Next Article in Journal
An Age–Period–Cohort Framework for Profit and Profit Volatility Modeling
Next Article in Special Issue
Double-Observer-Based Bumpless Transfer Control of Switched Positive Systems
Previous Article in Journal
Eigenvalue Distributions in Random Confusion Matrices: Applications to Machine Learning Evaluation
Previous Article in Special Issue
The Strictly Dissipative Condition of Continuous-Time Markovian Jump Systems with Uncertain Transition Rates
 
 
Font Type:
Arial Georgia Verdana
Font Size:
Aa Aa Aa
Line Spacing:
Column Width:
Background:
Article

Cooperative Adaptive Fuzzy Control for the Synchronization of Nonlinear Multi-Agent Systems under Input Saturation

College of Science, Liaoning University of Technology, Shiying, Jinzhou 121001, China
*
Author to whom correspondence should be addressed.
Mathematics 2024, 12(10), 1426; https://doi.org/10.3390/math12101426
Submission received: 16 April 2024 / Revised: 3 May 2024 / Accepted: 5 May 2024 / Published: 7 May 2024

Abstract

This research explores the synchronization issue of leader–follower systems with multiple nonlinear agents, which operate under input saturation constraints. Each follower operates under a spectrum of unknown dynamic nonlinear systems with non-strict feedback. Additionally, due to the fact that the agents may be geographically dispersed or have different communication capabilities, only a subset of followers has direct communication with the leader. Compared to linear systems, nonlinear systems can provide a more detailed description of real-world physical models. However, input saturation is present in most real systems, due to various factors such as limited system energy and the physical constraints of the actuators. An auxiliary system of Nth order is introduced to counteract the impact of input saturation, which is then employed to create a collaborative controller. Due to the powerful capability of fuzzy logic systems in simulating complex nonlinear relationships, they are deployed to approximate the enigmatic nonlinear functions intrinsic to the systems. A distributed adaptive fuzzy state feedback controller is designed by approximating the derivative of the virtual controller by filters. The proposed controller ensures the synchronization of all follower outputs with the leader output in the communication graph. It is shown that all signals in the closed-loop system are semi-globally uniformly ultimately bounded, and the tracking errors converge to a small neighborhood around the origin. Finally, a numerical example is given to demonstrate the effectiveness of the proposed approach.

1. Introduction

As artificial intelligence advances, the analysis of consistency in multi-agent systems is considered as a core and significant issue in distributed collaborative control [1,2,3]. It refers to the adjustment of individual agent behaviors through local communication and collaboration to achieve the effect of having the same state for each agent. Consistency control is the foundation of multi-agent collaborative control, and it involves depicting the communication process between individuals using communication graphs that represent the information exchange between neighboring agents. Ultimately, a feasible distributed consistency control protocol is designed. Ma et al. [4] investigates the impact of agent dynamics and communication network on multi-agent consistency. By designing a distributed observer of the external system, Su et al. [5] solves the challenge of collaborative output adjustment synchronization of a linear multi-agent system through the dynamic total information control law. Zhang et al. [6] expands the application of event-triggered methods to linear multi-agent systems. However, the aforementioned linear models can only adapt to systems with simple linear relationships, and they may introduce errors when describing complex nonlinear systems. This limitation prevents linear models from fully capturing the true behavior of the system.
Compared to linear systems [7,8], nonlinear systems can provide a more detailed description of real-world physical models. Nonlinear systems exhibit more complex characteristics, like the existence of several distinct equilibrium states. Models obtained through linearization methods can only reflect the local behavior of nonlinear systems, and the robustness of feedback controllers is often compromised. Therefore, recently, there has been a notable surge in scholarly interest directed towards the development of control strategies for nonlinear systems. Dong et al. [9] crafted a multi-agent system afflicted by dead-zone phenomena, and devised a controller that is tailored to mitigate system failures, in which the uncertain parameters of the dead-zone model are estimated through the utilization of Nussbaum functions. Liu et al. [10] applied an event-triggered control strategy to ensure that the managed system achieves an equilibrium state within a predetermined time frame. This method achieves semi-global boundedness of system signals within a fixed time. The methods mentioned by Chen et al. [11] utilize neural networks to approximate unknown nonlinearities in a system. By training the neural network as a model, it can learn and represent the nonlinear behavior of the system; this approach gives the controller the ability to learn online, and uses a continuous adaptation method to modify the neural network model to better match the system’s nonlinear dynamics, based on real-time observations of its behavior. Verrelli et al. [12] solves the challenge of creating a simplified adaptive learning control system with state feedback by incorporating a method featuring a single adaptive learning estimator for a signal in the upper component and the addition of a term in the input path.
On the other hand, in practical industrial applications, input saturation is almost present in all real systems due to various factors such as limited system energy, the physical constraints of the actuators, and so on. For example, control amplitudes of ships and satellites are limited, motor speeds are constrained, and the output voltage and current of power equipment are restricted. If input saturation is not properly handled, it can lead to poor system control performance, and even disrupt system stability, resulting in serious accidents. Therefore, input saturation is of utmost importance, both in theoretical research and practical applications. Ren et al. [13] focuses on a group of nonlinear systems that operate under input saturation constraints. The approach employs an auxiliary system to estimate and counteract the discrepancy between the saturated and intended inputs. Furthermore, a disturbance estimator is developed to mimic the effects of unknown nonlinear disturbances within the system, resulting in enhanced control efficacy. Ni et al. [14] centers on a category of linear systems that experience input saturation. It transforms event triggering and saturated inputs into standard linear matrix equations, and provides the upper and lower bounds for the event-triggering time intervals.
In essence, this paper addresses a class of nonlinear multi-agent systems that take into account saturated inputs, with the aim of achieving consensus among all agents. Based on an adaptive fuzzy logic approximation method, a control approach is designed. Adopting the backstepping approach, the ultimate controller is crafted following n iterations, which is a nonlinear system design approach that divides the system into subsystems and designs virtual controllers for each subsystem to achieve control of the entire system. A first-order filter is utilized to manage the computational intricacies that arise during the backstepping procedure. To address the challenge of input saturation within the system, a n-order auxiliary system was meticulously designed in alignment with the n-step backstepping approach. Ultimately, by using Lyapunov stability theory, it is proved that the position tracking error will converge to an arbitrarily small neighborhood near the origin. The feasibility of the proposed method was validated through the visualization of the numerical simulation results obtained via MATLAB (https://www.mathworks.com/products/matlab.html).
Compared to existing methods, the motivation and innovations of this paper are as follows.
(1) In [5,6,7,8], these scholarly works have conceptualized controllers that are tailored for application within linear systems. However, linear models can only adapt to systems with simple linear relationships, and may introduce errors when describing complex nonlinear systems. This limitation prevents linear models from fully capturing the true behavior of the systems. This paper examines nonlinear systems characterized by non-strict feedback, relaxes the system’s application conditions, and investigates more realistic nonlinear systems. Nonlinear systems typically exhibit adaptability, allowing them to adjust their behavior based on external conditions and internal changes. This adaptability enhances the robustness of nonlinear systems in handling variations and uncertainties, enabling them to adapt to changes in system parameters.
(2) In [9,10,11,12], the control methods for individual systems were studied, but these papers did not consider the communication status among different entities. However, this paper investigates nonlinear multi-agent systems. By introducing a communication graph in the multi-agent system, it becomes possible to establish information transmission and interaction among followers. Moreover, the leader only requires the dissemination of information to a minimal subset of followers, thereby maintaining the uniformity of outputs across all followers in alignment with the leader.
(3) In [13,14,15,16,17,18,19,20], extensive research has been conducted on control methods for saturated inputs in individual systems. An essential contribution of this paper is the broadened applicability of the proposed control strategy to encompass nonlinear multi-agent systems with input saturation, thereby enhancing the versatility of the proposed method across a wider range of applications.

