Accelerating Convergence of Langevin Dynamics via Adaptive Irreversible Perturbations
Abstract
:1. Introduction
2. Improving the Performance of Langevin Dynamics
2.1. Replica Exchange Langevin Dynamics
2.2. Irreversible Perturbations
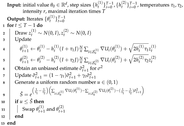
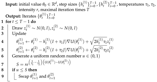
3. Adaptively Irreversible Replica-Exchange Langevin Dynamics
| Algorithm 1: Adaptively irreversible replica-exchange Langevin dynamics |
![]() |
Stochastic Gradient Langevin Dynamics
| Algorithm 2: Stochastic Gradient Langevin Dynamics |
![]() |
| Algorithm 3: Adaptively irreversible replica-exchange stochastic gradient Langevin dynamics. |
![]() |
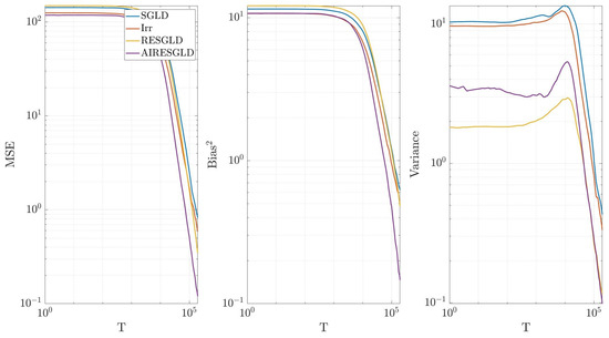
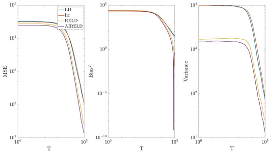
4. Experiments
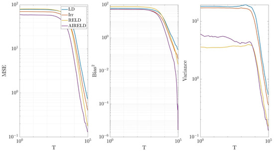
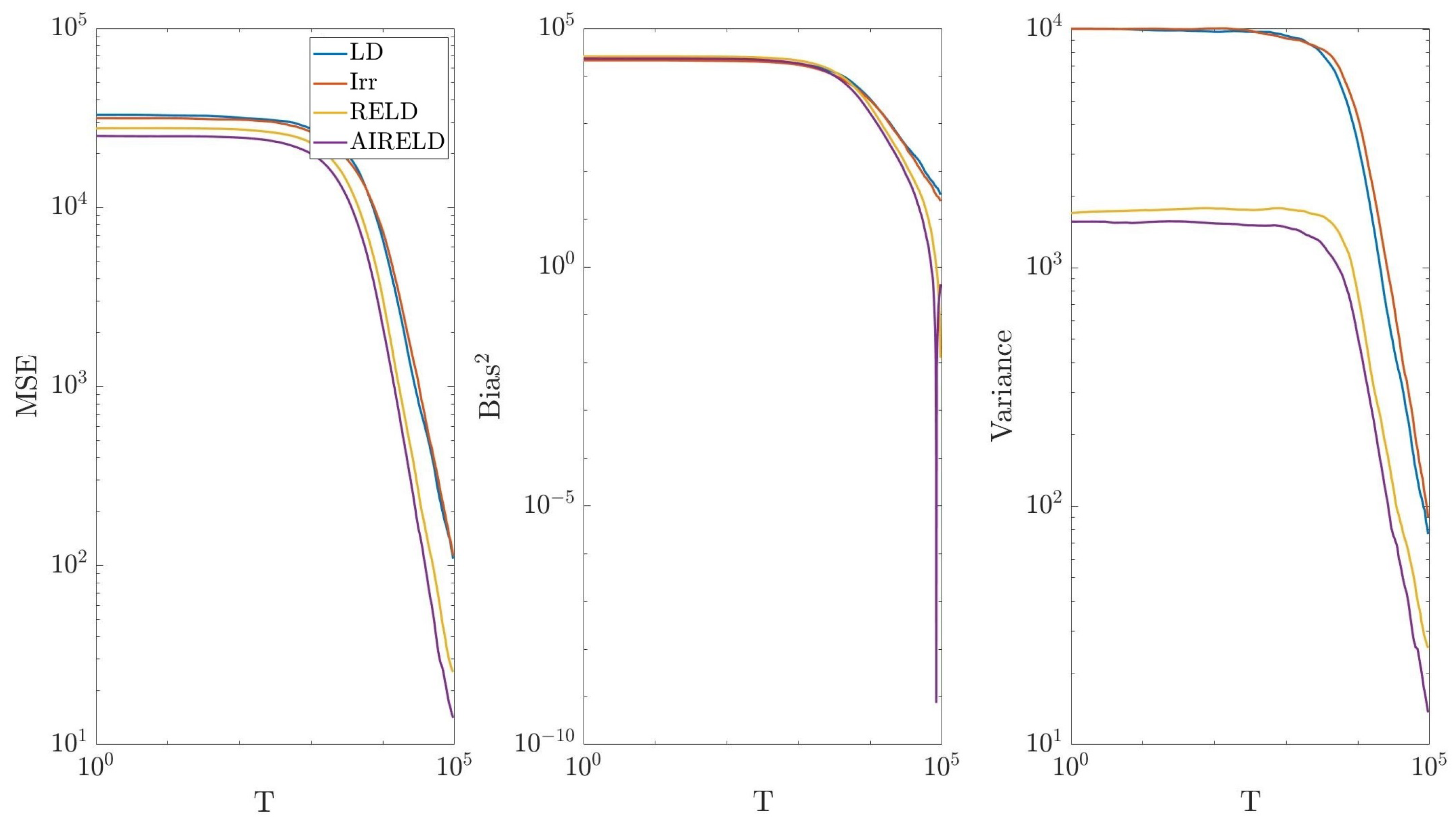
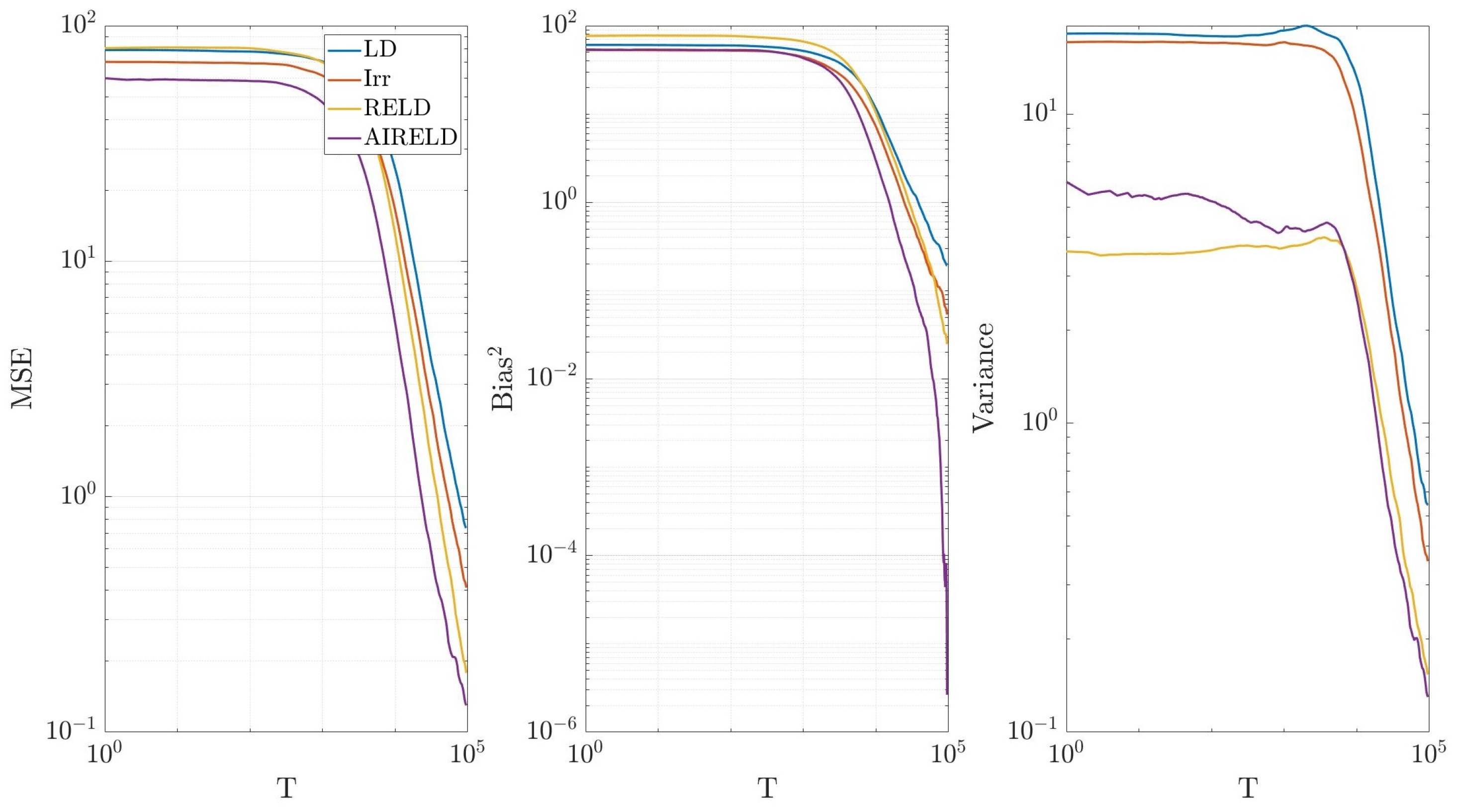
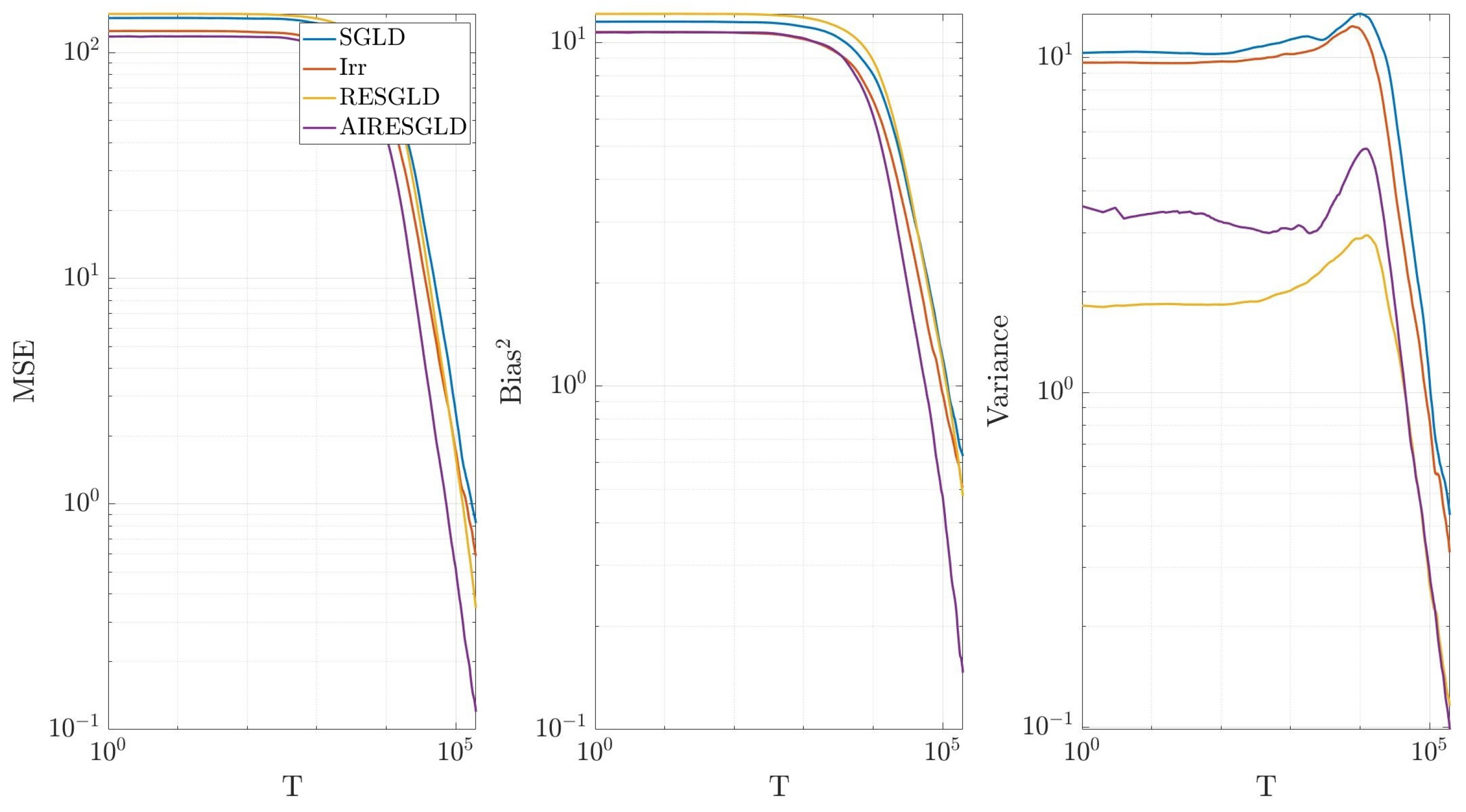
4.1. Parameters of a Normal Distribution
4.2. Mixture of 25 Two-Dimensional Gaussian Distribution
4.3. Simulations of Multi-Modal Distribution
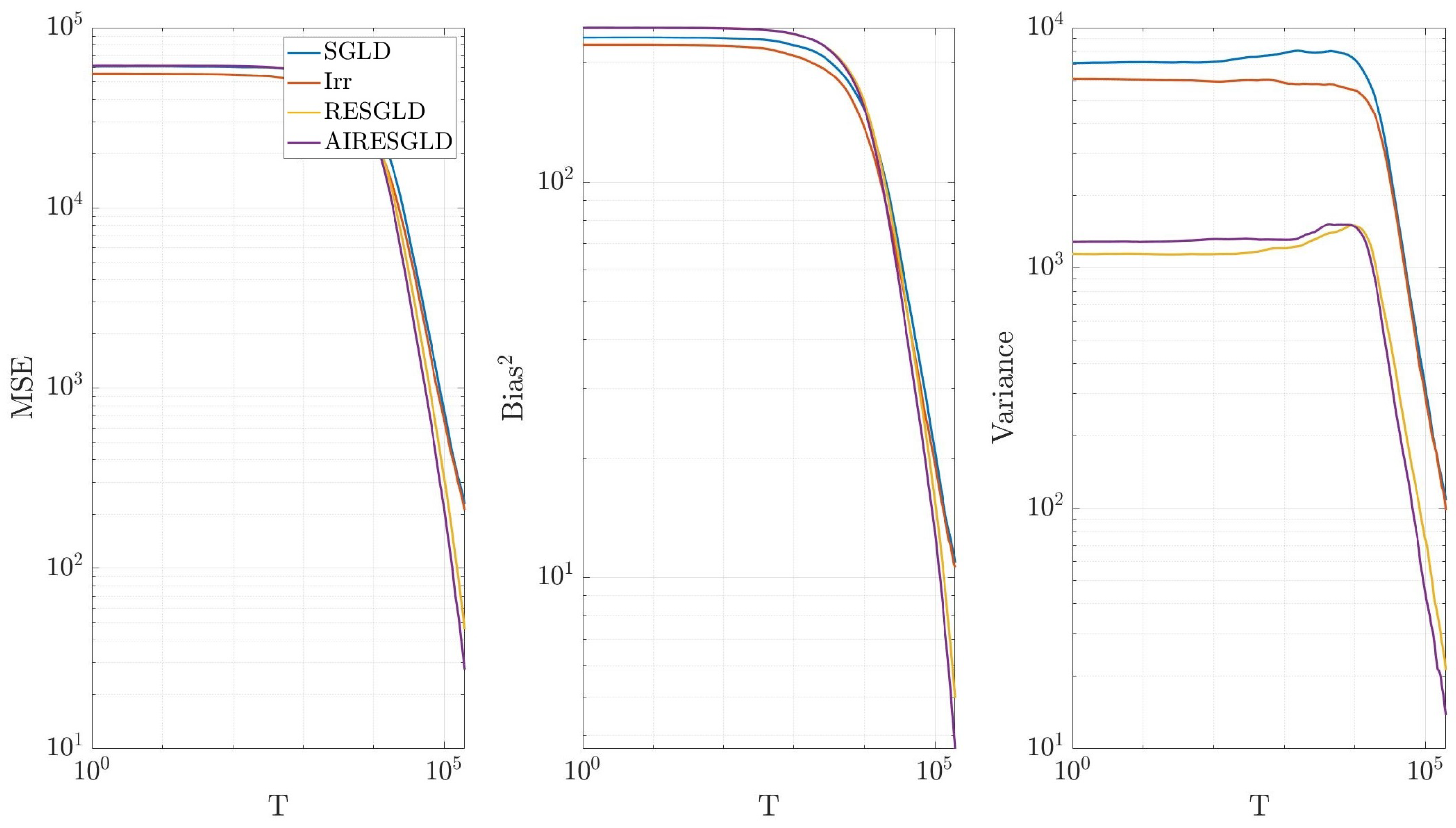
4.4. Bayesian Logistic Regression
5. Conclusions
Author Contributions
Funding
Data Availability Statement
