Seismic Response and Damage Characteristics of RCC Gravity Dams Considering Weak Layers Based on the Cohesive Model
Abstract
:1. Introduction
2. Cohesive Model
2.1. Initial Stiffness
2.2. Damage Initiation Criterion
2.3. Damage Evolution Law
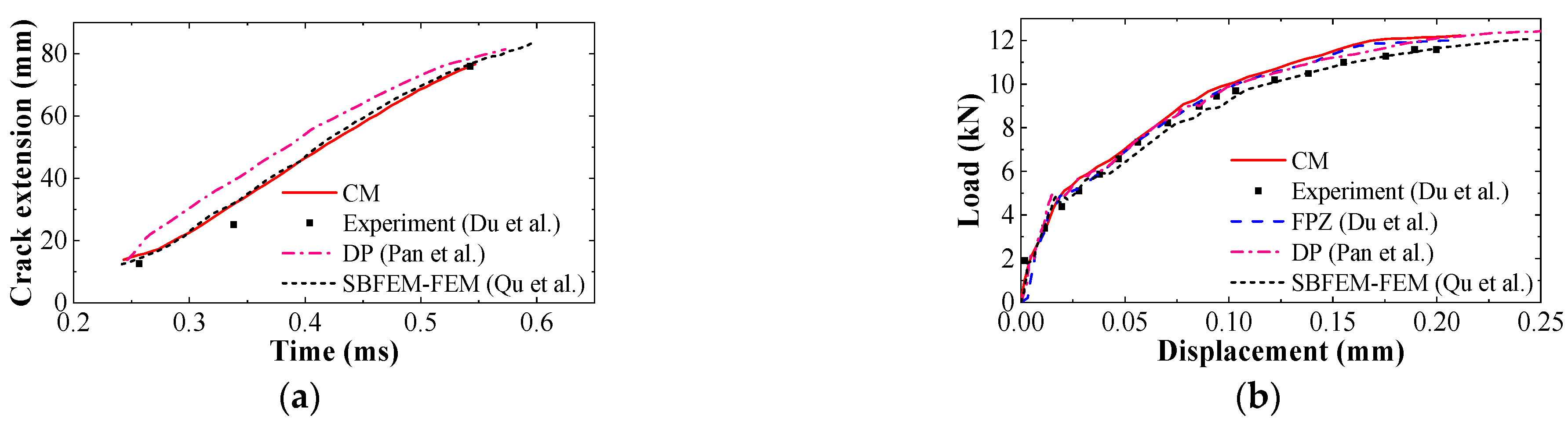
2.4. Validation Test
3. The Coupled Acoustic-Structural Method
3.1. Assumptions about the Acoustic Medium
3.2. Formulation for Direct Integration Transient Dynamics
3.3. Verification Test
4. Guandi RCC Gravity Dam-Reservoir-Foundation System
4.1. Guandi RCC Gravity Dam and Finite Element Model
4.2. Material Parameters
4.3. Loadings and Methods
5. Nonlinear Dynamic Response and Damage Characteristics of Guandi RCC Gravity Dam Considering a Weak Layer
5.1. Analysis of Nonlinear Dynamic Response Characteristics
5.2. Failure Characteristics of the Dam
5.3. Damage Characteristics of the Dam with Higher Strength Grade Concrete in the Upper Part
5.4. Damage Characteristics of the Dam with a Well-Bonded Layer
6. Influence of Well-Bonded RCC Layers Set at Intervals on Seismic Performance of the Dam
6.1. Static and Modal Analysis
6.2. Seismic Response Analysis
6.3. Damage Propagation Analysis
7. Conclusions
- (1)
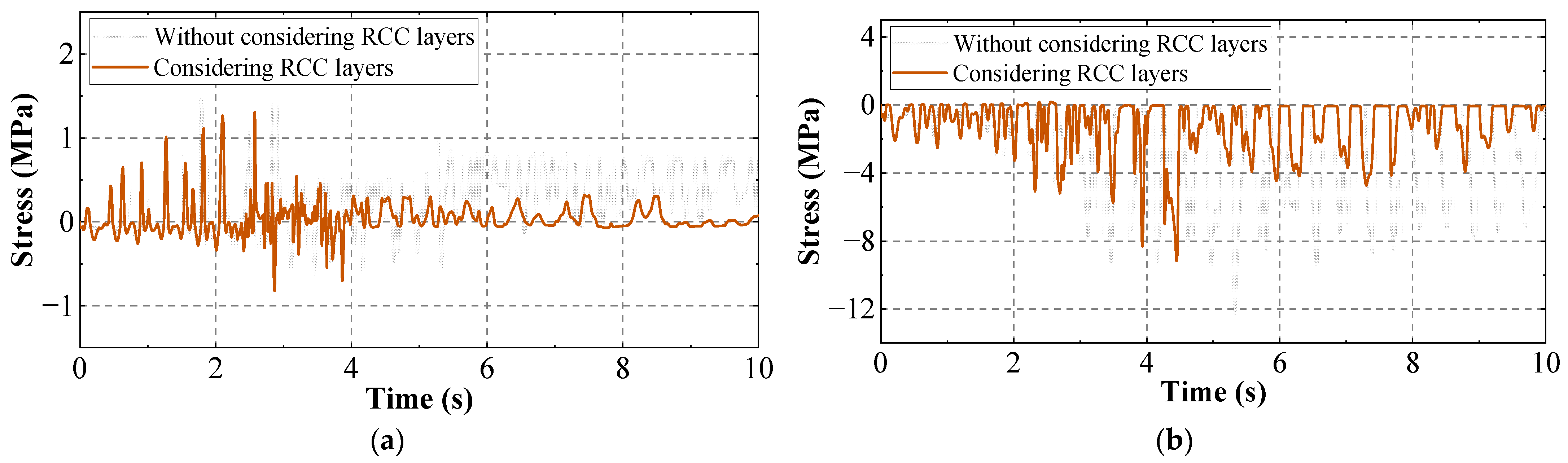
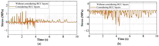
- The weak layer will influence the anti-seismic capacity of the RCC gravity dam. The nonlinear dynamic responses vary when the weak layer is at different elevations of the dam. Higher peak and irrecoverable displacement of the dam crest can be observed when a weak layer is present, while the maximum tensile stress of the dam heel is reduced due to the stress release. In summary, the structural behavior of the dam is affected by the weak layer, which has both advantages and disadvantages.
- (2)
- The damage modes of the Guandi dam under seismic input without RCC layers include a diagonal crack near the downstream slope change and a horizontal crack in the interface between the two materials in the upper part. The existence of the weak layer leads to different damage characteristics of the dam, and the damage mode is related to the position of the weak layer. Increasing the strength of concrete in the upper dam body or the layer can reduce the damage degree of the dam to a certain extent, while the ductility of the dam is reduced.
- (3)
- The RCC layers are usually processed in the construction to ensure combination quality. Well-bonded RCC layers cause the anisotropy and higher ductility of the RCC dam. An enhanced displacement response and a smaller stress response can be observed. Additionally, the energy dissipation increases significantly when RCC layers are present. The damage to the dam is significantly changed and is more likely to occur at RCC layers under the same seismic input.
Author Contributions
Funding
Data Availability Statement
Acknowledgments
Conflicts of Interest
References
- Zhao, E.; Li, B. Evaluation method for cohesive crack propagation in fragile locations of RCC dam using XFEM. Water 2021, 13, 58. [Google Scholar] [CrossRef]