2. Background Knowledge and Problem Statement

2.1. Graph Theory

Graph theory is utilized to depict the interactions among agents in the network. The directed graph G = V , E , Λ consists of a vertex set V = n 1 , , n N , an edge set E = n i , n j V × V , and an adjacency matrix Λ = a i , j R N × N . The nodes represent the followers, and an edge n i , n j E indicates information flow from agent i to agent j. The neighbor set of node i is denoted by N i = j | n i , n j E . Each element a i , j of Λ is defined as a i , j > 0 , if n i , n j E and a i j = 0 , if n i , n j E . It is assumed that a i i = 0 and the topology is fixed. A directed graph has a spanning tree if there is a root node, such that there is a directed tree if there is a root node, such that there is a directed path from the root node to every other node in the graph. The Laplacian matrix L = L i j R N × N is defined as L i j = a i j if i j ; otherwise, L i j = j N i a i j . Denote degree matrix D = d i a g d 1 , , d N , where d i = j N i a i j .
The leader adjacency matrix is defined as Λ 0 = d i a g a 10 , , a N 0 , where a i 0 > 0 , if and only if follower i can access the leader’s information; otherwise a i 0 = 0 . For the sake of simplicity, denote H = L + Λ 0 .
Lemma 1.
Assume the directed communication graph ℑ contains a spanning tree, and the root agent is in possession of the reference model. Consequently, all eigenvalues of matrix H possess positive real parts.

2.2. FLSs

To address the inherent unknown nonlinearities within the system, we will employ Fuzzy Logic Systems (FLSs). Fuzzy Logic Systems (FLSs) are often used to handle such nonlinear functions and have been shown to achieve good results, which are expressed as follows.
Rule:
R i : I F x 1 i s F 1 i a n d x 2 i s F 2 i a n d x n i s F n i
Then,
y i s G i
where F j i j = 1 , 2 , , n and G i denote fuzzy set. Moreover, x i = x 1 , , x n T and y represent the input and output of FLSs, respectively. Based on this, the FLS is described by
y x = i = 1 N θ i j = 1 n μ F j i x j i = 1 N j = 1 n μ F j i x j
where θ i = max y R μ G i y .
The fuzzy basis functions are defined as
φ i x = j = 1 n μ F j i x j i = 1 N j = 1 n μ F j i x j
where i = 1 , , N . Denote θ T = θ 1 , , θ N , φ x = φ 1 x , , φ N x T , then the equation can be rewritten as
y x = θ T φ i x
Lemma 2.
For the continuous function f x over a com-pact set Ω and any scalar ε > 0 , there exists a FLS, such that
sup x Ω f ( x ) θ T φ ( x ) ε

2.3. Young’s Inequality

Lemma 3.
For any x R n and y R n , a > 1 , b > 1 , c > 0 , and a 1 b 1 = 1 , the following inequality holds:
x T y c a a | x | a + 1 b c b | y | b
Lemma 4.
Defining x p = x 1 , x 2 , x p T , x q = x 1 , x 2 , x q T , when p < q , the basis function φ x satisfies:
φ x q 2 φ x p 2