Acknowledgments
Conflicts of Interest
References
- Chen, Y.; Chen, J.; Dong, J.; Peng, J.; Wang, Z. Accelerating nonconvex learning via replica exchange Langevin diffusion. In Proceedings of the 7th International Conference on Learning Representations, New Orleans, LA, USA, 6–9 May 2019. [Google Scholar]
- Li, X.; Wu, Y.; Mackey, L.; Erdogdu, M.A. Stochastic Runge-Kutta accelerates Langevin Monte Carlo and beyond. In Proceedings of the Advances in Neural Information Processing Systems 32, Vancouver, BC, Canada, 8–14 December 2019. [Google Scholar]
- Zhang, R.; Li, C.; Zhang, J.; Chen, C.; Wilson, A.G. Cyclical stochastic gradient MCMC for Bayesian deep learning. In Proceedings of the 8th International Conference on Learning Representations, Addis Ababa, Ethiopia, 26–30 April 2020. [Google Scholar]
- Deng, W.; Liang, S.; Hao, B.; Lin, G.; Liang, F. Interacting contour stochastic gradient Langevin dynamics. In Proceedings of the 10th International Conference on Learning Representations, Virtual, 25–29 April 2022. [Google Scholar]
- Hwang, C.R.; Hwang-Ma, S.Y.; Sheu, S.J. Accelerating diffusions. Ann. Appl. Probab. 2005, 15, 1433–1444. [Google Scholar] [CrossRef]
