Analysis of Nonlinear Vibration Characteristics and Whirl Behavior of Dual-Rotor Systems with Inter-Shaft Rub Impact
Abstract
1. Introduction
2. Modeling of Inter-Shaft Rub-Impact Dynamics in Dual-Rotor Systems
2.1. Finite Element Dynamic Equations
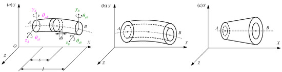
2.2. Inter-Shaft Rub-Impact Force Model
3. Analysis of Vibration Characteristics of Inter-Shaft Rub-Impact Fault in Dual-Rotor System
3.1. Natural Characteristics of the Dual-Rotor System
3.2. Analysis of the Influence of Inter-Shaft Rub-Impact Parameters on System Vibration Characteristics
3.2.1. Influence of Rubbing Stiffness on System
3.2.2. Impact of Friction Coefficient on the System
4. Analysis of Inter-Shaft Rub-Impact Fault Whirl Behavior Based on Full-Spectrum Method
4.1. Analysis of Whirl Behavior in Unbalanced Dual-Rotor Systems
4.2. Analysis of Whirl Behavior in Dual-Rotor Systems with Inter-Shaft Rub-Impact Faults
5. Inter-Shaft Rub-Impact Test
6. Conclusions
- (1)
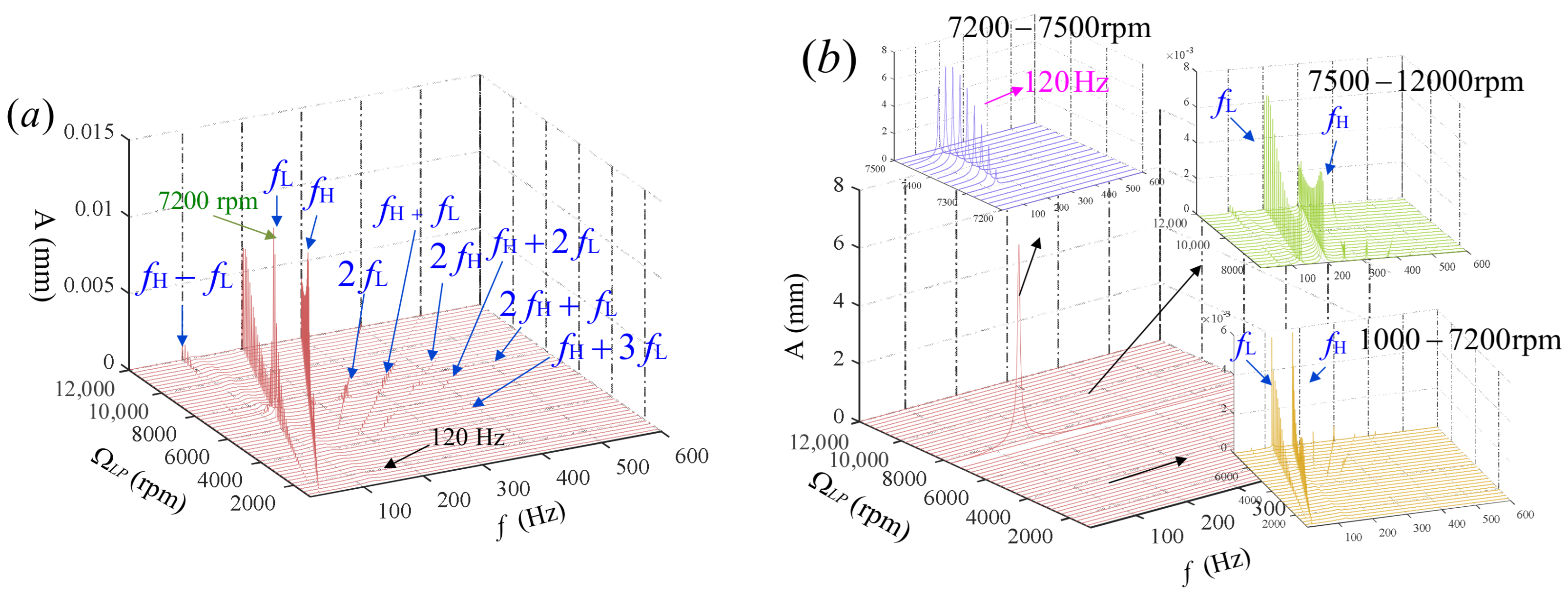
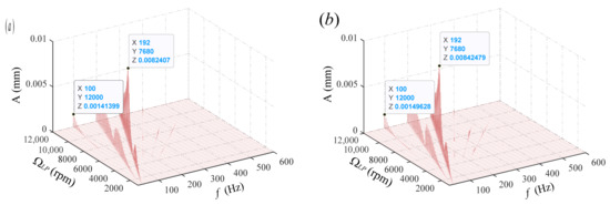
