q i U ( t ) ) + p i U I ( t ) r i ( t ) [ 1 μ + μ θ ] + p i C I ( t ) η [ 1 μ + μ θ ] + p i U R ( t ) r i ( t ) r ˜ i ( t ) θ + p i C R ( t ) η r ˜ i ( t ) θ ,
p i C I ( t + 1 ) = p i U S ( t ) ( 1 r i ( t ) ) ( 1 q i C ( t ) ) + + p i C S ( t ) ( 1 η ) ( 1 q i C ( t ) ) + p i U I ( t ) ( 1 r i ( t ) ) [ 1 μ + μ θ ] + p i C I ( t ) ( 1 η ) [ 1 μ + μ θ ] + p i U R ( t ) ( 1 r i ( t ) ) r ˜ i ( t ) θ + p i C R ( t ) ( 1 η ) r ˜ i ( t ) θ ,
p i U R ( t + 1 ) = p i U I ( t ) r i ( t ) μ ( 1 θ ) + p i C I ( t ) η μ ( 1 θ ) + p i U R ( t ) r i ( t ) r ˜ i ( t ) ( 1 θ ) + p i C R ( t ) η r ˜ i ( t ) ( 1 θ ) ,
p i C R ( t + 1 ) = p i U I ( t ) ( 1 r i ( t ) ) μ ( 1 θ ) + p i C I ( t ) ( 1 η ) μ ( 1 θ ) + p i U R ( t ) ( 1 r i ( t ) ) r ˜ i ( t ) ( 1 θ ) + p i C R ( t ) ( 1 η ) r i ˜ ( t ) ( 1 θ ) .
Among these equations, t + 1 is the next step of the current time step t. It should be noted that node i satisfies p i U S ( t ) + p i C S ( t ) + p i U I ( t ) + p i C I ( t ) + p i U R ( t ) + p i C R ( t ) = 1 at every step. The sum of all state probabilities at each moment is 1.
When time t is long enough, the network’s evolution reaches a steady state. The state probability of each node also reaches a stable value. Therefore, when t , the state of the node at time t and time t + 1 is the same. Thus,
p i U S ( t + 1 ) t = p i U S ( t ) t = p i U S , p i C S ( t + 1 ) t = p i C S ( t ) t = p i C S , p i U I ( t + 1 ) t = p i U I ( t ) t = p i U I , p i C I ( t + 1 ) t = p i C I ( t ) t = p i C I , p i U R ( t + 1 ) t = p i U R ( t ) t = p i U R , p i C R ( t + 1 ) t = p i C R ( t ) t = p i C R .
The promotion of innovative technology is the focus of attention, and the corresponding parameter is the scale of nodes that are positive for innovative technology. At this point, the probability p i I that node i is a positive enterprise can be obtained by summing Equations (16) and (17).
p i I = p i U I + p i C I = p i I [ 1 μ + μ θ ] + p i R r i ˜ θ + p i U S [ 1 r i q i U q i C + r i q i C ] + p i C S [ 1 η q i U q i C + η q i C ] .
The threshold of technology diffusion determines whether the technology can be applied in the enterprise. The minimum value β d U of the diffusion rate β d U is used to represent the technology diffusion threshold from the intermediate state (S) to the positive state (I) of the U-state node without an awareness of technological innovation. This is the critical value for the diffusion of innovative technology in the technology b diffusion layer. Near the threshold, the probability of any enterprise’s attitude towards technology diffusion transforming into a positive state tends to be 0. Let the probability p i I = E i , E i 0 + , at that time, and remove the higher-order infinitesimal E i of p i I for Equations (6) and (7). The subsequent results are
q i U = j 1 b j i p j I ( t ) β U F a b 1 β U F a b j = 1 N b j i E j ,
q i C = j 1 b j i p j I ( t ) β C F a b 1 β C F a b j = 1 N b j i E j = 1 λ β U F a b j = 1 N b j i E j .
Let
ω i = β U F a b j = 1 N b j i E j .
After substituting Equations (22) and (23) into Equation (21), the subsequent result is
E i E i ( 1 μ + μ θ ) + p i R r i ˜ θ + p i U S [ λ ω i + r i ω i ( 1 λ ) ] + p i C S [ λ ω i + η ω i ( 1 λ ) ] .
With regard to obtaining the expression of the technology diffusion threshold, the critical case is further discussed below. When the technology diffusion threshold β d U is not reached, regardless of the length of the time step, the technology cannot be diffused, and the neutral state node does not change its attitude to a positive state. The whole network is essentially in the initial state. The vast majority of the nodes are in a neutral state (S), and the probability of a positive (I) and passive node (R) is close to zero.
p i I = p i U I + p i C I 0 ,
p i R = p i U R + p i C R 0 ,
p i U = p i U S + p i U I + p i U R p i U S ,
p i C = p i C S + p i C I + p i C R p i C S .
By removing the infinitesimal for E i in Equations (14) and (15), the following can be obtained:
p i U p i U S = p i U S r i + p i C S η ,
p i C p i C S = p i U S ( 1 r i ) + p i C S ( 1 η ) .
Substituting this into Equation (25), the following can be obtained:
( 1 θ ) μ E i = [ p i U S r i + p i C S η ] ω i + [ p i U C ( 1 r i ) + p i C S ( 1 η ) ] λ ω i = ( p i U + λ p i C ) β U F a b j b j i E j .
Then, we simplify the above equation. The result is as follows:
j β U F a b ( p i U + λ p i C ) b j i μ ( 1 θ ) e i j E j = 0 .
Here, ( e i j ) N × N represents the identity matrix. It is required to solve the technology diffusion threshold β d U in the above equation, i.e., to solve the equation regarding E = ( E 1 , E 2 , , E N ) . Let t i j = ( p i U + λ p i C ) b j i . The following step is to determine the eigenvector of T = ( t i j ) N × N regarding the eigenvalue μ ( 1 θ ) / ( β U F a b ) , which is equivalent to
j t i j μ ( 1 θ ) β U F a b e i j E j = 0 .
Let Λ m a x ( T ) denote the largest eigenvalue of T. After the analysis, the occurrence of technology diffusion is determined by the minimum value of β U . Through simplification, the expression of the technology diffusion threshold β d U can be written as
β d U = μ ( 1 θ ) F a b Λ m a x ( T ) .
It can be seen from the above equation that the diffusion threshold of innovative technology is related to the parameter μ , the policy incentive intensity θ , the interaction term F a b of the technologies and the network structure of the diffusion layer of technology b.