2.4. System Construction

Consider a multi-agent systems consisting of N followers and a single leader, where the leader’s behavior is represented by a known signal, and the modeling of the i-th follower is as follows:
x ˙ i , k = x i , k + 1 + f i , k x ¯ i , k = 1 , , n i 1 x ˙ i , n = u i v i t + f i , n i ( x i ) y i = x i , 1 , i = 1 , , N
When the state vector of the i-th follower is x ¯ i , n i = x i , 1 , , x i , n i T R n i and its output signal is y i R , f i , k . k = 1 , , n i is an unknown nonlinear function that cannot be described by a specific function among the followers. v i t R is the control input that will be designed by the Lyapunov function later, and u i v i t is the control input affected by the follower’s input saturation.
u i v i t = U i , max , v i t > U i , max v i t , U i , min v i ( t ) U i , max U i , min , v i t < U i , min
When the known bound of u i v i t is u i , max , u i , min . In what follows, u i v i t is abbreviated as u i for brevity.
The control objective of this paper is to design a distributed state fuzzy controller that allows all followers to approach the leader output y r t , and the tracking discrepancy y 1 ¯ y r is confined to a small residual set, in which y = y 1 , , y N T R N , 1 ¯ = 1 , , 1 T R N .
The nonlinear characteristics present in real systems, such as the air resistance encountered during drone flight or the tire slip during the operation of an unmanned vehicle, typically satisfy the Lipschitz condition. This allows for the approximation and modeling of these characteristics using fuzzy logic systems or neural networks. Furthermore, in real systems, the output signals and their derivatives of the leader are often bounded; for instance, the velocity and acceleration of the leader in drone formation flight are bounded. Additionally, there are communication constraints in real systems, such as the limited communication distance and bandwidth between nodes in drone or unmanned vehicle systems. Therefore, it is necessary to design directed communication topologies to ensure that information can propagate from the root node to all other nodes. In summary, we present the following assumptions.
Assumption 1.
There exists a set of predefined constants ρ ¯ i , k i = 1 , , N , k = 1 , , n i , for X 1 , X 2 R k , the following inequality holds
f i , k X 1 f i , k X 2 ρ ¯ i , k X 1 X 2
in which . represents the Euclidean norm of a vector.
Assumption 2.
The output signal of the leader y r t R is a sufficiently smooth function of t, and y r t , y ˙ r t and y ¨ r t are bounded. y r t is available for the root agent.
Assumption 3.
The leader can send signals to the root node’s followers, and the communication topology formed by all followers is a directed graph that contains a spanning tree.

