Abstract
In this paper, we investigate the problem of achieving distributed coverage control of a mobile sensor network on an unknown region using local measurements. To accomplish this objective, each sensor is equipped with two-layer dynamics. The upper layer dynamic employs a completely distributed observer algorithm on the target region for state estimation of the density function. The lower layer dynamic utilizes a radial basis function neural network-based motion algorithm, which involves only the estimated state obtained by the upper layer dynamics, to guide the sensors towards an optimal coverage configuration. We demonstrate that with only the joint detectability of the partial outputs measurement, it is possible to achieve distributed coverage control in the unknown region without requiring additional information about the density function, communication topology associated with the sensors, or coupling gains. Finally, two examples are used to validate the theoretical findings.
Keywords:
coverage control; distributed observer; density function; radial basis function neural network MSC:
93A16
1. Introduction
As a branch of cooperative control of multi-agent systems [1,2,3,4], coverage control of multi-agent systems has gained more and more attention [5,6,7,8,9]. A decentralized control law [10] is proposed to drive a network of mobile robots to an optimal sensing configuration by using an adaptive control architecture. In [11], the blanket coverage problem is addressed to cover a long region by imposing the dynamics of the boundaries on an agent’s respective control law, which ensures the locally optimal partitioning for the moving coverage area. They achieve optimal coverage in static [10] and dynamic [11] regions, respectively, with known environmental information. However, the actual application region information is probably unknown. Much attention has been focused on the coverage control of the unidentified region. With unknown environment information, a robust coverage control algorithm [6] is proposed to guide the unicycle robot network to the ideal configuration on the basis of an approximated density function. For a sensor network, the main object of coverage control is to drive the sensors to distribute over a region while aggregating in locations of their high interest [12]. As we know, there is a considerable amount of literature on the coverage control of a region with multiple robots, such as [6,7,8,9]. A dynamic coverage planning technique is given in [7] which can eliminate the convexity requirement restrictions of the targeted area by using the K-means approach. In [8,9], a deep reinforcement learning algorithm is introduced to address the problem of region coverage and exploration. Voronoi partition is one of the common ways to study the coverage control of multi-agent systems [9,13]. Further, the communication between agents should be considered when mobile sensor networks cover the targeted area. A hybrid scheme is proposed that decouples the optimization of the coverage objective from the control of the communication variables, which optimizes coverage and the routing of information [14]. With the Voronoi partition method, a convex region can be divided into several Voronoi cells, where the number of the Voronoi cells is equal to the number of sensors with one sensor per cell. The underlying idea of Voronoi-based coverage control is to design a control algorithm for each sensor to minimize a cost function so as to drive the sensor to the optimal coverage configuration. Namely, in coverage control, all the sensors are not dropped or thrown into the targeted region randomly, but deployed on the optimal locations of the corresponding Voronoi cells. This remarkable feature makes the Voronoi-based coverage control widely used in practical applications, such as monitoring and surveillance of targeted ocean regions.
As was stated, for the coverage control of a sensor network, the optimal location of each sensor is affected by its interest element. Generally speaking, the interest elements are unknown, so that the observer-based coverage control turns out [6]. In [6], a state estimation algorithm [15] is firstly equipped on each sensor to estimate the information of the targeted region; then, the coverage control algorithm is given to guide the motion of each sensor to reach the optimal coverage configuration. However, on one hand, it is important to consider that covering control is often associated with targeted regions that are typically expansive. This presents challenges in guaranteeing the detectability or observability of the interest elements through a single sensor measurement. On the other hand, let us consider the example of monitoring an oceanic region. The environmental variables that need to be monitored encompass temperature, pH, salinity, chemical plumes, and more. Achieving measurements for these numerous elements using a single sensor is arduous, if not impossible. Given the aforementioned circumstances, the implementation of a distributed observer [16,17,18,19,20] becomes necessary. In a distributed observer, a network of sensors are strategically deployed in spatial locations to effectively measure the output information of the targeted system and simultaneously, a distributed state estimation algorithm is integrated into each sensor. Each sensor in the distributed observer has only to access partial outputs, that is, the local measurement. Then, the distributed communication among the sensors on estimated states can prompt the implementation of the state estimation. Under the condition that the information of the targeted region is unknown and only partial output information of the objects is available, this paper approximates the unknown density function of the targeted region by using the radial basis function neural network (RBFNN) and considers the distributed observer-based coverage control problem of a sensor network.