2.4. Numerical Simulation and Result Analysis

When the innovative technology reaches the steady state, the proportion of enterprises in the positive state (I) of the technology b diffusion layer is an important index with which to analyze the final diffusion of innovative technology. It can be expressed as the ratio of the number of positive enterprises to the number of all enterprises ϕ b I at that time.
ϕ b I = 1 N i = 1 N p i I = 1 N i = 1 N ( p i U I + p i C I ) .
Similarly, it can be found that the scale of the enterprise’s behavior regarding the diffusion of innovative technology b in a passive state (R) ϕ b R is
ϕ b R = 1 N i = 1 N p i R = 1 N i = 1 N ( p i U R + p i C R ) .
In this section, a numerical simulation is used to analyze the impact of the positive enterprise scale ϕ a I , the local state ratio α , and the policy incentive intensity θ on the innovative technology diffusion threshold β d U and the final positive enterprise scale ϕ b I . In the numerical simulation, considering the scale-free characteristics of real-world social networks, the two technology diffusion layers were set to a BA scale-free network with a power-law index of 2.5 and a total number of network nodes of N = 1000 . The technological innovation consciousness layer of the enterprise randomly added 400 new edges, without duplicate edges, to the generated BA scale-free network. It represented other connections that enterprises may form on the Internet and on social media, in addition to communication in the real world. Then, it was assumed that the diffusion layer of innovative technology b had 5% nodes with a positive state (I), 5% nodes with a passive state (R), and the remaining nodes with a neutral state (S) at the initial moment. We set the time step to one and performed 300 iterations. It was found that the system at that time was stable.
This section presents the numerical verification in terms of four aspects. Firstly, by changing the diffusion ratio of existing technology, this study explored the influence of existing technology on the diffusion of innovative technology when there was interdependence, competition, and a decoupling relationship with the existing technology. It analyzed the numerical results from two perspectives: the diffusion rate of existing technology and the relationship between the technologies. Next, the existing technology diffusion rate was fixed, and the influence of different policy incentive intensities on the diffusion of innovative technology was explored. Then, the influence of the innovative technology diffusion rate on the local state ratio and technology diffusion propagation rate under different relationships was analyzed and discussed. Finally, the effect of the parameter λ was analyzed.
Firstly, to test the accuracy of the theoretical results derived from the microscopic Markov chain approach (MMCA), Figure 5a presents a comparison of the scale of the final positive enterprise ϕ b I and the scale of the passive enterprise ϕ b R . Figure 5b shows the numerical differences of the two simulation methods. Since the state transitions in the MMCA were probabilistic, each test was random. The Monte Carlo (MC) method approximates the system’s behavior using a large number of random samples. Because it relies on generating random numbers, fluctuations and random errors in the samples will manifest in the final simulation results. This is also the reason for the noise in the data. Here, it was assumed that a relative error within 1% was acceptable [43]. Because 300 tests were performed, although the data still exhibited noise, they essentially tended towards a steady state. It can be observed that the simulation results for the two methods were consistent and had a high degree of agreement. Figure 5b shows that the quantitative error of the MMCA and MC simulation values was less than 1%, which means that it was feasible to use microscopic Markov chains to study the diffusion of innovative technology. Therefore, in the subsequent analysis, the results were obtained via the microscopic Markov chain approach.
Next, the impact of existing technology on the diffusion of innovative technology was analyzed. In Figure 6, the full phase diagram of the positive diffusion scale ϕ b I of innovative technology b is depicted with respect to the positive diffusion scale ϕ a I of existing technology a and the diffusion rate β U of innovative technology, considering the interdependence, competition, and decoupling relationship between technology a and technology b. From the two parts of Figure 6, it can be found that if there is interdependence, when the technology diffusion rate β U is the same, the larger the positive scale of existing technology a, the larger the positive scale of the innovative technology. If there is a competitive relationship between the two technologies, as shown in Figure 6(b-1,b-2) for the fixed diffusion rate β U , the positive state scale influence relationship is the opposite of that of interdependence. Moreover, when the two technologies are decoupled, it can be seen from Figure 6(c-1,c-2) that the diffusion of the two technologies is independent under the same technology diffusion rate β U . This shows that the scale of existing technology has no effect on the diffusion of innovative technology. Comparing the upper and lower subgraphs, it can be seen that the dark blue area of the subgraph without policy incentives is significantly larger than the dark blue area of the subgraph with policy incentives in the second row. This shows that policy incentives can promote the diffusion of innovative technology. When the positive state diffusion scale ϕ a I of existing technology a and the policy incentive intensity θ = 0.1 are fixed, the minimum diffusion rate β U of ϕ b I from zero to a positive value is much smaller than that of θ = 0 . This means that the diffusion threshold of innovative technology in the network with policy incentives is smaller than that in the network without policy incentives. This shows that innovative technology is more likely to diffuse in a social environment with policy incentives.
With the increase in the positive scale of existing technology a, the influence of the interaction between the technologies on the final scale of innovative technology b is different. As shown in Figure 7, if there is interdependence between the two technologies in the real world, the positive state scale ϕ a I of technology a becomes larger, indicating that more users are willing to adopt this technology. Then, the final positive scale of innovative technology also becomes larger, and the competitive relationship is the opposite. It can be seen that when the technologies are interdependent, the larger the positive scale of the original technology, the easier it is for enterprises to accept and adopt innovative technology. Thus, it is more easily diffused within social networks. In contrast, when the two compete with each other, the larger the positive scale of the existing technology, the stronger the competitiveness, thus increasing the difficulty of innovative technology diffusion. In addition, the diffusion of innovative technology under the decoupling relationship is not related to the existing technology. For different policy incentive intensities θ , in the three-row subgraph of Figure 7, when the policy incentive intensity θ = 0 , the final positive state scale ϕ b I of innovative technology b changes from zero with the value of diffusion rate β U . When θ = 0.3 and θ = 0.6 , regardless of the diffusion rate β U , ϕ b I is greater than zero. Moreover, with an increase in the policy incentive intensity, the positive scale of innovative technology at β U = 1 also increases. Therefore, in a network with policy incentives, the diffusion threshold of innovative technology is smaller, and technology diffusion is more likely to occur. In particular, when the positive scale of existing technology ϕ a I is 0.5, as shown in Figure 7, it can be found that the final positive scale of the innovative technology under the relationship of interdependence and competition almost coincides with that of the existing technology. This means that when the number of positive enterprises regarding the existing technology is halved, the dynamic process of technology diffusion is almost the same, regardless of whether it is interdependent or competitive.