3. The Design of Distributed Fuzzy State Feedback Controller

Nth-order auxiliary system:
χ i , 1 = q i χ i , 2 ρ i , 1 χ i , 1 χ ˙ i , k = χ i , k + 1 ρ i , k χ i , k χ ˙ i , n i = Δ u i ρ i , n i χ i , n i , 2 k n i 1
in which ρ i is design parameter. Moreover, define Δ u i = u i v i t v i t .
Coordinate transformation:
s i , 1 = j N i a i , j ( y i y j ) + a i , 0 ( y i y i , r ) χ i , 1 s i , k = x i , k z i , k χ i , k k = 2 , 3 , , n i y i , k = z i , k α i , k 1
Step 1: Differentiate with respect to s i , 1 .
s ˙ i , 1 = j N i a i , j ( y ˙ i y ˙ j ) + a i , 0 ( y ˙ i y ˙ i , r ) ρ i χ i , 2 + ρ 1 χ 1 = ( d i + a i , 0 ) [ x i , 2 + f i , 1 ( x ¯ i ) ] a i , 0 y ˙ i , r j N i a i , j [ x j , 2 + f i , 1 ( x ¯ j ) ] q i χ i , 2 + ρ i , 1 χ i , 1 = q i [ s i , 2 + y i , 2 + α i , 1 + f i , 1 ( x ¯ i ) ] a i , 0 y ˙ i , r j N i a i , j [ x j , 2 + f i , 1 ( x ¯ j ) ] + ρ i , 1 χ i , 1
Design parameter Θ i , 1 * = θ i , 1 * 2 ( i = 1 , 2 , , n i ) , Θ ^ i , 1 is an estimate of Θ i , 1 * , and Θ ˜ i , 1 = Θ i , 1 * Θ ^ i , 1 , j N i a i , j = d i , q i = d i + a i , 0 .
Construct the Lyapunov function based on the error.
V i , 1 = 1 2 s i , 1 2 + 1 2 Γ i , 1 Θ ˜ i , 1 2
Differentiate ( 12 ) with respect to time and substitute the expressions of ( 7 ) and ( 11 ) into the derivative of ( 12 ) .
V ˙ i , 1 = s i , 1 [ q i ( s i , 2 + y i , 2 + α i , 1 ) a i , 0 y ˙ i , r j N i a i , j x j , 2 + q i f i , 1 ( x ˙ i ) j N i a i , j f j , 1 ( x ¯ j ) + ρ i , 1 χ i , 1 ] 1 Γ i , 1 Θ ˜ i , 1 Θ ^ ˙ i , 1
According to Lemma 3, we have
s i , 1 q i ( s i , 2 + y i , 2 ) 1 2 y i , 2 2 + s i , 1 2 q i 2 + 1 2 s i , 2 2
s i , 1 j N i a i , j x j , 2 1 2 + s i , 1 2 2 j N i a i , j x j , 2 2
Substituting Equations 14 and 15 into Equation 13 ,
V ˙ i , 1 1 2 s i , 2 2 + y i , 2 2 + s i , 1 q i α i , 1 + f i , 1 ( X i ) a i , 0 y ˙ i , r + ρ i , 1 χ i , 1 1 Γ i , 1 Θ ˜ i , 1 Θ ^ ˙ i , 1 + 1 2
where
f ¯ i , 1 ( X i ) = q i f i , 1 ( x ¯ i ) j N i a i , j f j , 1 ( x ¯ j ) + q i 2 s i , 1 + 1 2 s i , 1 j N i a i , j x j , 2 2
Using a fuzzy logic system for estimation, we obtain the following equation:
f ¯ i , 1 ( X i ) = θ i , 1 * T φ i , 1 X i + δ i , 1 δ i , 1 δ i , 1 *
where X i = x i T , x j T , y i , r , y ˙ i , r T , δ i , 1 is the approximation error.
According to Lemmas 3 and 4, we can obtain
s i , 1 θ i , 1 * T φ i , 1 X i + δ i , 1 μ i , 1 2 + s i , 1 2 2 + 1 2 μ i , 1 s i , 1 2 Θ i , 1 * φ i , 1 T ( X i , 1 ) φ i , 1 X i , 1 + δ i , 1 * 2 2
where X i , 1 = x i , 1 T , x j , 1 , y i , r , y ˙ i , r T , μ i , 1 > 0 is the design parameter. Therefore, Equation 16 is rewritten as
V ˙ i , 1 s i , 1 1 2 μ i , 1 s i , 1 Θ ^ i , 1 φ i , 1 T X i , 1 φ i , 1 X i , 1 a i , 0 y ˙ i , r + ρ 1 χ 1 + q i α i , 1 + 1 2 s i , 1 + 1 2 y i , 2 2 1 Γ i , 1 Θ ˜ i , 1 Θ ^ ˙ i , 1 Γ i , 1 2 μ i , 1 s i , 1 2 φ i , 1 T X i , 1 φ X i , 1 + 1 2 s i , 2 2 + D i , 1
where the design parameters are Γ i , 1 > 0 , D i , 1 = μ i , 1 2 + δ i , 1 * 2 + 1 2 .
The designed virtual controller and parameter adaptation law are as follows:
α i , 1 = 1 q i c i , 1 s i , 1 1 2 s i , 1 ρ 1 χ 1 1 2 μ i , 1 s i , 1 Θ ^ i , 1 φ i , 1 T X i , 1 φ i , 1 X i , 1 + a i , 0 y ˙ i , r
Θ ^ ˙ i , 1 = Γ i , 1 2 μ i , 1 s i , 1 2 φ i , 1 T X i , 1 φ i , 1 X i , 1 Γ ¯ i , 1 Θ ^ i , 1
Substituting Equations 19 and 20 into Equation 18 , we have
V ˙ i , 1 c i , 1 s i , 1 2 1 2 s i , 1 2 + 1 2 y i , 2 2 Γ ¯ i , 1 Γ i , 1 Θ ˜ i , 1 Θ ^ i , 1 + 1 2 s i , 2 2 + D i , 1
Design a first-order filter as
τ i , 2 z ˙ i , 2 + z i , 2 = α i , 1 , z i , 2 0 = α i , 2 0
According to y i , 2 = z i , 2 α i , 1 , it can be inferred that z ˙ i , 2 = y i , 2 / τ i , 2
y ˙ i , 2 = z ˙ i , 2 α ˙ i , 1 = y i , 2 τ i , 2 + B i , 2 Θ ^ i , 1 , y i , 2 , y i , r , y ˙ i , r , y ¨ i , r , s i , 1 , s i , 2
Step k k = 2 , 3 , , n 1 . From 7 and 10 , we have
s ˙ i , k = s i , k + 1 + y i , k + 1 + α i , k + f i , k X i
The Lyapunov function constructed based on the error is:
V i , k = 1 2 s i , k 2 + 1 2 Γ i , k Θ ˜ i , k 2 + 1 2 y i , k 2
According to Formula 24 , Equation 25 can be written as
V ˙ i , k = s i , k α i , k + s i , k + 1 + y i , k + 1 + f i , k x ¯ i z ˙ i , k + ρ i , k χ i , k y i , k 2 τ i , k + y i , k B i , k . 1 Γ i , k Θ ˜ i , k Θ ^ i , k
By Lemmas 3 and 4, we obtain
s i , k s i , k + 1 1 2 s i , k 2 + 1 2 s i , k + 1 2
s i , k f i , k x ¯ i 1 2 μ i , k s i , k 2 Θ i , k * φ i , k T X i , k φ i , k X i , k + μ i , k 2 + 1 2 s i , k 2 + 1 2 δ i , k * 2
where X i , k = x i , 1 , x i , 2 , , x i , k T , δ i , k δ i , k * ( δ i , k * is a positive constant), r i , k > 0 and μ i , k > 0 are design parameters.
Substituting 27 and 28 into 26 , we obtain
V ˙ i , k s i , k α i , k + y i , k + 1 z ˙ i , k + ρ i , k χ i , k y i , k 2 τ i , k + y i , k B i , k . 1 Γ i , k Θ ˜ i , k Θ ^ ˙ i , k + 1 2 s i , k 2 + 1 2 s i , k + 1 + 1 2 μ i , k s i , k 2 Θ i , k * φ i , k T X i , k φ i , k X i , k + μ i , k 2 + 1 2 s i , k 2 + 1 2 δ i , k * 2
Design a virtual controller and parameter adaptation law based on Equation 29 .
Θ ^ ˙ i , k = Γ i , k 2 μ i , k s i , k 2 φ i , k T X i , k φ i , k X i , k + Γ ¯ i , k Θ ^ i , k
α i , k = c i , k s i , k 2 s i , k + z ˙ i , k 1 2 μ i , k s i , k Θ ^ i , k φ i , k T X i , k φ X i , k ρ i , k χ i , k
where c i , k , r i , k and r ¯ i , k are positive constant design parameters.
By substituting the adaptive law parameter ( 30 ) and the virtual controller ( 31 ) into the derivative of the Lyapunov function ( 29 ) , we have:
V ˙ i , k c i , k s i , k 2 + s i , k y i , k + 1 Γ ¯ i , k Γ i , k Θ ˜ i , k Θ ^ i , k + 1 2 s i , k + 1 2 s i , k 2 y i , k 2 τ i , k + y i , k B i , k . + D i , k
where D i , k = δ i , k * 2 2 + μ i , k 2 .
Similarly, design a first-order filter
z ˙ i , k + 1 + z i , k + 1 = α i , 1 , z i , k + 1 0 = α i , k 0
From y i , k + 1 = z i , k + 1 α i , k , we have z ˙ i , k + 1 = y i , k + 1 τ i , k + 1 and
y ˙ i , k + 1 = z i , k + 1 τ i , k + 1 + B i , k + 1 S i , k , Y i k + 1 , Θ ¯ i , k , Y i , r
where S i , k = s i , 1 , , s i , k , Y i , k + 1 = y i , 2 , , y i , k + 1 , Θ ¯ i , k = Θ ^ i , 1 , , Θ ^ i , k and Y i , r = y i , r , y ˙ i , r , y ¨ i , r .
Step n i :
From 7 , 9 and 10 , we have
s ˙ i , n i = x ˙ i , n i z ˙ i , n i χ ˙ i , n i = u i + f i , n i x ¯ i z ˙ i , n i Δ u + ρ i , n i χ i , n i = v i + f i , n i x ¯ i z ˙ i , n i + ρ i , n i χ i , n i
The n i th step Lyapunov function designed based on the error is:
V i , n i = 1 2 Γ i , n i Θ ˜ i , n i 2 + 1 2 y i , n i 2 + 1 2 s i , n i 2
Substituting 35 into 36 , we have
V ˙ i , n i s i , n i v i + f i , n i x ¯ i z ˙ i , n i + ρ i , n i χ i , n i 1 Γ i , n i Θ ˜ i , n i Θ ^ ˙ i , n i + y i , n i B i , n i . y i , n i 2 τ i , n i
By Lemmas 3 and 4, we obtain
s i , n i f i , n i x ¯ i 1 2 μ i , n i s i , n i 2 Θ i , n i * φ i , n i T X i , n i φ X i , n i + μ i , n i 2 + 1 2 δ i , n i * 2 + 1 2 s i , n i 2
where X i , n i = x i , 1 , x i , 2 , , x i , n i T , μ i , n i is a positive constant design parameter.
By substituting inequality 38 into inequality 37 , we have
V ˙ i , n i s i , n i v i z ˙ i , n i + ρ i , n i χ i , n i + 1 2 μ i , n i s i , n i 2 Θ i , n i * φ i , n i T X i , n i φ i , n i X i , n i + μ i , n i 2 + 1 2 δ i , n i * 2 + 1 2 s i , n i 2 1 Γ i , n i Θ ˜ i , n i Θ ^ ˙ i , n i + y i , n i B i , n i . y i , n i 2 τ i , n i
The final control law v i t and the adaptive law Θ ^ i , n i for the i-th follower are designed as
v i = c i , n i s i , n i + z ˙ i , n i Θ ^ i , n i φ i , n i T X i , n i φ i , n i X i , n i s i , n i ρ i , n i χ i , n i
Θ ^ ˙ i , n i = Γ i , n i 2 μ i , n i s i , n i φ i , n i T X i , n i φ i , n i X i , n i + Γ ¯ i , n i Θ ^ i , n i
Substituting 40 , 41 into 39 , we obtain
V ˙ i , n i c i , n i s i , n i 2 1 2 s i , n i 2 Γ ¯ i , n i Γ i , n i Θ ˜ i , n i Θ ^ i , n i y i , n i 2 τ i , n i + y i , n i B i , n i . + 1 2 δ i , n i * 2 + μ i , n i 2