1.1. Contribution
In this paper, an RBFNN-based distributed coverage algorithm is designed for a mobile sensor network to form an optimal coverage configuration on a complex targeted region with multiple objects. The difficulties, significant manipulations, and innovations discussed in this work are summarized as follows:
- For a convex targeted region with multiple objects, considering the fact that the objects are unknown and that they may be spread over a vast region, two-layer dynamics is endowed to each sensor, where the upper dynamics is a distributed observer algorithm implementing the state estimation on the targets via the partial measurement, while the lower dynamics aims at guiding the motion of the i-th sensor to cover the multiple objects in the targeted region. The fact that each sensor in the distributed observer has only to measure partial outputs of the objects makes the distributed observer well suited for state estimation of objects spread over a vast region.
- Notice that the lower layer dynamics is a negative feedback law driving each sensor to reach its own optimal location. With the estimated state of the objects given by the distributed observer algorithm in the upper layer dynamics, the RBFNN is adopted to estimate the unknown density function of the targeted region; it further determines the optimal location of each sensor which is determined by a estimated state-based cost function. Hence, the coverage motion control algorithm constructed in this paper relates only to the partial output information of the objects.
- The Voronoi partitions and coverage motion of sensors result in a sensor network with dynamic communication topology. To the best of our knowledge, the existing Voronoi-based coverage control results of sensor networks are dependent on the communication topology of the sensors. In this paper, in order to eliminate the dependence of the distributed observer algorithm in the upper layer dynamics of each sensor on this dynamic communication topology, Lyapunov functions irrelevant to the communication topology are constructed to solve the completely distributed observer-based coverage control problem, eliminating the influence of the changes in the communication topology.
With these significant manipulations, coverage control of a complex region with multiple objects is accomplished by a sensor network, where each sensor can only access a part of the outputs and the partial outputs are jointly detectable with the system matrix.
1.2. Organization
The rest of this paper is organized as follows. Section 2 presents some preliminaries and the problem statement and designs the motion control algorithm. By adopting RBFNN to estimate the unknown density function of the targeted region, Section 3 proposes a distributed observer-based coverage control. Further, a density function observer without any global topology information is designed by using the adaptive strategy. In Section 4, numerical simulations are provided to verify the theoretical results and Section 5 concludes the whole paper.
2. Preliminary and Problem Statement
2.1. Notation
denotes the set of real matrices while is an identity matrix with -dimensions. For a matrix , and denote its kernal and image, respectively. Moreover, and ; denotes the orthogonal complement of A. and stand for the minimum and maximal eigenvalues of A, respectively. is the 2-norm of a matrix or a vector, and means that matrix A is positive definite. Throughout the paper, is an arbitrary constant.
2.2. Graph Theory
The communication topology of the N sensors is determined by the Voronoi partition of . As declared in the previous statement, the i-th sensor is located in the Voronoi cell . Here, a triple is used to describe the communication relation, where is the node set with the element i denoting the i-th sensor. is the time-varying edge set which varies as the Voronoi partition of . In , the unordered pairs of vertices present the undirected neighboring relations among the sensors. As stated in [9], if the Voronoi cell and the Voronoi cell share a common edge. Associated with , the third element in , which is a matrix with time-varying element with , is defined as
Then, the Laplacian matrix of can be defined as with
Moreover, based on the adjacency matrix, the time-varying neighbor set of i can be defined by .
Next, in correspondence with the previous statement, some algorithms which play a key role are given.
2.3. Problem Statement
In this paper, we aim at covering a complex targeted region , which is convex and occupies multiple objects. Suppose that there are objects in , which are governed by the following dynamics:
where describes the state of the M objects; A is the system matrix with compatible dimension. Notice that the state x not only contains the positions of the M targets but also some other variables. Without loss of generality, we assume that the first elements in x, denoted by , describe the positions of the M targets, where and
with describing the position of the i-th target. For brevity, we denote with being some other variables. For example, in the monitoring and surveillance of a targeted ocean region, may represent the temperature, pH, salinity, or chemical plumes.
