Next Article in Journal
Some Functionals and Approximation Operators Associated with a Family of Discrete Probability Distributions
Next Article in Special Issue
Paid Access to Information Promotes the Emergence of Cooperation in the Spatial Prisoner’s Dilemma
Previous Article in Journal
A Cooperative Control Algorithm for Line and Predecessor Following Platoons Subject to Unreliable Distance Measurements
 
 
Font Type:
Arial Georgia Verdana
Font Size:
Aa Aa Aa
Line Spacing:
Column Width:
Background:
Article

The Sense of Cooperation on Interdependent Networks Inspired by Influence-Based Self-Organization

1
College of Big Data Statistics, Guizhou University of Finance and Economics, Guiyang 550025, China
2
Department of Mathematics, Eastern Michigan University, Ypsilanti, MI 48197, USA
3
Guangxi Key Laboratory of Big Data in Finance and Economics, Guangxi University of Finance and Economics, Nanning 530003, China
*
Author to whom correspondence should be addressed.
Mathematics 2023, 11(4), 804; https://doi.org/10.3390/math11040804
Submission received: 24 December 2022 / Revised: 31 January 2023 / Accepted: 31 January 2023 / Published: 5 February 2023
(This article belongs to the Special Issue Advances in Complex Systems and Evolutionary Game Theory)

Abstract

Influence, as an inherently special attribute, is bound to profoundly affect a player’s behavior. Meanwhile, a growing body of studies suggests that interactions among networks may be more important than isolated ones. Thus, we try our best to research whether such a setup can stimulate the sense of cooperation in spatial prisoner’s dilemma games through the co-evolution of strategy imitation and interdependence networks structures. To be specific, once a player’s influence exceeds the critical threshold τ , they will be permitted to build a connection with the corresponding partner on another network in a self-organized way, thus gaining additional payoff. However, a player’s influence changes dynamically with the spread of strategy, resulting in time-varying connections between networks. Our results show that influence-based self-organization can facilitate cooperation, even under quite poor conditions, where cooperation cannot flourish in a single network. Furthermore, there is an optimal threshold τ to optimize the evolution of cooperation. Through microcosmic statistical analysis, we are surprised to find that the spontaneous emergence of connections between interdependence networks, especially those between cooperators, plays a key role in alleviating social dilemmas. Finally, we uncover that if the corresponding links between interdependence networks are adjusted to random ones, the evolution of cooperation will be blocked, but it is still better than relying on simple spatial reciprocity on an isolated lattice.

