Next Article in Journal
A New Family of Archimedean Copulas: The Half-Logistic Family of Copulas
Previous Article in Journal
A New 3D Chaotic Attractor in Gene Regulatory Network
 
 
Font Type:
Arial Georgia Verdana
Font Size:
Aa Aa Aa
Line Spacing:
Column Width:
Background:
Article

Improved Square-Root Cubature Kalman Filtering Algorithm for Nonlinear Systems with Dual Unknown Inputs

1
College of Automation, Qingdao University, Qingdao 266071, China
2
Shandong Key Laboratory of Industrial Control Technology, Qingdao University, Qingdao 266071, China
*
Author to whom correspondence should be addressed.
Mathematics 2024, 12(1), 99; https://doi.org/10.3390/math12010099
Submission received: 22 September 2023 / Revised: 22 December 2023 / Accepted: 25 December 2023 / Published: 27 December 2023

Abstract

:
For nonlinear discrete systems with dual unknown inputs, there are many limitations regarding previous nonlinear filters. This paper proposes two new, improved square-root cubature Kalman filtering (ISRCKF) algorithms to estimate system states and dual unknown inputs. Improved square-root cubature Kalman filtering 1 (ISRCKF1) introduces an innovation that first obtains the unknown input estimates from the measurement equation, then updates the innovation to derive the unknown input estimates from the state equation, then uses the already obtained estimates of the dual unknown inputs to correct the one-step estimate of the state, and finally the minimum variance unbiased estimate of the state is obtained. Improved square-root cubature Kalman filtering 2 (ISRCKF2) builds a unified innovation feedback model, then applies the minimum variance unbiased estimation (MVUE) criterion to obtain the estimates of system states and dual unknown inputs, refining a more concise recursive filter but requiring stronger assumptions. Finally, simulation results demonstrate that the above two algorithms can achieve the optimal estimates of system states and dual unknown inputs simultaneously, and ISRCKF2 further enhances the accuracy of both state and dual unknown inputs estimation, which verifies the validity of the proposed algorithms.

1. Introduction

In practical engineering systems, different kinds of noise and various unmeasurable inputs or disturbances are often present in the system state equation and measurement equation due to environmental influences, improper selection of model parameters, equipment failures, etc. When dealing with the state estimation problems of the above systems, expert scholars usually refer to these disturbances or inputs that cannot be measured and for which no priori information is known collectively as unknown inputs [1,2,3,4,5]. The algorithms for state estimation of nonlinear systems containing unknown inputs are now widely used in many application fields such as autonomous navigation [6], target tracking [7], fault-tolerant control [8], and fault detection [9].
For nonlinear stochastic systems where the unknown input occurs only in the state equation, Ref. [10] presented an extended Kalman filter algorithm with unknown inputs for continuous-time systems that can identify the structural parameters and states of the system in real time. For discrete-time systems, Ref. [11] proposed an unknown input extended Kalman filter, which builds on the extended Kalman filter (EKF) [12] by completely decoupling the unknown inputs without forcing the measurement equation to be linear. However, the EKF algorithm requires linearization of the system, which inevitably introduces linearization errors and can lead to degraded filtering performance or even filter divergence when the system is strongly nonlinear. To this end, a nonlinear recursive filter is given in [13], which obtains unknown inputs for signals of arbitrary type via least-squares unbiased estimation and transforms the state estimation problem into a standard unscented Kalman filter (UKF) [14,15] problem. Since the unscented transform enables the posterior probability density function of Sigma points after propagation through a nonlinear function to reach at least the second-order term of the Taylor series expansion, its filtering accuracy is higher than that of the EKF, while overcoming the shortcoming that the EKF is only applicable to weakly nonlinear systems. In addition, Ref. [16] introduced statistical linearization and weighted least squares to estimate the unknown inputs and proposed a robust strong tracking unscented Kalman filtering algorithm with unknown inputs. However, UKF is prone to nonlocal effects of sampling when dealing with high-dimensional nonlinear systems, which leads to numerical instability in the filtering process and degradation of the filtering performance. Later, by improving the cubature Kalman filter (CKF) [17] algorithm, Ref. [18] designed a distributed filter that estimates the state and unknown inputs simultaneously. With further research, a nonlinear unknown input observer (NUIO) was proposed in [19] based on singular value decomposition-assisted dimensionality reduction CKF. The method preserves the third-order accuracy of Taylor expansion integral of the nonlinear state function by sampling the nonlinear part of the nonlinear state function instead of all of it.
However, the types of algorithms mentioned above only consider the case where the system state equation contain unknown inputs. With further research, some scholars have extended such filtering algorithms to the case where the measurement equation of the system model also contain unknown inputs. To address the problem of filter design for such direct feedthrough nonlinear systems, an unknown-input generalized extended Kalman filter is proposed in [20] for continuous-time systems. For discrete-time systems, an adaptive three-stage Kalman filter capable of tracking faults and unknown inputs is proposed in [21], which can be used in situations where faults and unknown inputs are not fully known, and its stability is demonstrated. Later, Ref. [22] proposed a robust EKF to estimate both the unknown inputs and the system states simultaneously. Ref. [23] proposed a novel adaptive three-level EKF for the problem of severe performance degradation of the conventional Kalman filter in handling unknown inputs, while a three-level UKF and robust three-level UKF were given in [24] to solve the unknown inputs and state estimation for nonlinear systems where the unknown input information is not completely known. In addition to this, many other scholars have considered the impact of uncertainties on system filtering caused by systems with both unknown inputs, missing measurements and multiplicative noise, and have carried out extensive research [25,26,27,28,29].
The above filtering algorithms all consider the case where the unknown input signals are the same in both state and measurement equations, but in practical application systems, the unknown input signals in the two equations are often different. For such systems, Ref. [30] designed a decoupling filter and an adaptive minimum upper filter to obtain optimal and suboptimal estimation of the state via introducing an adaptive adjustment factor, but this skips the estimates of the dual unknown inputs and does not give an explicit iterative formula for the estimates of the dual unknown inputs. Ref. [31] proposed a CKF-based NUIO method for robust sensor fault detection and demonstrated the superiority of this method compared to the NUIO methods of EKF and UKF. However, some scholars have found that constant rounding errors in CKF during iteration make the covariance matrix asymmetric or non-positive definite, which leads to degradation of filtering performance or even divergence. Later, Ref. [32] proposed a square-root cubature Kalman filter (SRCKF) based algorithm for battery charge state estimation. Since SRCKF directly propagates and updates the state covariance matrix square root by means of Cholesky decomposition, ensuring the non-negativity of the covariance matrix and avoiding the divergence of the filter.
To sum up, the research on state estimation for nonlinear systems containing unknown inputs has achieved the above fruitful results, and a SRCKF algorithm outperforms CKF and UKF algorithms with regard to computational efficiency, filtering accuracy, and numerical stability, but the existing nonlinear filtering estimation algorithms with unknown inputs still have many limitations: (i) the traditional SRCKF algorithm has degraded filtering accuracy or even divergence when dealing with unknown inputs; (ii) existing nonlinear filtering algorithms consider unknown inputs, but assume that the unknown inputs in the state equation and measurement equation are the same, which narrows the applicability of the filter; (iii) only the estimation of the state can be achieved—the estimation of the unknown inputs cannot be obtained.
Based on the above analysis, this paper proposes two new, improved square-root cubature Kalman filter algorithms. Compared with the existing results, the main contributions have the following three aspects:
(1)
When the state and measurement equations contain different unknown input signals without any prior information regarding the dual unknown inputs, according to the MVUE criterion, by designing the innovation to deal with the state and the dual unknown inputs, the traditional SRCKF is improved and extended to the nonlinear system with dual unknown inputs, which solves the problem that the performance of the SRCKF algorithm is seriously degraded or even cannot be applied in this case.
(2)
The MVUE of the state and dual unknown inputs is obtained by minimizing the trace of the estimation error covariance matrix and then solving for it using Schur’s complement lemma, provided that the undetermined gain matrix satisfies certain constraints.
(3)
The ISRCKF does not require the unknown inputs in the state and measurement equations to be the same quantity, and the system under consideration is more in line with the practical application context, which is applied more loosely and with a wider range of applicability.
This paper is structured as follows. Section 2 gives a description of the research problem. In Section 3, an ISRCKF1 algorithm with dual unknown inputs is proposed. In Section 4, the simpler ISRCKF2 algorithm with dual unknown inputs is redesigned. In Section 5, we give a nonlinear example to study the validity of the two algorithms and compare the estimation results of the two algorithms with the SRCKF algorithm to prove the performance of the proposed algorithm. In Section 6, we provide our conclusion.

2. Problem Description

Consider the following direct feedthrough nonlinear discrete stochastic systems with dual unknown inputs:
x k = f ( x k 1 , u k 1 ) + G k 1 d k 1 + w k 1
y k = φ ( x k ) + H k l k + v k
where x k n and y k p represent the state vector and the measured output vector of the system, respectively; f ( ) and φ ( ) are nonlinear transfer functions, u k 1 is the known control input signal, d k 1 m 1 and l k m 2 are unknown input vectors in the state and measurement equations, respectively; w k 1 n and v k p are the process and measurement noise of the system, respectively, which are zero-mean Gaussian white noise signals that are not correlated with each other, and their nonsingular covariance matrices Q k 1 = E ( w k 1 w k 1 T ) 0 and R k = E ( v k v k T ) > 0 are known; G k 1 and H k are determined matrices of suitable dimensional coefficients; the initial state value x 0 follows a Gaussian normal distribution and is independent of w k 1 and v k ; the unbiased estimate x ^ 0 = E ( x 0 ) of x 0 and the initial covariance matrix P 0 x = E [ ( x 0 x ^ 0 ) ( x 0 x ^ 0 ) T ] are known; let x ^ k | k be an unbiased estimation of x k , then x ^ k | k 1 is an unbiased estimation of f ( x k 1 ) , but a biased estimation of x k due to unknown inputs.
Assumption 1. 
Assuming that the output, like most industrial systems, is linear and does not lose generality [19,31]. However, the EKF is a linearization of both state and measure equations using Jacobi matrices; in nonlinear situations, the output Function (2) can be linearized around the operating points as follows:
y k = C k x k + H k l k + v k
where  C k = φ ( x k ) x k | x k = x ^ k | k 1  is the matrix of linearized measurement coefficients.
Remark 1. 
We generally default that systems (1)–(3) satisfy the state observability condition, and the specific research on parameter observability can refer to [33].
Assumption 2. 
The matrix  D k = [ C k G k 1 H k ]  has full rank, that is,  r a n k ( D k ) = m 1 + m 2 .
Remark 2. 
Assumption 2 is the basic condition for decoupling the unknown inputs in the state and the measurement equations, requiring that the measurement vector dimension must be greater than the sum of the dual unknown input vectors, otherwise there is not enough information to estimate the dual unknown input vectors [11,13]. When Assumption 2 holds, the following four conclusions hold simultaneously.
(i.) 
r a n k ( C k G k 1 ) = r a n k ( G k 1 ) = m 1 .
(ii.) 
r a n k ( H k ) = m 2 .
(iii.) 
There is no linear dependence between columns of C k G k 1 and columns of H k .
(iv.) 
p m 1 + m 2 .
Remark 3. 
The above optimal filtering problem for the system is to obtain stepwise recursive unbiased optimal filtering sequences  { l ^ 0 | 0 , , l ^ k | k } ,  { d ^ 0 | 0 , , d ^ k 1 | k }  and  { x ^ 0 | 0 , , x ^ k | k }  for the dual unknown inputs and the system state based on the time series of measurements  { y 0 , y 1 , , y k } , provided that the initial state  x 0  and its unbiased estimates  x ^ 0  and covariance matrix  P 0 x  are known.