- The occurrence of inter-shaft rub-impact faults is equivalent to increasing the structural stiffness of the rotor system, leading to a shift in the system’s resonance speed points. This viewpoint is also explicitly reflected in reference [21]. In the displacement response spectrum of the HP-compressor disk, multiple frequency and combination frequency components, such as , , , , , , and appear. In Section 5 of this paper, this finding was verified through the test;
- (2)
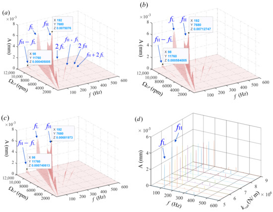
- As the inter-shaft rub-impact stiffness increases, the amplitude of the high-pressure rotor’s whirl frequency shows a decreasing trend. This indicates that, under stable rotor operation, inter-shaft rub-impact faults constrain the vibration displacement of the high-pressure rotor. Compared to the rub-impact stiffness, the friction coefficient has a more pronounced effect on the response variation. When the dual rotors are in a state of co-rotation, with an increase in the friction coefficient, inter-shaft rub impact is no longer limited to intermittent rubbing; instead, continuous rubbing will occur within each rub cycle. This can easily lead to a self-excited vibration of the rotor. When the self-excited vibration frequency is the same as the rotational frequency, the amplitude will increase sharply, directly causing the system to become unstable, which poses a significant risk to the system;
