Automated CNN Architectural Design: A Simple and Efficient Methodology for Computer Vision Tasks
Abstract
1. Introduction
- 1.
- We propose a new and efficient NAS framework based on CSA for automatically designing high-quality CNN architectures for image classification tasks.
- 2.
- We introduce an integer encoding scheme for encoding hyperparameters and the layers of the CNN architecture, which enables efficient implementation of different mutation types.
- 3.
- We evaluate our methodology on challenging datasets such as EMNIST, which contains both digits and letters, and achieved cutting-edge performance in terms of accuracy and model complexity.
- 4.
- Our proposed method outperforms nearly all existing approaches, while having fewer trainable parameters than other methods, making it low-cost, simple, and reusable for application to multiple datasets.
- 5.
- Our approach provides a promising and efficient alternative to traditional manual design methods for deep learning architectures, leveraging the power of nature-inspired optimization algorithms to overcome the challenge of finding the optimal CNN architecture.
2. Related Work
3. Background
3.1. CNN
3.1.1. Convolutional Layer
3.1.2. ReLU
3.1.3. Pooling Layer
3.1.4. Fully-Connected Layer
3.2. CSA
4. Automated CNN Design Using CSA
4.1. Antigen Encoding
4.2. Antibodies
4.3. Affinity Evaluation and Selection
4.4. Cloning and Mutation
5. Experimental Design
5.1. EMNIST Dataset
5.2. Experimental Setup
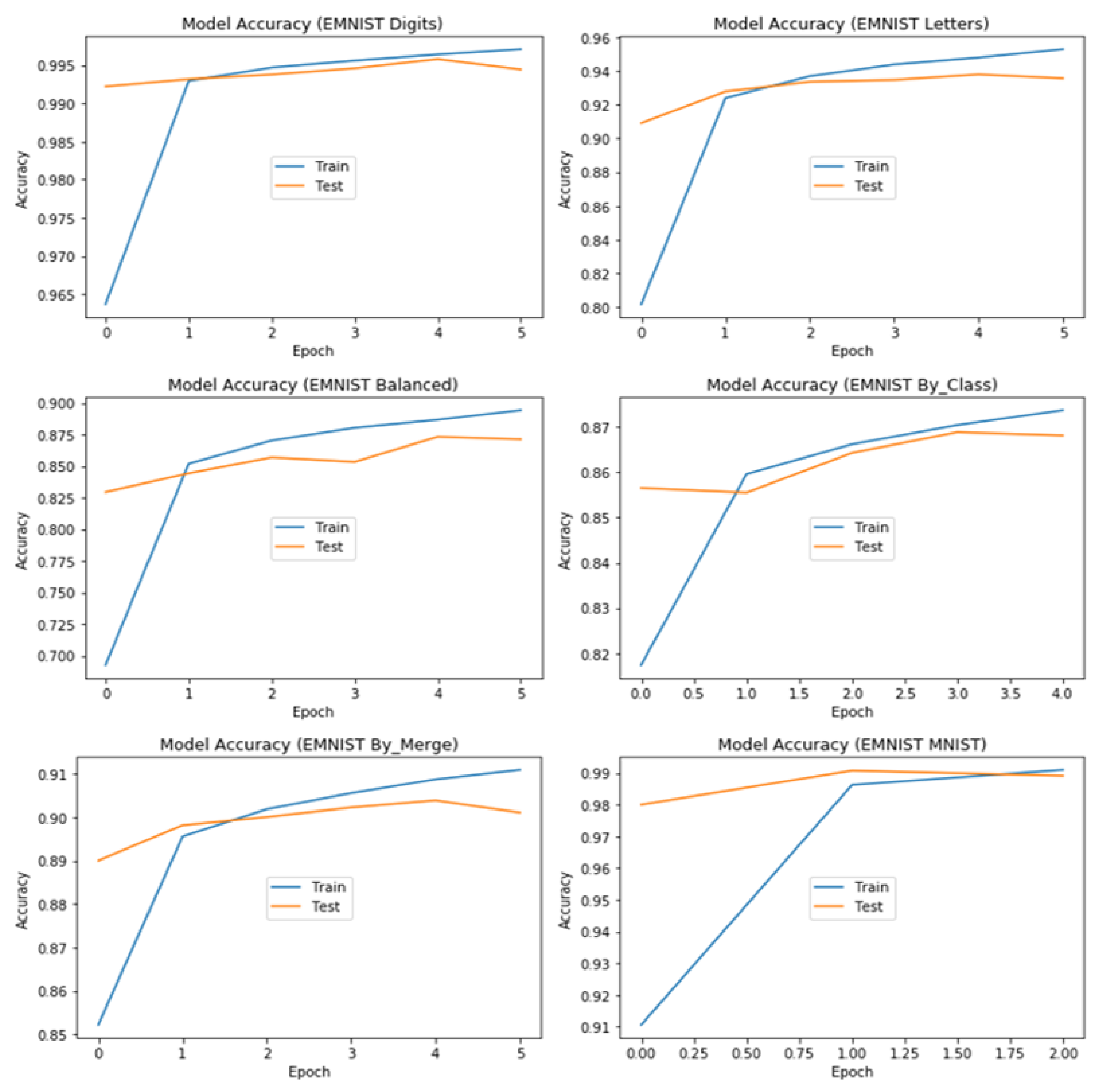
6. Results
6.1. Benchmarking with Existing Methods
6.2. Discussion
7. Conclusions
Author Contributions
Funding
Institutional Review Board Statement
Informed Consent Statement
Data Availability Statement
Conflicts of Interest
References
- LeCun, Y.; Bengio, Y.; Hinton, G. Deep learning. Nature 2015, 521, 436–444. [Google Scholar] [CrossRef]
- Al Bataineh, A. A comparative analysis of nonlinear machine learning algorithms for breast cancer detection. Int. J. Mach. Learn. Comput. 2019, 9, 248–254. [Google Scholar] [CrossRef]
- Goodfelow, I.; Bengio, Y.; Courville, A. Deep Learning (Adaptive Computation and Machine Learning Series); MIT Press: London, UK, 2016. [Google Scholar]
- Al Bataineh, A.; Mairaj, A.; Kaur, D. Autoencoder based semi-supervised anomaly detection in turbofan engines. Int. J. Adv. Comput. Sci. Appl. (IJACSA) 2020, 11. [Google Scholar] [CrossRef]
- Al Bataineh, A.; Jarrah, A. High Performance Implementation of Neural Networks Learning Using Swarm Optimization Algorithms for EEG Classification Based on Brain Wave Data. Int. J. Appl. Metaheuristic Comput. (IJAMC) 2022, 13, 1–17. [Google Scholar] [CrossRef]
- de Castro, L.N.; Von Zuben, F.J. Learning and optimization using the clonal selection principle. IEEE Trans. Evol. Comput. 2002, 6, 239–251. [Google Scholar] [CrossRef]