3. ISRCKF1

Consider the case where the unknown input signals in the equation of state and the measurement equation are different, i.e., l k d k 1 . For the system models (1)–(3), using the idea of innovation feedback, this section will give the ISRCKF filter for estimating the system state and the dual unknown inputs. The one-step estimate x ^ k | k 1 of x k , the prediction error covariance matrix P k | k 1 x , and its square-root S k | k 1 are first obtained from the known measurement sequence { y 0 , y 1 , , y k 1 } , the initial state estimate x ^ 0 and the covariance matrix P 0 x . The specific steps are given in Section 3.1; then solve for the undetermined gain matrix N k to obtain the estimate l ^ k | k of l k . The specific expression and detailed derivation steps are given in Section 3.2. Based on the obtained unknown input estimate l ^ k | k , design the estimator d ^ k 1 | k for d k 1 . The specific expression for the filter gain M k to be determined and the detailed derivation steps are given in Section 3.3; further, based on the obtained dual unknown input estimates l ^ k | k and d ^ k 1 | k , the estimator x ^ k | k for x k is designed and the gain matrix K k scan be obtained by minimizing the trace of the covariance P k | k x when performing the state update, as given in Section 3.4. Finally, update the square-root S k | k of P k | k x , given in Section 3.5.

3.1. Time Update

  • Factorize
S k 1 | k 1 = c h o l ( P k 1 | k 1 x )
where S k 1 | k 1 denotes the square-root of P k 1 | k 1 x and is obtained by performing Cholesky decomposition on P k 1 | k 1 x . It should be noted that in this paper, the above covariance is factorized only at the initial moment, i.e., the Cholesky decomposition is performed for the known initial covariance P 0 x at k = 1.
2.
Calculate the cubature points
χ i , k 1 | k 1 = S k 1 | k 1 ξ i + x ^ k 1 | k 1 ,   i = 1 , 2 , , m
where χ i , k 1 | k 1 is the cubature point and x ^ k 1 | k 1 is the optimal unbiased estimate of x k 1 when the measurement time series { y 0 , y 1 , , y k 1 } is known; m is the number of cubature points and twice the dimension n of the state x , that is, m = 2 n ; ξ i = m / 2 I i is the set of 2 n cubature points with the same weight based on the third-order spherical radial criterion, I i is the ith column of the point set I , and the point set I can be expressed as
I = { ( 1 0 0 ) , ( 0 1 0 ) , , ( 0 0 1 ) , ( 1 0 0 ) , ( 0 1 0 ) , , ( 0 0 1 ) }
3.
Calculate the nonlinear propagated cubature points and the one-step state estimation
χ i , k | k 1 * = f ( χ i , k 1 | k 1 , u k 1 )
x ^ k | k 1 = 1 m i = 1 m χ i , k | k 1 *
where χ i , k | k 1 * denotes the updated cubature points; 1 m = 1 2 n is the weight corresponding to the cubature points.
4.
Calculate the square-root of the prediction error covariance matrix
S k | k 1 = T r i a ( [ χ k | k 1 * , S Q k 1 ] )
where T r i a ( ) denotes triangular decomposition, S k | k 1 is a lower triangular matrix, and S Q k 1 is the square-root of Q k 1 , which can be acquired by performing Cholesky decomposition on Q k 1 , i.e., S Q k 1 = c h o l ( Q k 1 ) .
The central weighting matrix χ k | k 1 * is given by
χ k | k 1 * = 1 m [ χ 1 , k | k 1 * x ^ k | k 1 , χ 2 , k | k 1 * x ^ k | k 1 , , χ m , k | k 1 * x ^ k | k 1 ]
5.
Evaluate the prediction error covariance matrix
P k | k 1 x = E [ ( f ( x k 1 ) x ^ k | k 1 + w k 1 ) ( f ( x k 1 ) x ^ k | k 1 + w k 1 ) T ]         = 1 m i = 1 m χ i * , k | k 1 χ i , k | k 1 * T x ^ k | k 1 x ^ k | k 1 T + Q k 1
where the expression for χ i , k | k 1 * is given in Equation (7). The detailed derivation of Equation (11) can be found in [17]. Without affecting the calculation results, for ease of writing, we will simply abbreviate f ( x k 1 , u k 1 ) as f ( x k 1 ) from here on.

3.2. Estimation of Unknown Input l k

Designing the innovation y ˜ k = y k C k x ^ k | k 1 , according to the system models (1)–(3), the innovation at moment k is expanded as follows:
y ˜ k = C k x k + H k l k + v k C k x ^ k | k 1      = C k [ f ( x k 1 ) + G k 1 d k 1 + w k 1 ] + v k + H k l k C k x ^ k | k 1      = C k [ f ( x k 1 ) x ^ k | k 1 + w k 1 ] + v k + C k G k 1 d k 1 + H k l k      = Δ k + D k [ d k 1 l k ]
where Δ k and D k are given by the following equations, respectively:
Δ k = C k [ f ( x k 1 ) x ^ k | k 1 + w k 1 ] + v k
D k = [ C k G k 1 H k ]
From the known conditions we get
E ( Δ k ) = 0
Using the innovation feedback y ˜ k , the unbiased estimate l ^ k | k for design l k is as follows:
l ^ k | k = N k ( y k C k x ^ k | k 1 )
The next step is to calculate the gain matrix N k . From Equations (12) and (16), we can obtain the estimation error of the unknown input l k :
l ˜ k | k = l k l ^ k | k       = ( I m 2 N k H k ) l k N k C k G k 1 d k 1 N k Δ k
Theorem 1. 
If the system equation satisfies  r a n k ( D k ) = m 1 + m 2 , then for any  d k 1  and  l k , Equation (16) is the minimum variance unbiased estimator of  l k , if and only if the following equation holds:
N k = [ 0 I m 2 ] ( D k T R ˜ k 1 D k ) 1 D k T R ˜ k 1
where  R ˜ k = C k P k | k 1 x C k T + R k .
Proof. 
First, we give the necessary conditions for Equation (18) to hold as follows:
[ 0 I m 2 ] N k D k = 0
Equation (19) can be expanded to I m 2 N k H k = 0 and N k C k G k 1 = 0 , at which point Equation (17) can be simplified as
l ˜ k | k = N k Δ k
Thus combining Equations (15) and (20), regardless of the values taken by d k 1 and l k , l ^ k | k is an unbiased estimate of the unknown input l k . Unbiasedness is proven.
Further based on Equations (11), (13), and (20), the covariance matrix P k | k l = E [ l ˜ k | k l ˜ k | k T ] of l k can be approximated, that is,
P k | k l = N k R ˜ k N k T
We choose the pending gain matrix N k to minimize the P k | k l variance by satisfying the unbiased condition of Equation (19), so for solving N k we can choose Equation (22) applied using the Lagrange multiplier method, which can be found in [1] for a more detailed description of the method.
min t r ( P k | k l )         s . t . [ 0 I m 2 ] N k D k = 0
Similar to the proof of Gillijns in [34], the Lagrange multiplier method is adopted to solve the extreme value problem under this constraint. The Lagrangian is given by
F 1 = t r { P k | k l } 2 t r { Λ 1 k ( [ 0 I m 2 ] N k D k ) }
where Λ 1 k is the Lagrange multiplier matrix, Λ 1 k R ( m 1 + m 2 ) × m 2 , and the factor “2” is intended to keep the calculation simple.
Taking the derivative of Equation (23) with respect to N k and making the resulting derivative zero, we get
N k R ˜ k + Λ 1 k T D k T = 0
The system of linear equations consisting of Equations (24) and (19) is as follows:
[ R ˜ k T D k D k T 0 ] [ N k T Λ 1 k ] = [ 0 [ 0 I m 2 ] T ]
According to the literature [34], the coefficient matrix of the system of equations (25) is nonsingular when R ˜ k T is invertible, at which point the linear system equation has a unique solution. Finally, using the Schur complement lemma, the gain matrix N k expression (18) is obtained. The proof is completed. □

3.3. Estimation of Unknown Input d k 1

Using the estimate l ^ k | k of the unknown input l k obtained in the previous section, design a new innovation feedback as follows:
y ˜ k * 1 = y k C k x ^ k | k 1 H k l ^ k | k
According to Equation (26), the unbiased estimate d ^ k 1 | k of the unknown input d k 1 is designed as follows:
d ^ k 1 | k = M k y ˜ k * 1
Then, by combining Equations (12), (14), and (27), we can get the estimation error of the unknown input d k 1 :
d ˜ k 1 | k = d k 1 d ^ k 1 | k      = d k 1 M k ( y ˜ k H k l ^ k | k )      = ( I m 1 M k C k G k 1 ) d k 1 M k Δ k M k H k l ˜ k | k
Theorem 2. 
If the system equation satisfies  r a n k ( D k ) = m 1 + m 2 , then for any  d k 1  and  l k , Equation (27) is the minimum variance unbiased estimator of  d k 1 , if and only if the following equation holds:
M k = I m 1 [ G k 1 T C k T ( R ˜ k * ) 1 C k G k 1 ] 1 G k 1 T C k T ( R ˜ k * ) 1
where  R ˜ k * = R ˜ k + H k P k | k l H k T .
Proof. 
First, we give the necessary conditions for Equation (29) to hold as follows:
I m 1 M k C k G k 1 = 0
From Equation (30), rewrite the expression for d ˜ k 1 | k , that is,
d ˜ k 1 | k = M k Δ k M k H k l ˜ k | k
According to Equations (15) and (31), E ( d ˜ k 1 | k ) = 0 , so unbiasedness is proven.
Then, from Equations (11), (13), and (31), the covariance matrix P k 1 | k d = E ( d ˜ k 1 | k d ˜ k 1 | k T ) of d k 1 is obtained as
P k 1 | k d = M k R ˜ k M k T + M k H k P k | k l H k T M k T
Finally, by solving the following conditional extremum problem, Expression (29) of the undetermined gain matrix M k , which holds Equation (30) and minimizes trace of P k 1 | k d , is calculated, and then the minimum variance unbiased estimate d ^ k 1 | k of d k 1 and the corresponding minimum covariance P k 1 | k d are obtained:
min   t r ( P k 1 | k d )         s . t .   I m 1 M k C k G k 1 = 0
This proof is similar to the proof of Theorem 1 above and therefore omitted. □

