Viral Infection Spreading in Cell Culture with Intracellular Regulation
Abstract
1. Introduction

2. Viral Load and Spreading Speed
2.1. Virus Replication Number
2.2. Viral Load in the Case of Uniform Virus Distribution
2.3. Viral Load in the Wave
2.4. Wave Speed
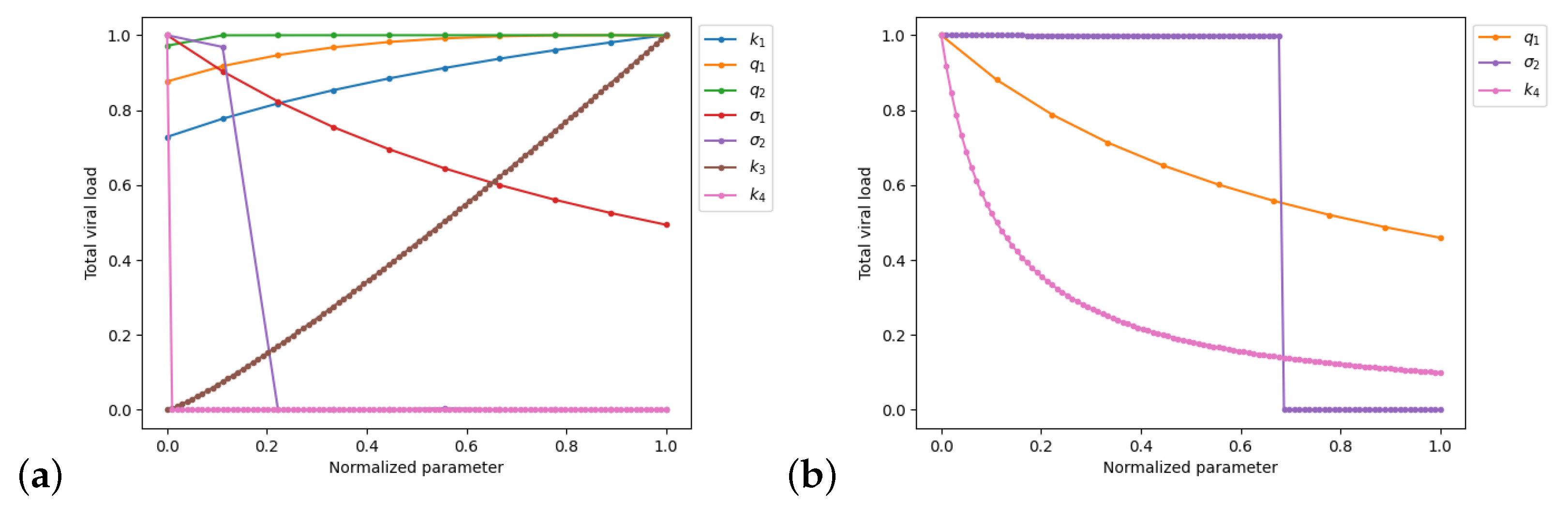
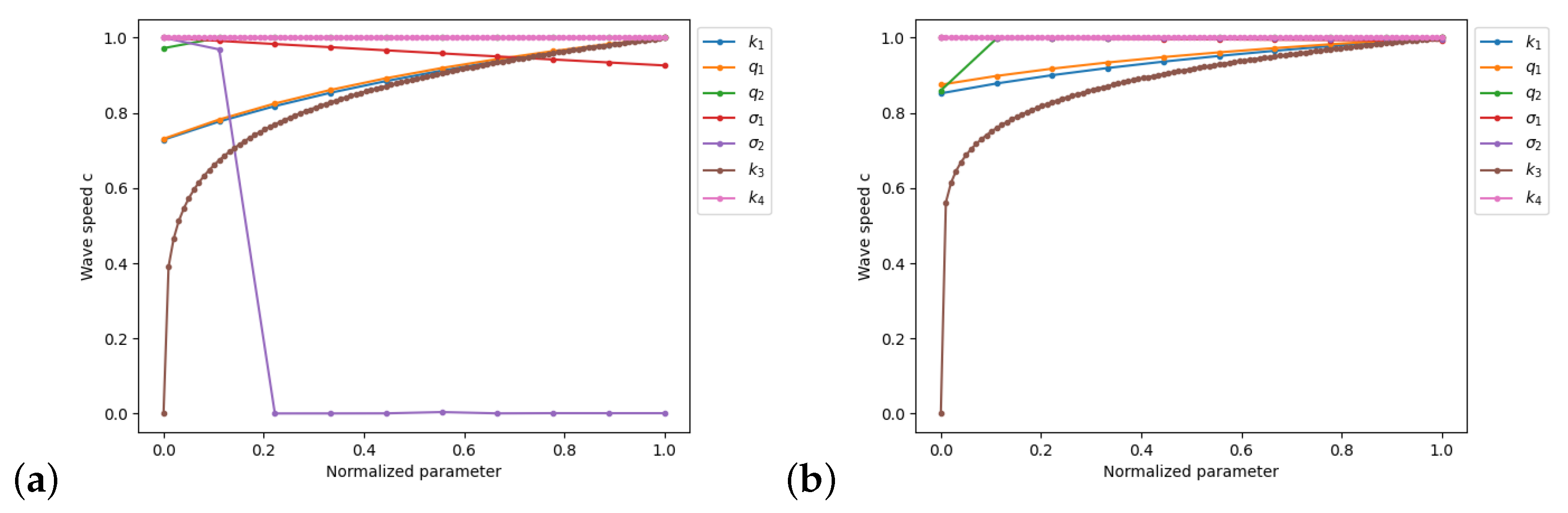
2.5. Numerical Simulations
| Parameter | Corresponding Parameter from [21] | Value from ([21], Table 2) |
|---|---|---|
| 0.12 h, range: (0.06, 3.5), tuned to (0.06, 0.2) | ||
| 0.5 h, range: (0.33, 1) | ||
| 8 h range: (8, 7200) | ||
| 0.5 h, range: (0.33, 1) | ||
| 0.2 h, range: (0.069, 0.69), tuned to (0.069, 0.4) | ||
| Equation (84) | , range: (, ), | |
| range using tuned values: (, ) | ||
| Equation (84) | , range: (, ), | |
| range using tuned values: (, ) |
3. Simplified Models
3.1. Model Reduction
3.2. Virus Replication Number
3.3. Viral Load
3.4. Spatial Infection Spreading
3.4.1. Final Amounts of Cell Proteins and Viral Load
3.4.2. Wave Speed
3.5. Second Simplified Model
4. Model Validation

5. Discussion
5.1. Different Models of Infection Progression
5.2. Complete and Reduced Models
5.2.1. Comparison with the First Reduced Model
5.2.2. Comparison with the Second Reduced Model
5.3. Biological Interpretations
6. Conclusions
Author Contributions
Funding
Data Availability Statement
Conflicts of Interest
Appendix A. System Reduction
References
- Baer, A.; Kehn-Hall, K. Viral Concentration Determination Through Plaque Assays: Using Traditional and Novel Overlay Systems. J. Vis. Exp. 2014, 93, e52065. [Google Scholar] [CrossRef]
- Jegouic, S.; Joffret, M.-L.; Blanchard, C.; Riquet, F.; Perret, C.; Pelletier, I.; Colbere-Garapin, F.; Rakoto-Andrianarivelo, M.; Delpeyroux, F. Recombination between Polioviruses and Co-Circulating Coxsackie A Viruses: Role in the Emergence of Pathogenic Vaccine-Derived Polioviruses. PLoS Pathog. 2009, 5, e1000412. [Google Scholar] [CrossRef] [PubMed]
- Schloer, G.; Hanson, R. Relationship of Plaque Size and Virulence for Chickens of 14 Representative Newcastle Disease Virus Strains. J. Virol. 1968, 2, 40–47. [Google Scholar] [CrossRef] [PubMed]
- Hanson, R.; Brandly, C. Identification of vaccine strains of Newcastle disease virus. Science 1955, 122, 156–157. [Google Scholar] [CrossRef] [PubMed]
- Liebhaber, H.; Takemoto, K. Alteration of plaque morphology of EMC virus with polycations. Virology 1961, 14, 502–504. [Google Scholar] [CrossRef]
- Goh, K.C.M.; Tang, C.K.; Norton, D.C.; Gan, E.S.; Tan, H.C.; Sun, B.; Syenina, A.; Yousuf, A.; Ong, X.M. Molecular determinants of plaque size as an indicator of dengue virus attenuation. Sci. Rep. 2016, 6, 26100. [Google Scholar] [CrossRef]