4. Stability Analysis

Theorem 1.
For the nonlinear multi-agent system constructed in this paper, System ( 7 ) satisfies Assumptions 1–3, and an output feedback adaptive fuzzy controller as shown in Equation ( 40 ) is constructed, along with a fuzzy adaptive law as shown in Equation ( 41 ) , to achieve output tracking while ensuring that all signals in the control system are SGUUB.
Proof. 
The specific Lyapunov functions employed are ( 12 ) , ( 25 ) and ( 26 ) .
V = V i , 1 + V i , k + V i , n
From ( 16 ) , ( 32 ) and ( 42 ) , we have
V ˙ = V ˙ i , 1 + V ˙ i , k + V ˙ i , n i = 1 N j = 1 n i c i , j s i , j 2 Γ ¯ i , j Γ i , j Θ ˜ i , j Θ ^ i , j + D i , j + j = 2 n i 1 s i , m y i , m + 1 + j = 2 n i y i , l B i , l . y i , j τ i , j + 1 2 y i , 2 2
Θ ˜ i , j Θ ^ i , j 1 2 Θ i , j * 2 1 2 Θ ˜ i , j 2
s i , m y i , m 1 2 s i , m 2 + 1 2 y i , m + 1 2
y i , l B i , l . 1 2 κ i s i , l 2 H i , l 2 + 2 K i , B i , l . H i , l
Substituting 39 41 into 38 , we have
V ˙ i = 1 N j = 1 n i c i , j s i , j 2 + j = 2 n i 1 2 + 1 2 κ i H i , l 2 1 τ i , l y i , l 2
j = 1 n i Γ ¯ i , j 2 Γ i , j Θ ˜ i , j 2 + j = 1 n i D i , j + Γ ¯ i , j 2 Γ i , j Θ i , j * 2 + 2 κ i
where
C = i = 1 N j = 1 n i c i , j , 1 2 + 1 2 κ i H i , l 2 1 τ i , l , Γ ¯ i , j 2 Γ i , j
D = i = 1 N j = 1 n i D i , j + Γ ¯ i , j 2 Γ i , j Θ i , j * 2 + 2 κ i
Therefore,
V ˙ C V 1 + V 2 + V 3 + D C V + D
Below is a proof of the boundedness of χ .
From 43 , we have
0 V D C + V 0 D C e c t
It can be easily obtained from 10 that
j N i a i , j ( y i y j ) + a i , 0 ( y i y i , r ) χ i , 1 2 s i , 1 2 + 2 χ i , 1 2
Inequality 48 implies that V is convergent, thus we have
s i , 1 2 D C + 2 V 0 D C e c t
Consider the Lyapunov function candidate
V i , χ = 1 2 j = 1 n i χ i , j 2
From 9 , we have
V ˙ i , χ P ¯ i V i , χ + 1 2 Δ u i 2
where P ¯ i = min 2 P i , j , j = 1 , 2 , , n i and P i , 1 = ρ i , 1 1 2 q i 2 , P i , j = ρ i , j 1 j = 2 , 3 , , n i ; therefore, we can obtain the bounds for a χ i , 1 ,
χ i , 1 sup 2 0 s ¯ t Δ u s ¯ 2 P ¯ i + 2 V χ 0 sup 2 0 s ¯ t Δ u s ¯ 2 P ¯ i e P ¯ t