3.4. Estimation of State x k

First, we consider updating the one-step estimate x ^ k | k 1 . Compensating for x ^ k | k 1 by adding d ^ k 1 | k obtained in the previous section, we can get the updated one-step estimate x ˜ k | k 1 * as follows:
x ^ k | k 1 * = x ^ k | k 1 + G k 1 d ^ k 1 | k
From Equations (1) and (34), the estimation error of the updated one-step estimate x ˜ k | k 1 * is obtained:
x ˜ k | k 1 * = x k x ^ k | k 1 *         = f ( x k 1 ) x ^ k | k 1 + w k 1 + G k 1 d ˜ k 1 | k
Further, the covariance matrix is approximated from Equation (35):
P k | k 1 x * = E [ ( x k x ^ k | k 1 * ) ( x k x ^ k | k 1 * ) T ]         = P k | k 1 x + P k | k 1 x d * + P k | k 1 d * x + P k | k 1 d * d *
where the expression P k | k 1 x is given in Equation (11) above and the specific derivations for P k | k 1 x d * , P k | k 1 d * x , and P k | k 1 d * d * are given by Equations (38) and (39).
First, the unknown input prediction estimation error at moment k is defined as
d ˜ k | k 1 * = G k 1 ( d k 1 d ^ k 1 | k )
Combining Equations (11), (13), (20), (31), and (37), it is obtained that
P k | k 1 x d * = E ( x ˜ k | k 1 d ˜ k | k 1 * T )         = E [ ( f ( x k 1 ) x ^ k | k 1 + w k 1 ) ( d k 1 d ^ k 1 | k ) T ] G k 1 T         = E [ ( f ( x k 1 ) x ^ k | k 1 + w k 1 ) d ˜ k 1 | k T ] G k 1 T         = E [ ( f ( x k 1 ) x ^ k | k 1 + w k 1 ) ( M k Δ k M k H k l ˜ k | k ) T ] G k 1 T         = E [ ( f ( x k 1 ) x ^ k | k 1 + w k 1 ) ( M k Δ k + M k H k N k Δ k ) T ] G k 1 T         = E [ ( f ( x k 1 ) x ^ k | k 1 + w k 1 ) Δ k T ] ( I n H k N k ) T M k T G k 1 T         = E [ ( f ( x k 1 ) x ^ k | k 1 + w k 1 ) ( f ( x k 1 ) x ^ k | k 1 + w k 1 ) T ] C k T ( I n H k N k ) T M k T G k 1 T         = P k | k 1 x C k T ( I n H k N k ) T M k T G k 1 T
where the expressions for P k | k 1 x and M k are given in Equations (11) and (30), respectively. Further, P k | k 1 d * x = ( P k | k 1 x d * ) T is obtained.
From P k | k 1 d * d * = E [ d ˜ k | k 1 * d ˜ k | k 1 * T ] , combined with Equation (37) we get
P k | k 1 d * d * = G k 1 E ( d ˜ k 1 | k d ˜ k 1 | k T ) G k 1 T         = G k 1 P k 1 | k d G k 1 T
where P k 1 | k d is given in Equation (32) above. In summary, P k | k 1 x d * , P k | k 1 d * x , and P k | k 1 d * d * are derived.
Then, update the innovation based on the estimated values d ^ k 1 | k and l ^ k | k of the unknown inputs d k 1 and l k already obtained above:
y ˜ k * 2 = y k C k x ^ k | k 1 * H k l ^ k | k
Further, we can design the estimated value of state x k as follows:
x ^ k | k = x ^ k | k 1 * + K k y ˜ k * 2
From Equations (3) and (41), the estimation error of state x k is obtained:
x ˜ k | k = x k x ^ k | k        = x ˜ k | k 1 * K k ( C k x ˜ k | k 1 * + H k l ˜ k | k + v k )
where x ˜ k | k 1 * is given in equation (35) above.
Remark 4. 
In Section 3.2 and Section 3.3, we have proved that  d ^ k 1 | k  and  l ^ k | k  are both unbiased estimates. Combining Equations (42), (35), (13), and (15) yields  E ( x ˜ k | k ) = 0 , that is, the state estimate  x ^ k | k  obtained from Equation (41) is the unbiased estimate of  x k  for any value of  K k . Therefore, we only need to calculate the undetermined gain matrix  K k  next, which minimizes the trace of the state estimation error covariance matrix  P k | k x . It should be noted that for state estimation, references [35,36,37] have also conducted research on state and parameter estimation for measurement scarcity and bilinear systems.
The covariance matrix of the estimation error is given by the following equation, and the specific derivation process can be seen in Appendix A:
P k | k x = ( I n K k C k ) P k | k 1 x * ( I n C k T K k T ) + K k H k P k | k l H k T K k T + K k R k K k T         ( I n K k C k ) [ ( P k | k 1 x + P k | k 1 d * x ) C k T N k T + G k 1 M k R k N k T G k 1 M k H k N k R k N k T ] H k T K k T         ( I n K k C k ) ( G k 1 M k R k + G k 1 M k H k N k R k ) K k T         K k H k [ N k C k ( P k | k 1 x + P k | k 1 x d * ) + N k R k M k T G k 1 T N k R k N k T H k T M k T G k 1 T ] ( I n C k T K k T )         K k H k N k R k K k T K k ( R k M k T G k 1 T + R k N k T H k T M k T G k 1 T ) ( I n C k T K k T ) K k R k N k T H k T K k T
where P k | k 1 x * , P k | k l , and P k | k 1 d * x = ( P k | k 1 x d * ) T are given by Equations (36), (21), and (38) above.
Theorem 3. 
Under the condition that  ( C k P k | k 1 x * C k T + H k P k | k l H k T )  is positive definite, the undetermined gain matrix  K k  which minimizes the trace of  P k | k x  is given by
K k = [ P k | k 1 x * C k T ( P k | k 1 x + P k | k 1 d * x ) C k T N k T H k T + G k 1 M k R k N k T H k T G k 1 M k R k + G k 1 M k H k N k R k ] [ C k P k | k 1 x * C k T + H k P k | k l H k T       + R k C k ( P k | k 1 x + P k | k 1 d * x ) C k T N k T H k T H k N k C k ( P k | k 1 x + P k | k 1 x d * ) C k T + C k G k 1 M k R k N k T H k T + H k N k R k M k T G k 1 T C k T       C k G k 1 M k H k N k R k N k T H k T H k N k R k N k T H k T M k T G k 1 T C k T C k G k 1 M k R k R k M k T G k 1 T C k T + C k G k 1 M k H k N k R k       + R k N k T H k T M k T G k 1 T C k T H k N k R k R k N k T H k T ] 1
Proof. 
The gain matrix K k is obtained by minimizing the trace of P k | k x , which leads to the state estimation filter, that is, solving for the following equation:
t r ( P k | k x ) K k = 0
By substituting Equation (43) into Equation (45), and then combining the trace derivative rule of the matrix, we get
2 P k | k 1 x * C k T + 2 K k C k P k | k 1 x * C k T + 2 K k H k P k | k l H k T + 2 K k R k + 2 ( P k | k 1 x + P k | k 1 d * x ) C k T N k T H k T 2 G k 1 M k R k N k T H k T + 2 G k 1 M k H k N k R k N k T H k T 2 K k C k ( P k | k 1 x + P k | k 1 d * x ) C k T N k T H k T 2 K k H k N k C k ( P k | k 1 x + P k | k 1 x d * ) C k T + 2 K k C k G k 1 M k R k N k T H k T + 2 K k H k N k R k M k T G k 1 T C k T 2 K k C k G k 1 M k H k N k R k N k T H k T 2 K k H k N k R k N k T H k T M k T G k 1 T C k T + 2 G k 1 M k R k 2 G k 1 M k H k N k R k 2 K k C k G k 1 M k R k 2 K k R k M k T G k 1 T C k T + 2 K k C k G k 1 M k H k N k R k + 2 K k R k N k T H k T M k T G k 1 T C k T 2 K k H k N k R k 2 K k R k N k T H k T = 0
Finally, the collation leads to Equation (44). The proof is completed. □

3.5. Update the Square-Root S k | k

This section calculates the square-root S k | k of P k | k x . Unlike the traditional SRCKF, the undetermined gain matrix K k in expression S k | k is obtained under the minimum variance unbiased estimation criterion, that is, K k in Section 3.4.
  • Calculate the cubature poialculate the cubature points
χ i , k | k 1 = S k | k 1 ξ i + x ^ k | k 1
2.
Calculate the nonlinear propagated cubature points and the predicted measurement
γ i , k | k 1 = C k χ i , k | k 1
y ^ k | k 1 = C k x ^ k | k 1
3.
Calculate the square-root of the estimation error covariance matrix
S k | k = T r i a ( [ χ k | k 1 K k γ k | k 1 , K k S R k ] )
where the central weighting matrices χ k | k 1 and γ k | k 1 are expressed as
χ k | k 1 = 1 m [ χ 1 , k | k 1 x ^ k | k 1 , χ 2 , k | k 1 x ^ k | k 1 , , χ m , k | k 1 x ^ k | k 1 ]
γ k | k 1 = 1 m [ γ 1 , k | k 1 y ^ k | k 1 , γ 2 , k | k 1 y ^ k | k 1 , , γ m , k | k 1 y ^ k | k 1 ]

3.6. Summary of ISRCKF1 Iteration Steps

To demonstrate the proposed filter design process more conveniently, the iterative steps of ISRCKF1 will be summarized in this section to give the dual unknown input and state estimation algorithm based on ISRCKF1 as follows:
  • ISRCKF1 Iteration Steps
Step 1: Initialization
x ^ 0 = E ( x 0 ) P 0 x = E [ ( x 0 x ^ 0 ) ( x 0 x ^ 0 ) T ] S 0 = c h o l ( P 0 x )
where S 0 denotes the square-root factor of P 0 x and is obtained by performing Cholesky decomposition on P 0 x . Set time k = 1.
Step 2: Time Update
χ i , k 1 | k 1 = S k 1 | k 1 ξ i + x ^ k 1 | k 1 χ i , k | k 1 * = f ( χ i , k 1 | k 1 , u k 1 ) x ^ k | k 1 = 1 m i = 1 m χ i * , k | k 1 S k | k 1 = T r i a ( [ χ k | k 1 * , S Q k 1 ] ) P k | k 1 x = 1 m i = 1 m χ i * , k | k 1 χ i , k | k 1 * T x ^ k | k 1 x ^ k | k 1 T + Q k 1
Step 3: Estimation of unknown input l k
R ˜ k = C k P k | k 1 x C k T + R k N k = [ 0 I m 2 ] ( D k T R ˜ k 1 D k ) 1 D k T R ˜ k 1 l ^ k | k = N k ( y k C k x ^ k | k 1 ) P k | k l = N k R ˜ k N k T
Step 4: Estimation of unknown input d k 1
R ˜ k * = R ˜ k + H k P k | k l H k T M k = I m 1 [ G k 1 T C k T ( R ˜ k * ) 1 C k G k 1 ] 1 G k 1 T C k T ( R ˜ k * ) 1 y ˜ k * 1 = y k C k x ^ k | k 1 H k l ^ k | k d ^ k 1 | k = M k y ˜ k * 1 P k 1 | k d = M k R ˜ k M k T + M k H k P k | k l H k T M k T
Step 5: Estimation of state x k
x ^ k | k 1 * = x ^ k | k 1 + G k 1 d ^ k 1 | k P k | k 1 x d * = P k | k 1 x C k T ( I n H k N k ) T M k T G k 1 T P k | k 1 d * x = ( P k | k 1 x d * ) T P k | k 1 d * d * = G k 1 P k 1 | k d G k 1 T P k | k 1 x * = P k | k 1 x + P k | k 1 x d * + P k | k 1 d * x + P k | k 1 d * d * K k = [ P k | k 1 x * C k T ( P k | k 1 x + P k | k 1 d * x ) C k T N k T H k T + G k 1 M k R k N k T H k T G k 1 M k R k + G k 1 M k H k N k R k ] [ C k P k | k 1 x * C k T + H k P k | k l H k T       + R k C k ( P k | k 1 x + P k | k 1 d * x ) C k T N k T H k T H k N k C k ( P k | k 1 x + P k | k 1 x d * ) C k T + C k G k 1 M k R k N k T H k T + H k N k R k M k T G k 1 T C k T       C k G k 1 M k H k N k R k N k T H k T H k N k R k N k T H k T M k T G k 1 T C k T C k G k 1 M k R k R k M k T G k 1 T C k T + C k G k 1 M k H k N k R k       + R k N k T H k T M k T G k 1 T C k T H k N k R k R k N k T H k T ] 1 y ˜ k * 2 = y k C k x ^ k | k 1 * H k l ^ k | k x ^ k | k = x ^ k | k 1 * + K k y ˜ k * 2
Step 6: Update square-root S k | k
χ i , k | k 1 = S k | k 1 ξ i + x ^ k | k 1 y ^ k | k 1 = C k x ^ k | k 1 γ i , k | k 1 = C k χ i , k | k 1 χ k | k 1 = 1 m [ χ 1 , k | k 1 x ^ k | k 1 , χ 2 , k | k 1 x ^ k | k 1 , , χ m , k | k 1 x ^ k | k 1 ] γ k | k 1 = 1 m [ γ 1 , k | k 1 y ^ k | k 1 , γ 2 , k | k 1 y ^ k | k 1 , , γ m , k | k 1 y ^ k | k 1 ] S k | k = T r i a ( [ χ k | k 1 K k γ k | k 1 , K k S R k ] )
Step 7: Set time k = k + 1 and return to step 2.