- Aguilera, E.; Erickson, A.; Jesudhasan, P.; Robinson, C.; Pfeiffer, J. Plaques formed by mutagenized viral populations have elevated coinfection frequencies. mBio 2017, 8, e02020-16. [Google Scholar] [CrossRef]
- Peacock, T.; Brown, J.C.; Zhou, J.; Thakur, N.; Newman, J.; Kugathasan, R.; Sukhova, K.; Kaforou, M.; Bailey, D.; Barclay, W.S. The SARS-CoV-2 variant, Omicron, shows rapid replication in human primary nasal epithelial cultures and efficiently uses the endosomal route of entry. bioRxiv 2022. [Google Scholar] [CrossRef]
- Johnson, C.; Exell, J.; Lin, Y.; Aguilar, J.; Welsher, K.D. Capturing the start point of the virus-cell interaction with high-speed 3D single-virus tracking. Nat. Methods 2022, 19, 1642–1652. [Google Scholar] [CrossRef]
- Yin, J.; McCaskill, J. Replication of viruses in a growing plaque: A reaction-diffusion model. Biophys. J. 1992, 61, 1540–1549. [Google Scholar] [CrossRef]
- Holder, B.; Simon, P.; Liao, L.; Abed, Y.; Bouhy, X.; Beauchemin, C.; Boivin, G. Assessing the in vitro fitness of an Oseltamivir-resistant seasonal A/H1N1 influenza strain using a mathematical model. PLoS ONE 2011, 6, e14767. [Google Scholar] [CrossRef]
- Akpinar, F.; Inankur, B.; Yin, J. Spatial-temporal patterns of viral amplification and interference initiated by a single infected cell. J. Virol. 2016, 90, 7552–7566. [Google Scholar] [CrossRef]
- Rodriguez-Brenes, I.; Hofacre, A.; Fan, H.; Wodarz, D. Complex dynamics of virus spread from low infection multiplicities: Implications for the spread of oncolytic viruses. PLoS Comput. Biol. 2017, 13, e1005241. [Google Scholar] [CrossRef]
- Graw, F.; Perelson, A. Modeling Viral Spread. Annu. Rev. Virol. 2016, 3, 555–572. [Google Scholar] [CrossRef]
- Ait Mahiout, L.; Bessonov, N.; Kazmierczak, B.; Sadaka, G.; Volpert, V. Infection spreading in cell culture as a reaction-diffusion wave. ESAIM Math. Model. Numer. Anal. 2022, 56, 791–814. [Google Scholar] [CrossRef]
- Ait Mahiout, L.; Mozokhina, A.; Tokarev, A.; Volpert, V. Virus replication and competition in a cell culture: Application to the SARS-CoV-2 variants. Appl. Math. Lett. 2022, 133, 108217. [Google Scholar] [CrossRef]
- Ait Mahiout, L.; Bessonov, N.; Kazmierczak, B.; Volpert, V. Mathematical modeling of respiratory viral infection and applications to SARS-CoV-2 progression. Math. Methods Appl. Sci. 2023, 46, 1740–1751. [Google Scholar] [CrossRef]
- Volpert, V. Existence of Reaction–Diffusion Waves in a Model of Immune Response. Mediterr. J. Math. 2020, 17, 1–20. [Google Scholar] [CrossRef]