1. Introduction

Cooperation is a common phenomenon in nature, which is the cornerstone of the stable development of economy and society. However, according to the theory of natural selection [1], cooperation that benefits others at the cost of one’s own interests is bound to disappear, which inevitably leads to social dilemmas. Therefore, it has become a hot topic to reveal the deep reasons for the spontaneous emergence and maintenance of cooperation in nature and society [2,3,4,5,6,7,8,9,10].
Over the past few decades, scholars in various fields have made great efforts to alleviate social dilemmas from both theoretical and experimental aspects (please see the references [11,12,13,14,15] for more information). Among them, evolutionary game theory assumes that players have bounded retionality, providing a general and effective theoretical framework for modeling the conflict between individual interests and interests of collectives [16,17]. Furthermore, Nowak summarized these studies into five mechanisms to facilitate the evolution of cooperation, such as kin selection, direct reciprocity, group selection, indirect reciprocity, and spatial or network reciprocity [18]. In the seminal contribution, Nowak and May found that cooperators in the spatial game model can resist the attacks from defectors by forming tight and compact clusters, thus improving the evolution of cooperation [19]. Henceforth, spatial or network reciprocity is favored as a novel channel to enrich emergence and maintenance of cooperation, and along this line, a lot of related works have been triggered, for instance, reputation [20,21], reward and punishment [22,23], incomplete interaction [24,25,26,27], interactive diversity [28,29], and reinforcement learning [30,31], to name but a few.
Although these efforts have made great progress, most of them simply suppose that players can only play games with others in a single network, which is obviously inconsistent with actual observation. In fact, players may belong to different subsystems in most cases [32,33], although not all of them. In addition, even slight changes in one network may lead to disastrous consequences on another one [34], which is called cascade failure of interdependence. Therefore, it is instructive to propose a new framework beyond the simple isolated network theory. In recent years, interdependent networks, which are defined as nontrivial combination classes of interconnected networks, have become a primary instrument to quantitatively portray the interactions between a network of network, as well as their constituent elements. In particular, interdependent networks can model various interactions in nature, which makes more and more scholars realize that it is more practical to explore the evolution of cooperation on this framework [35,36,37,38]. Yet, how to build the interdependence between networks seems to be crucial. In general, players’ fitness directly affects the diffusion and dissemination of their strategies. Thus, rescaling the fitness of a player may be a potential method to achieve the interdependence between a point on one network and the corresponding partner on another network [39,40]. As a classical case, Wang et al. investigated the public goods game on interdependent networks and found the evolution of cooperation is positively correlated with bias [41]. Meanwhile, strategy persistence represents the ability of each player to obtain the highest fitness in the competitive environment. So, it is also a way to establish the interdependent relationship between networks by affecting the imitation of strategies. To this end, Szolnoki and Perc proposed the mechanism of information sharing, that is, players had the intention to slow down the change in strategies when the strategies of the corresponding players in both networks were consistent, which led to the observation of prosocial behavior beyond simple network reciprocity in both populations [42]. Moreover, heterogeneous coupled relationships also have an important effect on promoting the evolution of cooperation on interdependent networks [43,44].
However, the study of the co-evolution of interdependent network structure and strategy imitation can provide more beneficial enlightenment for exploring effective mechanisms to facilitate the evolution of cooperation. From the point of utility, Wang et al. studied the impact of the co-evolution of interdependent networks and strategy on the evolution of cooperation [45]. In this work, if a player’s utility met or exceeded the given threshold E, they were allowed to establish connection with the corresponding partner on the other network and obtained an additional reward. Furthermore, based on the perspective of the focal player, Jia et al. introduced the ability to investigate the impact of self-organization on the evolution of cooperation on interdependent networks [46]. In their model, once the focal player changed their strategy, their ability would be reset to 1; otherwise, their ability would be added by one unit. Then, a player located on one network could build coupled links with the corresponding partner on another network, and then gain additional benefit as reward if their ability is beyond the given threshold α . In particular, we find that although the models of [45,46] are similar in design, the resulting dynamics of the evolution of cooperation are quite different. In fact, there are many factors that can prompt two networks to establish effective interdependence in a self-organizing manner. In reality, once a person’s thoughts, behaviors, and strategies are learned or imitated by others, it means that the former has a substantial influence on the latter. Thus, on the one hand, we seek to uncover whether influence-based self-organization can inspire the sense of cooperation on interdependent networks; on the other hand, we are also curious about what kind of dynamics of the evolution of cooperation can be generated on an interdependent network by influence-based self-organization. Herein, we provide a quantitative description of the player’s influence. In concrete terms, if the neighbor y s strategy is learned by the focal player x, the influence of neighbor y will increase by one unit; otherwise, their influence will decrease by one unit. It should be noted that the co-evolution of influence and strategy in our model is fundamentally different from the co-evolution in [45,46], which leads to the fact that the dynamics of the evolution of cooperation are not completely consistent. After that, the player on one network whose influence exceeds the threshold will connect with the corresponding partner on another network. In this way, the interdependence between networks is dynamically built in a self-organized manner. Moreover, due to the fact that the interdependence between networks caused by the co-evolution of influence and strategy is time-varying, it is difficult to accurately predict the effectiveness of the setup to alleviate social dilemmas in advance, which makes this research quite interesting.
In the rest of this thesis, the models and methods are first described in Section 2. After that, Section 3 presents the results obtained through a large number of numerical simulations and analyzes them in detail, which is sufficient to show that the simple setup of the model can promote cooperation going beyond isolated network reciprocity. At last, the summative reviews are concluded in Section 4.