If the targeted region is known, the information of the objects is certainly known. In this case, as was done in [9], a density function with Gaussian distribution is given to describe the influence of the M objects on , which is given as
where is the position of the point of , is the position of the s-th object with , is a spatial sensitivity coefficient which determines the height and width of the density function, is the weight which describes the influence of the s-th object, and is the influence model of the s-th object.
In this paper, a sensor network consisting of N agents is used to converge , where each sensor regulates its location according to the following dynamics:
where is the position of the i-th sensor, denoting its location; the to be designed is the velocity of the sensor which is to drive the sensor to an optimal location for the coverage of in a distributed manner. What is more, the communication among the sensors is determined by the Voronoi partition of .
Associated with the N sensors, is partitioned into N Voronoi cells, denoted by . In particular, by [21], is defined as
which indicates that the Voronoi partitions are determined by the positions of the sensors. Then, to describe the coverage effect of each agent, the cost function
is used to calculate the sensing performance at point around every position , which is the function of the Euclidean distance . In (4), the distance function is defined as
with , . Qualitatively, the larger the value of , the better the configuration for sensory coverage of the region . Note that the density function is affected by the position of the target.
However, on one hand, it is hard or even impossible to obtain the real position of each object directly in some practical applications, so that cannot be used directly in (2). How to obtain the position of each object via the output y is another problem to be considered. Beyond these factors, regarding the wide occupancy of the region, the output measurement cannot be carried out by a single agent but requires a network of agents. In this sensor network, each agent measures only a part of the outputs. In mathematical expression, the output measured by the i-th agent is
where contains a subset of the rows of C. The total measurement obtained by all sensors is the sum of all local measurements, shown as . On the other hand, the targeted region is unknown which implies that in (2), is unknown, so novel approaches are required to estimate it. Next, the RBFNN is introduced to calculate the density function of the targeted region.
2.4. RBFNN-Based Estimation on
In this subsection, our objective is to enhance the estimation of the density function for the targeted region using the RBFNN technique. Denote the estimated state of the i-th sensor on x by . Then, the estimated state of the i-th sensor on by . In this case, the RBFNN-based estimation on the density function is carried out on the .
The analysis is performed assuming that the pair is jointly detectable, but it is important to note that the detectability of cannot be guaranteed. Therefore, a detectability decomposition is necessary. By [17], let denote the characteristic polynomial of matrix A. Factor it as , where and are the polynomials with roots in the closed right and open left half-planes of the complex plane, respectively. Then, the undetectable subspace of is given by . Let be the dimension of and be the orthogonal complement of , where
Denote and let be the matrices whose columns are the orthogonal bases of and , respectively. Then, one can obtain . Let ; then, is an orthogonal matrix which can induce that
where , , , and the pair is detectable, so that one can choose to make Hurwitz. Hence, the observer of i-th agent is designed as follows
where , is the coupling gain of the i-th agent; is the estimated state of the i-th sensor on x.
Based on in (7), the estimated state of the s-th object which is gained by the i-th sensor is ; the influence model of the M objects in (2) turns to
Even though one can obtain the state of the objects by using only the partial output information, the weight is unknown and then is still unknown. Yet, for a completely unknown region, the influence model is unknown. Thus, it is impossible to obtain in (8) even though is known. In the following, RBFNN used in [22,23,24] is introduced to approximate the continuous function . Motivated by [22,23,24], can be approximated by
where with being the NN node number; is the optimal weight vector, which is defined by
where is the estimation of . Notice that, by [25], the more NN nodes, the more accurate the approximation will be. Note also that for , is selected as the generic Gaussian function as follows
where and express, respectively, the center and spread. is an approximation error bounded on , namely, with being an unknown constant.
2.5. Motion Control Algorithm Design
With in (9), the cost function in (4) becomes
which induces
For brevity, we denote
where and are generalized mass and generalized centroid of Voronoi cell , respectively. Through the locational optimization function , the agents’ local optimum point is the centroid of Voronoi cell, i.e., the critical points of correspond to the configurations such that , that is to say, the agents’ location converges asymptotically to the set of centroidal Voronoi configurations on . Then, the controller can be designed as
where is an arbitrary constant.
