Resources Relocation Support Strategy Based on a Modified Genetic Algorithm for Bike-Sharing Systems
Abstract
1. Introduction
2. Literature Review
3. Problem Description
- −
- transport to a station.
- −
- extract or insert bikes into the station.
4. Materials and Methods
4.1. The Proposed Solution
4.2. The FLCGA Algorithm
4.2.1. Rules List
4.2.2. Traffic Data
- bike-sharing stations,
- trucks (the rebalancing agents),
- depots.
4.2.3. Decision Algorithm
| Algorithm 1. The decision algorithm for truck assignment. |
| for station in S do truck_assigned ← FALSE truck ← get_first_element(T) repeat journey ← get_journey_history(truck) if MINIMUM = length(journey) then pair(truck, station) if able_to_fulfil_demand(truck) route ← distance(truck, station) else route ← distance(truck, terminal) + distance(terminal, station) end journey ← journey + route update_journey_history(truck, journey) truck_assigned ← TRUE else truck ← get_next_element(T) end until truck_assigned = TRUE end |
4.2.4. Genetic Algorithm
4.2.5. Crew Scheduling List
4.3. GA Parametrization
4.3.1. Population Initializer
4.3.2. Fitness Function
4.3.3. Selection
4.3.4. Crossover and Mutation
4.3.5. Termination Condition
4.4. The Fuzzy Logic Controller-Based Approach
4.4.1. FLC Inputs and Outputs
4.4.2. Membership Functions
5. Results
5.1. Quick Overview
5.2. Comparative Experimentation and Analysis of FLC
5.3. Scalability Analysis
5.4. Comparative Experiment and Analysis with Ant Colony Optimization
- For the same input data, a classical ACO algorithm is used to obtain the output in the form of a sorted list of stations to be served in the same format;
- The same fitness function presented in the previous chapters is used;
- The performances are compared.
5.5. Comparative Experiment and Analysis with Harris Hawks Optimization
5.6. Comparative Experiment and Analysis with Tabu Search Algorithm
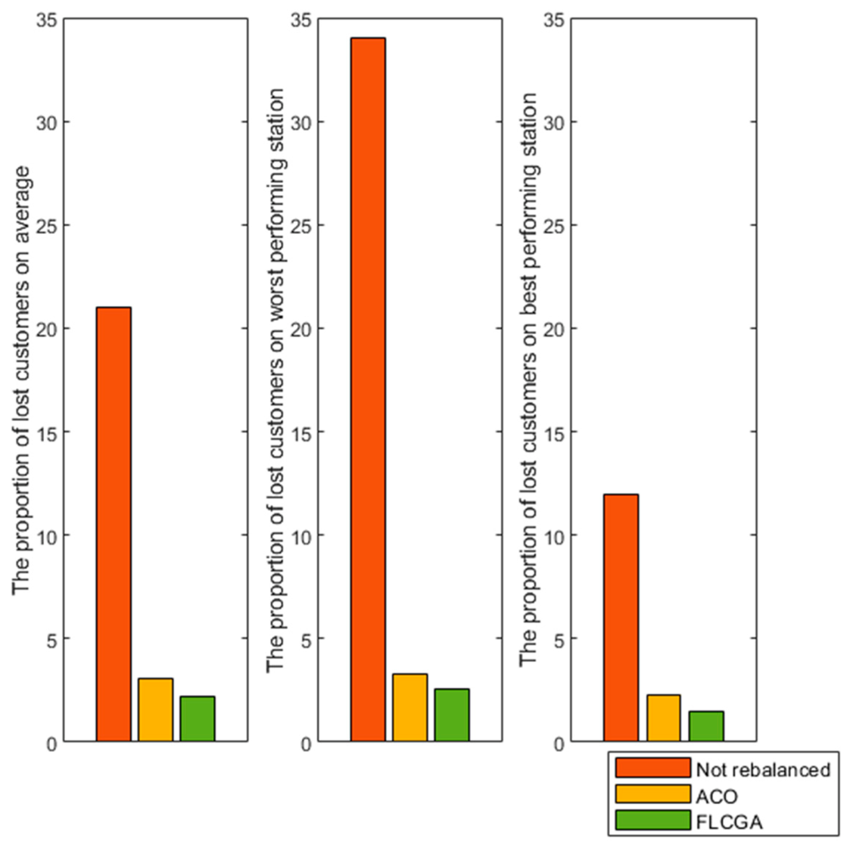
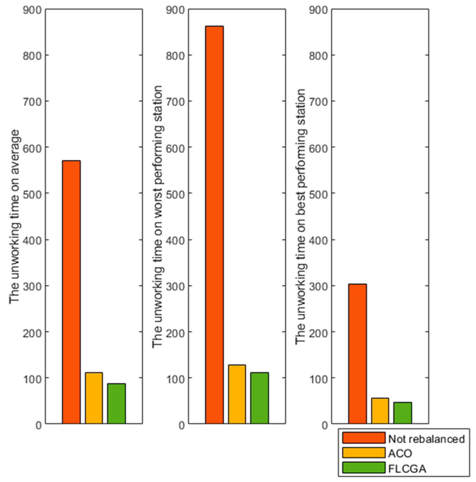
5.7. Comparative Experiment and Analysis of Lost Customers and Unworking Time
5.8. Comparative Experiment and Analysis with a Standard Genetic Algorithm
6. Discussion
7. Conclusions
Author Contributions
Funding
Data Availability Statement
Acknowledgments
Conflicts of Interest
References
- John, P.; Ralph, B. Cycling towards a more sustainable transport future. Transp. Rev. 2017, 37, 689–694. [Google Scholar] [CrossRef]
- Shaheen, S.A.; Nelson, C. Mobility and the Sharing Economy: Potential to Overcome First- and Last-Mile Public Transit Connections; Transportation Sustainability Research Center: Berkeley, CA, USA, 2016. [Google Scholar]
- Kon, F.; Ferreira, C.; de Souza, H.A.; Duarte, F.; Santi, P.; Ratti, C. Abstracting mobility flows from bike-sharing systems. Public Transp. 2022, 14, 545–581. [Google Scholar] [CrossRef]
- The Geography of Transport Systems. Available online: https://transportgeography.org/contents/chapter1/what-is-transport-geography/challenges-transport-systems/ (accessed on 6 November 2022).