- Castro, L.N.; De Castro, L.N.; Timmis, J. Artificial Immune Systems: A New Computational Intelligence Approach; Springer Science & Business Media: Berlin/Heidelberg, Germany, 2002. [Google Scholar]
- Elsken, T.; Metzen, J.H.; Hutter, F. Neural architecture search: A survey. J. Mach. Learn. Res. 2019, 20, 1–21. [Google Scholar]
- Hershey, S.; Chaudhuri, S.; Ellis, D.P.; Gemmeke, J.F.; Jansen, A.; Moore, R.C.; Plakal, M.; Platt, D.; Saurous, R.A.; Seybold, B.; et al. CNN architectures for large-scale audio classification. In Proceedings of the 2017 IEEE International Conference on Acoustics, Speech and Signal Processing (ICASSP), New Orleans, LA, USA, 5–9 March 2017; IEEE: Piscataway, NJ, USA, 2017; pp. 131–135. [Google Scholar]
- Liashchynskyi, P.; Liashchynskyi, P. Grid search, random search, genetic algorithm: A big comparison for nas. arXiv 2019, arXiv:1912.06059. [Google Scholar]
- Zoph, B.; Le, Q.V. Neural architecture search with reinforcement learning. arXiv 2016, arXiv:1611.01578. [Google Scholar]
- Baker, B.; Gupta, O.; Naik, N.; Raskar, R. Designing neural network architectures using reinforcement learning. arXiv 2016, arXiv:1611.02167. [Google Scholar]
- Pelikan, M.; Goldberg, D.E.; Cantú-Paz, E. BOA: The Bayesian optimization algorithm. In Proceedings of the Genetic and Evolutionary Computation Conference GECCO-99, Orlando, FL, USA, 13–17 July 1999; Citeseer: Princeton, NJ, USA, 1999; Volume 1, pp. 525–532. [Google Scholar]
- Snoek, J.; Larochelle, H.; Adams, R.P. Practical bayesian optimization of machine learning algorithms. arXiv 2012, arXiv:1206.2944. [Google Scholar]
- Lopes, V.; Alexandre, L.A. HMCNAS: Neural Architecture Search using Hidden Markov Chains and Bayesian Optimization. arXiv 2020, arXiv:2007.16149. [Google Scholar]
- Yao, X.; Liu, Y. A new evolutionary system for evolving artificial neural networks. IEEE Trans. Neural Netw. 1997, 8, 694–713. [Google Scholar] [CrossRef] [PubMed]
- Kassahun, Y.; Sommer, G. Efficient reinforcement learning through Evolutionary Acquisition of Neural Topologies. In Proceedings of the ESANN, Bruges, Belgium, 27–29 April 2005; pp. 259–266. [Google Scholar]
- Miller, G.F.; Todd, P.M.; Hegde, S.U. Designing Neural Networks using Genetic Algorithms. In Proceedings of the ICGA, Fairfax, VA, USA, 15 June 1989; Volume 89, pp. 379–384. [Google Scholar]
- Stanley, K.O.; Miikkulainen, R. Evolving neural networks through augmenting topologies. Evol. Comput. 2002, 10, 99–127. [Google Scholar] [CrossRef] [PubMed]
- Real, E.; Aggarwal, A.; Huang, Y.; Le, Q.V. Regularized evolution for image classifier architecture search. In Proceedings of the AAAI Conference on Artificial Intelligence, Honolulu, HI, USA, 27 January–1 February 2019; Volume 33, pp. 4780–4789. [Google Scholar]