3. RBFNN-Based Distributed Coverage Control
As stated in Section 2, the controller is designed to drive sensors to cover multiple objects in the targeted region. This section aims at illustrating the performance of the distributed observer for state estimation on the targets and the conditions to be met, which is stated in the following theorems. RBFNN-based distributed coverage control can be designed for the system in (1) by implementing Algorithm 1.
| Algorithm 1 Technical procedure for RBFNN-based distributed coverage control algorithm |
Let ; then, it follows from (1) and (7) that
First, a model transformation on is given. Let , then one has
Define some diagonal matrices as follows:
Then, (17) becomes
Before moving on, Lemma 1 is introduced.
Lemma 1
([17]). Suppose that is strongly connected for ; then, the following statements are equivalent:
- (i)
- is jointly detectable;
- (ii)
- is positive definite;
- (iii)
- is nonsingular.
Theorem 1.
Consider a multi-agent system (1) with N mobile sensors communicating through the graph , where each sensor is governed by the control law in (15) with and determined by in (7). Suppose that is jointly detectable, and γ in (7) satisfies
then, each agent can converge to an optimal coverage configuration, i.e, .
Proof.
Define a Lyapunov function as , where
with being the solution of the Lyapunov equation
By (18), one has
so that
On the other hand, there holds
By Lemma 1, one can obtain that . Therefore, under in (19), there holds
which implies for , and . Notice that and together indicate that and for . On the other hand, with the help of the RBFNN-based estimation mentioned above, one has . Thus, one can obtain that for , so that for , which further results in for . □
The limitation of the distributed observer design is that needs to satisfy the condition in (19), which is related to the information of system matrix and communication topology. However, the details of the system matrix and communication topology may be unknown. To further optimize the results in Theorem 1, inspired by [17], the dynamic coupling gains are introduced, so that (7) can be improved as
where is the adaptive coupling gain, which updates itself according to the following dynamics:
Define
then one has
Furthermore, denote , and likewise define , as well as in a similar manner. Then, (18) can be written as the following form
By (22), one has
Hereafter, denote for convenience. Based on Lemma 1 in the foregoing, is positive definite; there holds
which further induces that
and so there holds that
with . Note that in (25), is nonsingular. Hence, the stability of is equivalent to that of the system in (24). Define a Lyapunov equation with the unique solution as follows:
where .
Theorem 2.
Proof.
Define a Lyapunov function as , where
with being a sufficiently large constant to be determined later. Then, the derivatives of and along (27) yield
For the arbitrarily positive constant , we choose it as without loss of generality. Hence, one has
Similar to the analysis in the proof of Theorem 1, one can obtain that each sensor converges to an optimal coverage configuration. □
Remark 1.
The coverage motion, the Voronoi partitions, and the edge set defined in Section 2.2 together result in a sensor network with dynamic communication topology. Yet, it is worth noting that the communication topology only switches from a connected graph to another connected one, different from the joint connectivity case in [26]. In this paper, Lyapunov functions (i.e., and ) irrelevant to the changes of the topology are constructed to eliminate the influence of the topology changes on the distributed observer-based coverage control.
4. Numerical Simulation and Discussion
In this section, numerical simulations are firstly given to verify the obtained theoretical results and then further discussions are provided to analyze the simulation results in more depth.
4.1. Numerical Example
In this subsection, two simulation examples are given. In detail, the targeted region Q is chosen to be a square. in (8) is chosen as for . For the performance function defined in (12), and are chosen as and , respectively. A sensor network consisting of sensors is used to implement coverage control of the targeted region.
Example 1.
In this example, there are objects considered in Q, whose trajectory is described by (1) with
The initial states of the two objects are chosen as
The measurement of each agent in (5) is chosen as
where
It is verified that is observable. With the detectability decomposition on , one can obtain the detectable pair which is shown as follows:
Choose as
then, is Hurwitz for . With the Voronoi partitions on the given convex region Ω, the communication topology associated with the eight sensors can be obtained and it is connected. As mentioned above, the initial locations of these sensors are
By the definitions in Section 2.2, the Laplacian matrix of this sensor network at is
The smallest nonzero eigenvalue of is , which indicates that the sensor network is connected.