- Chen, S.H. Hydraulic Structures; Springer: Berlin/Heidelberg, Germany, 2016. [Google Scholar] [CrossRef]
- Gu, C.; Wang, S.; Bao, T. Influence of construction interfaces on dynamic characteristics of roller compacted concrete dams. J. Cent. South Univ. 2015, 22, 1521–1535. [Google Scholar] [CrossRef]
- Ayari, M.L.; Saouma, V.E. A fracture mechanics based seismic analysis of concrete gravity dams using discrete cracks. Eng. Fract. Mech. 1990, 35, 587–598. [Google Scholar] [CrossRef]
- Bhattacharjee, S.S.; Léger, P. Seismic cracking and energy dissipation in concrete gravity dams. Earthq. Eng. Struct. Dyn. 1993, 22, 991–1007. [Google Scholar] [CrossRef]
- Lee, J.; Fenves, G.L. A plastic-damage concrete model for earthquake analysis of dams. Earthq. Eng. Struct. Dyn. 1998, 27, 937–956. [Google Scholar] [CrossRef]
- Daneshyar, A.; Ghaemian, M. Seismic analysis of arch dams using anisotropic damage-plastic model for concrete with coupled adhesive-frictional joints response. Soil Dyn. Earthq. Eng. 2019, 125, 105735. [Google Scholar] [CrossRef]
- Tidke, A.R.; Adhikary, S. Seismic fragility analysis of the Koyna gravity dam with layered rock foundation considering tensile crack failure. Eng. Fail. Anal. 2021, 125, 105361. [Google Scholar] [CrossRef]
- Wang, G.; Wang, Y.; Lu, W.; Zhou, C.; Chen, M.; Yan, P. XFEM based seismic potential failure mode analysis of concrete gravity dam-water-foundation systems through incremental dynamic analysis. Eng. Struct. 2015, 98, 81–94. [Google Scholar] [CrossRef]
- Wang, G.; Lu, W.; Zhou, C.; Zhou, W. The influence of initial cracks on the crack propagation process of concrete gravity dam-reservoir-foundation systems. J. Earthq. Eng. 2015, 19, 991–1011. [Google Scholar] [CrossRef]
- Haghani, M.; Neya, B.N.; Ahmadi, M.T.; Amiri, J.V. Combining XFEM and time integration by α-method for seismic analysis of dam-foundation-reservoir. Theor. Appl. Fract. Mech. 2020, 109, 102752. [Google Scholar] [CrossRef]
- Haghani, M.; Neya, B.N.; Ahmadi, M.T.; Amiri, J.V. A new numerical approach in the seismic failure analysis of concrete gravity dams using extended finite element method. Eng. Fail. Anal. 2022, 132, 105835. [Google Scholar] [CrossRef]
- Haghani, M.; Neya, B.N.; Ahmadi, M.T.; Amiri, J.V. Comparative study of smeared crack and extended finite element method for predicting the crack propagation in concrete gravity dams. J. Earthq. Eng. 2021, 26, 8577–8610. [Google Scholar] [CrossRef]
- Mirzayee, M.; Khaji, N.; Ahmadi, M.T. A hybrid distinct element–boundary element approach for seismic analysis of cracked concrete gravity dam–reservoir systems. Soil Dyn. Earthq. Eng. 2011, 31, 1347–1356. [Google Scholar] [CrossRef]
- Sharma, V.; Fujisawa, K.; Murakami, A. S Space–time FEM with block-iterative algorithm for nonlinear dynamic fracture analysis of concrete gravity dam. Soil Dyn. Earthq. Eng. 2020, 131, 105995. [Google Scholar] [CrossRef]
- Wang, Y.; Wu, Z.; Qu, F.; Zhang, W. Numerical investigation on crack propagation process of concrete gravity dams under static and dynamic loads with in-crack reservoir pressure. Theor. Appl. Fract. Mech. 2022, 117, 103221. [Google Scholar] [CrossRef]