- Shui, C.S.; Szeto, W.Y. A review of bicycle-sharing service planning problems. Transp. Res. Part C Emerg. Technol. 2020, 117, 102648. [Google Scholar] [CrossRef]
- Jan, B.; Marlin, U.; Dirk, M. Inventory Routing for Bike Sharing Systems. Transp. Res. Procedia 2016, 19, 316–327. [Google Scholar] [CrossRef]
- Jie, W. Challenges and Opportunities in Algorithmic Solutions for Re-Balancing in Bike Sharing Systems. Tsinghua Sci. Technol. 2020, 25, 721–733. [Google Scholar] [CrossRef]
- Schuijbroek, J.; Hampshire, R.C.; van Hoeve, W.-J. Inventory rebalancing and vehicle routing in bike sharing systems. Eur. J. Oper. Res. 2017, 257, 992–1004. [Google Scholar] [CrossRef]
- Tsushima, H.; Matsuura, T.; Ikeguchi, T. Searching Strategies with Low Computational Costs for Multiple-Vehicle Bike Sharing System Routing Problem. Appl. Sci. 2022, 12, 2675. [Google Scholar] [CrossRef]
- Oyola, J.; Arntzen, H.; Woodruff, D.L. The stochastic vehicle routing problem, a literature review, part I: Models. EURO J Transp Logist 2018, 7, 193–221. [Google Scholar] [CrossRef]
- Khmeleva, E.; Hopgood, A.A.; Tipi, L.; Shahidan, M. Fuzzy-logic controlled genetic algorithm for the rail-freight crew-scheduling problem. Künstliche Intell. 2017, 32, 61–75. [Google Scholar] [CrossRef]
- Dorigo, M.; Blum, C. Ant colony optimization theory: A survey. Theor. Comput. Sci. 2005, 344, 243–278. [Google Scholar] [CrossRef]
- Heidari, A.A.; Mirjalili, S.; Faris, H.; Aljarah, I.; Mafarja, M.; Chen, H. Harris hawks optimization: Algorithm and applications. Future Gener. Comput. Syst. 2019, 97, 849–872. [Google Scholar] [CrossRef]
- Glover, F. Tabu search—Part I. INFORMS J. Comput. 1989, 1, 4–32. [Google Scholar] [CrossRef]
- Guoxun, X.; Yanfeng, L.; Daxiang, J.; Jun, L. A user-based method for the static bike repositioning problem. Syst. Eng. Theory Pract. 2020, 40, 426–436. [Google Scholar] [CrossRef]
- El Sibai, R.; Challita, K.; Bou Abdo, J.; Demerjian, J. A New User-Based Incentive Strategy for Improving Bike Sharing Systems’ Performance. Sustainability 2021, 13, 2780. [Google Scholar] [CrossRef]
- Benjamin, L. Dynamic repositioning strategy in a bike-sharing system; how to prioritise and how to rebalance a bike station. Eur. J. Oper. Res. 2019, 272, 740–753. [Google Scholar] [CrossRef]
- Lin, Y.-C. A Demand-Centric Repositioning Strategy for Bike-Sharing Systems. Sensors 2022, 22, 5580. [Google Scholar] [CrossRef]
- Svenja, R.; Klaus, B. A Relocation Strategy for Munich’s Bike Sharing System: Combining an operator-based and a user-based Scheme. Transp. Res. Procedia 2017, 22, 105–114. [Google Scholar] [CrossRef]
- Fan, Y.; Wang, G.; Lu, X.; Wang, G. Distributed forecasting and ant colony optimisation for the bike-sharing rebalancing problem with unserved demands. PLoS ONE 2019, 14, e0226204. [Google Scholar] [CrossRef] [PubMed]
- Tang, Q.; Fu, Z.; Zhang, D.; Qiu, M.; Li, M. An Improved Iterated Local Search Algorithm for the Static Partial Repositioning Problem in Bike-Sharing System. J. Adv. Transp. 2020, 2020, 3040567. [Google Scholar] [CrossRef]
- Bulhoes, T.; Subramanian, A.; Erdogan, G.; Laporte, G. The static bike relocation problem with multiple vehicles and visits. Eur. J. Oper. Res. 2018, 264, 508–523. [Google Scholar] [CrossRef]
- Yuan, M.; Zhang, Q.; Wang, B.; Liang, Y.; Zhang, H. A mixed integer linear programming model for optimal planning of bicycle sharing systems: A case study in Beijing. Sustain. Cities Soc. 2019, 47, 101515. [Google Scholar] [CrossRef]