- Young, S.R.; Rose, D.C.; Karnowski, T.P.; Lim, S.H.; Patton, R.M. Optimizing deep learning hyper-parameters through an evolutionary algorithm. In Proceedings of the Workshop on Machine Learning in High-Performance Computing Environments, Austin, TX, USA, 15–20 November 2015; pp. 1–5. [Google Scholar]
- Loshchilov, I.; Hutter, F. CMA-ES for hyperparameter optimization of deep neural networks. arXiv 2016, arXiv:1604.07269. [Google Scholar]
- Fernando, C.; Banarse, D.; Reynolds, M.; Besse, F.; Pfau, D.; Jaderberg, M.; Lanctot, M.; Wierstra, D. Convolution by evolution: Differentiable pattern producing networks. In Proceedings of the Genetic and Evolutionary Computation Conference 2016, Denver, CO, USA, 20–24 July 2016; pp. 109–116. [Google Scholar]
- Baldominos Gómez, A. Evolutionary design of deep neural networks. In Proceedings of the 2019 21st International Symposium on Symbolic and Numeric Algorithms for Scientific Computing (SYNASC), Timisoara, Romania, 4–7 September 2018. [Google Scholar]
- Wang, B.; Sun, Y.; Xue, B.; Zhang, M. Evolving deep neural networks by multi-objective particle swarm optimization for image classification. In Proceedings of the Genetic and Evolutionary Computation Conference, Prague, Czech Republic, 13–17 July 2019; pp. 490–498. [Google Scholar]
- Byla, E.; Pang, W. Deepswarm: Optimising convolutional neural networks using swarm intelligence. In Proceedings of the UK Workshop on Computational Intelligence, Portsmouth, UK, 4–6 September 2019; Springer: Berlin/Heidelberg, Germany, 2019; pp. 119–130. [Google Scholar]
- Stanley, K.O.; D’Ambrosio, D.B.; Gauci, J. A hypercube-based encoding for evolving large-scale neural networks. Artif. Life 2009, 15, 185–212. [Google Scholar] [CrossRef]
- Verbancsics, P.; Harguess, J. Image classification using generative neuro evolution for deep learning. In Proceedings of the 2015 IEEE Winter Conference on Applications of Computer Vision, Waikoloa, HI, USA, 3–8 January 2015; IEEE: New York, NY, USA, 2015; pp. 488–493. [Google Scholar]
- Baldominos, A.; Saez, Y.; Isasi, P. Evolutionary design of convolutional neural networks for human activity recognition in sensor-rich environments. Sensors 2018, 18, 1288. [Google Scholar] [CrossRef]
- Suganuma, M.; Shirakawa, S.; Nagao, T. A genetic programming approach to designing convolutional neural network architectures. In Proceedings of the Genetic and Evolutionary Computation Conference, Berlin, Germany, 15–19 July 2017; pp. 497–504. [Google Scholar]
- Xie, L.; Yuille, A. Genetic cnn. In Proceedings of the IEEE International Conference on Computer Vision, Venice, Italy, 22–29 October 2017; pp. 1379–1388. [Google Scholar]
- Desell, T. Large scale evolution of convolutional neural networks using volunteer computing. In Proceedings of the Genetic and Evolutionary Computation Conference Companion, Berlin, Germany, 15–19 July 2017; pp. 127–128. [Google Scholar]