4. ISRCKF2

In practice, the above ISRCKF1 needs to be updated gradually with innovation and the iterative process of the algorithm is cumbersome, making the solution process time-consuming and costly. In this section, we rederive a more concise filter for the system studied above, utilizing the same innovation feedback. Given { y 0 , y 1 , , y k 1 } , x ^ 0 , and P 0 x , the filter first obtains x ^ k | k 1 , P k | k 1 x , and S k | k 1 . The detailed derivation is the same as Section 3.1, and will not be repeated here; when the measurement is updated to step k, the filter estimate x ^ k | k of x k is obtained. The derivation and the specific expression for L k are given in Section 4.1; the next step is to obtain filter estimates d ^ k 1 | k and l ^ k | k for the dual unknown inputs d k 1 and l k . The derivation and the specific expressions for M k and N k are given in Section 4.2; finally, the square-root S k | k of P k | k x is updated, and its detailed derivation is the same as Section 3.5, which will not be repeated here.

4.1. Minimum Variance Unbiased Estimation of State x k

This section calculates the filter undetermined gain matrix L k such that x ^ k | k is the minimum variance unbiased estimate of x k .
First, the innovation feedback y k C k x ^ k | k 1 is used to correct the one-step estimate x ^ k | k 1 to obtain the unbiased estimate x ^ k | k of x k and the corresponding covariance matrix. For systems (1)–(3), the innovation at time k can be expanded as shown in Equation (12) above. Using the innovation feedback, the filtered estimate of x k can be obtained as follows:
x ^ k | k = x ^ k | k 1 + L k ( y k C k x ^ k | k 1 )
Then, calculate the gain matrix L k . From Equations (1), (12), (14), and (53) we get
x ˜ k | k = x k x ^ k | k        = f ( x k 1 ) + G k 1 d k 1 + w k 1 x ^ k | k 1 L k Δ k L k D k [ d k 1 l k ]        = f ( x k 1 ) x ^ k | k 1 + w k 1 L k Δ k + G k 1 d k 1 L k C k G k 1 d k 1 L k H k l k
According to Equation (13), Equation (54) can be transformed into
x ˜ k | k = f ( x k 1 ) x ^ k | k 1 + w k 1 L k Δ k + G k 1 d k 1 L k C k G k 1 d k 1 L k H k l k        = C k 1 ( Δ k v k ) L k Δ k + ( G k 1 L k C k G k 1 ) d k 1 L k H k l k        = ( C k 1 L k ) Δ k C k 1 v k + ( G k 1 L k C k G k 1 ) d k 1 L k H k l k
Remark 5. 
It should be noted that the precondition for obtaining Equation (55) from Equation (54) is that the pseudoinverse matrix  C k 1  exists, which is indeed a limitation of ISRCKF2 and a problem that we will address in future research.
Theorem 4. 
If the system equation satisfies  r a n k ( D k ) = m 1 + m 2 , then for any  d k 1  and  l k , Equation (53) is the minimum variance unbiased estimator of all possible  x k , if and only if the following equation is true:
L k = [ P k | k 1 x C k T ( [ G k 1 0 ] P k | k 1 x C k T R ˜ k 1 D k ) ( D k T R ˜ k 1 D k ) 1 D k T ] R ˜ k 1
Proof. 
First, we give the necessary conditions for Equation (56) to hold as follows:
[ G k 1 0 ] L k D k = 0
If Equation (57) holds, it is equivalent to G k 1 L k C k G k 1 = 0 and L k H k = 0 . Substituting into Equation (54) gives
x ˜ k | k = ( C k 1 L k ) Δ k C k 1 v k
Combining Equation (15) yields E ( x ˜ k | k ) = 0 . Thus, the state estimate x ^ k | k obtained from Equation (53) is the unbiased estimate of x k for any value of L k , regardless of the values of d k 1 and l k . Unbiasedness is proven.
Further from Equations (11), (13), and (58), P k | k x = E ( x ˜ k | k x ˜ k | k T ) can be approximated, that is,
P k | k x = E { [ ( C k 1 L k ) Δ k C k 1 v k ] [ Δ k T ( C k 1 L k ) T v k T C k T ] }         = ( C k 1 L k ) R ˜ k ( C k 1 L k ) T + C k 1 R k C k T + E [ ( C k 1 L k ) Δ k ( v k T ) C k T C k 1 v k Δ k T ( C k 1 L k ) T ]         = ( C k 1 L k ) R ˜ k ( C k 1 L k ) T + C k 1 R k C k T + E [ ( C k 1 L k ) v k ( v k T ) C k T C k 1 v k v k T ( C k 1 L k ) T ]         = ( C k 1 R ˜ k L k R ˜ k ) ( C k T L k T ) + C k 1 R k C k T + [ ( C k 1 L k ) R k C k T C k 1 R k ( C k T L k T ) ]         = C k 1 R ˜ k C k T C k 1 R ˜ k L k T L k R ˜ k C k T + L k R ˜ k L k T + L k R k C k T C k 1 R k C k T + C k 1 R k L k T
Then, the undetermined gain matrix L k is solved by solving the following constrained optimization problem.
min t r ( P k | k x )         s . t . [ G k 1 0 ] L k D k = 0
Let the Lagrangian be
F 2 = t r { P k | k x } 2 t r { Λ 2 k ( [ G k 1 0 ] L k D k ) }
where Λ 2 k is the Lagrange multiplier matrix, Λ 2 k R ( m 1 + m 2 ) × p , the factor “2” is intended to keep the calculation simple.
Taking the derivative of Equation (61) with respect to L k , and making the resulting derivative zero, we get
L k R ˜ k + Λ 2 k T D k T P k | k 1 x C k T = 0
The system of linear equations consisting of Equations (62) and (57) is as follows:
[ R ˜ k T D k D k T 0 ] [ L k T Λ 2 k ] = [ C k P k | k 1 x [ G k 1 0 ] T ]
Finally, using Schur’s complement lemma to solve the above equations, Equation (56) is obtained. The proof is completed.□

4.2. Minimum Variance Unbiased Estimation of Unknown Inputs

This section considers the estimation of d k 1 and l k , where the estimation of d k 1 is obtained in Section 4.2.1, and also determines the conditions that need to be satisfied for the undetermined gain matrix M k . Section 4.2.2 obtains the estimation of l k and determines the conditions that need to be satisfied for the undetermined gain matrix N k .

4.2.1. Estimation of Unknown Input d k 1

In this subsection, based on the innovation feedback y ˜ k = y k C k x ^ k | k 1 from the previous section, the gain matrix M k will be calculated.
First, using the innovation y ˜ k , design the unbiased estimate d ^ k 1 | k of d k 1 as follows:
d ^ k 1 | k = M k ( y k C k x ^ k | k 1 )
Then, from Equations (12) and (64), the estimated error of the unknown input d k 1 is obtained:
d ˜ k 1 = d k 1 d ^ k 1 | k          = ( I m 1 M k C k G k 1 ) d k 1 M k H k l k M k Δ k
Theorem 5. 
If the system equation satisfies  r a n k ( D k ) = m 1 + m 2 , then for any  d k 1  and  l k , Equation (64) is the minimum variance unbiased estimator of  d k 1 , if and only if the following equation is true:
M k = [ I m 1 0 ] ( D k T R ˜ k 1 D k ) 1 D k T R ˜ k 1
Proof. 
First, we give the necessary conditions for Equation (66) to hold as follows:
[ I m 1 0 ] M k D k = 0
Equation (67) can be transformed into I m 1 M k C k G k 1 = 0 and M k H k = 0 . At this point, Equation (65) can be simplified as
d ˜ k 1 | k = M k Δ k
Therefore, from Equations (15) and (68), we get E ( d ˜ k 1 | k ) = 0 . Unbiasedness is proven.
Further, from Equations (11), (13), and (68), the covariance matrix P k 1 | k d = E ( d ˜ k 1 | k d ˜ k 1 | k T ) of d k 1 is calculated:
P k 1 | k d = M k R ˜ k M k T
Finally, solving the following constraint problem yields the undetermined gain matrix M k , which leads to the minimum variance unbiased estimate d ^ k 1 | k of d k 1 and the corresponding minimum variance matrix P k 1 | k d .
min t r ( P k 1 | k d )         s . t . [ I m 1 0 ] M k D k = 0
Similar to the proof of Theorem 4, let the Lagrangian be
F 3 = t r { P k 1 | k d } 2 t r { Λ 3 k ( [ I m 1 0 ] M k D k ) }
where Λ 3 k is the Lagrange multiplier matrix, Λ 3 k R ( m 1 + m 2 ) × m 1 , the factor “2” is intended to keep the calculation simple.
Taking the derivative of Equation (71) with respect to M k , and making the resulting derivative zero, we get
M k R ˜ k + Λ 3 k T D k T = 0
The system of linear equations consisting of Equations (72) and (67) is as follows:
[ R ˜ k T D k D k T 0 ] [ M k T Λ 3 k ] = [ 0 [ I m 1 0 ] T ]
Using Schur’s complement lemma to solve the above equations, Equation (66) is obtained. The proof is completed. □

4.2.2. Estimation of Unknown Input l k

Since the innovation feedback y k C k x ^ k | k 1 used in ISRCKF2 is the same as the innovation y ˜ k designed for the estimation of l k in Section 3.2, this subsection follows the same proof procedure as in Section 3.2 and will not be repeated here.