2. Models and Methods

To highlight the influence-based self-organization and eliminate the impact of network heterogeneity on the evolution of cooperation, we assume that players play the prisoner’s dilemma game (PDG, symmetric two-player game) on two interdependent lattices (i.e., network A (bottom) and network B (top)) with periodic boundaries, where the size of each lattice is N = L × L . In both networks, each point can only denote a player and has four direct neighbors, that is, a Von Neumann neighborhood.
Initially, each player x on the bottom network and x on the top network will be set to take a cooperative (C) or defective (D) strategy at random. In the PDG, if two players adopt the same strategies, cooperation results in reward R for each other, while defection makes each obtain punishment P; however, if two players take different strategies, it will enable the cooperator to gain the sucker’s payoff S, while the defector will get lucky and reap the temptation to defect T. In the original PDG, the payoff elements meet the order of T > R > P > S and 2 T > P + S . The former inequality shows that the point of Nash equilibrium in the PDG is mutual defection ( D , D ), while the latter inequality indicates that mutual cooperation ( C , C ) can make the system reach Pareto Optimality, which results in the choice conflict between individual interests and interests of collective, i.e., social dilemmas. Within this paper, we just consider the weak version for simplicity, namely R = 1 , P = S = 0 and T = b ( 1 < b 2 ) . Although the ranking of payoff elements in the weak version does not strictly meet the requirements of the original PDG, it can still depict the social dilemmas and the pattern conflicts in the system. After the corresponding players x and x sequentially interact with their neighbors in their own network, they can obtain the cumulative payoffs π x and π x , respectively.
In order to build the interdependence between networks, we introduce the concept of influence, which is defined as the external expression of a person’s effect on others. The influence of players changes dynamically with the spread of strategies, which is described in more detail later. The utilities of players on both networks are calculated according to the following protocol. Taking the bottom network as an example, if player x s influence I x exceeds the given threshold τ , they will connect with the corresponding partner x on the top network and gain additional benefit, which means that player x s utility U x is not only determined by the interaction in their own network but is also related to that of the corresponding partner x on another network. However, for player x who does not build links with the corresponding point x on another network, their utility U x only depends on the interaction in their own network. Thus, the utility calculation for player x can be indicated as
U x = π x + β π x , i f I x > τ U x = π x , i f I x τ .
where 0 β 1 indicates the coupled strength of the interdependent networks, while the parameter τ determines the influence threshold. If a player’s influence goes beyond τ , then they can build a relationship with the the corresponding partner x on another network, and vice versa for player x . Note, unlike the cases of only bidirectional coupled and decoupled relationships in [44], there are also unidirectional coupled relationships in our model. That is, only players in the bottom network build a coupled relationship with the corresponding partners in the top network, or vice versa.
After player x finishes the utility U x calculation, they will enter the strategy update phase. It is important to point out that strategy imitation can only take place between immediate neighbors in any given network, while prohibition occurs between players on diverse networks, despite the existence of additional connections between them. In other words, player x on network A cannot imitate the strategy of the corresponding player x on network B at any time. During the procedure of strategy imitation, player x on network A (and similarly player x on network B) can randomly select one of their nearest neighbor, named y, to implement strategy imitation with the probability [47,48]:
P ( s x ( t + 1 ) s y ( t ) ) = 1 1 + exp [ ( U x U y ) / K ]
where K indicates the noises or decision error related to the strategy imitation process. For the sake of simplicity, the value of K in this paper is set to be 0.1, in accordance with previous works [49]. The same process applies to x on another network. Moreover, it should be noted that, during the process of strategy update, whether the bottom network A or the top network B is first updated is randomly determined rather than explicitly specified.
In addition, the players x s strategy and their influence co-evolve. To be specific, once the nearest neighbor y is picked out by the focal player x, they obtain the opportunity to expand their influence. To develop a step further, if the strategy of player y is successfully imitated, it means their influence will be added by one unit; otherwise, they give up the opportunity to enhance their influence, which will lead their existing influence to be reduced by one unit. Therefore, the dynamic change in player y s influence can be expressed as
I y = I y + 1 , i f s x s y I y = I y 1 , O t h e r w i s e .
Here, it should be pointed out that all players have the homogeneous influence value of 1 at the initial stage, which can only be dynamically changed in the interval [0, 100] during the process of evolution; otherwise, it will make no sense to set the threshold τ . Moreover, if the value of τ is given at the beginning, it will remain unchanged throughout the process of evolution. However, even so, it still makes the dynamics of the evolution of cooperation difficult to predict, because the co-evolution of player influence and strategy imitation makes it possible for the coupling relationships between networks to change dynamically.
Computer numerical simulations are carried out in random order, which means that each player on both networks has an average opportunity (but not all) to update their strategies within a full Monte Carlo (MC) generation. The creation or termination of additional links between interdependent networks through the propagation of strategies are simultaneously performed, however, independently of each other. Moreover, the results presented later are mainly obtained on a lattice with the size of L = 200 . To eliminate the impact of finite size, some much smaller ( L = 100 ) or much larger ( L = 400 , 800 ) lattices are also taken into account. For most data points, the system is able to reach a steady state after 5 × 10 4 MC generations; while for some phase transition data points, the procedure will need to execute longer MC generations (such as 10 5 or much longer) to guarantee that the system enters these states. Moreover, the proportion of cooperation, ρ c , the key indicator to measure the effectiveness of the mechanism in promoting the evolution of cooperation, is the average of the final 5 × 10 3 MC generations. It is known that when cooperators are completely cleared up on the isolated lattice, the threshold of temptation to defect b c = 1.0375 , which is used as a benchmark to test the effectiveness of facilitating the evolution of cooperation on interdependent networks.