- Rey-Bellet, L.; Spiliopoulos, K. Irreversible Langevin samplers and variance reduction: A large deviations approach. Nonlinearity 2015, 28, 2081. [Google Scholar] [CrossRef]
- Rey-Bellet, L.; Spiliopoulos, K. Variance reduction for irreversible Langevin samplers and diffusion on graphs. Electron. Commun. Probab. 2015, 20, 1–16. [Google Scholar] [CrossRef]
- Rey-Bellet, L.; Spiliopoulos, K. Improving the Convergence of Reversible Samplers. J. Stat. Phys. 2016, 164, 472–494. [Google Scholar] [CrossRef]
- Zhang, B.J.; Marzouk, Y.M.; Spiliopoulos, K. Geometry-informed irreversible perturbations for accelerated convergence of Langevin dynamics. Stat. Comput. 2022, 32, 78. [Google Scholar] [CrossRef] [PubMed]
- Girolami, M.; Calderhead, B. Riemann manifold langevin and hamiltonian monte carlo methods. J. R. Stat. Soc. Ser. B Stat. Methodol. 2011, 73, 123–214. [Google Scholar] [CrossRef]
- Duncan, A.B.; Lelievre, T.; Pavliotis, G.A. Variance reduction using nonreversible Langevin samplers. J. Stat. Phys. 2016, 163, 457–491. [Google Scholar] [CrossRef] [PubMed]
- Earl, D.J.; Deem, M.W. Parallel tempering: Theory, applications, and new perspectives. Phys. Chem. Chem. Phys. 2005, 7, 3910–3916. [Google Scholar] [CrossRef] [PubMed]