In order to further observe the effect of existing technology on the diffusion of innovative technology under different policy incentive intensities, Figure 8 shows the relationship between the final positive state scale ϕ b I of innovative technology b and the existing technology’s positive state scale ϕ a I at θ = 0 , θ = 0.3 , and θ = 0.6 . Here, the diffusion rate β U = 1 was set to one. Influenced by the scale of existing technology diffusion, the scale of positive innovative technology is always less than one. However, the maximum value of ϕ b I increases with the increase in the policy incentive intensity, which means that policy incentives have a positive and guiding effect on the diffusion of innovative technology. In addition, it can be seen in the figure that when ϕ a I is close to zero, the innovative technology that is interdependent on the existing technology is more sensitive to the change in ϕ a I , and the numerical change is more obvious. When ϕ a I is close to one, innovative technology that competes with existing technology is more sensitive to changes in ϕ a I . This is because the introduction of innovative technology in the market, due to its novelty, may be questioned by many enterprises. At that time, if there is an interdependent relationship with the existing technology, the positive state enterprises of the existing technology can support the technology, which is conducive to the diffusion of the innovative technology. In contrast, if there is a large-scale diffusion of competing technologies, this is obviously detrimental to the diffusion of innovative technology. In addition, when ϕ a I = 0.5 , the curves corresponding to interdependence and competition intersect. Moreover, the two curves are symmetric about ϕ a I = 0.5 , which is consistent with the expression of the piecewise function of the interaction term of the two technologies in Equation (1).
In addition to the coupling effect and policy incentives of existing technology, the influencing factors of innovative technology diffusion also include whether enterprises exhibit technological innovation consciousness. Next, the effect of enterprises’ technological innovation consciousness on technology diffusion was analyzed. In Figure 9, the full phase diagram of the final positive state scale ϕ b I of innovative technology is shown with respect to the diffusion rate β U and the local state ratio α . Due to the positive state scale of the existing technology ϕ a I = 0.7 , F a b was calculated to be 1, 0.7033, and 0.2967 from left to right. By observing the diagram under the three action relations, it can be found that for the fixed parameter α , the closer the interaction term F a b is to one, the faster the value of ϕ b I changes with β U , and the easier the diffusion of innovative technology. This conclusion is consistent with Equation (35). With the fixed parameter β U , it is observed that ϕ b I decreases as α increases, and the two are almost negatively correlated. It can be seen that the relationship between the technologies cannot significantly change the impact of innovation consciousness on technology diffusion. This is because the diffusion layer of technology a directly affects the diffusion layer of innovative technology b and has no direct effect on the consciousness layer. Comparing the subgraphs in the first row and the second row, if the policy incentive intensity θ = 0 , it is obvious that when α is greater than 0.7, regardless of the value of the innovative technology diffusion rate β U , if the innovative technology is not driven by an external force, it is difficult to diffuse it in a short period of time. When θ > 0 , because the state and the government adopt corresponding policies and measures to encourage enterprises to accept innovative technology, innovative technology is easier to distribute, which is consistent with the results in the second row of the figure. This also shows that when the local state ratio α exceeds 0.7, it is necessary to use appropriate policies to encourage enterprises to use innovative technology.
Next, regarding the comparison of the number of final positive enterprises regarding innovative technology under different local state ratios α and policy incentive intensities θ , Figure 10 presents the relationship between the final positive enterprise scale ϕ b I and the passive enterprise scale ϕ b R of innovative technology regarding the diffusion rate β U . From Figure 10a,b, it is evident that when strengthening policy incentives θ , the final positive scale of enterprise innovative technology ϕ b I also increases. In contrast, it can be observed from Figure 10c,d that the final passive scale of enterprise innovative technology ϕ b R decreases with the increase in the policy incentive intensity θ . At the same time, it is observed that under the policy incentives, the impact of innovation consciousness corresponding to local state ratio α on technology diffusion is reduced. This is mainly caused by two factors. On the one hand, the policy incentives adopted here directly affect the technology diffusion layer, promoting the diffusion of the technology directly through its implementation. On the other hand, at the practical level, the economic and social benefits brought by the large-scale promotion of innovative technology help to enhance the innovation consciousness of enterprises, and the promotion of the innovation consciousness of enterprises further strengthens the promotion of the innovative technology. By comparing Figure 10a,b, it can be found that when θ = 0 , the minimum β U value of ϕ b I from zero to a positive value increases. The ϕ b I value of θ > 0 in the figure is positive at any β U value, which means that policy incentives are more effective in social environments with higher α values. In a social environment where most companies are not innovative, government policy incentives can have a significant effect. When α = 0.6 , the data in Figure 10d oscillate when θ = 0 and θ = 0.25 . Similarly, in Figure 10c, the step size was reduced to simulate the relationship between ϕ b R and β U when α = 0.3 . It was found that the data still oscillated, but in other cases, they were still smooth. It is thus proven that policy incentives can promote a change in passive enterprises’ attitudes in the process of innovative technology diffusion and increase the number of enterprises with positive attitudes towards innovative technology diffusion, which can effectively restrain the fluctuation in the data.
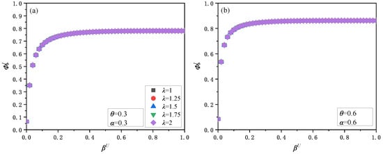
Finally, Figure 11 illustrates the relationship between ϕ b I and ϕ b R about β U under different λ values. The model assumed a linear relationship of the diffusivity β C and β U , i.e., β C = λ β U . We explored whether the value of the parameter λ had an impact on the numerical results. It was found that the scatter trajectories corresponding to different λ values were completely aligned. Therefore, in the model, after fixing the diffusion rate β U , the values of ϕ b I and ϕ b R were independent of the parameter λ . This is consistent with our theoretical derivation of Equation (35).