4.3. Summary of ISRCKF2 Iteration Steps

In order to clearly reflect the filter design process with simplified dual unknown inputs, this section will summarize the steps of ISRCKF2 and give a more concise iterative process as follows:
  • ISRCKF2 Iteration Steps
Step 1: Initialization
x ^ 0 = E ( x 0 ) P 0 x = E [ ( x 0 x ^ 0 ) ( x 0 x ^ 0 ) T ] S 0 = c h o l ( P 0 x )
where S 0 denotes the square-root factor of P 0 x and is obtained by performing Cholesky decomposition on P 0 x . Set time k = 1.
Step 2: Time Update
χ i , k 1 | k 1 = S k 1 | k 1 ξ i + x ^ k 1 | k 1 χ i , k | k 1 * = f ( χ i , k 1 | k 1 , u k 1 ) x ^ k | k 1 = 1 m i = 1 m χ i * , k | k 1 S k | k 1 = T r i a ( [ χ k | k 1 * , S Q k 1 ] ) P k | k 1 x = 1 m i = 1 m χ i * , k | k 1 χ i , k | k 1 * T x ^ k | k 1 x ^ k | k 1 T + Q k 1
Step 3: Estimation of state x k
R ˜ k = C k P k | k 1 x C k T + R k L k = [ P k | k 1 x C k T ( [ G k 1 0 ] P k | k 1 x C k T R ˜ k 1 D k ) ( D k T R ˜ k 1 D k ) 1 D k T ] R ˜ k 1 x ^ k | k = x ^ k | k 1 + L k ( y k C k x ^ k | k 1 )
Step 4: Estimation of unknown inputs d k 1 and l k
M k = [ I m 1 0 ] ( D k T R ˜ k 1 D k ) 1 D k T R ˜ k 1 N k = [ 0 I m 2 ] ( D k T R ˜ k 1 D k ) 1 D k T R ˜ k 1 d ^ k 1 | k = M k ( y k C k x ^ k | k 1 ) l ^ k | k = N k ( y k C k x ^ k | k 1 )
Step 5: Update of square-root S k | k
χ i , k | k 1 = S k | k 1 ξ i + x ^ k | k 1 γ i , k | k 1 = C k χ i , k | k 1 y ^ k | k 1 = C k x ^ k | k 1 χ k | k 1 = 1 m [ χ 1 , k | k 1 x ^ k | k 1 , χ 2 , k | k 1 x ^ k | k 1 , , χ m , k | k 1 x ^ k | k 1 ] γ k | k 1 = 1 m [ γ 1 , k | k 1 y ^ k | k 1 , γ 2 , k | k 1 y ^ k | k 1 , , γ m , k | k 1 y ^ k | k 1 ] S k | k = T r i a ( [ χ k | k 1 K k γ k | k 1 , K k S R k ] )
Step 6: Set time k = k + 1 and return to step 2.

5. Simulation Results

To demonstrate the effectiveness of the two filtering algorithms proposed in this paper, in this section, the ISRCKF algorithm is compared with the SRCKF algorithm proposed in [32]. First, the simulation uses a fifth-order two-phase nonlinear model of the induction motor [38,39], which can be described using the system models (1)–(3) as follows:
f ( x k , u k ) = [ x 1 , k 1 + h ( γ x 1 , k 1 + K T r x 3 , k 1 + K p x 5 , k 1 x 4 , k 1 + 1 σ L s u 1 k ) x 2 , k 1 + h ( γ x 2 , k 1 K p x 5 , k 1 x 3 , k 1 + K T r x 4 , k 1 + 1 σ L s u 2 , k ) x 3 , k 1 + h ( M T r x 2 , k 1 1 T r x 3 , k 1 p x 5 , k 1 x 4 , k 1 ) x 4 , k 1 + h ( M T r x 2 , k 1 1 T r x 4 , k 1 + p x 5 , k 1 x 3 , k 1 ) x 5 , k 1 + h ( p M J T r ( x 3 , k 1 x 2 , k 1 x 4 , k 1 x 1 , k 1 ) T L J ) ]
where x k 1 T = [ x 1 , k 1 x 2 , k 1 x 3 , k 1 x 4 , k 1 x 5 , k 1 ] = [ i s a k 1 i s b k 1 ψ r a k 1 ψ r b k 1 ω k 1 ] denotes the stator currents a and b, the rotor fluxes a and b and the angular speed, respectively, u k T = [ u 1 , k u 2 , k ] = [ u s a k u s b k ] represents the stator voltages control vector, p is the number of pole pairs and T L is the load torque.
The rotor time constant T r and the parameters σ , K and γ are defined as follows:
T r = L r R r ,   σ = 1 M 2 L s L r ,   K = M σ L s L r   and   γ = R s σ L s + R r M 2 σ L s L r 2 .
where R s and R r are the per-phase resistances of the stator and rotor, L s and L r are the per-phase inductances of the stator and rotor, and J is the rotor moment of inertia.
The simulations are carried out with the same numerical values as in [38], that is, R s = 0.18   Ω , R r = 0.15   Ω , M = 0.068   H , p = 1 , L s = 0.0699   H , L r = 0.0699   H , J = 0.0586   kgm 2 , T L = 10   Nm and h = 0.1   ms .
The motor control input signals are u 1 , k = 350 cos ( 0.003 k ) and u 2 , k = 300 sin ( 0.003 k ) .
The system correlation coefficient matrix is as follows:
G k 1 = [ 1 0 0 1 0 0 0 0 0 0 ] , C k = [ 1 0 0 0 0 0 1 0 0 0 0 0 1 0 0 0 0 0 1 0 0 0 0 0 1 ] , H k = [ 0 0 0 0 1 0 0 1 0 0 ] .
The covariance matrices for w k 1 and v k are given by
Q k 1 = 10 4 × [ 1 0 0 0 0 0 1 0 0 0 0 0 1 0 0 0 0 0 1 0 0 0 0 0 1 ] , R k = 10 2 × [ 1 0 0 0 0 0 1 0 0 0 0 0 1 0 0 0 0 0 1 0 0 0 0 0 1 ] .
ISRCKF1 and ISRCKF2 are set in the simulation the same system and filter initial conditions as the comparison algorithm, referring to [39], that is, P 0 x = 100 2 I 5 , x 1 , 0 = x 2 , 0 = x 3 , 0 = x 4 , 0 = x 5 , 0 = 0 , x ^ 1 , 0 = 200 , x ^ 2 , 0 = 200 , x ^ 3 , 0 = 50 , x ^ 4 , 0 = 50 , x ^ 5 , 0 = 300 .
Setting the unknown input d k 1 in the equation of state equal to d k 1 = [ d 1 , k 1 d 2 , k 1 ] T , and the unknown input l k in the measurement equation equal to l k = [ l 1 k l 2 k ] T .
To quantitatively compare various nonlinear filtering algorithms, the root mean square error of x i at moment k is denoted by R M S E i , k , which is defined as follows:
R M S E i , k = 1 M C n = 1 M C ( x i , k ( n ) x ^ i , k | k ( n ) ) 2 ,   i = 1 , 2 , 3 , 4 , 5
where M C denotes the number of Monte Carlo simulations and M C = 100 is set in the simulation; x i , k ( n ) and x ^ i , k | k ( n ) denote the actual and estimated values of the state x i at moment k under the nth Monte Carlo simulation, respectively. For unknown inputs d k 1 and l k , the above equation is also used as a quantitative evaluation index.
In the following, the validity of the proposed ISRCKF1 and ISRCKF2 for the system containing dual unknown inputs is verified, and to ensure the accuracy and generality of the experimental results, the number of sampling steps N is taken as large as possible, and the same as in [39] is set to be N = 1800.
Case 1: When the unknown inputs in the state and measurement equations are the same input signal, that is, d k 1 = l k 0 , the state estimation performance difference of each filtering algorithm is considered. After 100 Monte Carlo simulations, the mean RMSE of ISRCKF1 and ISRCKF2 with dual unknown inputs and states between moments 0~1800 are shown in Table 1, Table 2, Table 3, Table 4, Table 5 and Table 6. It should be added that “N/A” in the table means that the algorithm is not applicable. The time evolution curves of the state RMSE for the proposed filtering algorithms are shown in Appendix B.
Figure 1 and Table 1 show the estimation results of d k 1 when considering the unknown input as sine and cosine electrical signals. It can be seen that the filtering algorithm given in this paper can track and estimate the unknown input d k 1 better, and the ISRCKF2 estimation accuracy is higher.
Figure 2 and Table 2 show the estimation results of l k . We can also conclude that the filtering algorithm proposed can better track and estimate l k , and the estimation of ISRCKF2 produces a smaller mean RMSE.
Figure 3 and Table 3 show the estimation results of the system states x k . From Figure 3, we can see that the overall filtering performance of the proposed ISRCKF1 and ISRCKF2 is better than that of the SRCKF when considering the system with the same unknown inputs, proving that the ISRCKF improves the state estimation accuracy when dealing with nonlinear systems containing unknown inputs. Comparing the data results in Table 3, it can be seen that the estimation error performance of ISRCKF1 and ISRCKF2 is basically equivalent. However, since the simplified algorithm avoids the coupling error between the coupled terms and the cumulative error of the complex iteration steps, the ISRCKF2 estimation accuracy is more accurate.
Case 2: To further verify the validity of the proposed algorithm, the ISRCKF algorithm with dual unknown inputs is used for the direct feedthrough nonlinear discrete system with different unknown inputs in state and measurement equations, that is, d k 1 l k 0 , and the estimation of the simulation results of the dual unknown inputs and the state can be obtained as follows.
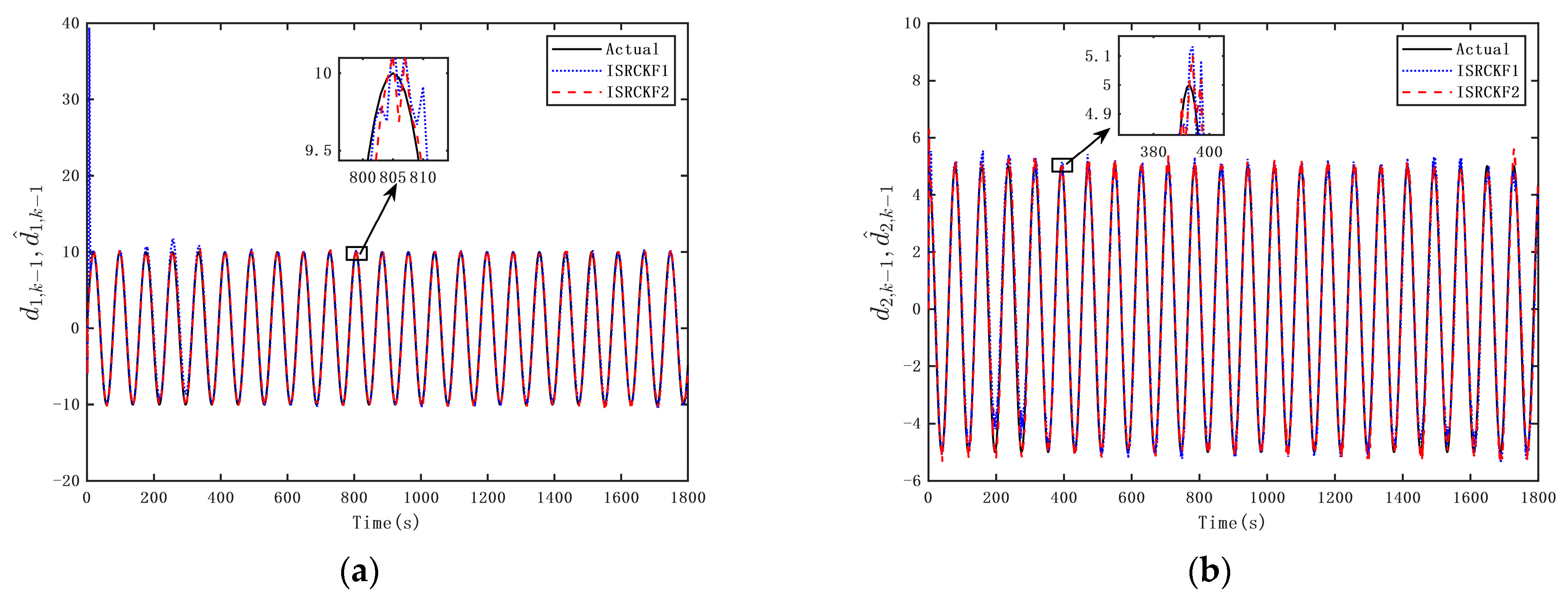
Figure 4 shows the true and estimated values of the unknown input d k 1 for the two cases of sine and cosine signals, respectively, from which it can be seen that both algorithms can track and estimate the unknown inputs d 1 , k 1 and d 2 , k 1 better. Table 4 gives the root mean square error of d k 1 , from which we can conclude that the ISRCKF2 estimation is more accurate.
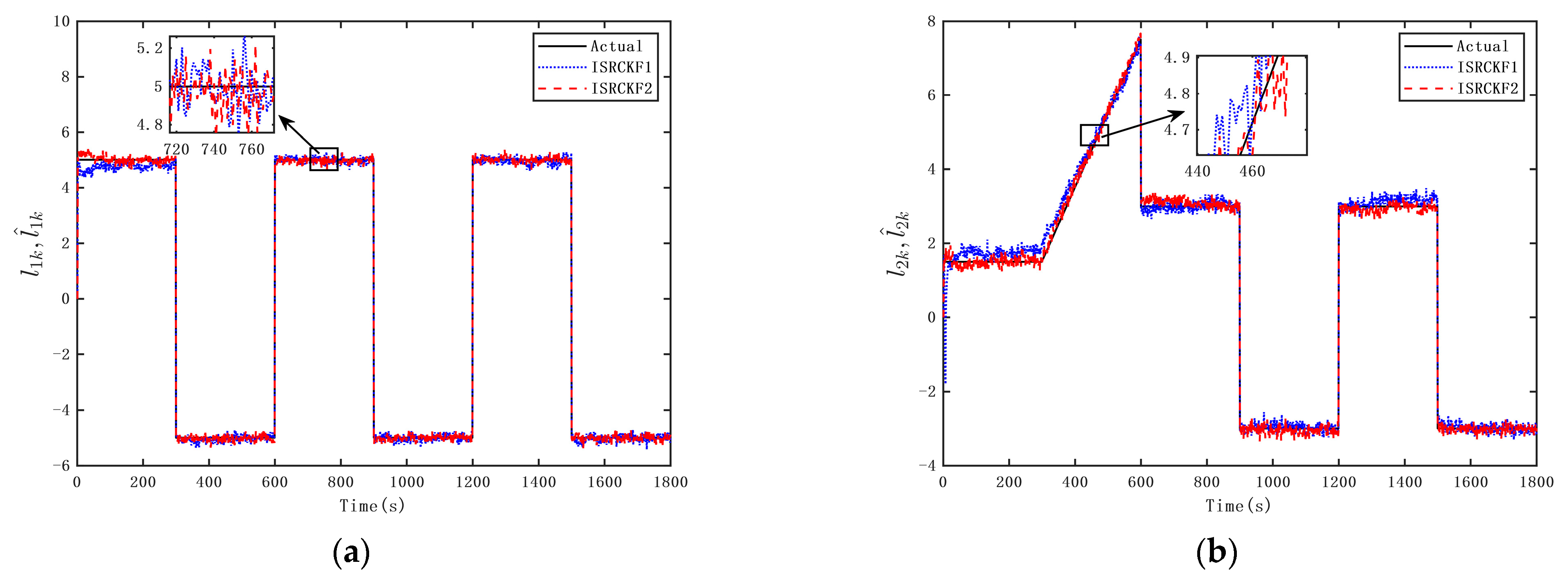
Figure 5 and Table 5 show the estimation results when considering the unknown input l k as a step signal and a combination of constant, ramp, and step signals, respectively. We can see that both filtering algorithms presented in this paper can effectively track and estimate l 1 k and l 2 k , and the mean RMSE of the estimation is not much different.
Based on the above analysis, we can conclude that the two proposed algorithms can achieve the optimal estimation of the unknown inputs, regardless of whether the unknown inputs in the equation of state and the measurement equation are the same.
In engineering practice, the unknown inputs in the state and measurement equations are often different. Figure 6 shows the comparison of state estimation results in this case, and it can be seen that the two ISRCKF algorithms can completely track and estimate state x 1 k x 5 k . By comparing the two sets of system states in Figure 3 and Figure 6, it is intuitively clear that the system states change with the type of the unknown input itself.
The RMSE of the system state estimates obtained by applying the two proposed algorithms is shown in Table 6. Using numerical analysis of RMSE in Table 4, Table 5 and Table 6, it can be seen that for the direct feedthrough nonlinear discrete system with dual unknown inputs, both algorithms given in this paper can effectively achieve the estimation for the system states and the dual unknown inputs, which indicates that the ISRCKF algorithm is robust to the influence of unknown input signals, and ISRCKF2 avoids the cumulative error caused by the complex iterative steps as compared to ISRCKF1, so the state and the dual unknown inputs are estimated with higher accuracy. The above simulation examples show that the algorithm designed in this paper can still give higher accuracy state estimation results when dealing with nonlinear discrete systems affected by different unknown inputs, indicating that the system requirements for its application are more relaxed and the scope of application is broader.