- Baldominos, A.; Saez, Y.; Isasi, P. Model selection in committees of evolved convolutional neural networks using genetic algorithms. In Proceedings of the International Conference on Intelligent Data Engineering and Automated Learning, Madrid, Spain, 21–23 November 2018; Springer: Berlin/Heidelberg, Germany, 2018; pp. 364–373. [Google Scholar]
- Bataineh, A.S.A. A gradient boosting regression based approach for energy consumption prediction in buildings. Adv. Energy Res. 2019, 6, 91–101. [Google Scholar]
- Wang, B.; Sun, Y.; Xue, B.; Zhang, M. A hybrid differential evolution approach to designing deep convolutional neural networks for image classification. In Proceedings of the Australasian Joint Conference on Artificial Intelligence, Wellington, New Zealand, 11–14 December 2018; Springer: Berlin/Heidelberg, Germany, 2018; pp. 237–250. [Google Scholar]
- Wang, B.; Sun, Y.; Xue, B.; Zhang, M. Evolving deep convolutional neural networks by variable-length particle swarm optimization for image classification. In Proceedings of the 2018 IEEE Congress on Evolutionary Computation (CEC), Rio de Janeiro, Brazil, 8–13 July 2018; IEEE: Piscataway, NJ, USA, 2018; pp. 1–8. [Google Scholar]
- Fielding, B.; Zhang, L. Evolving image classification architectures with enhanced particle swarm optimisation. IEEE Access 2018, 6, 68560–68575. [Google Scholar] [CrossRef]
- Bhandare, A.; Kaur, D. Designing convolutional neural network architecture using genetic algorithms. In Proceedings of the Proceedings on the International Conference on Artificial Intelligence (ICAI), The Steering Committee of The World Congress in Computer Science, Computer Engineering and Applied Computing (WorldComp). Jinan, China, 9–10 August 2018; pp. 150–156. [Google Scholar]
- Miikkulainen, R.; Liang, J.; Meyerson, E.; Rawal, A.; Fink, D.; Francon, O.; Raju, B.; Shahrzad, H.; Navruzyan, A.; Duffy, N.; et al. Evolving deep neural networks. In Artificial Intelligence in the Age of Neural Networks and Brain Computing; Elsevier: Amsterdam, The Netherlands, 2019; pp. 293–312. [Google Scholar]
- Al Bataineh, A.; Manacek, S. MLP-PSO hybrid algorithm for heart disease prediction. J. Pers. Med. 2022, 12, 1208. [Google Scholar] [CrossRef]
- Sun, Y.; Xue, B.; Zhang, M.; Yen, G.G. Evolving deep convolutional neural networks for image classification. IEEE Trans. Evol. Comput. 2019, 24, 394–407. [Google Scholar] [CrossRef]
- Sun, Y.; Xue, B.; Zhang, M.; Yen, G.G.; Lv, J. Automatically designing CNN architectures using the genetic algorithm for image classification. IEEE Trans. Cybern. 2020, 50, 3840–3854. [Google Scholar] [CrossRef] [PubMed]
- Krizhevsky, A.; Hinton, G. Learning Multiple Layers of Features from Tiny Images. 2009. Available online: https://www.cs.toronto.edu/~kriz/learning-features-2009-TR.pdf (accessed on 15 January 2023).