3. Summary and Discussion

This study proposed a PCDD model based on multiplex network coupling to study the technology diffusion problem of enterprises. The influence of policy incentives, enterprise technology innovation consciousness, and enterprises’ existing technology on system evolution was considered comprehensively. Among them, policy incentives directly affected the innovative technology diffusion of enterprises and promoted the technology diffusion of passive enterprises. In addition, this study assumed that the relevant policies of the state and the government were coordinated, rather than unconditionally opposed.
Based on the theoretical application of the microscopic Markov chain method, it was found that the threshold β d U of technology diffusion was negatively correlated with the policy incentive intensity θ and the interaction term F a b . The larger the value of θ , the closer F a b was to one, and the smaller the value of β d U , the easier it was for technology diffusion to occur.
By constructing a BA scale-free network and conducting finite evolution numerical simulations, it was found that the policy incentive intensity θ and the local state ratio α changed the final positive enterprise scale ϕ b I and the passive enterprise scale ϕ b R . The experimental results showed that θ was an important factor affecting the diffusion of innovative technology. In the network with policy incentives, regardless of the type of relationship that existed between the existing technology and innovative technology, the threshold of technology diffusion was smaller. Therefore, in the real world, the government should take necessary measures to encourage enterprises to distribute innovative technology. In all cases in which the level of policy supervision was not zero, the impact on the evolution of the whole system was also different. Secondly, due to the coupling effect of existing technology on innovative technology, even if the diffusion rate β U = 1 and the forgetting rate μ = 0.2 , the positive state scale ϕ b I could not reach 100%. When there was interdependence between technologies, the greater the diffusion scale of the existing technology, the more conducive it was to the diffusion of innovative technology. In competitive relationships, innovative technology was easier to distribute when the scale of the existing technology was smaller. Therefore, before R&D and investment in innovative technology, a comprehensive market survey should be conducted to analyze the use of existing technology in the market. It is also necessary to conduct a thorough product analysis, technical comparisons, and functional testing to realize the practical value of innovative technology. In addition, according to the different values of the local state ratio α , the policy incentive intensity θ should also be adjusted accordingly, such as modifying and promoting such policies. Regarding parameter α , it was closely related to the individual’s subjective opinions and the influence of the environment. Therefore, understanding the circumstances under which the enterprise’s attitude changes requires the collection of feedback and evaluations from the respondents. Here, α can be collected through market research, such as sample surveys, statistical questionnaires, and interviews, which are highly effective methods.

Author Contributions

Conceptualization, R.H. and J.W.; methodology, J.W., H.X. and R.H.; writing original draft preparation, J.W.; writing review and editing, J.W., H.X. and R.H.; funding acquisition, H.X. and R.H. All authors have read and agreed to the published version of the manuscript.

Funding

This work was supported by the National Natural Science Foundation of China (grant no. 72243005), Tongling University Horizontal project “Technological Innovation of Green Industry Chain under the goal of “Double Carbon”” (grant no. 2024tlxyxdz047), the National Key Research and Development Program of China (grant no. 2020YFA0608602), Jiangsu university philosophy and social science research major project, Open Project Fund of the Key Laboratory of Numerical Simulation of Large scale Complex Systems of the Ministry of Education (202408), Natural science research project of higher education institutions in Jiangsu Province (24KJA320001), Special Science and Technology Innovation Program for Carbon Peak and Carbon Neutralization of Jiangsu Province (grant no. BE2022612) and the China Postdoctoral Foundation (grant no. 2021M691312).