- Yilmazturk, S.M.; Arici, Y.; Binici, B. Seismic assessment of a monolithic RCC gravity dam including three dimensional dam-foundation-reservoir interaction. Eng. Struct. 2015, 100, 137–148. [Google Scholar] [CrossRef]
- Chen, D.; Yang, Z.; Wang, M.; Xie, J. Seismic performance and failure modes of the Jin’anqiao concrete gravity dam based on incremental dynamic analysis. Eng. Fail. Anal. 2019, 100, 227–244. [Google Scholar] [CrossRef]
- Ghaedi, K.; Hejazi, F.; Ibrahim, Z.; Khanzaei, P. Flexible foundation effect on seismic analysis of roller compacted concrete (RCC) dams using finite element method. KSCE J. Civ. Eng. 2018, 22, 1275–1287. [Google Scholar] [CrossRef]
- Wang, C.; Hao, H.; Zhang, S.; Wang, G. Influence of ground motion duration on responses of concrete gravity dams. J. Earthq. Eng. 2020, 24, 1156–1180. [Google Scholar] [CrossRef]
- Ferguson, K.A. Risk-informed design of RCC dams under extreme seismic loading. Water 2023, 15, 116. [Google Scholar] [CrossRef]
- Sha, S.; Lei, Z.; Zhang, X. Study on failure mechanism of roller compacted concrete gravity dams by an isotropic damage model. In Proceedings of the 2016 International Conference on Smart City and Systems Engineering (ICSCSE), Hunan, China, 25–26 November 2016; pp. 68–71. [Google Scholar] [CrossRef]
- Rahulkumar, P.; Jagota, A.; Bennison, S.J.; Saigal, S. Cohesive element modeling of viscoelastic fracture: Application to peel testing of polymers. Int. J. Solids Struct. 2000, 37, 1873–1897. [Google Scholar] [CrossRef]
- Cornec, A.; Scheider, I.; Schwalbe, K.H. On the practical application of the cohesive model. Eng. Fract. Mech. 2003, 70, 1963–1987. [Google Scholar] [CrossRef]
- Hillerborg, A.; Modéer, M.; Petersson, P.E. Analysis of crack formation and crack growth in concrete by means of fracture mechanics and finite elements. Cem. Concr. Res. 1976, 6, 773–781. [Google Scholar] [CrossRef]
- Nguyen, V.P.; Nguyen, C.T.; Bordas, S.; Heidarpour, A. Modelling interfacial cracking with non-matching cohesive interface elements. Comput. Mech. 2016, 58, 731–746. [Google Scholar] [CrossRef]
- Shu, X.; Luo, Y.; Zhao, C.; Dai, Z.; Zhong, X.; Zhang, T. Experimental study on the shear failure model for concrete under compression-shear loading. Comput. Concr. 2022, 29, 81–92. [Google Scholar] [CrossRef]
- Paggi, M.; Ferro, G.; Braga, F. Seismic analysis of concrete gravity dams: Nonlinear fracture mechanics models and size-scale effects. Appl. Mech. Mater. 2011, 82, 374–379. [Google Scholar] [CrossRef]
- Zhong, H.; Li, H.; Ooi, E.T.; Song, C. Hydraulic fracture at the dam-foundation interface using the scaled boundary finite element method coupled with the cohesive crack model. Eng. Anal. Bound. Elem. 2018, 88, 41–53. [Google Scholar] [CrossRef]
- Zhu, H.; Wang, G.; Ma, Z.; Su, Y. Seismic time-history analysis of gravity dam based on nonlinear finite element method. Appl. Mech. Mater. 2013, 351–352, 1047–1051. [Google Scholar] [CrossRef]