6. Discussion

In this paper, two filtering algorithms are proposed to estimate the states and dual unknown inputs simultaneously. ISRCKF1 comprehensively considers the interaction between variables when dealing with nonlinear systems with dual unknown inputs and requires relatively weak preconditions and fewer constraints in its application, which makes it applicable to a wider range and is crucial for solving complex systems in the real world. However, due to the constant updating of the innovation, the complexity of the algorithm increases, resulting in a higher computation amount. In addition, the uncertainty of coupling terms between variables further challenges the algorithm, accumulating coupling term errors and affecting the estimation accuracy of the algorithm.
Based on ISRCKF1, we propose ISRCKF2. Compared with ISRCKF1, ISRCKF2 removes the coupling terms between the variables, but this requires additional constraints and certain assumptions in the application, i.e., the inverse of the matrix C k is required to exist and to satisfy C k C k 1 = I n , which narrows down the applicability of ISRCKF2 to a certain extent, and it also requires future work to achieve our aim and solve our difficulties. Compared with ISRCKF1, ISRCKF2 has more concise iteration steps and less computation as it establishes a unified innovation feedback, while avoiding the coupling term error and improving in estimation accuracy.
It is assumed that the parameters of the system model are known in this paper. For the system with unknown parameters, the recursive generalized extended parameter estimation method is proposed in [40], and it is proposed in [41] that the model parameters can be obtained from the observed data by some identification methods such as the gradient algorithm and the method of least squares, which provides an important direction for us to generalize for the study of the system with unknown parameters in the future. The estimation of unknown inputs requires a more comprehensive consideration of their possible types of variation and the accuracy of the estimates, especially for the case of high-frequency unknown inputs. References [42,43] studies and discusses the impact of the characteristics of unknown inputs on the performance of estimators, using reduced order Das and Ghosal observer. In the case of unknown inputs, we will explore in more depth their types and limitations, as well as the relevant provisions for estimating the derivatives of unknown inputs in continuous systems. This will help to more accurately assess the performance of the estimator and to better cope with different types of unknown inputs.

7. Conclusions

In this paper, we focus on the problem of dual unknown input estimation and state estimation for direct feedthrough nonlinear discrete stochastic systems, extending the traditional SRCKF by proposing two new filtering algorithms to make the applied system more compatible with the practical context. The filtering algorithm is built on the minimum variance unbiased estimation criterion, and by designing innovation to deal with the dual unknown inputs, it can not only solve the problem that the traditional nonlinear filter filtering accuracy decreases or even cannot be used when the unknown inputs in the system state and measurement equations are different input signals, but also achieve the optimal estimation of the state and the unknown inputs simultaneously, even when the unknown inputs in the system state and measurement equations are the same input signals. Finally, through the simulation experiments on the fifth-order induction motor system, the designed filter can complete the estimation task better, which proves the effectiveness of the proposed algorithm.
It should be acknowledged that there are some limitations to this article. The strong assumption conditions satisfied by ISRCKF2 limit its application scope. In addition, this paper mainly focuses on certain common types of unknown input signals affecting state estimation. However, due to the complexity and uncertainty of unknown input signals, different unknown input signals may have different degrees of influence on the state estimation or even the state itself, which is still a difficult problem for the state estimation of nonlinear systems containing unknown inputs. Therefore, how to further weaken the assumptions of ISRCKF2 to expand the application scope, as well as how to design controllers to compensate the impact of the dual unknown inputs on the system state need to be further researched.

Author Contributions

Conceptualization, Z.L. and N.W.; methodology, Z.L. and N.W.; software, Z.L.; validation, Z.L., N.W. and S.D.; formal analysis, N.W.; investigation, Z.L.; resources, N.W.; data curation, Z.L.; writing—original draft preparation, Z.L.; writing—review and editing, Z.L. and N.W.; visualization, Z.L. and S.D.; supervision, N.W.; project administration, N.W.; funding acquisition, N.W. All authors have read and agreed to the published version of the manuscript.

Funding

This research was funded by the National Natural Science Foundation of China (61703221) and the Natural Science Foundation of Shandong Province (ZR2016FP10).

Data Availability Statement

The data presented in this study are available on request from the corresponding author.

Conflicts of Interest

The authors declare no conflicts of interest.