5. Simulation Example

Conduct a simulation experiment on a single-link robotic arm (seen in Figure 1) to validate the theoretical results. Based on the system model from the literature [21] and the system parameters from the literature [9], construct the dynamic model of the system.
J l q ¨ i + B i q ˙ i + M i g L i sin q i = u i f t
where i = 1 , 2 , 3 , 4 . The angular position of the link is denoted as the state vector of the system: x i , 1 = q i ; x i , 2 = q ˙ i ; motor damping coefficient: B i ; link mass: M i ; distance from the center of gravity to the rotation axis: L i ; gravity constant: g; moment of inertia: J i .
Consider four intelligent agents in Figure 2, marked as 0, 1, 2, and 3, with the communication topology shown in the figure.
Leader trajectory: y i , r = 0.8 sin ( t ) . The other parameters of the system are: J i = 1 , B i = 2 , M i g L i = 10 .
The initial values of the system are selected as: x i , 1 ( 0 ) = 0.3 , x i , 2 ( 0 ) = 0.1 , other variables are initialized to 0. Auxiliary system parameters: p 1 = 19.75 , p 2 = 85 . Other parameters: ε i , j = 0.01 , c i , 1 = 10.5 , c 1 , 2 = 85.78 , τ i , 2 = 0.98 , μ i = 1 , Γ i , 1 = 0.01 , Γ ¯ i , 1 = 0.01 , Γ i , 2 = 0.01 , Γ ¯ i , 2 = 0.02 , β = 97 / 99 .
From the communication diagram, we have Λ = 0 0 0 1 0 0 1 0 0   j = 0 0 0 1 1 0 1 0 1 .
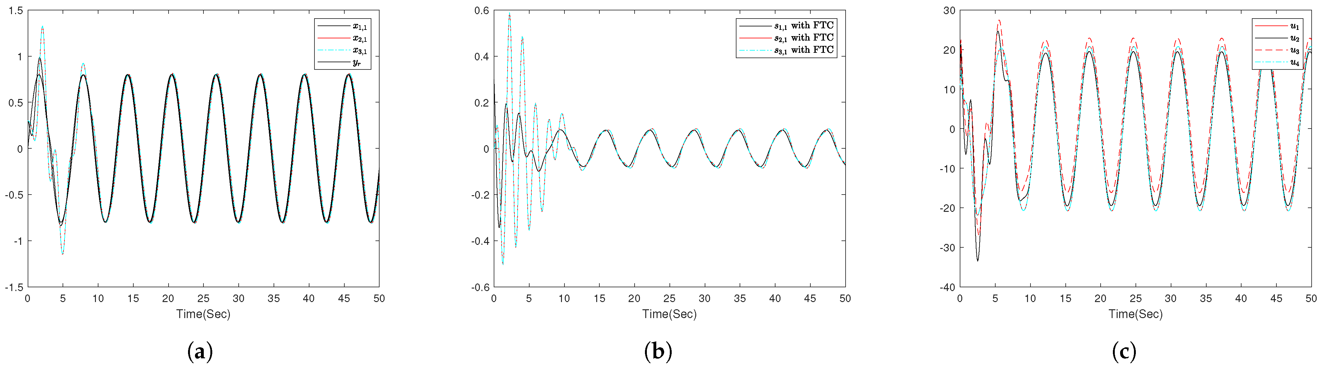
The tracking performance of the anti-saturation method and the non-input saturation handling method are shown in Figure 3 and Figure 4, respectively.
From the simulation results above, it can be observed that, compared to the control method without using the auxiliary system, the control method with the auxiliary system exhibits better tracking performance, with smaller tracking errors, and eliminates the effects of saturated inputs.
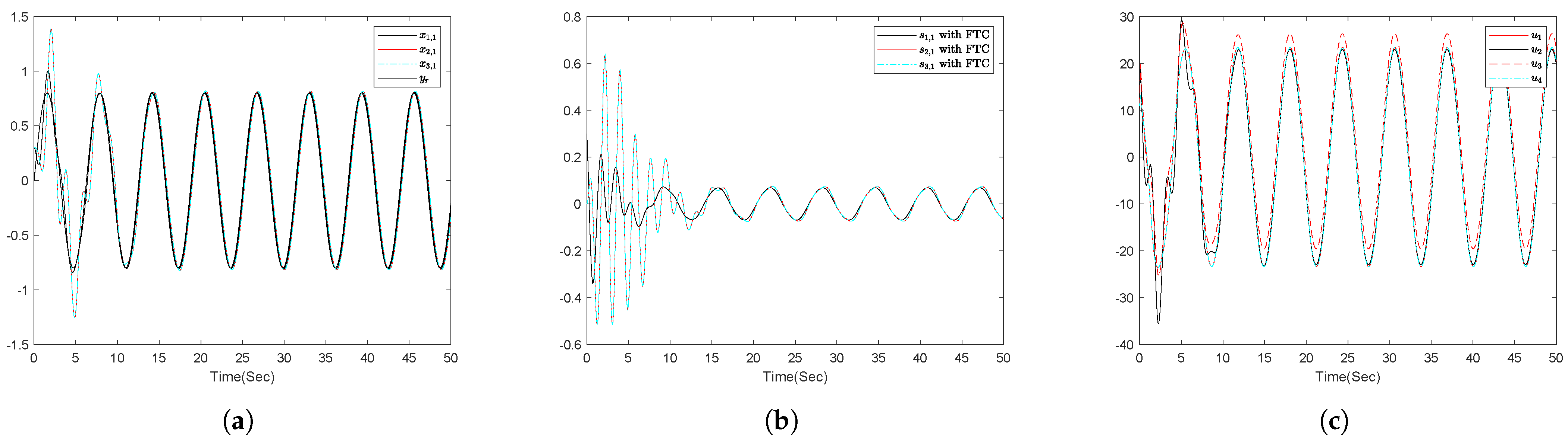
After modifying system parameters J i = 1 , B i = 2 , M i g L i = 10 , the simulation outcomes are depicted in Figure 5.
From Figure 5, it can be observed that after adjusting the system parameters, all followers are still able to track the leader quickly. However, compared to Figure 3, there are some minor changes in the control input. This indicates that the controller proposed in this paper has good adaptability to changes in system parameters, meaning the controller is highly stable.