- Leon, C.; Kutsenko, I.; Volpert, V. Existence of solutions for a nonlocal reaction-diffusion equation in biomedical applications. Israel J. Math. 2022, 248, 67–93. [Google Scholar] [CrossRef]
- Ait Mahiout, L.; Kazmierczak, B.; Volpert, V. Viral infection spreading and mutation in cell culture. Mathematics 2022, 10, 256. [Google Scholar] [CrossRef]
- Grebennikov, D.; Kholodareva, E.; Sazonov, I.; Karsonova, A.; Meyerhans, A.; Bocharov, G. Intracellular Life Cycle Kinetics of SARS-CoV-2 Predicted Using Mathematical Modelling. Viruses 2021, 13, 1735. [Google Scholar] [CrossRef] [PubMed]
- Shi, S.; Lai, M. Viral and cellular proteins involved in coronavirus replication. Curr. Top. Microbiol. Immunol. 2005, 287, 95–131. [Google Scholar] [PubMed]
- Grebennikov, D.; Karsonova, A.; Loguinova, M.; Casella, V.; Meyerhans, A.; Bocharov, G. Predicting the Kinetic Coordination of Immune Response Dynamics in SARS-CoV-2 Infection: Implications for Disease Pathogenesis. Mathematics 2022, 10, 3154. [Google Scholar] [CrossRef]



| Value of | Numerical | Numerical c | by [15] | c by [15] |
|---|---|---|---|---|
| 1 | 106 | 0.116 | 221 | 0.24 |
| 2 | 54 | 0.11 | 99 | 0.21 |
| 5 | 17 | 0.09 | 25 | 0.13 |
| 10 | 5.1 | 0.05 | 6.2 | 0.06 |
Disclaimer/Publisher’s Note: The statements, opinions and data contained in all publications are solely those of the individual author(s) and contributor(s) and not of MDPI and/or the editor(s). MDPI and/or the editor(s) disclaim responsibility for any injury to people or property resulting from any ideas, methods, instructions or products referred to in the content. |
© 2023 by the authors. Licensee MDPI, Basel, Switzerland. This article is an open access article distributed under the terms and conditions of the Creative Commons Attribution (CC BY) license (https://creativecommons.org/licenses/by/4.0/).
Share and Cite
Bessonov, N.; Bocharov, G.; Mozokhina, A.; Volpert, V. Viral Infection Spreading in Cell Culture with Intracellular Regulation. Mathematics 2023, 11, 1526. https://doi.org/10.3390/math11061526
Bessonov N, Bocharov G, Mozokhina A, Volpert V. Viral Infection Spreading in Cell Culture with Intracellular Regulation. Mathematics. 2023; 11(6):1526. https://doi.org/10.3390/math11061526
Chicago/Turabian StyleBessonov, Nikolay, Gennady Bocharov, Anastasiia Mozokhina, and Vitaly Volpert. 2023. "Viral Infection Spreading in Cell Culture with Intracellular Regulation" Mathematics 11, no. 6: 1526. https://doi.org/10.3390/math11061526
APA StyleBessonov, N., Bocharov, G., Mozokhina, A., & Volpert, V. (2023). Viral Infection Spreading in Cell Culture with Intracellular Regulation. Mathematics, 11(6), 1526. https://doi.org/10.3390/math11061526