- Sindhikara, D.; Meng, Y.; Roitberg, A.E. Exchange frequency in replica exchange molecular dynamics. J. Chem. Phys. 2008, 128, 024103. [Google Scholar] [CrossRef] [PubMed]
- Deng, W.; Feng, Q.; Gao, L.; Liang, F.; Lin, G. Non-convex learning via replica exchange stochastic gradient MCMC. In Proceedings of the 37th International Conference on Machine Learning, Virtual, 13–18 July 2020. [Google Scholar]
- Marinari, E.; Parisi, G. Simulated tempering: A new Monte Carlo scheme. Europhys. Lett. 1992, 19, 451. [Google Scholar] [CrossRef]
- Geyer, C.J.; Thompson, E.A. Annealing Markov chain Monte Carlo with applications to ancestral inference. J. Am. Stat. Assoc. 1995, 90, 909–920. [Google Scholar] [CrossRef]
- Pavliotis, G.A. Stochastic Processes and Applications: Diffusion Processes, the Fokker-Planck and Langevin Equations, 1st ed.; Springer: New York, NY, USA, 2014; pp. 122–124. [Google Scholar]
- Lelièvre, T.; Nier, F.; Pavliotis, G.A. Optimal non-reversible linear drift for the convergence to equilibrium of a diffusion. J. Stat. Phys. 2013, 152, 237–274. [Google Scholar] [CrossRef]