- Possani, E.; Castillo, E. Optimizing the inventory and routing decisions in a bike-sharing system: A linear programming and stochastic approach. Case Stud. Transp. Policy 2021, 9, 1495–1502. [Google Scholar] [CrossRef]
- Chemla, D.; Meunier, F.; Calvo, R.W. Bike sharing systems: Solving the static rebalancing problem. Discreet. Optim. 2013, 10, 120–146. [Google Scholar] [CrossRef]
- Cipriano, M.; Colomba, L.; Garza, P. A Data-Driven Based Dynamic Rebalancing Methodology for Bike Sharing Systems. Appl. Sci. 2021, 11, 6967. [Google Scholar] [CrossRef]
- Zheng, L.; Chen, L.; Shahabi, C. Centralized Routing for Bike-sharing Systems. IEEE Trans. Knowl. Data Eng. 2023, 35, 154–166. [Google Scholar] [CrossRef]
- Mahmoodian, V.; Zhang, Y.; Charkhgard, H. Hybrid rebalancing with dynamic hubbing for free-floating BSS. Int. J. Transp. Sci. Technol. 2021, 11, 636–652. [Google Scholar] [CrossRef]
- Jin, Y.; Ruiz, C.; Liao, H. A simulation framework for optimising bike rebalancing and maintenance in large-scale bike-sharing systems. Simul. Model. Pract. Theory 2021, 115, 102422. [Google Scholar] [CrossRef]
- Xue, B.; Ning, M.; Kwai, S.C. Hybrid Heuristic for the Multi-Depot Static Bike Rebalancing and Collection Problem. Mathematics 2022, 10, 4583. [Google Scholar] [CrossRef]
- Du, M.; Cheng, L.; Li, X.; Tang, F. Static rebalancing optimisation with considering the collection of malfunctioning bikes in free-floating BSS. Transp. Res. Part E Logist. Transp. Rev. 2020, 141, 102012. [Google Scholar] [CrossRef]
- Jorge, O.; Halvard, A.; David, L.W. The stochastic vehicle routing problem, a literature review, Part II: Solution methods. EURO J. Transp. Logist. 2017, 6, 349–388. [Google Scholar] [CrossRef]
- Korayem, L.; Khorsid, M.; Kassem, S.S. Using Grey Wolf Algorithm to Solve the Capacitated Vehicle Routing Problem. IOP Conf. Ser. Mater. Sci. Eng. 2015, 83, 12014. [Google Scholar] [CrossRef]
- Sajid, M.; Singh, J.; Haidri, R.A.; Prasad, M.; Varadarajan, V.; Kotecha, K.; Garg, D. A Novel Algorithm for Capacitated Vehicle Routing Problem for Smart Cities. Symmetry 2021, 13, 1923. [Google Scholar] [CrossRef]
- Kris, B.; Katrien, R.; Inneke, V.N. The vehicle routing problem: State of the art classification and review. Comput. Ind. Eng. 2016, 99, 300–313. [Google Scholar] [CrossRef]
- Raafat, E.; Hadeer, A. A taxonomic review of metaheuristic algorithms for solving the vehicle routing problem and its variants. Comput. Ind. Eng. 2020, 140, 106242. [Google Scholar] [CrossRef]
- Davoud, S.; Ellips, M.; Mostafa, S.; Hossein, A. GEPSO: A new generalized particle swarm optimization algorithm. Math. Comput. Simul. 2021, 179, 194–212. [Google Scholar] [CrossRef]
- Kruszyna, M. NOAH as an Innovative Tool for Modeling the Use of Suburban Railways. Sustainability 2023, 15, 193. [Google Scholar] [CrossRef]
- Lu, F.; Feng, W.; Gao, M.; Bi, H.; Wang, S. The fourth-party logistics routing problem using ant colony system-improved grey wolf optimization. J. Adv. Transp. 2020, 2020, 8831746. [Google Scholar] [CrossRef]
- Lu, F.; Bi, H.; Huang, M.; Duan, S. Simulated annealing genetic algorithm based schedule risk management of IT outsourcing project. Math. Probl. Eng. 2017, 2017, 6916575. [Google Scholar] [CrossRef]
- Vikram, K.K.; Ayani, N.; Ashutosh, B.; Shivani, S. An intensify Harris Hawks optimizer for numerical and engineering optimization problems. Appl. Soft Comput. 2020, 89, 106018. [Google Scholar] [CrossRef]