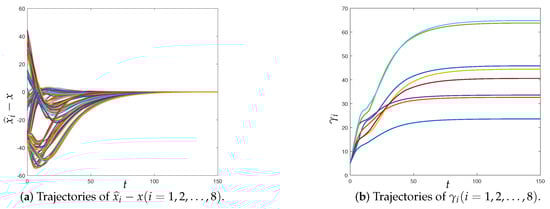
Figure 1a depicts the trajectory of which shows that the distributed observer can accurately estimate the states of two objects, and the estimation error approaches 0 as t goes to ∞. As shown in Figure 1b, the adaptive parameter increases and converges to a constant. Figure 2a,b, respectively, illustrate that and converge to 0 as t goes to ∞. This indicates that approaches as t goes to ∞ and the density function of the unknown targeted region can be well learned by the RBFNN. The sensors are denoted by eight solid blue-green dots in Figure 3 which illustrates that as time goes on, sensors driven by the underlying dynamic model can coverage the two objects successfully.
Figure 3.
Snapshots of coverage control with dynamic topology. The objects and sensors are denoted by two yellow spots and 8 solid blue-green dots, respectively.
Example 2.
A multi-agent system consisting of agents is considered as the multiple objects in Q. The trajectories of these six objects are steered by (1) with A as follows:
The initial states of the six objects are chosen as
The measurement of each agent in (5) is chosen as
where
It is verified that is observable. With the help of the detectability decomposition on , one can obtain the corresponding detectable pair as follows:
with and
Choose as
then the matrix is Hurwitz. The initial states of and are both chosen as in Example 1.
As shown in Figure 4a, the completely distributed observer in (20) can recover the state of (1). Also, as converges to 0 as time goes to ∞, goes to 0, so that converges to a constant, which is verified by Figure 4b. Figure 5a,b depict the trajectory of and that of , respectively, for . As shown in these two figures, and both converge to 0 as time goes to ∞ for , which further indicates that approaches as .
Figure 6 describes the snapshots of coverage control with dynamic topology, where the topology changes as the Voronoi partitions vary. In Figure 6, objects are represented by yellow five-pointed stars and sensors are denoted by the solid blue-green dots. Under the guideline of (15) with , the sensors move to their optimal locations, so as to reach an optimal coverage configuration, which is shown as Figure 6d. All these figures verify Theorem 2.

Figure 6.
Snapshots of coverage control with dynamic topology. The 6 objects and 8 sensors are denoted by 6 yellow five-pointed stars and 8 solid blue-green dots, respectively.
4.2. Discussions
In the previous section, two examples verify the theorems and illustrate the feasibility of the algorithm. Some important relevant points are stated in the following.
- (i)
- The initial state of the objects can be arbitrarily chosen in the targeted region which does not interfere with the performance of state estimation and the optimal location of each sensor.
- (ii)
- In principle, the selection of only needs to make Hurwitz, but in order to meet the practical application, different can be chosen to control the convergence rate which is determined by the eigenvalues of .
- (iii)
- (iv)
- The existing results are compared to distributed state estimation-based coverage control, such as in References [6,15], where the measurement of a sensor can ensure the observability of the output matrix with the system matrix. Yet, it is not economical or even possible to carry out the output measurement by using one sensor. In this paper, each sensor only needs to measure partial outputs with no need to guarantee the observability, but the consensus-based communication among the sensors can compensate for the state estimation on the targets. Such manipulations make the distributed observer well suited for targeted objects with high dimension (such as a power network) or those occupying a wide and decentralized region (such as a multi-agent system consisting of six UAVs flying in a given formation).