- (3)
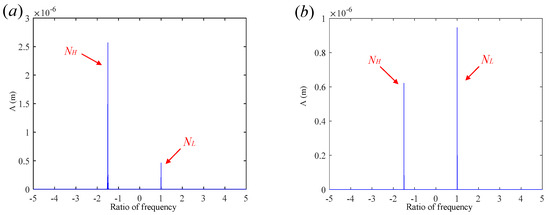
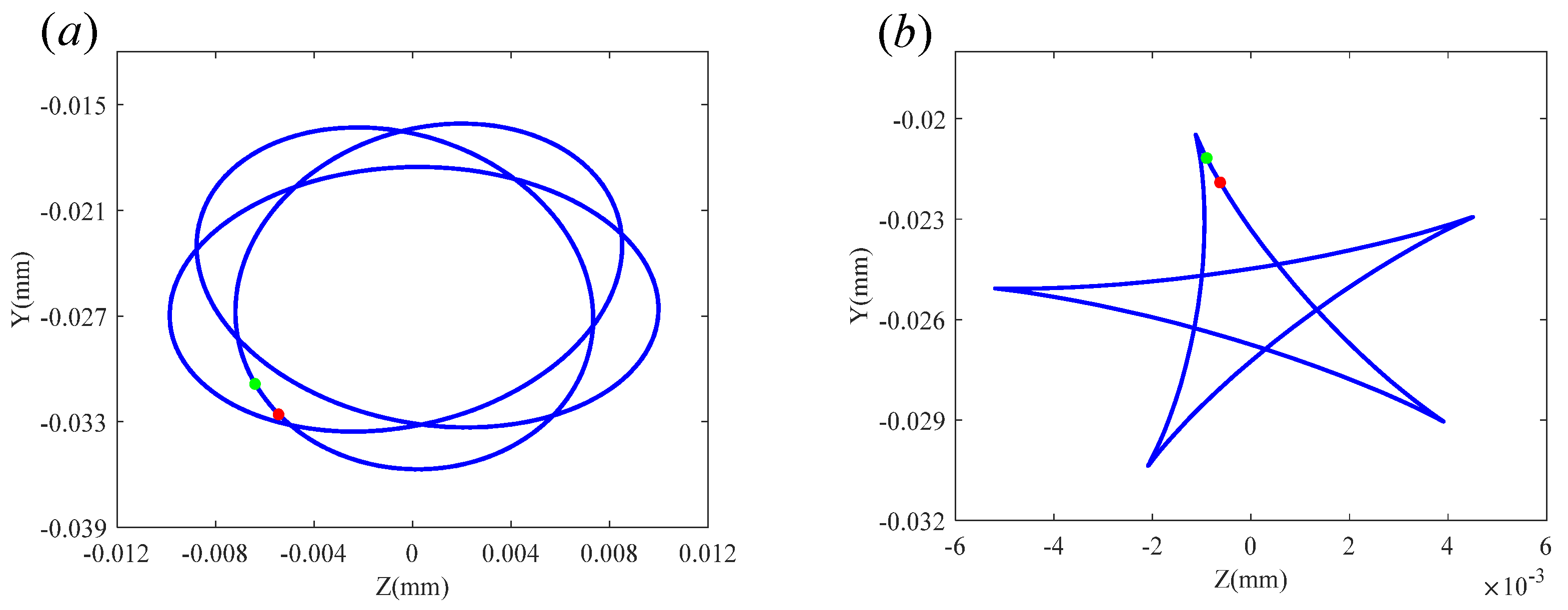
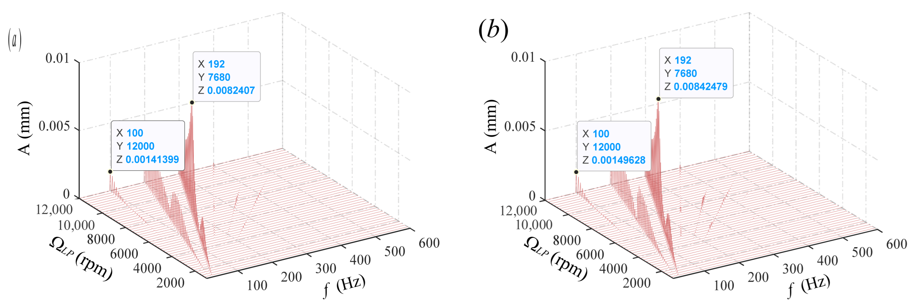
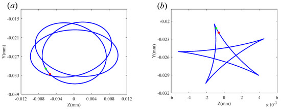
- Under unbalanced excitation, the full-spectrum graph of the dual-rotor system shows only NL and NH frequency components. In a co-rotating dual-rotor system, no backward whirl behavior occurs during acceleration, while in a counter-rotating dual-rotor system, backward whirl behavior does occur. This finding is validated by comparing it with the shaft center trajectory graph. The results obtained in this study exhibit a high degree of consistency with those in reference [16];
- (4)
- The inter-shaft rub-impact fault has the most significant impact on the whirl behavior of the LP-compressor disk1, while the full-spectrum response of other disks is still dominated by unbalanced excitation. During the acceleration of the LP rotor from 1000 rpm to 12,000 rpm, disk1 undergoes multiple changes in the whirl direction. The inter-shaft rub-impact fault makes the dynamic coupling of the dual-rotor system more complex, which is a significant factor in generating high-amplitude backward whirl frequencies.