- Altunisik, A.C.; Sesli, H. Dynamic response of concrete gravity dams using different water modelling approaches: Westergaard, Lagrange and Euler. Comput. Concr. 2015, 16, 429–448. [Google Scholar] [CrossRef]
- Ye, J.; Zhou, H.; Zhou, X. Hydrodynamic pressure on lateral side of dam excited by harmonic seismic vibration: A novel formulation. Soil Dyn. Earthq. Eng. 2023, 164, 107626. [Google Scholar] [CrossRef]
- Nariman, N.A.; Lahmer, T.; Karampour, P. Uncertainty quantification of stability and damage detection parameters of coupled hydrodynamic-ground motion in concrete gravity dams. Front. Struct. Civ. Eng. 2019, 13, 303–323. [Google Scholar] [CrossRef]
- Ya, S.; Eisenträger, S.; Qu, Y.; Zhang, J.; Kuen, T.; Song, C. Seismic analysis of post-tensioned concrete gravity dams using scaled boundary finite elements implemented as ABAQUS UEL. Soil Dyn. Earthq. Eng. 2023, 164, 107620. [Google Scholar] [CrossRef]
- Camanho, P.P.; Davila, C.G. Mixed-mode decohesion finite elements for the simulation of delamination in composite materials. NASA Tech. Pap. 2002, 211737, 42. [Google Scholar]
- ABAQUS. ABAQUS User’s Manual; Dassault Systѐmes Simulia Corp.: Providence, RI, USA, 2021. [Google Scholar]
- Liu, X.; Deng, W.; Liu, B.; Liu, Q.; Zhu, Y.; Fan, Y. Influence analysis on the shear behaviour and failure mode of grout-filled jointed rock using 3D DEM coupled with the cohesive zone model. Comput. Geotech. 2023, 155, 105165. [Google Scholar] [CrossRef]
- Du, J.; Yon, J.; Hawkins, N.; Arakawa, K.; Kobayashi, A. Fracture process zone for concrete for dynamic loading. ACI Mater. J. 1992, 89, 252–258. [Google Scholar] [CrossRef]
- Pan, J.; Zhang, C.; Xu, Y.; Jin, F. A comparative study of the different procedures for seismic cracking analysis of concrete dams. Soil Dyn. Earthq. Eng. 2011, 31, 1594–1606. [Google Scholar] [CrossRef]
- Qu, Y.Q.; Zou, D.; Kong, X.; Yu, X.; Chen, K. Seismic cracking evolution for anti-seepage face slabs in concrete faced rockfill dams based on cohesive zone model in explicit SBFEM-FEM frame. Soil Dyn. Earthq. Eng. 2020, 133, 106106. [Google Scholar] [CrossRef]
- Wang, G.; Wang, Y.; Lu, W.; Yan, P.; Chen, M. Earthquake direction effects on seismic performance of concrete gravity dams to mainshock–aftershock sequences. J. Earthq. Eng. 2020, 24, 1134–1155. [Google Scholar] [CrossRef]
- Lubliner, J.; Oliver, J.; Oller, S.; Oñate, E. A plastic-damage model for concrete. Int. J. Solids Struct. 1989, 25, 299–326. [Google Scholar] [CrossRef]
- Pourbehi, M.S.; van Zijl, G.P. A. G.; Strasheim, J.A. v. B. Analysis of combined action of seismic loads and alkali-silica reaction in concrete dams considering the key chemical-physical-mechanical factors and fluid-structure interaction. Eng. Struct. 2019, 195, 263–273. [Google Scholar] [CrossRef]
- Pan, X.; Wang, G.; Lu, W.; Yan, P.; Chen, M.; Gao, Z. The effects of initial stresses on nonlinear dynamic response of high arch dams subjected to far-field underwater explosion. Eng. Struct. 2022, 256, 114040. [Google Scholar] [CrossRef]