- Ottobre, M.; Pillai, N.S.; Spiliopoulos, K. Optimal scaling of the MALA algorithm with irreversible proposals for Gaussian targets. Stochastics Partial. Differ. Equ. Anal. Comput. 2020, 8, 311–361. [Google Scholar] [CrossRef]
- Welling, M.; Teh, Y.W. Bayesian learning via stochastic gradient Langevin dynamics. In Proceedings of the 28th International Conference on Machine Learning, Bellevue, DC, USA, 28 June–2 July 2011. [Google Scholar]
- Teh, Y.W.; Thiéry, A.; Vollmer, S. Consistency and fluctuations for stochastic gradient Langevin dynamics. J. Mach. Learn. Res. 2016, 17, 1–33. [Google Scholar]
- Vollmer, S.J.; Zygalakis, K.C.; Teh, Y.W. Exploration of the (non-) asymptotic bias and variance of stochastic gradient Langevin dynamics. J. Mach. Learn. Res. 2016, 17, 5504–5548. [Google Scholar]
- Deng, W.; Lin, G.; Liang, F. A contour stochastic gradient Langevin dynamics algorithm for simulations of multi-modal distributions. Adv. Neural Inf. Process. Syst. 2020, 3, 15725–15736. [Google Scholar]











Disclaimer/Publisher’s Note: The statements, opinions and data contained in all publications are solely those of the individual author(s) and contributor(s) and not of MDPI and/or the editor(s). MDPI and/or the editor(s) disclaim responsibility for any injury to people or property resulting from any ideas, methods, instructions or products referred to in the content. |