6. Conclusions

This paper introduces an adaptive fuzzy state feedback control method for a category of uncertain nonlinear systems under input saturation. A distributed control algorithm is used to design controllers by obtaining information from neighboring nodes through communication diagrams. Additionally, to handle the effects of input saturation within the system, an Nth-order auxiliary system is integrated with the backstepping method to cancel out the saturated input. The Lyapunov stability theorem is then applied to demonstrate the stability and convergence of the robotic arm system. The outputs of all followers can stay consistent with the output of the leader, and the tracking error is limited within a small neighborhood.
However, this paper does not consider the situation where the system is subject to network attacks, and the security of the multi-agent control inputs is also a research focus. Control algorithms should be encrypted to protect control instructions from being tampered with or stolen. Secondly, fault-tolerant control algorithms should be designed to ensure that the overall tracking performance is maintained even when nodes are damaged. Complex network topologies also hold significant research value. The communication topology structure in this paper is relatively simple, while complex network topologies involve more connections and interactions, providing more diverse information exchange channels for multi-agent systems. However, this also increases the complexity of the system, making it more difficult to design effective synchronization controllers. Future research can explore different types of complex network topologies and their impacts on synchronization control performance. Moreover, further in-depth research is required to develop efficient synchronization controller design methods for specific complex network topologies. One limitation of this paper is the insufficient number of agents. As the number of agents increases, the dimensionality and computational complexity of the system also increase accordingly. How to maintain control performance while reducing computation and enhancing efficiency is a significant challenge in synchronizing control for large-scale multi-agent systems. Future research can explore distributed or hierarchical synchronization control methods suitable for large-scale systems, or leverage techniques such as dimensionality reduction and compressive sensing to alleviate computational complexity.

Author Contributions

Conceptualization, J.W. and P.C.; methodology, J.W.; software, P.C.; validation, J.W. and P.C.; formal analysis, P.C.; investigation, P.C.; resources, J.W.; data curation, P.C.; writing—original draft preparation, P.C.; writing—review and editing, P.C.; visualization, J.W.; supervision, J.W.; project administration, J.W.; funding acquisition, J.W. All authors have read and agreed to the published version of the manuscript.

Funding

This work was funded by General Project of Liaoning Provincial Department of Education of China (No. JYTMS20230868) and the National Natural Science Foundation of China (No. 61903167).

Data Availability Statement

The data that support the findings of this study are available on request from the corresponding author. The data are not publicly available due to privacy or ethical restrictions.

Conflicts of Interest

The authors declare no conflicts of interest.