- Yan, C.; Tu, J.; Li, D.; Guo, S.; Liang, H. The failure mechanism of concrete gravity dams considering different nonlinear models under strong earthquakes. Shock Vib. 2021, 2021, 1–17. [Google Scholar] [CrossRef]
- Mridha, S.; Maity, D. Experimental investigation on nonlinear dynamic response of concrete gravity dam-reservoir system. Eng. Struct. 2014, 80, 289–297. [Google Scholar] [CrossRef]
- Wang, G.; Wang, Y.; Lu, W.; Yan, P.; Zhou, W.; Chen, M. A general definition of integrated strong motion duration and its effect on seismic demands of concrete gravity dams. Eng. Struct. 2016, 125, 481–493. [Google Scholar] [CrossRef]
- Ministry of Housing and Urban-Rural Development of the People’s Republic of China. Code for Seismic Design of Hydraulic Structures (GB 51247-2018); Planning Press: Beijing, China, 2018.
- Khazaee, A.; Lotfi, V. Application of perfectly matched layers in the transient analysis of dam–reservoir systems. Soil Dyn. Earthq. Eng. 2014, 60, 51–68. [Google Scholar] [CrossRef]
- Liu, D.; Li, Z.; Liu, J. Experimental study on real-time control of roller compacted concrete dam compaction quality using unit compaction energy indices. Constr. Build. Mater. 2015, 96, 567–575. [Google Scholar] [CrossRef]



























| Concrete | Density (kg/m3) | Modulus (GPa) | Tensile Strength (Mpa) | Compressive Strength (Mpa) | Poisson’s Ratio | Fracture Energy (N/m) |
|---|---|---|---|---|---|---|
| C15 | 2552 | 56.0 | 1.45 | 14.53 | 0.167 | 205 |
| C20 | 2552 | 57.6 | 1.94 | 19.38 | 0.167 | 257 |
| C25 | 2552 | 58.8 | 2.42 | 24.23 | 0.167 | 300 |
Disclaimer/Publisher’s Note: The statements, opinions and data contained in all publications are solely those of the individual author(s) and contributor(s) and not of MDPI and/or the editor(s). MDPI and/or the editor(s) disclaim responsibility for any injury to people or property resulting from any ideas, methods, instructions or products referred to in the content. |
© 2023 by the authors. Licensee MDPI, Basel, Switzerland. This article is an open access article distributed under the terms and conditions of the Creative Commons Attribution (CC BY) license (https://creativecommons.org/licenses/by/4.0/).
Share and Cite
Wang, G.; Liu, A.; Lu, W.; Chen, M.; Yan, P. Seismic Response and Damage Characteristics of RCC Gravity Dams Considering Weak Layers Based on the Cohesive Model. Mathematics 2023, 11, 1567. https://doi.org/10.3390/math11071567
Wang G, Liu A, Lu W, Chen M, Yan P. Seismic Response and Damage Characteristics of RCC Gravity Dams Considering Weak Layers Based on the Cohesive Model. Mathematics. 2023; 11(7):1567. https://doi.org/10.3390/math11071567
Chicago/Turabian StyleWang, Gaohui, Aobo Liu, Wenbo Lu, Ming Chen, and Peng Yan. 2023. "Seismic Response and Damage Characteristics of RCC Gravity Dams Considering Weak Layers Based on the Cohesive Model" Mathematics 11, no. 7: 1567. https://doi.org/10.3390/math11071567
APA StyleWang, G., Liu, A., Lu, W., Chen, M., & Yan, P. (2023). Seismic Response and Damage Characteristics of RCC Gravity Dams Considering Weak Layers Based on the Cohesive Model. Mathematics, 11(7), 1567. https://doi.org/10.3390/math11071567