Author Contributions
Funding
Data Availability Statement
Conflicts of Interest
References
- Prabith, K.; Krishna, I.R.P. The Numerical Modeling of Rotor–Stator Rubbing in Rotating Machinery: A Comprehensive Review. Nonlinear Dyn. 2020, 101, 1317–1363. [Google Scholar] [CrossRef]
- Wang, W.; Li, Q.; Gao, J.; Yao, J.; Allaire, P. An Identification Method for Damping Ratio in Rotor Systems. Mech. Syst. Signal Process. 2016, 68–69, 536–554. [Google Scholar] [CrossRef]
- Yu, P.; Chen, G. Nonlinear Modal Analysis and Its Application on Prediction of Resonance Speed for a Rotor–Stator Rubbing System. J. Braz. Soc. Mech. Sci. Eng. 2021, 43, 209. [Google Scholar] [CrossRef]
- Shan, Y.; Liu, X.; He, T.; Li, Q. Research on the Finite Element Impact-Contact Analytical Model of Dual-Rotor System and its Diagnosis Method. J. Aerosp. Power 2005, 20, 789–794. [Google Scholar] [CrossRef]
- Zhu, R.; Wang, G.; Han, Q.; Zhao, A.; Ren, J.; Xia, X. Dynamic Characteristics and Experimental Research of a Two-Span Rotor-Bearing System with Rub-Impact Fault. Shock Vib. 2019, 2019, 6309809. [Google Scholar] [CrossRef]
- Ma, H.; Wu, Z.; Tai, X.; Wen, B. Dynamic characteristic analysis of rotor-blade-casing system with rub-impact fault. J. Aerosp. Power 2015, 30, 1950–1957. [Google Scholar] [CrossRef]
- Ma, H.; Lu, Y.; Wu, Z.; Tai, X.; Li, H.; Wen, B. A New Dynamic Model of Rotor–Blade Systems. J. Sound Vib. 2015, 357, 168–194. [Google Scholar] [CrossRef]
- Ma, H.; Yin, F.; Wu, Z.; Tai, X.; Wen, B. Nonlinear Vibration Response Analysis of a Rotor-Blade System with Blade-Tip Rubbing. Nonlinear Dyn. 2016, 84, 1225–1258. [Google Scholar] [CrossRef]
- Yang, Y.; Tang, J.; Chen, G.; Yang, Y.; Cao, D. Rub-Impact Investigation of a Single-Rotor System Considering Coating Effect and Coating Hardness. J. Vib. Eng. Technol. 2021, 9, 491–505. [Google Scholar] [CrossRef]
- Yang, Y.; Ouyang, H.; Yang, Y.; Cao, D.; Wang, K. Vibration Analysis of a Dual-Rotor-Bearing-Double Casing System with Pedestal Looseness and Multi-Stage Turbine Blade-Casing Rub. Mech. Syst. Signal Process. 2020, 143, 106845. [Google Scholar] [CrossRef]
- Yang, Y.; Zhang, Y.; Zeng, J.; Ma, H.; Yang, Y.; Cao, D. Insight on Uncertainty of Geometrically Nonlinear Rotor with Rub-Impact under Maneuvering Motion. J. Sound Vib. 2024, 570, 118018. [Google Scholar] [CrossRef]
- Kang, Y.; Cao, S.; Gao, T.; You, Z. Development and Validation of a Rotating Blade-Casing Rubbing Model by Considering the Blade Deformation and Abradable Coating. J. Sound Vib. 2023, 563, 117853. [Google Scholar] [CrossRef]
- Wang, N.; Jiang, D.; Xu, H. Effects of Rub-Impact on Vibration Response of a Dual-Rotor System-Theoretical and Experimental Investigation. Exp. Tech. 2020, 44, 299–311. [Google Scholar] [CrossRef]
- Prabith, K.; Krishna, P. Influence of Squeeze Film Damper on the Rub-Impact Response of a Dual-Rotor Model. In Proceedings of the Vibration Engineering and Technology of Machinery; Springer: Singapore, 2023; Volume I, pp. 577–597. [Google Scholar]