Data Availability Statement

The data will be made available on request.

Conflicts of Interest

The authors declare that they have no conflicts of interest.

References

  1. Shang, L.; Heckelei, T.; Gerullis, M.K.; Börner, J.; Rasch, S. Adoption and diffusion of digital farming technologies-integrating farm-level evidence and system interaction. Agric. Syst. 2021, 190, 103074. [Google Scholar] [CrossRef]
  2. Gao, Y.; Wang, Q.; Chen, C.; Wang, L.; Niu, Z.; Yao, X.; Yang, H.; Kang, J. Promotion methods, social learning and environmentally friendly agricultural technology diffusion: A dynamic perspective. Ecol. Indic. 2023, 154, 110724. [Google Scholar] [CrossRef]
  3. Majumdar, D.; Kar, S. Does technology diffusion help to reduce emission intensity? Evidence from organized manufacturing and agriculture in India. Resour. Energy Econ. 2017, 48, 30–41. [Google Scholar] [CrossRef]
  4. Kumar, A.; Takeshima, H.; Thapa, G.; Adhikari, N.; Saroj, S.; Karkee, M.; Joshi, P. Adoption and diffusion of improved technologies and production practices in agriculture: Insights from a donor-led intervention in Nepal. Land Use Policy 2020, 95, 104621. [Google Scholar] [CrossRef]
  5. Wang, C.; Chen, Y.; Sun, M.; Wu, J. Potential of technological innovation to reduce the carbon footprint of urban facility agriculture: A food–energy–water–waste nexus perspective. J. Environ. Manag. 2023, 339, 117806. [Google Scholar] [CrossRef] [PubMed]
  6. Guo, Z.; Zhang, X. Carbon reduction effect of agricultural green production technology: A new evidence from China. Sci. Total Environ. 2023, 874, 162483. [Google Scholar] [CrossRef] [PubMed]
  7. Kassouri, Y.; Alola, A.A. Examining the interaction of technology adoption-diffusion and sectoral emission intensity in developing and emerging countries. J. Clean. Prod. 2023, 405, 136920. [Google Scholar] [CrossRef]
  8. Skoczkowski, T.; Verdolini, E.; Bielecki, S.; Kochański, M.; Korczak, K.; Węglarz, A. Technology innovation system analysis of decarbonisation options in the EU steel industry. Energy 2020, 212, 118688. [Google Scholar] [CrossRef] [PubMed]
  9. Kushnir, D.; Hansen, T.; Vogl, V.; Åhman, M. Adopting hydrogen direct reduction for the Swedish steel industry: A technological innovation system (TIS) study. J. Clean. Prod. 2020, 242, 118185. [Google Scholar] [CrossRef]
  10. Bosetti, V.; Carraro, C.; Duval, R.; Sgobbi, A.; Tavoni, M. The Role of R&D and Technology Diffusion in Climate Change Mitigation: New Perspectives Using the WITCH Model. 2009. Available online: https://ssrn.com/abstract=1397076 (accessed on 10 May 2024).
  11. Mercure, J.F.; Pollitt, H.; Chewpreecha, U.; Salas, P.; Foley, A.; Holden, P.; Edwards, N. The dynamics of technology diffusion and the impacts of climate policy instruments in the decarbonisation of the global electricity sector. Energy Policy 2014, 73, 686–700. [Google Scholar] [CrossRef]
  12. Verdolini, E.; Bosetti, V. Environmental policy and the international diffusion of cleaner energy technologies. Environ. Resour. Econ. 2017, 66, 497–536. [Google Scholar] [CrossRef]
  13. Shi, Y.; Chen, L.; Liu, Z.; Yan, J.; Hu, J. Analysis on the carbon emission reduction potential in the cement industry in terms of technology diffusion and structural adjustment: A case study of Chongqing. Energy Procedia 2012, 16, 121–130. [Google Scholar] [CrossRef]
  14. Xu, J.H.; Fleiter, T.; Fan, Y.; Eichhammer, W. CO2 emissions reduction potential in China’s cement industry compared to IEA’s Cement Technology Roadmap up to 2050. Appl. Energy 2014, 130, 592–602. [Google Scholar] [CrossRef]
  15. Losacker, S. ‘License to green’: Regional patent licensing networks and green technology diffusion in China. Technol. Forecast. Soc. Chang. 2022, 175, 121336. [Google Scholar] [CrossRef]
  16. González, R.E.R.; de Figueirêdo, P.H.; Coutinho, S. Cellular automata approach for the dynamics of HIV infection under antiretroviral therapies: The role of the virus diffusion. Phys. A Stat. Mech. Its Appl. 2013, 392, 4717–4725. [Google Scholar] [CrossRef]
  17. Guseo, R.; Guidolin, M. Cellular automata with network incubation in information technology diffusion. Phys. A Stat. Mech. Its Appl. 2010, 389, 2422–2433. [Google Scholar] [CrossRef]
  18. Massiani, J.; Gohs, A. The choice of Bass model coefficients to forecast diffusion for innovative products: An empirical investigation for new automotive technologies. Res. Transp. Econ. 2015, 50, 17–28. [Google Scholar] [CrossRef]
  19. Reddy, B.S. Economic dynamics and technology diffusion in indian power sector. Energy Policy 2018, 120, 425–435. [Google Scholar] [CrossRef]
  20. An, K.; Wang, C.; Cai, W. Low-carbon technology diffusion and economic growth of China: An evolutionary general equilibrium framework. Struct. Chang. Econ. Dyn. 2023, 65, 253–263. [Google Scholar] [CrossRef]
  21. Tsai, J.M.; Hung, S.W. A novel model of technology diffusion: System dynamics perspective for cloud computing. J. Eng. Technol. Manag. 2014, 33, 47–62. [Google Scholar] [CrossRef]
  22. Song, Y.; Lee, S.; Zo, H.; Lee, H. A hybrid Bass–Markov model for the diffusion of a dual-type device-based telecommunication service: The case of WiBro service in Korea. Comput. Ind. Eng. 2015, 79, 85–94. [Google Scholar] [CrossRef]
  23. Han, Z.; Tang, Z.; He, B. Improved Bass model for predicting the popularity of product information posted on microblogs. Technol. Forecast. Soc. Chang. 2022, 176, 121458. [Google Scholar] [CrossRef]
  24. Qiao, T.; Shan, W.; Zhang, M.; Liu, C. How to facilitate knowledge diffusion in complex networks: The roles of network structure, knowledge role distribution and selection rule. Int. J. Inf. Manag. 2019, 47, 152–167. [Google Scholar] [CrossRef]
  25. Skoczkowski, T.; Bielecki, S.; Wojtyńska, J. Long-term projection of renewable energy technology diffusion. Energies 2019, 12, 4261. [Google Scholar] [CrossRef]
  26. Grabisch, M.; Rusinowska, A.; Venel, X. Diffusion in large networks. J. Econ. Dyn. Control 2022, 139, 104439. [Google Scholar] [CrossRef]