- LeCun, Y. The MNIST Database of Handwritten Digits. 1998. Available online: http://yann.lecun.com/exdb/mnist/ (accessed on 15 January 2023).
- Krizhevsky, A.; Sutskever, I.; Hinton, G.E. Imagenet classification with deep convolutional neural networks. Commun. ACM 2017, 60, 84–90. [Google Scholar] [CrossRef]
- LeCun, Y.; Bottou, L.; Bengio, Y.; Haffner, P. Gradient-based learning applied to document recognition. Proc. IEEE 1998, 86, 2278–2324. [Google Scholar] [CrossRef]
- Al Bataineh, A.; Kaur, D. Optimal Convolutional Neural Network Architecture Design Using Clonal Selection Algorithm. Int. J. Mach. Learn. Comput. 2019, 9, 788–794. [Google Scholar] [CrossRef]
- Karpathy, A. Cs231n convolutional neural networks for visual recognition. Neural Netw. 2016, 1. [Google Scholar]
- Scherer, D.; Müller, A.; Behnke, S. Evaluation of pooling operations in convolutional architectures for object recognition. In Proceedings of the International Conference on Artificial Neural Networks, Thessaloniki, Greece, 15–18 September 2010; Springer: Berlin/Heidelberg, Germany, 2010; pp. 92–101. [Google Scholar]
- Al Bataineh, A.; Kaur, D.; Jalali, S.M.J. Multi-Layer Perceptron Training Optimization Using Nature Inspired Computing. IEEE Access 2022, 10, 36963–36977. [Google Scholar] [CrossRef]
- Brownlee, J. Clonal Selection Theory & Clonalg-the Clonal Selection Classification Algorithm (CSCA); Swinburne University of Technology: Melbourne, Australia, 2005; p. 38. [Google Scholar]
- Al Bataineh, A.; Kaur, D. Immunocomputing-Based Approach for Optimizing the Topologies of LSTM Networks. IEEE Access 2021, 9, 78993–79004. [Google Scholar] [CrossRef]
- Bataineh, A.A.; Kaur, D. Immuno-Computing-based Neural Learning for Data Classification. Int. J. Adv. Comput. Sci. Appl. 2019, 10. [Google Scholar] [CrossRef]
- Brownlee, J. Clever Algorithms: Nature-Inspired Programming Recipes; Jason Brownlee: Melbourne, Australia, 2011. [Google Scholar]
- Kowsari, K.; Heidarysafa, M.; Brown, D.E.; Meimandi, K.J.; Barnes, L.E. Rmdl: Random multimodel deep learning for classification. In Proceedings of the 2nd International Conference on Information System and Data Mining, Lakeland, FL, USA, 9–11 April 2018; pp. 19–28. [Google Scholar]
- Byerly, A.; Kalganova, T.; Dear, I. A branching and merging convolutional network with homogeneous filter capsules. arXiv 2020, arXiv:2001.09136. [Google Scholar]
- Assiri, Y. Stochastic optimization of plain convolutional neural networks with simple methods. arXiv 2020, arXiv:2001.08856. [Google Scholar]
- Hirata, D.; Takahashi, N. Ensemble learning in CNN augmented with fully connected subnetworks. arXiv 2020, arXiv:2003.08562. [Google Scholar]
- Mazzia, V.; Salvetti, F.; Chiaberge, M. Efficient-CapsNet: Capsule Network with Self-Attention Routing. arXiv 2021, arXiv:2101.12491. [Google Scholar] [CrossRef] [PubMed]
- Cohen, G.; Afshar, S.; Tapson, J.; Van Schaik, A. EMNIST: Extending MNIST to handwritten letters. In Proceedings of the 2017 International Joint Conference on Neural Networks (IJCNN), Anchorage, AK, USA, 14–19 May 2017; IEEE: Piscataway, NJ, USA, 2017; pp. 2921–2926. [Google Scholar]
- Grother, P.J. NIST special database 19. Handprinted Forms and Characters Database; National Institute of Standards and Technology: Gaithersburg, MD, USA, 1995; p. 10.