5. Conclusions
The coverage control of a sensor network aims at driving sensors to spread over a targeted region and simultaneously minimizing a cost function. For a convex targeted region with multiple objects, considering the fact that the objects are unknown and that they may be spread over a vast region, two-layer dynamics are endowed to each sensor, the upper layer dynamics and the lower layer one. In detail, the upper layer dynamics is a distributed observer, which is used to accomplish the state estimation on the objects. In a distributed observer, each sensor can only measure partial outputs of the objects, which makes it well suited for objects spread over a vast region. The lower layer dynamics is a negative feedback law guiding each sensor to reach its own optimal location, where the optimal location of each sensor is determined by a estimated state-based cost function. As the estimated states converge to the real state, the estimated state-based cost function approaches the real cost function, so that the optimal locations of the sensors can minimize the real cost function. This paper provides a new, more rational, and more realistic perspective for Voronoi based-coverage control.
Author Contributions
Writing—original draft, A.Z.; Writing—review and editing, A.Z. and X.W. All authors have read and agreed to the published version of the manuscript.
Funding
This work was supported in part by the Natural Science Fund for Excellent Young Scholars of Jiangsu Province under Grant No. BK20220104.
Institutional Review Board Statement
Not applicable.
Informed Consent Statement
Not applicable.
Data Availability Statement
Data are contained within the article.
Conflicts of Interest
The authors declare no conflicts of interest.
Abbreviations
The following abbreviations are used in this manuscript:
| NN | Neural Network |
| RBFNN | Radial Basis Function Neural Network |
References
- Wang, Z.; Jusup, M.; Shi, L.; Lee, J.H.; Iwasa, Y.; Boccaletti, S. Exploiting a cognitive bias promotes cooperation in social dilemma experiments. Nat. Commun. 2018, 9, 2954. [Google Scholar] [CrossRef] [PubMed]
- Wang, J.; Liu, D.; Feng, J.; Zhao, Y. Distributed Optimization Control for Heterogeneous Multiagent Systems under Directed Topologies. Mathematics 2023, 11, 1479. [Google Scholar] [CrossRef]
- Liu, B.; Wang, X.; Su, H.; Gao, Y.; Wang, L. Adaptive second-order consensus of multi-agent systems with heterogeneous nonlinear dynamics and time-varying delays. Neurocomputing 2013, 118, 289–300. [Google Scholar] [CrossRef]
- Xu, C.; Zeng, W.; Liu, C.; Yan, H. Event-triggered semi-global output consensus of discrete-time multi-agent systems with input saturation and external disturbances. IEEE Trans. Circuits Syst. II Express Briefs 2023, 70, 4469–4473. [Google Scholar] [CrossRef]
- Tnunay, H.; Moussa, K.; Hably, A.; Marchand, N. Distributed Finite-Time Coverage Control of Multi-Quadrotor Systems with Switching Topology. Mathematics 2023, 11, 2621. [Google Scholar] [CrossRef]
- Sun, Q.; Chi, M.; Liu, Z.W.; He, D. Observer-Based coverage control of unicycle mobile robot network in dynamic environment. J. Frankl. Inst. 2023, 360, 9015–9027. [Google Scholar] [CrossRef]
- Yu, D.; Xu, H.; Chen, C.P.; Bai, W.; Wang, Z. Dynamic coverage control based on k-means. IEEE Trans. Ind. Electron. 2021, 69, 5333–5341. [Google Scholar] [CrossRef]
- Sun, Z.; Wang, N.; Lin, H.; Zhou, X. Persistent coverage of UAVs based on deep reinforcement learning with wonderful life utility. Neurocomputing 2023, 521, 137–145. [Google Scholar] [CrossRef]
- Hu, J.; Niu, H.; Carrasco, J.; Lennox, B.; Arvin, F. Voronoi-based multi-robot autonomous exploration in unknown environments via deep reinforcement learning. IEEE Trans. Veh. Technol. 2020, 69, 14413–14423. [Google Scholar] [CrossRef]