  27. Shaikh, N.I.; Rangaswamy, A.; Balakrishnan, A. Modeling the Diffusion of Innovations through Small-World Networks. SSRN Electron. J. 2006, 1, 1. [Google Scholar] [CrossRef]
  28. Wang, L.; Zheng, J. Research on low-carbon diffusion considering the game among enterprises in the complex network context. J. Clean. Prod. 2019, 210, 1–11. [Google Scholar] [CrossRef]
  29. Shi, Y.; Wei, Z.; Shahbaz, M.; Zeng, Y. Exploring the dynamics of low-carbon technology diffusion among enterprises: An evolutionary game model on a two-level heterogeneous social network. Energy Econ. 2021, 101, 105399. [Google Scholar] [CrossRef]
  30. Wu, Y.; Wang, X.; Liu, Z.; Zhao, X. Research on low-carbon technology diffusion among enterprises in networked evolutionary game. Chaos Solitons Fractals 2023, 174, 113852. [Google Scholar] [CrossRef]
  31. Shi, Y.; Han, B.; Zeng, Y. Simulating policy interventions in the interfirm diffusion of low-carbon technologies: An agent-based evolutionary game model. J. Clean. Prod. 2020, 250, 119449. [Google Scholar] [CrossRef]
  32. Fan, R.; Chen, R.; Wang, Y.; Wang, D.; Chen, F. Simulating the impact of demand-side policies on low-carbon technology diffusion: A demand-supply coevolutionary model. J. Clean. Prod. 2022, 351, 131561. [Google Scholar] [CrossRef]
  33. Xia, C.; Wang, Z.; Zheng, C.; Guo, Q.; Shi, Y.; Dehmer, M.; Chen, Z. A new coupled disease-awareness spreading model with mass media on multiplex networks. Inf. Sci. 2019, 471, 185–200. [Google Scholar] [CrossRef]
  34. Wu, Q.; Chen, S. Coupled simultaneous evolution of disease and information on multiplex networks. Chaos Solitons Fractals 2022, 159, 112119. [Google Scholar] [CrossRef]
  35. Wang, H.; Ma, C.; Chen, H.-S.; Zhang, H.-F. Effects of asymptomatic infection and self-initiated awareness on the coupled disease-awareness dynamics in multiplex networks. Appl. Math. Comput. 2021, 400, 126084. [Google Scholar] [CrossRef]
  36. Tsai, C.M. The knowledge diffusion model associated with innovative knowledge. Expert Syst. Appl. 2009, 36, 11323–11331. [Google Scholar] [CrossRef]
  37. Zhan, X.X.; Liu, C.; Zhou, G.; Zhang, Z.K.; Sun, G.Q.; Zhu, J.J.; Jin, Z. Coupling dynamics of epidemic spreading and information diffusion on complex networks. Appl. Math. Comput. 2018, 332, 437–448. [Google Scholar] [CrossRef] [PubMed]
  38. Ma, W.; Zhang, P.; Zhao, X.; Xue, L. The coupled dynamics of information dissemination and SEIR-based epidemic spreading in multiplex networks. Phys. A Stat. Mech. Its Appl. 2022, 588, 126558. [Google Scholar] [CrossRef]
  39. Li, J.; Jiang, H.; Yu, Z.; Hu, C. Dynamical analysis of rumor spreading model in homogeneous complex networks. Appl. Math. Comput. 2019, 359, 374–385. [Google Scholar] [CrossRef]
  40. Kenett, D.Y.; Havlin, S. Network science: A useful tool in economics and finance. Mind Soc. 2015, 14, 155–167. [Google Scholar] [CrossRef]
  41. Coyte, K.Z.; Schluter, J.; Foster, K.R. The ecology of the microbiome: Networks, competition, and stability. Science 2015, 350, 663–666. [Google Scholar] [CrossRef]
  42. Guo, H.; Wang, Z.; Sun, S.; Xia, C. Interplay between epidemic spread and information diffusion on two-layered networks with partial mapping. Phys. Lett. A 2021, 398, 127282. [Google Scholar] [CrossRef]
  43. Gold, B.; Morgan, N.; Ellis, D. Speech and Audio Signal Processing: Processing and Perception of Speech and Music; John Wiley & Sons: Hoboken, NJ, USA, 2011. [Google Scholar]
Figure 1. Policy incentive–enterprise innovation consciousness–technology diffusion-coupled multiplex network diagram.
Figure 1. Policy incentive–enterprise innovation consciousness–technology diffusion-coupled multiplex network diagram.
Mathematics 12 02078 g001
Figure 2. The node state transition process in layer II and layer III. The left figure is the state transition process of the nodes in layer II. The right figure is the state transition process of the nodes in layer III.
Figure 2. The node state transition process in layer II and layer III. The left figure is the state transition process of the nodes in layer II. The right figure is the state transition process of the nodes in layer III.
Mathematics 12 02078 g002
Figure 3. An explanation of the role of local state ratio α in the model. Only when the ratio of the number of C(I) neighbors of the U(R) node to its total number of neighbors reaches the threshold α can the unconscious (passive) node become a conscious (neutral) node.
Figure 3. An explanation of the role of local state ratio α in the model. Only when the ratio of the number of C(I) neighbors of the U(R) node to its total number of neighbors reaches the threshold α can the unconscious (passive) node become a conscious (neutral) node.
Mathematics 12 02078 g003
Figure 4. State transition probability tree of technology diffusion. The same color indicates the same node state.
Figure 4. State transition probability tree of technology diffusion. The same color indicates the same node state.
Mathematics 12 02078 g004
Figure 5. (a) Monte Carlo (MC) and MMCA simulations of the final positive enterprise scale ϕ b I and the passive enterprise scale ϕ b R of innovative technology under different diffusion rates β U . (b) The numerical differences of the Monte Carlo (MC) and MMCA simulations. The relevant parameters were set as θ = 0.1, η = 0.6, μ = 0.2, α = 0.3, and λ = 1.5.
Figure 5. (a) Monte Carlo (MC) and MMCA simulations of the final positive enterprise scale ϕ b I and the passive enterprise scale ϕ b R of innovative technology under different diffusion rates β U . (b) The numerical differences of the Monte Carlo (MC) and MMCA simulations. The relevant parameters were set as θ = 0.1, η = 0.6, μ = 0.2, α = 0.3, and λ = 1.5.
Mathematics 12 02078 g005