- Ibrahim, O.O. Solving Capacitated Vehicle Routing Problem (CVRP) Using Tabu Search Algorithm (TSA). Ibn AL-Haitham J. Pure Appl. Sci. 2018, 31, 199–209. [Google Scholar] [CrossRef]
- Vidal, T. Hybrid genetic search for the CVRP: Open-source implementation and swap neighbourhood. Comput. Oper. Res. 2020, 140, 105643. [Google Scholar] [CrossRef]
- Zhang, X.; Chen, L.; Michel, G.; André, L. A branch-and-cut algorithm for the vehicle routing problem with two-dimensional loading constraints. Eur. J. Oper. Res. 2022, 302, 259–269. [Google Scholar] [CrossRef]
- Moslem, S.; Amir, A.N.; Seyed, T.A.N. Statistical Design of Genetic Algorithms for Combinatorial Optimization Problems. Math. Probl. Eng. 2011, 2011, 872415. [Google Scholar] [CrossRef]
- Ping, W. Application of Genetic Algorithm in Logistics Management and Distribution. In Proceedings of the Application of Intelligent Systems in Multi-Modal Information Analytics, Huhehaote, China, 23 April 2022. [Google Scholar] [CrossRef]
- Xiao, J.; Lu, B. Application of Improved Genetic Algorithm in Logistics Transportation. In Proceedings of the Advances in Computer Science and Information Engineering, Berlin/Heidelberg, Germany, 13 July 2012. [Google Scholar] [CrossRef]
- Xue, J.; Xu, Y. Application of Genetic Algorithm in Logistics Path Optimization. Acad. J. Comput. Inf. Sci. 2019, 2, 155–161. [Google Scholar] [CrossRef]
- Ignaciuk, P.; Wieczorek, Ł. Continuous Genetic Algorithms in the Optimization of Logistic Networks: Applicability Assessment and Tuning. Appl. Sci. 2020, 10, 7851. [Google Scholar] [CrossRef]
- Kroes, J.R.; Manikas, A.S.; Gattiker, T.F. Generating Efficient Rebalancing Routes for Bikeshare Programs Using a Genetic Algorithm. J. Clean. Prod. 2020, 244, 118880. [Google Scholar] [CrossRef]
- Mohammed, G.A.; Sławomir, N.; Sepideh, P.; Peyman, S.M. Fast Genetic Algorithm for feature selection—A qualitative approximation approach. Expert Syst. Appl. 2023, 211, 118528. [Google Scholar] [CrossRef]
- Mohammad, J.V.; Lai, S.L.; Mohd, R.A.B.; Wah, J.L. A Genetic Algorithm with Fuzzy Crossover Operator and Probability. Hindawi Publ. Corp. Adv. Oper. Res. 2012, 2012, 956498. [Google Scholar] [CrossRef]
- Jalali, M.V. A genetic algorithm rooted in integer encoding and fuzzy controller. Int. J. Robot. Autom. 2019, 8, 113–124. [Google Scholar] [CrossRef]
- Homayouni, S.; Tang, S. A fuzzy genetic algorithm for scheduling of handling/storage equipment in automated container terminals. IJET 2015, 7, 497–501. [Google Scholar] [CrossRef]
- Katoch, S.; Chauhan, S.S.; Kumar, V. A review on genetic algorithm: Past, present, and future. Multimed. Tools Appl. 2021, 80, 8091–8126. [Google Scholar] [CrossRef] [PubMed]
- Marko, Č.; Marjan, L. Bus arrival time prediction based on a network model. Procedia Comput. Sci. 2017, 113, 138–145. [Google Scholar] [CrossRef]
- Li, H.-C.; Lu, C.-C.; Eccarius, T.; Hsieh, M.-Y. Genetic algorithm with an event-based simulator for solving the fleet allocation problem in an electric vehicle sharing system. Asian Transp. Stud. 2022, 8, 100060. [Google Scholar] [CrossRef]
- Wang, P.Y.; Wang, G.S.; Song, Y.H.; Johns, A.T. Fuzzy logic controlled genetic algorithms. In Proceedings of the IEEE International Conference FUZZ-IEEE, New Orleans, LA, USA., 11 September 1996. [Google Scholar] [CrossRef]
- Pleurou, A.; Vlamou, E. Fuzzy Genetic Algorithms: Fuzzy Logic Controllers and Genetic Algorithms. Glob. J. Res. Anal. 2016, 5, 497–500. [Google Scholar] [CrossRef]