References

  1. Vicsek, T.; Czirók, A.; Ben-Jacob, E.; Cohen, I.; Shochet, O. Novel type of phase transition in a system of self-driven particles. Phys. Rev. Lett. 1995, 75, 1226. [Google Scholar] [CrossRef] [PubMed]
  2. Panait, L.; Luke, S. Cooperative multi-agent learning: The state of the art. Auton. Agents Multi-Agent Syst. 2005, 11, 387–434. [Google Scholar] [CrossRef]
  3. Vorotnikov, S.; Ermishin, K.; Nazarova, A.; Yuschenko, A. Multi-agent robotic systems in collaborative robotics. In Proceedings of the Third International Conference on Interactive Collaborative Robotics—ICR 2018, Leipzig, Germany, 18–22 September 2018; pp. 270–279. [Google Scholar]
  4. Ma, C.-Q.; Zhang, J.-F. Necessary and sufficient conditions for consensusability of linear multi-agent systems. IEEE Trans. Autom. Control 2010, 55, 1263–1268. [Google Scholar]
  5. Su, Y.; Huang, J. Cooperative output regulation of linear multi-agent systems. IEEE Trans. Autom. Control 2011, 57, 1062–1066. [Google Scholar]
  6. Zhang, Z.; Hao, F.; Zhang, L.; Wang, L. Consensus of linear multi-agent systems via event-triggered control. Int. J. Control 2014, 87, 1243–1251. [Google Scholar] [CrossRef]
  7. Li, Z.; Wen, G.; Duan, Z.; Ren, W. Designing fully distributed consensus protocols for linear multi-agent systems with directed graphs. IEEE Trans. Autom. Control 2014, 60, 1152–1157. [Google Scholar] [CrossRef]
  8. Li, Z.; Ren, W.; Liu, X.; Xie, L. Distributed consensus of linear multi-agent systems with adaptive dynamic protocols. Automatica 2013, 49, 1986–1995. [Google Scholar] [CrossRef]
  9. Dong, G.; Li, H.; Ma, H.; Lu, R. Finite-time consensus tracking neural network FTC of multi-agent systems. IEEE Trans. Neural Netw. Learn. Syst. 2020, 32, 653–662. [Google Scholar] [CrossRef] [PubMed]
  10. Liu, J.; Yu, Y.; Wang, Q.; Sun, C. Fixed-time event-triggered consensus control for multi-agent systems with nonlinear uncertainties. Neurocomputing 2017, 260, 497–504. [Google Scholar] [CrossRef]
  11. Chen, F.-C.; Khalil, H.K. Adaptive control of nonlinear systems using neural networks. Int. J. Control 1992, 55, 1299–1317. [Google Scholar] [CrossRef]
  12. Verrelli, C.M.; Tomei, P. Adaptive learning control for nonlinear systems: A single learning estimation scheme is enough. Automatica 2023, 149, 110833. [Google Scholar] [CrossRef]
  13. Ren, H.; Ma, H.; Li, H.; Lu, R. A disturbance observer based intelligent control for nonstrict-feedback nonlinear systems. Sci. China Technol. Sci. 2023, 66, 456–467. [Google Scholar] [CrossRef]
  14. Ni, W.; Zhao, P.; Wang, X.; Wang, J. Event-triggered control of linear systems with saturated inputs. Asian J. Control 2015, 17, 1196–1208. [Google Scholar] [CrossRef]
  15. Zhang, Y.; Liu, J.; Yu, J. Adaptive asymptotic tracking control for autonomous underwater vehicles with non-vanishing uncertainties and input saturation. Ocean Eng. 2023, 276, 114280. [Google Scholar] [CrossRef]
  16. Hou, Y.; Wang, H.; Wei, Y.; Iu, H.H.-C.; Fernando, T. Robust adaptive finite-time tracking control for Intervention-AUV with input saturation and output constraints using high-order control barrier function. Ocean Eng. 2023, 268, 113219. [Google Scholar] [CrossRef]
  17. Yan, S.; Gu, Z.; Park, J.H.; Xie, X. A delay-kernel-dependent approach to saturated control of linear systems with mixed delays. Automatica 2023, 152, 110984. [Google Scholar] [CrossRef]
  18. Wang, X.; Ding, D.; Dong, H.; Zhang, X.-M. Neural-network-based control for discrete-time nonlinear systems with input saturation under stochastic communication protocol. IEEE/CAA J. Autom. Sin. 2021, 8, 766–778. [Google Scholar] [CrossRef]
  19. Li, Y.; Niu, B.; Zong, G.; Zhao, J.; Zhao, X. Command filter-based adaptive neural finite-time control for stochastic nonlinear systems with time-varying full-state constraints and asymmetric input saturation. Int. J. Syst. Sci. 2022, 53, 199–221. [Google Scholar] [CrossRef]
  20. Shao, K.; Zheng, J.; Tang, R.; Li, X.; Man, Z.; Liang, B. Barrier function based adaptive sliding mode control for uncertain systems with input saturation. IEEE/ASME Trans. Mechatronics 2022, 27, 4258–4268. [Google Scholar] [CrossRef]
  21. Chen, C.L.P.; Ren, C.E.; Du, T. Fuzzy observed-based adaptive consensus tracking control for second-order multiagent systems with heterogeneous nonlinear dynamics. IEEE Trans. Fuzzy Syst. 2015, 24, 906–915. [Google Scholar] [CrossRef]
Figure 1. Robotic arm diagram.
Figure 1. Robotic arm diagram.
Mathematics 12 01426 g001
Figure 2. Communication diagram.
Figure 2. Communication diagram.
Mathematics 12 01426 g002
Figure 3. With anti-saturation method. (a) Tracking effect; (b) change in tracking error; (c) control input.
Figure 3. With anti-saturation method. (a) Tracking effect; (b) change in tracking error; (c) control input.
Mathematics 12 01426 g003
Figure 4. No anti-saturation method.(a) Tracking effect; (b) change in tracking error; (c) control input.
Figure 4. No anti-saturation method.(a) Tracking effect; (b) change in tracking error; (c) control input.
Mathematics 12 01426 g004
Figure 5. With anti-saturation method after changing system parameters. (a) Tracking effect; (b) change in tracking error; (c) control input.
Figure 5. With anti-saturation method after changing system parameters. (a) Tracking effect; (b) change in tracking error; (c) control input.
Mathematics 12 01426 g005
Disclaimer/Publisher’s Note: The statements, opinions and data contained in all publications are solely those of the individual author(s) and contributor(s) and not of MDPI and/or the editor(s). MDPI and/or the editor(s) disclaim responsibility for any injury to people or property resulting from any ideas, methods, instructions or products referred to in the content.

Share and Cite

MDPI and ACS Style

Wu, J.; Cui, P. Cooperative Adaptive Fuzzy Control for the Synchronization of Nonlinear Multi-Agent Systems under Input Saturation. Mathematics 2024, 12, 1426. https://doi.org/10.3390/math12101426

AMA Style

Wu J, Cui P. Cooperative Adaptive Fuzzy Control for the Synchronization of Nonlinear Multi-Agent Systems under Input Saturation. Mathematics. 2024; 12(10):1426. https://doi.org/10.3390/math12101426

Chicago/Turabian Style

Wu, Jinxia, and Pengfei Cui. 2024. "Cooperative Adaptive Fuzzy Control for the Synchronization of Nonlinear Multi-Agent Systems under Input Saturation" Mathematics 12, no. 10: 1426. https://doi.org/10.3390/math12101426

APA Style

Wu, J., & Cui, P. (2024). Cooperative Adaptive Fuzzy Control for the Synchronization of Nonlinear Multi-Agent Systems under Input Saturation. Mathematics, 12(10), 1426. https://doi.org/10.3390/math12101426

Note that from the first issue of 2016, this journal uses article numbers instead of page numbers. See further details here.

Article Metrics

Back to TopTop