Figure 6. When the policy incentive intensity θ = 0 and θ = 0.1 , the relationship between the final positive state scale ϕ b I of innovative technology b, the positive state scale ϕ a I of technology a, and the technology diffusion rate β U is as shown. From left to right, the figure shows the interdependence, competition, and decoupling relationship. The remaining relevant parameters were set as η = 0.6, μ = 0.2, α = 0.2, and λ = 1.5.
Figure 6. When the policy incentive intensity θ = 0 and θ = 0.1 , the relationship between the final positive state scale ϕ b I of innovative technology b, the positive state scale ϕ a I of technology a, and the technology diffusion rate β U is as shown. From left to right, the figure shows the interdependence, competition, and decoupling relationship. The remaining relevant parameters were set as η = 0.6, μ = 0.2, α = 0.2, and λ = 1.5.
Mathematics 12 02078 g006
Figure 7. The relationship between the final positive diffusion scale ϕ b I of innovative technology b and the diffusion rate β U . (a-1) ϕ a I = 0.3 , θ = 0 . (b-1) ϕ a I = 0.5 , θ = 0 . (c-1) ϕ a I = 0.7 , θ = 0 . (a-2) ϕ a I = 0.3 , θ = 0.3 . (b-2) ϕ a I = 0.5 , θ = 0.3 . (c-2) ϕ a I = 0.7 , θ = 0.3 . (a-3) ϕ a I = 0.3 , θ = 0.6 . (b-3) ϕ a I = 0.5 , θ = 0.6 . (c-3) ϕ a I = 0.7 , θ = 0.6 . The remaining parameters were set to η = 0.6 , μ = 0.2 , α = 0.2 , and λ = 1.5 .
Figure 7. The relationship between the final positive diffusion scale ϕ b I of innovative technology b and the diffusion rate β U . (a-1) ϕ a I = 0.3 , θ = 0 . (b-1) ϕ a I = 0.5 , θ = 0 . (c-1) ϕ a I = 0.7 , θ = 0 . (a-2) ϕ a I = 0.3 , θ = 0.3 . (b-2) ϕ a I = 0.5 , θ = 0.3 . (c-2) ϕ a I = 0.7 , θ = 0.3 . (a-3) ϕ a I = 0.3 , θ = 0.6 . (b-3) ϕ a I = 0.5 , θ = 0.6 . (c-3) ϕ a I = 0.7 , θ = 0.6 . The remaining parameters were set to η = 0.6 , μ = 0.2 , α = 0.2 , and λ = 1.5 .
Mathematics 12 02078 g007
Figure 8. When the policy incentive intensity θ is different, the relationship between the final positive diffusion scale ϕ b I of innovative technology b and the positive diffusion scale ϕ a I of the original technology a is as shown. (a) θ = 0 . (b) θ = 0.3 . (c) θ = 0.6 . The other parameters were set to β U = 1 , η = 0.6 , μ = 0.2 , α = 0.2 , and λ = 1.5 .
Figure 8. When the policy incentive intensity θ is different, the relationship between the final positive diffusion scale ϕ b I of innovative technology b and the positive diffusion scale ϕ a I of the original technology a is as shown. (a) θ = 0 . (b) θ = 0.3 . (c) θ = 0.6 . The other parameters were set to β U = 1 , η = 0.6 , μ = 0.2 , α = 0.2 , and λ = 1.5 .
Mathematics 12 02078 g008
Figure 9. When the policy incentive intensity θ = 0 and θ = 0.1 , the relationship between the final positive diffusion scale ϕ b I of innovative technology b, the local state ratio α , and the technology diffusion rate β U is as shown. From left to right, the figure represents decoupling, interdependence, and competition. The other parameters were set to ϕ a I = 0.7, η = 0.6, μ = 0.2, and λ = 1.5.
Figure 9. When the policy incentive intensity θ = 0 and θ = 0.1 , the relationship between the final positive diffusion scale ϕ b I of innovative technology b, the local state ratio α , and the technology diffusion rate β U is as shown. From left to right, the figure represents decoupling, interdependence, and competition. The other parameters were set to ϕ a I = 0.7, η = 0.6, μ = 0.2, and λ = 1.5.
Mathematics 12 02078 g009
Figure 10. Under different policy incentives θ , the relationship between the final positive enterprise scale ϕ b I , the final passive enterprise scale ϕ b R , and the diffusion rate β U of innovative technology is as shown. (a) When α = 0.3 , the relationship between β U and ϕ b I . (b) When α = 0.6 , the relationship between β U and ϕ b I . (c) When α = 0.3 , the relationship between β U and ϕ b R . (d) When α = 0.6 , the relationship between β U and ϕ b R . Other parameters are η = 0.6 , μ = 0.2 , and λ = 1.5 .
Figure 10. Under different policy incentives θ , the relationship between the final positive enterprise scale ϕ b I , the final passive enterprise scale ϕ b R , and the diffusion rate β U of innovative technology is as shown. (a) When α = 0.3 , the relationship between β U and ϕ b I . (b) When α = 0.6 , the relationship between β U and ϕ b I . (c) When α = 0.3 , the relationship between β U and ϕ b R . (d) When α = 0.6 , the relationship between β U and ϕ b R . Other parameters are η = 0.6 , μ = 0.2 , and λ = 1.5 .
Mathematics 12 02078 g010
Figure 11. Under different λ values, the relationship between the final positive diffusion scale ϕ b I and the final passive diffusion scale ϕ b R of innovative technology with respect to the diffusion rate β U is as shown. (a) When θ = 0.3 and α = 0.3 , the relationship between β U and ϕ b I . (b) When θ = 0.6 and α = 0.6 , the relationship between β U and ϕ b I . (c) When θ = 0.3 and α = 0.3 , the relationship between β U and ϕ b R . (d) When θ = 0.6 and α = 0.6 , the relationship between β U and ϕ b R . We fixed parameters η = 0.6 and μ = 0.2 and then took parameters θ = 0.3 , 0.6 , and α = 0.3 , 0.6 .
Figure 11. Under different λ values, the relationship between the final positive diffusion scale ϕ b I and the final passive diffusion scale ϕ b R of innovative technology with respect to the diffusion rate β U is as shown. (a) When θ = 0.3 and α = 0.3 , the relationship between β U and ϕ b I . (b) When θ = 0.6 and α = 0.6 , the relationship between β U and ϕ b I . (c) When θ = 0.3 and α = 0.3 , the relationship between β U and ϕ b R . (d) When θ = 0.6 and α = 0.6 , the relationship between β U and ϕ b R . We fixed parameters η = 0.6 and μ = 0.2 and then took parameters θ = 0.3 , 0.6 , and α = 0.3 , 0.6 .
Mathematics 12 02078 g011aMathematics 12 02078 g011b
Disclaimer/Publisher’s Note: The statements, opinions and data contained in all publications are solely those of the individual author(s) and contributor(s) and not of MDPI and/or the editor(s). MDPI and/or the editor(s) disclaim responsibility for any injury to people or property resulting from any ideas, methods, instructions or products referred to in the content.