- Salimi, N.; Rafe, V.; Tabrizchi, H.; Mosavi, A. Fuzzy Genetic Algorithm Approach for Verification of Reachability and Detection of Deadlock in Graph Transformation Systems. In Proceedings of the IEEE 3rd International Conference CANDO-EPE, Budapest, Hungary, 18–19 November 2020. [Google Scholar] [CrossRef]
- Guo, N.; Qian, B.; Hu, R.; Jin, H.; Xiang, F. A Hybrid Ant Colony Optimization Algorithm for Multi-Compartment Vehicle Routing Problem. Hindawi Complex. 2020, 2020, 8839526. [Google Scholar] [CrossRef]
- Selvi, V.; Umarani, R. Comparative Analysis of Ant Colony and Particle Swarm Optimization Techniques. Int. J. Comput. Appl. 2010, 5, 1–6. [Google Scholar] [CrossRef]
- Sim, K.; Sun, W. Ant colony optimisation for routing and load-balancing: Survey and new directions. IEEE Trans. Syst. Man Cybern. Part A Syst. Hum. 2003, 33, 560–572. [Google Scholar] [CrossRef]
- Venkatesh, S.; Jeyakarthic, M. Metaheuristic based Optimal Feature Subset Selection with Gradient Boosting Tree Model for IoT Assisted Customer Churn Prediction. Seybold Rep. 2020, 15, 334–351. [Google Scholar]
- Yi, P.; Huang, F.; Peng, J. A Rebalancing Strategy for the Imbalance Problem in Bike-Sharing Systems. Energies 2019, 12, 2578. [Google Scholar] [CrossRef]
- Alabool, H.; Al-Arabiat, D.; Abualigah, L.; Heidari, A.A. Harris hawks optimization: A comprehensive review of recent variants and applications. Neural Comput. Appl. 2021, 33, 8939–8980. [Google Scholar] [CrossRef]
- Xia, Y.; Fu, Z.; Pan, L.; Duan, F. Tabu search algorithm for the distance-constrained vehicle routing problem with split deliveries by order. PLoS ONE 2018, 13, e0195457. [Google Scholar] [CrossRef] [PubMed]
- Guanhua, M.; Bowen, Z.; Changjing, S.; Qiang, S. Rebalancing stochastic demands for bike-sharing networks with multi-scenario characteristics. Inf. Sci. 2021, 554, 177–197. [Google Scholar] [CrossRef]
- Ban, S.; Hyun, K.H. Designing a User Participation-Based Bike Rebalancing Service. Sustainability 2019, 11, 2396. [Google Scholar] [CrossRef]
- Angelelli, E.; Chiari, M.; Mor, A.; Speranza, M.G. A simulation framework for a station-based bike-sharing system. Comput. Ind. Eng. 2022, 171, 108489. [Google Scholar] [CrossRef]
- Ahmad, H.; Khalid, A.; Esra’a, A.; Eman, A.; Awni, H.; Surya, V.B.P. Choosing Mutation and Crossover Ratios for Genetic Algorithms—A Review with a New Dynamic Approach. Information 2019, 10, 390. [Google Scholar] [CrossRef]




















| Variable | Property | Definition |
|---|---|---|
| The set of bike stations | ||
| Number of bike stations | ||
| Bike station (index i) | ||
| Geographical location | ||
| Number of available bikes | ||
| Total capacity (bikes) | ||
| The set of trucks | ||
| Number of trucks | ||
| Truck (index i) | ||
| Geographical location | ||
| Number of available bikes | ||
| Total Capacity | ||
| Job assigned | ||
| Bike station destination | ||
| Job type | ||
| The number of bikes requested | ||
| The set of depots | ||
| Number of depots | ||
| Depot | ||
| Partition of bike stations set | ||
| Partition of trucks set | ||
| Capacity | ||
| Assignment function at the moment |
| Truck Index | Station Origin Index | Station Destination Index | Number of Carried Units | Service Type |
|---|---|---|---|---|
| 1 | 585 | 731 | 21 | Extract |
| 2 | 115 | 841 | 26 | Extract |
| 3 | 613 | 572 | 15 | Insert |
| 2 | 841 | 433 | 20 | Insert |
| 3 | 572 | 948 | 21 | Extract |
| 3 | 948 | 359 | 10 | Extract |