- Kang, Y.; Cao, S.; Hou, Y.; Chen, N. Analysis of Backward Whirling Characteristics of a Dual-Rotor System Caused by Unbalance. Measurement 2022, 203, 111982. [Google Scholar] [CrossRef]
- Kang, Y.; Cao, S.; Hou, Y.; You, Z.; Ma, Q. Analysis of Backward Whirl Characteristics of Rubbing Dual-Rotor Systems. Acta Mech. 2023, 234, 5269–5299. [Google Scholar] [CrossRef]
- Hou, G.; Su, H.; Huang, Y.; Chen, C. An Analysis Method of Pressure Characteristic for Cylindrical Inter-shaft Gas Film Seal Considering Centrifugal Expansion, Rotor Misalignment, and Precession. Proc. Inst. Mech. Eng. Part J J. Eng. Tribol. 2022, 236, 935–945. [Google Scholar] [CrossRef]
- Song, Z.; Li, S.; Chen, X.; Liu, Z.; Zhao, T.; Huang, B. Study on the Service Performance of a Two-Stage Floating-Ring Isolation Seal for a High-Speed Turbopump with a Cryogenic Medium. Machines 2023, 11, 373. [Google Scholar] [CrossRef]
- Gao, J.; Zhao, T.; Wu, S.; Ouyang, Y.; Niu, X.; Zheng, Q. Advances in aerodynamics of power turbines for marine and aviation applications. Proc. Inst. Mech. Eng. Part C J. Mech. Eng. Sci. 2023, 237, 5231–5246. [Google Scholar] [CrossRef]
- He, J.; Guo, X.; Wu, Y.; Qiao, B. Failure Study on Rubbing Interaction between Rotors of Dual-rotor System. Mech. Res. Appl. 2015, 28, 63–65. [Google Scholar] [CrossRef]
- Yu, P.; Wang, C.; Hou, L.; Chen, G. Dynamic Characteristics of an Aeroengine Dual-Rotor System with Inter-Shaft Rub-Impact. Mech. Syst. Signal Process. 2022, 166, 108475. [Google Scholar] [CrossRef]
- Yu, P.; Hou, L.; Wang, C.; Chen, G. Insights into the Nonlinear Behaviors of Dual-Rotor Systems with Inter-Shaft Rub-Impact under Co-Rotation and Counter-Rotation Conditions. Int. J. Non-Linear Mech. 2022, 140, 103901. [Google Scholar] [CrossRef]
- Ling, W.; Wang, C. Nonlinear Dynamics of Dual-Rotor System in Aero-Engine under Rub-Impact Between Shafts. J. Propuls. Technol. 2023, 44, 176–188. [Google Scholar] [CrossRef]
- Bian, J.; Mei, Q.; Chen, Y.; Xu, Y.; Peng, C. Feature Extraction of Rub Impact Fault Between High and Low Pressure Rotors of Aero-Engine. J. Propuls. Technol. 2022, 43, 347–354. [Google Scholar] [CrossRef]
- Fei, Z.; Tong, S.; Wei, C. Investigation of the Dynamic Characteristics of a Dual Rotor System and Its Start-up Simulation Based on Finite Element Method. J. Zhejiang Univ. Sci. A 2013, 14, 268–280. [Google Scholar] [CrossRef]
- Yamamoto, T.; Ishida, Y. Linear and Nonlinear Rotordynamics: A Modern Treatment with Applications; Wiley-VCH: Weinheim, Germany, 2013. [Google Scholar] [CrossRef]
- Edney, S.L.; Fox CH, J.; Williams, E.J. Tapered Timoshenko finite elements for rotor dynamics analysis. J. Sound Vib. 1990, 137, 463–481. [Google Scholar] [CrossRef]
- He, P.; Liu, Z.; Li, C. An Improved Beam Element for Beams with Variable Axial Parameters. Shock Vib. 2013, 20, 708910. [Google Scholar] [CrossRef]