Share and Cite

MDPI and ACS Style

Wang, J.; Hu, R.; Xu, H. Coupled Simultaneous Evolution of Policy, Enterprise Innovation Awareness, and Technology Diffusion in Multiplex Networks. Mathematics 2024, 12, 2078. https://doi.org/10.3390/math12132078

AMA Style

Wang J, Hu R, Xu H. Coupled Simultaneous Evolution of Policy, Enterprise Innovation Awareness, and Technology Diffusion in Multiplex Networks. Mathematics. 2024; 12(13):2078. https://doi.org/10.3390/math12132078

Chicago/Turabian Style

Wang, Jingyi, Rui Hu, and Hua Xu. 2024. "Coupled Simultaneous Evolution of Policy, Enterprise Innovation Awareness, and Technology Diffusion in Multiplex Networks" Mathematics 12, no. 13: 2078. https://doi.org/10.3390/math12132078

APA Style

Wang, J., Hu, R., & Xu, H. (2024). Coupled Simultaneous Evolution of Policy, Enterprise Innovation Awareness, and Technology Diffusion in Multiplex Networks. Mathematics, 12(13), 2078. https://doi.org/10.3390/math12132078

Note that from the first issue of 2016, this journal uses article numbers instead of page numbers. See further details here.

Article Metrics

Back to TopTop