| 1 | 731 | 204 | 19 | Insert |
| Truck ID | Route | Route Length [km] | Load Factor [%] |
|---|---|---|---|
| 1 | 0 → 7 → 16 → 4 → 20 → 0 | 14.34 | 72 |
| 2 | 0 → 17 → 23 → 12 → 0 → 15 → 9 → 14 → 0 → 3 → 2 → 0 | 13.80 | 86 |
| 3 | 0 → 6 → 10 → 8 → 0 | 16.96 | 53 |
| 4 | 0 → 11 → 19 → 13 → 18 → 0 | 15.35 | 35 |
| 5 | 0 → 1 → 0 → 5 → 0 | 12.55 | 64 |
| Instance | Median Fitness Score | 10th Percentile | 90th Percentile | Standard Deviation |
|---|---|---|---|---|
| Inst0 | 88.32 | 10.36 | 107.22 | 17.09 |
| Inst1 | 79.12 | 65.40 | 100.31 | 10.51 |
| Inst2 | 12.44 | 2.33 | 20.14 | 5.11 |
| Inst3 | 56.12 | 11.53 | 78.32 | 10.72 |
| Inst4 | 90.32 | 30.78 | 189.64 | 52.18 |
| Inst5 | 94.10 | 37.69 | 155.14 | 38.42 |
| Inst6 | 92.13 | 37.65 | 155.27 | 35.60 |
| Inst7 | 92.17 | 32.71 | 149.71 | 38.28 |
| Inst8 | 93.29 | 33.14 | 169.31 | 55.16 |
| Inst9 | 94.74 | 26.32 | 142.62 | 45.13 |
| Inst10 | 94.85 | 21.16 | 158.34 | 46.45 |
| Inst11 | 95.07 | 39.55 | 142.45 | 44.14 |
| Inst12 | 95.22 | 44.08 | 168.97 | 47.31 |
| Number of Bike Stations | The Average Speed of the Genetic Algorithm [Number of Iterations] |
|---|---|
| 10 | 70 |
| 15 | 72 |
| 20 | 77 |
| 25 | 78 |
| 30 | 82 |
| 35 | 81 |
| 40 | 83 |
| 45 | 85 |
| 50 | 86 |
| Number of Trucks | Number of Bike Stations | Median Fitness Score [Bikes/km] | Standard Deviation [Bikes/km] | 10th Percentile Fitness Score [Bikes/km] | 90th Percentile Fitness Score [Bikes/km] | Cumulative Distance of Rebalancing Routes [km] |
|---|---|---|---|---|---|---|
| (a) | ||||||
| 2 | 10 | 9.52 | 2.33 | 4.4 | 16.89 | 39.72 |
| 2 | 15 | 11.9 | 3.01 | 4.74 | 20.49 | 50.94 |
| 2 | 20 | 13.85 | 4.28 | 5.16 | 23.63 | 60.64 |
| 2 | 25 | 15.52 | 5.82 | 5.43 | 28.07 | 69.83 |
| 2 | 30 | 17.347 | 6.77 | 5.21 | 30.12 | 77.53 |
| 2 | 35 | 18.15 | 8.41 | 5.84 | 33.02 | 87.28 |
| 2 | 40 | 19.03 | 7.22 | 6.19 | 34.14 | 95.01 |
| 2 | 45 | 19.78 | 8.95 | 6.71 | 32.45 | 101.36 |
| 2 | 50 | 20.41 | 8.36 | 6.55 | 37.05 | 105.43 |
| (b) | ||||||
| 2 | 10 | 5.91 | 1.06 | 4.18 | 10.17 | 52.27 |
| 2 | 15 | 7.38 | 1.59 | 4.21 | 12.36 | 78.21 |
| 2 | 20 | 9.79 | 1.67 | 4.71 | 12.78 | 78.39 |
| 2 | 25 | 10.29 | 3.99 | 3.78 | 15.74 | 104.47 |
| 2 | 30 | 12.58 | 3.35 | 4.57 | 16.91 | 109.5 |
| 2 | 35 | 13.07 | 3.69 | 4.58 | 17 | 134.73 |
| 2 | 40 | 12.69 | 3.22 | 5.24 | 17.83 | 114.38 |
| 2 | 45 | 11.96 | 2.83 | 5.2 | 18.66 | 139.9 |
| 2 | 50 | 14.34 | 4.09 | 5.82 | 18.91 | 134.86 |
| (c) | ||||||
| 2 | 50 | 20.41 | 8.36 | 6.55 | 37.05 | 105.43 |
| 3 | 50 | 33.79 | 15.97 | 10.29 | 62.75 | 114.75 |
| 4 | 50 | 33.85 | 17.94 | 9.42 | 67.19 | 135.73 |
| 5 | 50 | 35.72 | 18.36 | 9.13 | 69.37 | 147.51 |
| 6 | 50 | 40.21 | 17.53 | 12.9 | 71.59 | 166.84 |
| 7 | 50 | 42.47 | 19.61 | 11.53 | 73.71 | 185.97 |
| 8 | 50 | 45.93 | 20.03 | 13.87 | 78.26 | 203.48 |
| 9 | 50 | 43.3 | 20.84 | 12.58 | 75.28 | 213.39 |
| 10 | 50 | 44.63 | 22.56 | 14.39 | 78.04 | 231.62 |
| (d) | ||||||
| 2 | 50 | 14.34 | 4.09 | 5.82 | 18.91 | 134.86 |
| 3 | 50 | 25.3 | 14.86 | 8.26 | 49.98 | 144.22 |
| 4 | 50 | 28.74 | 16.11 | 7.93 | 51.52 | 163.18 |
| 5 | 50 | 31.3 | 15.52 | 7.49 | 63.74 | 177.76 |
| 6 | 50 | 34.34 | 13.7 | 11.19 | 53.98 | 213.99 |
| 7 | 50 | 38.08 | 18.38 | 8.96 | 58.22 | 251.56 |
| 8 | 50 | 35.21 | 20.71 | 13.03 | 65.58 | 253.67 |
| 9 | 50 | 39.8 | 19.75 | 10.1 | 63.77 | 251.59 |
| 10 | 50 | 38.68 | 18.29 | 12.9 | 66.23 | 292.42 |