Abbreviations

The following abbreviations are used in this manuscript:
EKFExtended Kalman filter
UKFUnscented Kalman filter
CKFCubature Kalman filter
SRCKFSquare-root cubature Kalman filter
ISRCKFImproved square-root cubature Kalman filter
MVUEMinimum variance unbiased estimation
NUIONonlinear unknown input observer
RMSERoot mean square error

Appendix A

The specific derivation of Equation (43) is as follows:
P k | k x = E ( x ˜ k | k x ˜ k | k T )         = E { [ x ˜ k | k 1 * K k ( C k x ˜ k | k 1 * + H k l ˜ k | k + v k ) ] [ x ˜ k | k 1 * K k ( C k x ˜ k | k 1 * + H k l ˜ k | k + v k ) ] T }         = E { [ ( I n K k C k ) x ˜ k | k 1 * K k H k l ˜ k | k K k v k ] [ x ˜ k | k 1 * T ( I n C k T K k T ) l ˜ k | k T H k T K k T v k T K k T ] }         = ( I n K k C k ) E ( x ˜ k | k 1 * x ˜ k | k 1 * T ) ( I n C k T K k T ) ( I n K k C k ) E ( x ˜ k | k 1 * l ˜ k | k T ) H k T K k T ( I n K k C k ) E ( x ˜ k | k 1 * v k T ) K k T         K k H k E ( l ˜ k | k x ˜ k | k 1 * T ) ( I n C k T K k T ) + K k H k E ( l ˜ k | k l ˜ k | k T ) H k T K k T + K k H k E ( l ˜ k | k v k T ) K k T K k E ( v k x ˜ k | k 1 * T ) ( I n C k T K k T )         + K k E ( v k l ˜ k | k T ) H k T K k T + K k E ( v k v k T ) K k T
Combining Equations (36) and (21), and known conditions, substituting into Equation (A1) yields
P k | k x = ( I n K k C k ) P k | k 1 x * ( I n C k T K k T ) + K k H k P k | k l H k T K k T + K k R k K k T ( I n K k C k ) E ( x ˜ k | k 1 * l ˜ k | k T ) H k T K k T         ( I n K k C k ) E ( x ˜ k | k 1 * v k T ) K k T K k H k E ( l ˜ k | k x ˜ k | k 1 * T ) ( I n C k T K k T ) + K k H k E ( l ˜ k | k v k T ) K k T         K k E ( v k x ˜ k | k 1 * T ) ( I n C k T K k T ) + K k E ( v k l ˜ k | k T ) H k T K k T
Next calculate E ( x ˜ k | k 1 * l ˜ k | k T ) , E ( x ˜ k | k 1 * v k T ) , E ( l ˜ k | k x ˜ k | k 1 * T ) , E ( l ˜ k | k v k T ) , E ( v k x ˜ k | k 1 * T ) and E ( v k l ˜ k | k T ) to get P k | k x . According to Equations (20) and (13), we get
E ( l ˜ k | k v k T ) = N k E ( Δ k v k T ) = N k E { [ C k ( f ( x k 1 ) x ^ k | k 1 + w k 1 ) + v k ] v k T } = N k R k
Similarly, it can be obtained that E ( v k l ˜ k | k T ) = R k N k T . According to Equations (20), (13), (11), (38), (35), (31), and (A3), it is obtained that
E ( x ˜ k | k 1 * l ˜ k | k T ) = E [ ( f ( x k 1 ) x ^ k | k 1 + w k 1 + G k 1 d ˜ k 1 | k ) Δ k T ] N k T = E { [ f ( x k 1 ) x ^ k | k 1 + w k 1 + G k 1 d ˜ k 1 | k ] [ ( f ( x k 1 ) x ^ k | k 1 + w k 1 ) T C k T + v k T ] } N k T = E { [ f ( x k 1 ) x ^ k | k 1 + w k 1 ] [ f ( x k 1 ) x ^ k | k 1 + w k 1 ] T C k T N k T } E { G k 1 d ˜ k 1 | k [ f ( x k 1 ) x ^ k | k 1 + w k 1 ] T C k T N k T } E ( G k 1 d ˜ k 1 | k v k T N k T ) = P k | k 1 x C k T N k T P k | k 1 d * x C k T N k T + G k 1 E [ ( M k Δ k + M k H k l ˜ k | k ) v k T ] N k T = ( P k | k 1 x + P k | k 1 d * x ) C k T N k T + G k 1 M k E ( Δ k v k T ) N k T + G k 1 M k H k E ( l ˜ k | k v k T ) N k T = ( P k | k 1 x + P k | k 1 d * x ) C k T N k T + G k 1 M k R k N k T G k 1 M k H k N k R k N k T
Similarly, we get E ( l ˜ k | k x ˜ k | k 1 * T ) = N k C k ( P k | k 1 x + P k | k 1 x d * ) + N k R k M k T G k 1 T N k R k N k T H k T M k T G k 1 T . According to equations (35), (31), (13), and (A3), it is obtained that
E ( x ˜ k | k 1 * v k T ) = E [ ( f ( x k 1 ) x ^ k | k 1 + w k 1 + G k 1 d ˜ k 1 | k ) v k T ] = G k 1 E ( d ˜ k 1 | k v k T ) = G k 1 E [ ( M k Δ k M k H k l ˜ k | k ) v k T ] = G k 1 M k E ( Δ k v k T ) G k 1 M k H k E ( l ˜ k | k v k T ) = G k 1 M k R k + G k 1 M k H k N k R k
Similarly, we get E ( v k x ˜ k | k 1 * T ) = R k M k T G k 1 T + R k N k T H k T M k T G k 1 T . Finally, we substitute Equations (A3)–(A5) and the above results into Equation (A2) and then organize to obtain Equation (43). In summary, the derivation process of Equation (43) has been proved.

Appendix B

After performing 100 Monte Carlo simulation experiments, Figure A1 and Figure A2 show the state RMSE time evolution curves of the proposed algorithms for the two cases.
Figure A1. Trajectory comparison of RMSE for the system state x k under proposed algorithms in the first case: (a) Stator current a; (b) Stator current b; (c) Rotor flux a; (d) Rotor flux b; (e) Angular speed.
Figure A1. Trajectory comparison of RMSE for the system state x k under proposed algorithms in the first case: (a) Stator current a; (b) Stator current b; (c) Rotor flux a; (d) Rotor flux b; (e) Angular speed.
Mathematics 12 00099 g0a1
Figure A2. Trajectory comparison of RMSE for the system state x k under proposed algorithms in the second case: (a) Stator current a; (b) Stator current b; (c) Rotor flux a; (d) Rotor flux b; (e) Angular speed.
Figure A2. Trajectory comparison of RMSE for the system state x k under proposed algorithms in the second case: (a) Stator current a; (b) Stator current b; (c) Rotor flux a; (d) Rotor flux b; (e) Angular speed.
Mathematics 12 00099 g0a2