© 2023 by the authors. Licensee MDPI, Basel, Switzerland. This article is an open access article distributed under the terms and conditions of the Creative Commons Attribution (CC BY) license (https://creativecommons.org/licenses/by/4.0/).
Share and Cite
Wu, Z.; Huang, Z.; Wu, S.; Yu, Z.; Zhu, L.; Yang, L. Accelerating Convergence of Langevin Dynamics via Adaptive Irreversible Perturbations. Mathematics 2024, 12, 118. https://doi.org/10.3390/math12010118
Wu Z, Huang Z, Wu S, Yu Z, Zhu L, Yang L. Accelerating Convergence of Langevin Dynamics via Adaptive Irreversible Perturbations. Mathematics. 2024; 12(1):118. https://doi.org/10.3390/math12010118
Chicago/Turabian StyleWu, Zhenqing, Zhejun Huang, Sijin Wu, Ziying Yu, Liuxin Zhu, and Lili Yang. 2024. "Accelerating Convergence of Langevin Dynamics via Adaptive Irreversible Perturbations" Mathematics 12, no. 1: 118. https://doi.org/10.3390/math12010118
APA StyleWu, Z., Huang, Z., Wu, S., Yu, Z., Zhu, L., & Yang, L. (2024). Accelerating Convergence of Langevin Dynamics via Adaptive Irreversible Perturbations. Mathematics, 12(1), 118. https://doi.org/10.3390/math12010118