- Jin, Y.; Lu, K.; Huang, C.; Hou, L.; Chen, Y. Nonlinear Dynamic Analysis of a Complex Dual Rotor-Bearing System Based on a Novel Model Reduction Method. Appl. Math. Model. 2019, 75, 553–571. [Google Scholar] [CrossRef]





















| Name | Parameter | Value |
|---|---|---|
| Disk | Mass md1, md2, md3, md4 (kg) Diameter moment of inertia Jd1, Jd2, Jd3, Jd4 (kg∙m2) Polar moment of inertia Jp1, Jp2, Jp3, Jp4 (kg∙m2) | 9.683, 9.139, 9.683, 9.139 0.242, 0.228, 0.242, 0.228 0.484, 0.456, 0.484, 0.456 |
| Shaft length | LP shaft (m) HP shaft (m) | 0.6 0.3 |
| Shaft diameter | DLP, (DHPi, DHPo) (m) | 0.022, (0.026,0.038), (0.040,0.052) |
| Shaft material | Density(kg/m3) Young’s modulus (Gpa) Poisson’s ratio | 7850 210 0.3 |
| Support | Support stiffness kb1, kb2, kb3, kb4, kb5 (N/m) Support damping coefficient cb1, cb2, cb3, cb4, cb5(N∙s/m) | 2.6 × 107,1.75 × 107,1.75 × 107,0.5 × 107,8.75 × 106 1.1 × 103, 1.1 × 103, 1.1 × 103, 1.1 × 103, 1.1 × 103 |
| Order | Point | Critical Speeds of Dual-Rotor System (rpm) | Excitation Source | |
|---|---|---|---|---|
| Co-Rotation | Counter-Rotation | |||
| 1 | A | HP rotor | ||
| B | LP rotor | |||
| 2 | C | HP rotor | ||
| D | LP rotor | |||
| 3 | E | HP rotor | ||
| F | LP rotor | |||
Disclaimer/Publisher’s Note: The statements, opinions and data contained in all publications are solely those of the individual author(s) and contributor(s) and not of MDPI and/or the editor(s). MDPI and/or the editor(s) disclaim responsibility for any injury to people or property resulting from any ideas, methods, instructions or products referred to in the content. |
© 2024 by the authors. Licensee MDPI, Basel, Switzerland. This article is an open access article distributed under the terms and conditions of the Creative Commons Attribution (CC BY) license (https://creativecommons.org/licenses/by/4.0/).
Share and Cite
Wang, Z.; Sun, R.; Liu, Y.; Yao, Y.; Tian, J. Analysis of Nonlinear Vibration Characteristics and Whirl Behavior of Dual-Rotor Systems with Inter-Shaft Rub Impact. Mathematics 2024, 12, 1436. https://doi.org/10.3390/math12101436
Wang Z, Sun R, Liu Y, Yao Y, Tian J. Analysis of Nonlinear Vibration Characteristics and Whirl Behavior of Dual-Rotor Systems with Inter-Shaft Rub Impact. Mathematics. 2024; 12(10):1436. https://doi.org/10.3390/math12101436
Chicago/Turabian StyleWang, Zhi, Rui Sun, Yu Liu, Yudong Yao, and Jing Tian. 2024. "Analysis of Nonlinear Vibration Characteristics and Whirl Behavior of Dual-Rotor Systems with Inter-Shaft Rub Impact" Mathematics 12, no. 10: 1436. https://doi.org/10.3390/math12101436
APA StyleWang, Z., Sun, R., Liu, Y., Yao, Y., & Tian, J. (2024). Analysis of Nonlinear Vibration Characteristics and Whirl Behavior of Dual-Rotor Systems with Inter-Shaft Rub Impact. Mathematics, 12(10), 1436. https://doi.org/10.3390/math12101436