References

  1. Kitanidis, P.K. Unbiased minimum-variance linear state estimation. Automatica 1987, 23, 775–778. [Google Scholar] [CrossRef]
  2. Darouach, M.; Zasadzinski, M. Unbiased minimum variance estimation for systems with unknown exogenous inputs. Automatica 1997, 33, 717–719. [Google Scholar] [CrossRef]
  3. Gillijns, S.; De Moor, B. Unbiased minimum-variance input and state estimation for linear discrete-time systems. Automatica 2007, 43, 111–116. [Google Scholar] [CrossRef]
  4. Lu, P.; Kampen, E.V.; Visser, C.D.; Chu, Q.P. Framework for state and unknown input estimation of linear time-varying systems. Automatica 2016, 73, 145–154. [Google Scholar] [CrossRef]
  5. Delyon, B.; Zhang, Q.H. On the optimality of the Kitanidis filter for state estimation rejecting unknown inputs. Automatica 2021, 132, 109793. [Google Scholar] [CrossRef]
  6. Xiao, M.L.; Zhang, Y.B.; Fu, H.M.; Wang, Z.H. Nonlinear unbiased minimum-variance filter for Mars entry autonomous navigation under large uncertainties and unknown measurement bias. ISA Trans. 2018, 76, 97–109. [Google Scholar] [CrossRef] [PubMed]
  7. Asgari, M.; Khaloozadeh, H. Robust extended Kalman filtering for non-linear systems with unknown input: A UBB model approach. IET Radar Sonar Navig. 2020, 14, 1837–1844. [Google Scholar] [CrossRef]
  8. Zhang, D.; Shen, Z.X.; Song, Y.D. Robust adaptive fault-tolerant control of nonlinear uncertain systems tracking uncertain target trajectory. Inf. Sci. 2017, 415, 446–460. [Google Scholar] [CrossRef]
  9. Luo, Z.; Fang, H.J. Fault detection for non-linear system with unknown input and state constraints. IET Signal Process. 2013, 7, 800–806. [Google Scholar] [CrossRef]
  10. Huang, J.S.; Li, X.Z.; Yang, X.J.; Zheng, Z.P.; Lei, Y. Experimental validation of the proposed extended Kalman filter with unknown inputs algorithm based on data fusion. J. Low Freq. Noise Vib. Active Control 2020, 39, 835–849. [Google Scholar] [CrossRef]
  11. Meyer, L.; Ichalal, D.; Vigneron, V. An unknown input extended Kalman filter for nonlinear stochastic systems. Eur. J. Control 2020, 56, 51–61. [Google Scholar] [CrossRef]
  12. Athans, M.; Wishner, R.P.; Bertolini, A. Suboptimal State Estimation for Continuous-time Nonlinear Systems from Discrete Noisy Measurements. IEEE Trans. Autom. Control 1968, 13, 504–514. [Google Scholar] [CrossRef]
  13. Luo, Z.; Fang, H.J. Fault Detection for Nonlinear Systems with Unknown Input. Asian J. Control 2013, 15, 1503–1509. [Google Scholar] [CrossRef]
  14. Julier, S.J.; Uhlmann, J.K.; Durrant-Whyte, H.F. A New Method for the Nonlinear Transformation of Means and Covariances in Filters and Estimators. IEEE Trans. Autom. Control 2000, 45, 477–482. [Google Scholar] [CrossRef]
  15. Lefebvre, T.; Bruyninckx, H.; De Schutter, J. Comment on “A New Method for the Nonlinear Transformation of Means and Covariances in Filters and Estimators”. IEEE Trans. Autom. Control 2002, 47, 1406–1409. [Google Scholar] [CrossRef]
  16. Liu, X.H.; Guan, J.W.; Jiang, R.; Gao, X.; Chen, B.D.; Ge, S.S. Robust strong tracking unscented Kalman filter for non-linear systems with unknown inputs. IET Signal Process. 2022, 16, 351–365. [Google Scholar] [CrossRef]
  17. Arasaratnam, I.; Haykin, S. Cubature Kalman Filters. IEEE Trans. Autom. Control 2009, 54, 1254–1269. [Google Scholar] [CrossRef]
  18. Ding, J.L.; Xiao, J.; Zhang, Y.; Iqbal, M.N. Distributed State Estimation for Discrete-Time Nonlinear System with Unknown Inputs. Circuits Syst. Signal Process. 2014, 33, 3421–3441. [Google Scholar] [CrossRef]
  19. Zhao, W.; Li, H.G.; Zou, L.Y.; Huang, W.J. Nonlinear Unknown Input Observer Based on Singular Value Decomposition Aided Reduced Dimension Cubature Kalman Filter. Math. Probl. Eng. 2017, 2017, 1267380. [Google Scholar] [CrossRef]
  20. Pan, S.W.; Xiao, D.; Xing, S.T.; Law, S.S.; Du, P.Y.; Li, Y.J. A general extended Kalman filter for simultaneous estimation of system and unknown inputs. Eng. Struct. 2016, 109, 85–98. [Google Scholar] [CrossRef]
  21. Xiao, Q.; Fu, H.M.; Wang, Z.H.; Zhang, Y.B.; Wu, Y.Z. The stability analysis of the adaptive three-stage Kalman filter. Signal Process. 2016, 118, 1–24. [Google Scholar] [CrossRef]
  22. Jahanian, M.; Ramezani, A.; Moarefianpour, A.; Shoorehdeli, M.A. Robust extended Kalman filtering for nonlinear systems in the presence of unknown inputs and correlated noises. Optim. Control Appl. Meth. 2022, 43, 243–256. [Google Scholar] [CrossRef]
  23. Xiao, M.L.; Zhang, Y.B.; Wang, Z.H.; Fu, H.M. An adaptive three-stage extended Kalman filter for nonlinear discrete-time system in presence of unknown inputs. ISA Trans. 2018, 75, 101–117. [Google Scholar] [CrossRef] [PubMed]
  24. Xiao, M.L.; Zhang, Y.B.; Fu, H.M. Three-stage unscented Kalman filter for state and fault estimation of nonlinear system with unknown Input. J. Frankl. Inst. 2017, 354, 8421–8443. [Google Scholar] [CrossRef]
  25. Lin, J.X.; Jiang, G.P.; Gao, Z.F.; Rong, L.N. State and input simultaneous estimation for discrete-time switched singular delay systems with missing measurements. Int. J. Robust Nonlinear Control 2017, 27, 2749–2772. [Google Scholar] [CrossRef]
  26. Li, Y.Y.; Liu, S.; Zhong, M.Y.; Ding, S.X. State estimation for stochastic discrete-time systems with multiplicative noises and unknown inputs over fading channels. Appl. Math. Comput. 2018, 320, 116–130. [Google Scholar] [CrossRef]
  27. Li, Z.J.; Sun, M.X.; Duan, Q.W.; Mao, Y. Robust State Estimation for Uncertain Discrete Linear Systems with Delayed Measurements. Mathematics 2022, 10, 1365. [Google Scholar] [CrossRef]
  28. Fu, H.S.; Cui, B.T.; Zhuang, B.; Zhang, J.Z. State Estimation for a Class of Distributed Parameter Systems with Time-Varying Delay over Mobile Sensor-Actuator Networks with Missing Measurements. Mathematics 2021, 9, 661. [Google Scholar] [CrossRef]
  29. Nejati, Z.; Abedi, M.; Faraji, A. Modified three stage Kalman filtering for stochastic non-linear systems with randomly occurring faults and intermittent measurements. IET Control Theory Appl. 2022, 16, 674–697. [Google Scholar] [CrossRef]
  30. Feng, X.X.; Li, S.H.; Pan, F. State estimate for stochastic systems with dual unknown interference inputs. Chin. J. Aeronaut. 2020, 33, 2395–2407. [Google Scholar] [CrossRef]
  31. Zarei, J.; Shokri, E. Robust sensor fault detection based on nonlinear unknown input observer. Measurement 2014, 48, 355–367. [Google Scholar] [CrossRef]
  32. Cui, X.Y.; Jing, Z.; Luo, M.J.; Guo, Y.Z.; Qiao, H.M. A New Method for State of Charge Estimation of Lithium-Ion Batteries Using Square Root Cubature Kalman Filter. Energies 2018, 11, 209. [Google Scholar] [CrossRef]
  33. Liu, J.B.; Gnanasekar, A.; Zhang, Y.; Bo, S.; Liu, J.F.; Hu, J.T.; Zou, T. Simultaneous state and parameter estimation: The role of sensitivity analysis. Ind. Eng. Chem. Res. 2021, 60, 2971–2982. [Google Scholar] [CrossRef]
  34. Gillijns, S.; De Moor, B. Unbiased minimum-variance input and state estimation for linear discrete-time systems with direct feedthrough. Automatica 2007, 43, 934–937. [Google Scholar] [CrossRef]
  35. Ding, F. State filtering and parameter estimation for state space systems with scarce measurements. Signal Process. 2014, 104, 369–380. [Google Scholar] [CrossRef]
  36. Zhang, X.; Ding, F. Hierarchical parameter and state estimation for bilinear systems. Int. J. Syst. Sci. 2020, 51, 275–290. [Google Scholar] [CrossRef]
  37. Zhang, X.; Ding, F.; Yang, E.F. State estimation for bilinear systems through minimizing the covariance matrix of the state estimation errors. Int. J. Adaptive Control Signal Process. 2019, 33, 1157–1173. [Google Scholar] [CrossRef]
  38. Marino, R.; Peresada, S.; Valigi, P. Adaptive Input-output Linearizing Control of Induction Motors. IEEE Trans. Autom. Control 1993, 38, 208–221. [Google Scholar] [CrossRef]
  39. Xiong, K.; Zhang, H.Y.; Chan, C.W. Performance evaluation of UKF-based nonlinear filtering. Automatica 2006, 42, 261–270. [Google Scholar] [CrossRef]
  40. Ding, F.; Xu, L.; Zhang, X.; Zhou, Y.H. Filtered auxiliary model recursive generalized extended parameter estimation methods for Box-Jenkins systems by means of the filtering identification idea. Int. J. Robust Nonlinear Control 2023, 33, 5510–5535. [Google Scholar] [CrossRef]
  41. Hu, C.; Ji, Y.; Ma, C.Q. Joint two-stage multi-innovation recursive least squares parameter and fractional-order estimation algorithm for the fractional-order input nonlinear output-error autoregressive model. Int. J. Adapt. Control Signal Process. 2023, 37, 1650–1670. [Google Scholar] [CrossRef]
  42. Banerjee, A.; Das, G. Estimation of unknown input using reduced order Das and Ghosal observer. In Proceedings of the 2013 IEEE International Conference on Emerging Trends in Computing, Communication and Nanotechnology, Tirunelveli, India, 25–26 March 2013. [Google Scholar]
  43. Banerjee, A.; Mondal, P.P.; Das, G. Construction of full order observer for linear time invariant systems using generalized matrix inverse. In Proceedings of the 2013 IEEE Conference on Information and Communication Technologies, Thuckalay, India, 11–12 April 2013. [Google Scholar]
Figure 1. Actual and estimated values of the unknown input d k 1 : (a) The unknown input component d 1 , k 1 : (b) The unknown input component d 2 , k 1 .
Figure 1. Actual and estimated values of the unknown input d k 1 : (a) The unknown input component d 1 , k 1 : (b) The unknown input component d 2 , k 1 .
Mathematics 12 00099 g001
Figure 2. Actual and estimated values of the unknown input l k : (a) The unknown input component l 1 k ; (b) The unknown input component l 2 k .
Figure 2. Actual and estimated values of the unknown input l k : (a) The unknown input component l 1 k ; (b) The unknown input component l 2 k .
Mathematics 12 00099 g002
Figure 3. Estimation comparison of the system states x k under proposed algorithm and classical algorithm: (a) Stator current a; (b) Stator current b; (c) Rotor flux a; (d) Rotor flux b; (e) Angular speed.
Figure 3. Estimation comparison of the system states x k under proposed algorithm and classical algorithm: (a) Stator current a; (b) Stator current b; (c) Rotor flux a; (d) Rotor flux b; (e) Angular speed.
Mathematics 12 00099 g003aMathematics 12 00099 g003b
Figure 4. Actual and estimated values of the unknown input d k 1 : (a) The unknown input component d 1 , k 1 ; (b) The unknown input component d 2 , k 1 .
Figure 4. Actual and estimated values of the unknown input d k 1 : (a) The unknown input component d 1 , k 1 ; (b) The unknown input component d 2 , k 1 .
Mathematics 12 00099 g004
Figure 5. Actual and estimated values of the unknown input l k : (a) The unknown input component l 1 k ; (b) The unknown input component l 2 k .
Figure 5. Actual and estimated values of the unknown input l k : (a) The unknown input component l 1 k ; (b) The unknown input component l 2 k .
Mathematics 12 00099 g005
Figure 6. Estimation comparison of the system states x k under proposed algorithm and classical algorithm: (a) Stator current a; (b) Stator current b; (c) Rotor flux a; (d) Rotor flux b; (e) Angular speed.
Figure 6. Estimation comparison of the system states x k under proposed algorithm and classical algorithm: (a) Stator current a; (b) Stator current b; (c) Rotor flux a; (d) Rotor flux b; (e) Angular speed.
Mathematics 12 00099 g006
Table 1. The mean RMSE of estimated values of the unknown input d k 1 .
Table 1. The mean RMSE of estimated values of the unknown input d k 1 .
Unknown InputISRCKF1ISRCKF2SRCKF
d 1 , k 1 0.60340.3962N/A
d 2 , k 1 0.49440.3292N/A
Table 2. The mean RMSE of estimated values of the unknown input l k .
Table 2. The mean RMSE of estimated values of the unknown input l k .
Unknown InputISRCKF1ISRCKF2SRCKF
l 1 k 0.18880.1360N/A
l 2 k 0.33140.2216N/A
Table 3. The mean RMSE of estimated values of the system states x k .
Table 3. The mean RMSE of estimated values of the system states x k .
System StateISRCKF1ISRCKF2
x 1 (A)0.09910.0985
x 2 (A)0.09830.1239
x 3 (Wb)0.11350.0841
x 4 (Wb)0.21690.1365
x 5 (Rad/s)0.62080.3631
Table 4. The mean RMSE of estimated values of the unknown input d k 1 .
Table 4. The mean RMSE of estimated values of the unknown input d k 1 .
Unknown InputISRCKF1ISRCKF2SRCKF
d 1 , k 1 0.74850.6686N/A
d 2 , k 1 0.49270.3955N/A
Table 5. The mean RMSE of estimated values of the unknown input l k .
Table 5. The mean RMSE of estimated values of the unknown input l k .
Unknown InputISRCKF1ISRCKF2SRCKF
l 1 k 0.22600.1816N/A
l 2 k 0.31300.2121N/A
Table 6. The mean RMSE of estimated values of the system states x k .
Table 6. The mean RMSE of estimated values of the system states x k .
System StateISRCKF1ISRCKF2
x 1 (A)0.09860.0989
x 2 (A)0.09830.0988
x 3 (Wb)0.11580.0810
x 4 (Wb)0.21970.1595
x 5 (Rad/s)0.75690.4841
Disclaimer/Publisher’s Note: The statements, opinions and data contained in all publications are solely those of the individual author(s) and contributor(s) and not of MDPI and/or the editor(s). MDPI and/or the editor(s) disclaim responsibility for any injury to people or property resulting from any ideas, methods, instructions or products referred to in the content.

Share and Cite

MDPI and ACS Style

Lu, Z.; Wang, N.; Dong, S. Improved Square-Root Cubature Kalman Filtering Algorithm for Nonlinear Systems with Dual Unknown Inputs. Mathematics 2024, 12, 99. https://doi.org/10.3390/math12010099

AMA Style

Lu Z, Wang N, Dong S. Improved Square-Root Cubature Kalman Filtering Algorithm for Nonlinear Systems with Dual Unknown Inputs. Mathematics. 2024; 12(1):99. https://doi.org/10.3390/math12010099

Chicago/Turabian Style

Lu, Zihao, Na Wang, and Shigui Dong. 2024. "Improved Square-Root Cubature Kalman Filtering Algorithm for Nonlinear Systems with Dual Unknown Inputs" Mathematics 12, no. 1: 99. https://doi.org/10.3390/math12010099

APA Style

Lu, Z., Wang, N., & Dong, S. (2024). Improved Square-Root Cubature Kalman Filtering Algorithm for Nonlinear Systems with Dual Unknown Inputs. Mathematics, 12(1), 99. https://doi.org/10.3390/math12010099

Note that from the first issue of 2016, this journal uses article numbers instead of page numbers. See further details here.

Article Metrics

Back to TopTop