- Singh, S.; Paul, A.; Arun, M. Parallelization of digit recognition system using deep convolutional neural network on CUDA. In Proceedings of the 2017 Third International Conference on Sensing, Signal Processing and Security (ICSSS), Chennai, India, 4–5 May 2017; IEEE: Piscataway, NJ, USA, 2017; pp. 379–383. [Google Scholar]
- Mor, S.S.; Solanki, S.; Gupta, S.; Dhingra, S.; Jain, M.; Saxena, R. Handwritten text recognition: With deep learning and Android. Int. J. Eng. Adv. Technol. 2019, 8, 172–178. [Google Scholar]
- Pad, P.; Narduzzi, S.; Kundig, C.; Turetken, E.; Bigdeli, S.A.; Dunbar, L.A. Efficient Neural Vision Systems Based on Convolutional Image Acquisition. In Proceedings of the IEEE/CVF Conference on Computer Vision and Pattern Recognition, Seattle, WA, USA, 13–19 June 2020; pp. 12285–12294. [Google Scholar]
- Ghadekar, P.; Ingole, S.; Sonone, D. Handwritten digit and letter recognition using hybrid DWT-DCT with KNN and SVM classifier. In Proceedings of the 2018 Fourth International Conference on Computing Communication Control and Automation (ICCUBEA), Pune, India, 16–18 August 2018; IEEE: Piscataway, NJ, USA, 2018; pp. 1–6. [Google Scholar]
- Wiyatno, R.; Orchard, J. Style memory: Making a classifier network generative. In Proceedings of the 2018 IEEE 17th International Conference on Cognitive Informatics & Cognitive Computing (ICCI* CC), Berkeley, CA, USA, 16–18 July 2018; IEEE: Piscataway, NJ, USA, 2018; pp. 16–21. [Google Scholar]
- Jin, Y.; Zhang, W.; Li, P. Hybrid macro/micro level backpropagation for training deep spiking neural networks. arXiv 2018, arXiv:1805.07866. [Google Scholar]
- Cavalin, P.; Oliveira, L. Confusion matrix-based building of hierarchical classification. In Proceedings of the Iberoamerican Congress on Pattern Recognition, Madrid, Spain, 19–22 November 2018; Springer: Berlin/Heidelberg, Germany, 2018; pp. 271–278. [Google Scholar]
- Dufourq, E.; Bassett, B.A. Eden: Evolutionary deep networks for efficient machine learning. In Proceedings of the 2017 Pattern Recognition Association of South Africa and Robotics and Mechatronics (PRASA-RobMech), Bloemfontein, South Africa, 29 November–1 December 2017; IEEE: Piscataway, NJ, USA, 2017; pp. 110–115. [Google Scholar]







| Hyperparameter | Range |
|---|---|
| # Epochs | [1–49] |
| Batch Size | [1–255] |
| # Conv layers | [1–9] |
| # Filters in each conv layer | [1–65] |
| Filters size in each conv layer | [1–9] |
| Activation function in each conv layer | {Relu(1), Tanh (2), Linear (3), Sigmoid (4)} |
| Max pooling size (if any) after each conv layer | {False (1), True (2)} |
| Pooling size of each max pooling layer | [2–9] |
| # Dense layers | [1–9] |
| # Neurons for each dense layer | [1–65] |
| Activation function in each dense layer | {Relu (1), Tanh (2), Linear (3), Sigmoid (4)} |
| Optimizer | {SGD (1), Adadelta (2), RMSprop (3), Adam (4), Nadam (5)} |
| Learning rate | [0.00001, 0.0001, 0.001, 0.01] |
| Dataset | # Images | # Training Images | # Test Images | # Classes |
|---|---|---|---|---|
| By_Class | 814,255 | 697,932 | 116,323 | 62 (unbalanced) |
| By_Merge | 814,255 | 697,932 | 116,323 | 47 (unbalanced) |
| Balanced | 131,600 | 112,800 | 18,800 | 47 (balanced) |
| Letters | 145,600 | 124,800 | 20,800 | 26 (balanced) |
| Digits | 280,000 | 240,000 | 40,000 | 10 (balanced) |