| Number of Trucks | Number of Bike Stations | Median Fitness Score [Bikes/km] | Standard Deviation [Bikes/km] | 10th Percentile Fitness Score [Bikes/km] | 90th Percentile Fitness Score [Bikes/km] | Cumulative Distance of Rebalancing Routes [km] |
|---|---|---|---|---|---|---|
| (a) | ||||||
| 2 | 10 | 9.52 | 2.33 | 4.40 | 16.89 | 39.72 |
| 2 | 15 | 11.90 | 3.01 | 4.74 | 20.49 | 50.94 |
| 2 | 20 | 13.85 | 4.28 | 5.16 | 23.63 | 60.64 |
| 2 | 25 | 15.52 | 5.82 | 5.43 | 28.07 | 69.83 |
| 2 | 30 | 17.347 | 6.77 | 5.21 | 30.12 | 77.53 |
| 2 | 35 | 18.15 | 8.41 | 5.84 | 33.02 | 87.28 |
| 2 | 40 | 19.03 | 7.22 | 6.19 | 34.14 | 95.01 |
| 2 | 45 | 19.78 | 8.95 | 6.71 | 32.45 | 101.36 |
| 2 | 50 | 20.41 | 8.36 | 6.55 | 37.05 | 105.43 |
| (b) | ||||||
| 2 | 10 | 7.36 | 2.01 | 3.52 | 12.40 | 45.14 |
| 2 | 15 | 10.30 | 5.37 | 4.11 | 18.66 | 55.28 |
| 2 | 20 | 14.52 | 5.21 | 4.95 | 26.84 | 56.06 |
| 2 | 25 | 14.98 | 5.53 | 5.89 | 27.38 | 74.72 |
| 2 | 30 | 15.31 | 5.77 | 5.72 | 26.29 | 82.61 |
| 2 | 35 | 17.20 | 8.37 | 6.49 | 31.44 | 90.93 |
| 2 | 40 | 18.57 | 8.88 | 6.06 | 33.26 | 96.90 |
| 2 | 45 | 20.58 | 9.31 | 6.29 | 33.56 | 98.34 |
| 2 | 50 | 22.82 | 9.96 | 8.17 | 39.81 | 100.38 |
| (c) | ||||||
| 2 | 50 | 20.41 | 8.36 | 6.55 | 37.05 | 105.43 |
| 3 | 50 | 33.79 | 15.97 | 10.29 | 62.75 | 114.75 |
| 4 | 50 | 33.85 | 17.94 | 9.42 | 67.19 | 135.73 |
| 5 | 50 | 35.72 | 18.36 | 9.13 | 69.37 | 147.51 |
| 6 | 50 | 40.21 | 17.53 | 12.90 | 71.59 | 166.84 |
| 7 | 50 | 42.47 | 19.61 | 11.53 | 73.71 | 185.97 |
| 8 | 50 | 45.93 | 20.03 | 13.87 | 78.26 | 203.48 |
| 9 | 50 | 43.30 | 20.84 | 12.58 | 75.28 | 213.39 |
| 10 | 50 | 44.63 | 22.56 | 14.39 | 78.04 | 231.62 |
| (d) | ||||||
| 2 | 50 | 22.82 | 9.96 | 8.17 | 39.81 | 100.38 |
| 3 | 50 | 32.35 | 14.22 | 10.43 | 60.72 | 119.68 |
| 4 | 50 | 35.61 | 18.90 | 10.05 | 69.47 | 132.09 |
| 5 | 50 | 38.17 | 17.50 | 11.86 | 68.38 | 143.28 |
| 6 | 50 | 40.93 | 18.00 | 13.36 | 70.99 | 165.97 |
| 7 | 50 | 44.32 | 20.26 | 12.94 | 73.55 | 180.54 |
| 8 | 50 | 46.83 | 21.42 | 14.79 | 80.21 | 200.69 |
| 9 | 50 | 47.05 | 23.23 | 17.41 | 78.71 | 205.80 |
| 10 | 50 | 48.89 | 23.17 | 16.48 | 80.30 | 220.66 |
| Number of Trucks | Number of Bike Stations | Median Fitness Score [Bikes/km] | Standard Deviation [Bikes/km] | 10th Percentile Fitness Score [Bikes/km] | 90th Percentile Fitness Score [Bikes/km] | Cumulative Distance of Rebalancing Routes [km] |
|---|---|---|---|---|---|---|
| (a) | ||||||
| 2 | 10 | 9.52 | 2.33 | 4.40 | 16.89 | 39.72 |
| 2 | 15 | 11.90 | 3.01 | 4.74 | 20.49 | 50.94 |
| 2 | 20 | 13.85 | 4.28 | 5.16 | 23.63 | 60.64 |
| 2 | 25 | 15.52 | 5.82 | 5.43 | 28.07 | 69.83 |
| 2 | 30 | 17.347 | 6.77 | 5.21 | 30.12 | 77.53 |
| 2 | 35 | 18.15 | 8.41 | 5.84 | 33.02 | 87.28 |
| 2 | 40 | 19.03 | 7.22 | 6.19 | 34.14 | 95.01 |
| 2 | 45 | 19.78 | 8.95 | 6.71 | 32.45 | 101.36 |
| 2 | 50 | 20.41 | 8.36 | 6.55 | 37.05 | 105.43 |
| (b) | ||||||
| 2 | 10 | 6.05 | 2.07 | 2.88 | 10.32 | 50.14 |
| 2 | 15 | 7.90 | 5.12 | 3.57 | 13.42 | 74.41 |
| 2 | 20 | 10.22 | 6.11 | 3.83 | 18.99 | 76.06 |
| 2 | 25 | 10.08 | 6.35 | 2.57 | 16.38 | 108.44 |
| 2 | 30 | 11.43 | 5.93 | 4.20 | 18.30 | 112.47 |
| 2 | 35 | 14.14 | 6.91 | 5.66 | 20.41 | 130.81 |
| 2 | 40 | 15.19 | 7.88 | 4.56 | 23.62 | 140.64 |
| 2 | 45 | 17.21 | 8.77 | 6.03 | 27.54 | 149.51 |
| 2 | 50 | 18.94 | 9.85 | 7.00 | 29.16 | 156.28 |
| (c) | ||||||
| 2 | 50 | 20.41 | 8.36 | 6.55 | 37.05 | 105.43 |
| 3 | 50 | 33.79 | 15.97 | 10.29 | 62.75 | 114.75 |
| 4 | 50 | 33.85 | 17.94 | 9.42 | 67.19 | 135.73 |
| 5 | 50 | 35.72 | 18.36 | 9.13 | 69.37 | 147.51 |