- Schwager, M.; Rus, D.; Slotine, J.J. Decentralized, adaptive coverage control for networked robots. Int. J. Robot. Res. 2009, 28, 357–375. [Google Scholar] [CrossRef]
- Abbasi, F.; Mesbahi, A.; Velni, J.M. A new voronoi-based blanket coverage control method for moving sensor networks. IEEE Trans. Control Syst. Technol. 2017, 27, 409–417. [Google Scholar] [CrossRef]
- Wang, B. Coverage Control in Sensor Networks; Springer Science & Business Media: New York, NY, USA, 2010. [Google Scholar]
- Luo, K.; Chi, M.; Chen, J.; Guan, Z.H.; Cai, C.X.; Zhang, D.X. Distributed coordination of multiple mobile actuators for pollution neutralization. Neurocomputing 2018, 316, 10–19. [Google Scholar] [CrossRef]
- Kantaros, Y.; Zavlanos, M.M. Distributed communication-aware coverage control by mobile sensor networks. Automatica 2016, 63, 209–220. [Google Scholar] [CrossRef]
- Zuo, L.; Yan, W.; Cui, R.; Chen, W.; Bai, X. Coverage control of multiple ocean vehicles for environment monitoring with energy constraints. In Proceedings of the OCEANS 2014-TAIPEI, Taipei, Taiwan, 7–10 April 2014; pp. 1–6. [Google Scholar]
- Wang, L.; Morse, A.S. A distributed observer for a time-invariant linear system. IEEE Trans. Autom. Control 2017, 63, 2123–2130. [Google Scholar] [CrossRef]
- Kim, T.; Lee, C.; Shim, H. Completely decentralized design of distributed observer for linear systems. IEEE Trans. Autom. Control 2019, 65, 4664–4678. [Google Scholar] [CrossRef]
- Wang, X.; Jiang, G.P.; Su, H.; Zeng, Z. Consensus-based distributed reduced-order observer design for LTI systems. IEEE Trans. Cybern. 2020, 52, 6331–6341. [Google Scholar] [CrossRef]
- Wang, X.; Su, H.; Zhang, F.; Chen, G. A Robust Distributed Interval Observer for LTI Systems. IEEE Trans. Autom. Control 2023, 68, 1337–1352. [Google Scholar] [CrossRef]
- Wang, X.; Fan, Z.; Wang, L.; Su, H.; Lam, J. Fully distributed observer design for mobile targets. IEEE Trans. Netw. Sci. Eng. 2023, 10, 1696–1708. [Google Scholar] [CrossRef]
- Du, Q.; Faber, V.; Gunzburger, M. Centroidal Voronoi tessellations: Applications and algorithms. SIAM Rev. 1999, 41, 637–676. [Google Scholar] [CrossRef]
- Haykin, S. Neural Networks: A Comprehensive Foundation; Prentice Hall PTR: Hoboken, NJ, USA, 1998. [Google Scholar]
- Yang, X.; Wan, X.; Zunshui, C.; Cao, J.; Liu, Y.; Rutkowski, L. Synchronization of switched discrete-time neural networks via quantized output control with actuator fault. IEEE Trans. Neural Netw. Learn. Syst. 2020, 32, 4191–4201. [Google Scholar] [CrossRef]
- Chen, Z.; Huang, F.; Chen, W.; Zhang, J.; Sun, W.; Chen, J.; Zhu, S. RBFNN-based adaptive sliding mode control design for delayed nonlinear multilateral telerobotic system with cooperative manipulation. IEEE Trans. Ind. Inform. 2019, 16, 1236–1247. [Google Scholar] [CrossRef]
- Huang, J.T. Global tracking control of strict-feedback systems using neural networks. IEEE Trans. Neural Netw. Learn. Syst. 2012, 23, 1714–1725. [Google Scholar] [CrossRef] [PubMed]
- Chen, Z.; Zhang, H.T. A remark on collective circular motion of heterogeneous multi-agents. Automatica 2013, 49, 1236–1241. [Google Scholar] [CrossRef]
Disclaimer/Publisher’s Note: The statements, opinions and data contained in all publications are solely those of the individual author(s) and contributor(s) and not of MDPI and/or the editor(s). MDPI and/or the editor(s) disclaim responsibility for any injury to people or property resulting from any ideas, methods, instructions or products referred to in the content. |
© 2023 by the authors. Licensee MDPI, Basel, Switzerland. This article is an open access article distributed under the terms and conditions of the Creative Commons Attribution (CC BY) license (https://creativecommons.org/licenses/by/4.0/).