| MNIST | 70,000 | 60,000 | 10,000 | 10 (balanced) |
| Hyperparameter | Optimal Value |
|---|---|
| # Epochs | 6 |
| Batch Size | 151 |
| # Conv layers | 4 |
| # Filters in each conv layer | 56 |
| Filters size in each conv layer | 5 × 5 |
| Activation function in each conv layer | Relu |
| Max pooling size (if any) after each conv layer | True |
| Pooling size of each max pooling layer | 2 × 2 |
| # Dense layers | 1 |
| # Neurons for each dense layer | 19 |
| Activation function in each dense layer | Relu |
| Optimizer | Adam |
| Learning rate | 0.001 |
| Dataset | Train Accuracy | Test Accuracy | Train Loss | Test Loss | # Parameters |
|---|---|---|---|---|---|
| Digits | 99.82% | 99.74% | 0.0107 | 0.0194 | 241,299 |
| Letters | 95.46% | 93.95% | 0.1344 | 0.2034 | 241,619 |
| Balanced | 89.95% | 88.12% | 0.2872 | 0.3915 | 242,039 |
| By_Class | 87.80% | 86.82% | 0.3366 | 0.3624 | 242,339 |
| By_Merge | 91.29% | 90.11% | 0.2332 | 0.2769 | 242,039 |
| MNIST | 99.11% | 98.91% | 0.0305 | 0.0369 | 241,299 |
| Method | By_Class | By_Merge | Balanced | Letters | Digits |
|---|---|---|---|---|---|
| Our CSA–CNN | 86.82% | 90.11% | 88.12% | 93.95% | 99.74% |
| OPIUM [60] | 69.71% | 72.57% | 78.02% | 85.15% | 95.90% |
| Linear classifier [60] | 51.80% | 50.51% | 50.93% | 55.78% | 84.70% |
| OptConv+Log+Perc [64] | – | – | 87.69% | 93.65% | 99.43% |
| OptConv+Perc [64] | – | – | 84.68% | 91.92% | 98.29% |
| DWT-DCT-SVM [65] | – | – | – | 89.51% | 97.74% |
| Autoencoder [66] | – | – | – | 91.27% | – |
| HM2-BP [67] | – | – | 85.57% | ||
| CNN [63] | 87.10% | – | – | – | – |
| Parallelized CNN [62] | – | – | – | – | 99.62% |
| CNN [68] | – | – | 87.18% | 93.63% | 99.46% |
| EDEN [69] | – | – | – | 88.30% | 99.30% |
Disclaimer/Publisher’s Note: The statements, opinions and data contained in all publications are solely those of the individual author(s) and contributor(s) and not of MDPI and/or the editor(s). MDPI and/or the editor(s) disclaim responsibility for any injury to people or property resulting from any ideas, methods, instructions or products referred to in the content. |
© 2023 by the authors. Licensee MDPI, Basel, Switzerland. This article is an open access article distributed under the terms and conditions of the Creative Commons Attribution (CC BY) license (https://creativecommons.org/licenses/by/4.0/).
Share and Cite
Al Bataineh, A.; Kaur, D.; Al-khassaweneh, M.; Al-sharoa, E. Automated CNN Architectural Design: A Simple and Efficient Methodology for Computer Vision Tasks. Mathematics 2023, 11, 1141. https://doi.org/10.3390/math11051141
Al Bataineh A, Kaur D, Al-khassaweneh M, Al-sharoa E. Automated CNN Architectural Design: A Simple and Efficient Methodology for Computer Vision Tasks. Mathematics. 2023; 11(5):1141. https://doi.org/10.3390/math11051141
Chicago/Turabian StyleAl Bataineh, Ali, Devinder Kaur, Mahmood Al-khassaweneh, and Esraa Al-sharoa. 2023. "Automated CNN Architectural Design: A Simple and Efficient Methodology for Computer Vision Tasks" Mathematics 11, no. 5: 1141. https://doi.org/10.3390/math11051141
APA StyleAl Bataineh, A., Kaur, D., Al-khassaweneh, M., & Al-sharoa, E. (2023). Automated CNN Architectural Design: A Simple and Efficient Methodology for Computer Vision Tasks. Mathematics, 11(5), 1141. https://doi.org/10.3390/math11051141