| 6 | 50 | 40.21 | 17.53 | 12.90 | 71.59 | 166.84 |
| 7 | 50 | 42.47 | 19.61 | 11.53 | 73.71 | 185.97 |
| 8 | 50 | 45.93 | 20.03 | 13.87 | 78.26 | 203.48 |
| 9 | 50 | 43.30 | 20.84 | 12.58 | 75.28 | 213.39 |
| 10 | 50 | 44.63 | 22.56 | 14.39 | 78.04 | 231.62 |
| (d) | ||||||
| 2 | 50 | 18.94 | 9.85 | 7.00 | 29.16 | 156.28 |
| 3 | 50 | 27.31 | 13.22 | 8.42 | 38.25 | 142.51 |
| 4 | 50 | 29.46 | 16.13 | 9.46 | 54.60 | 160.56 |
| 5 | 50 | 32.81 | 16.45 | 10.86 | 64.46 | 175.78 |
| 6 | 50 | 36.52 | 17.04 | 11.43 | 68.33 | 208.22 |
| 7 | 50 | 40.40 | 19.11 | 10.44 | 72.28 | 243.59 |
| 8 | 50 | 42.82 | 19.41 | 12.83 | 74.47 | 262.45 |
| 9 | 50 | 43.25 | 21.31 | 14.41 | 73.56 | 253.42 |
| 10 | 50 | 45.89 | 24.18 | 16.08 | 72.32 | 290.88 |
| Number of Trucks | Number of Bike Stations | Median Fitness Score [Bikes/km] | Standard Deviation [Bikes/km] | The Average Speed of the Genetic Algorithm [Number of Iterations] | |||
|---|---|---|---|---|---|---|---|
| FLCGA | SGA | FLCGA | SGA | FLCGA | SGA | ||
| 2 | 10 | 9.52 | 3.28 | 2.33 | 1.36 | 70 | 192 |
| 2 | 15 | 11.90 | 4.10 | 3.01 | 1.54 | 72 | 210 |
| 2 | 20 | 13.85 | 3.14 | 4.28 | 1.32 | 77 | 232 |
| 2 | 25 | 15.52 | 6.83 | 5.82 | 2.78 | 78 | 259 |
| 2 | 30 | 17.347 | 9.27 | 6.77 | 3.93 | 82 | 288 |
| 2 | 35 | 18.15 | 8.52 | 8.41 | 2.59 | 81 | 316 |
| 2 | 40 | 19.03 | 9.04 | 7.22 | 4.14 | 83 | 305 |
| 2 | 45 | 19.78 | 8.30 | 8.95 | 3.95 | 85 | 360 |
| 2 | 50 | 20.41 | 9.63 | 8.36 | 3.66 | 86 | 347 |
| 3 | 50 | 33.79 | 9.41 | 15.97 | 3.44 | 86 | 331 |
| 4 | 50 | 33.85 | 11.37 | 17.94 | 3.70 | 86 | 376 |
| 5 | 50 | 35.72 | 16.42 | 18.36 | 5.11 | 86 | 365 |
| 6 | 50 | 40.21 | 17.51 | 17.53 | 5.54 | 86 | 381 |
| 7 | 50 | 42.47 | 16.02 | 19.61 | 4.86 | 86 | 351 |
| 8 | 50 | 45.93 | 18.88 | 20.03 | 6.30 | 86 | 357 |
| 9 | 50 | 43.30 | 19.59 | 20.84 | 6.17 | 86 | 382 |
| 10 | 50 | 44.63 | 22.83 | 22.56 | 6.94 | 86 | 349 |
Disclaimer/Publisher’s Note: The statements, opinions and data contained in all publications are solely those of the individual author(s) and contributor(s) and not of MDPI and/or the editor(s). MDPI and/or the editor(s) disclaim responsibility for any injury to people or property resulting from any ideas, methods, instructions or products referred to in the content. |
© 2023 by the authors. Licensee MDPI, Basel, Switzerland. This article is an open access article distributed under the terms and conditions of the Creative Commons Attribution (CC BY) license (https://creativecommons.org/licenses/by/4.0/).
Share and Cite
Florian, H.; Avram, C.; Pop, M.; Radu, D.; Aștilean, A. Resources Relocation Support Strategy Based on a Modified Genetic Algorithm for Bike-Sharing Systems. Mathematics 2023, 11, 1816. https://doi.org/10.3390/math11081816
Florian H, Avram C, Pop M, Radu D, Aștilean A. Resources Relocation Support Strategy Based on a Modified Genetic Algorithm for Bike-Sharing Systems. Mathematics. 2023; 11(8):1816. https://doi.org/10.3390/math11081816
Chicago/Turabian StyleFlorian, Horațiu, Camelia Avram, Mihai Pop, Dan Radu, and Adina Aștilean. 2023. "Resources Relocation Support Strategy Based on a Modified Genetic Algorithm for Bike-Sharing Systems" Mathematics 11, no. 8: 1816. https://doi.org/10.3390/math11081816
APA StyleFlorian, H., Avram, C., Pop, M., Radu, D., & Aștilean, A. (2023). Resources Relocation Support Strategy Based on a Modified Genetic Algorithm for Bike-Sharing Systems. Mathematics, 11(8), 1816. https://doi.org/10.3390/math11081816