3. Results and Analysis

Within this part, we try our best to comprehensively present the relevant simulation results from different angles and deeply analyze the impact of influence-based self-organization on cooperation on interdependent networks in depth, mainly including macroscopic inquiry, time series and pattern analysis, the coupled relationships, and verification of robustness.

3.1. Macroscopic Inquiry

To begin with, under the condition of influence-based self-organization, Figure 1 shows the b τ phase diagrams encoding the proportion of cooperation, ρ c , where the values of the coupled strength β in subgraphs from (a) to (c) are 0.2, 0.5, and 0.8, respectively. It should be noted that only the results of the bottom network (i.e., network A) are presented here, and the ones of the top network (i.e., network B) are qualitatively consistent. From Figure 1, it can be found that no matter what the value of the coupled strength β is, the level of cooperation undeniably decreases with the increase in the temptation to defect b. However, some interesting phenomena can also be clearly observed. In particular, on the one hand, the level of cooperation is not gradually improved with the enhancement of coupled strength β . It can be found that when the coupling strength β is small ( β = 0.2 ) or large ( β = 0.8 ), the system can hardly achieve full cooperation. On the contrary, the state of complete cooperation emerges when the coupled strength β is medium ( β = 0.5 ). These results imply that the higher coupled strength β is not always better for promoting the evolution of cooperation under the mechanism of influence-based self-organization. On the other hand, the effect of influence threshold τ on the evolution of cooperation is nonmonotonic for some values of b, which is similar to those reported in [46]. Even if the proportion of cooperation, ρ c , does not significantly change with τ when the value of β is quite lower ( β = 0.2 ), the trend towards nonmonotonic change is more pronounced for larger values of β . In particular, with the increase in τ , the proportion of cooperation, ρ c , has gone through a process of first rapid increase, then keeping constant, and quickly decreasing when β = 0.5 and 0.8 . That is to say, there is an appropriate influence threshold τ making the system achieve the optimal evolution of cooperation.
Interestingly, when the value of τ is about within the interval [0, 35], the transformation of the proportion of cooperation, ρ c , with τ is sensitive. When τ goes beyond the above interval, the proportion of cooperation, ρ c , hardly changes with τ . The reason for the these phenomena is that when a player’s influence exceeds the given threshold τ , they can build a link with the corresponding partner on another network and gain additional payoff, which enhances their ability to spread the strategy. According to [44], it is neither that more coupled connections between networks is more conducive to evolutionary cooperation, nor that certainly less is more conducive to evolutionary cooperation. In fact, there is an optimal interdependency ratio leading the best evolution of cooperation. Without doubt, it is easy to build coupled links between networks when the influence threshold τ is small. As the influence threshold τ increases, the implementation of the coupled relationship becomes more and more difficult, especially for larger values of b. Thus, it is not difficult to comprehend the trend of the proportion of cooperation, ρ c , changing with τ . In particular, apart from the bidirectional coupling and decoupled relationships mentioned in [44], there are also unidirectional coupled relationships in this research, which might be the reason that the evolution of cooperation does not increase completely with the enhancement of coupled strength β .
It is important to note that the dynamics of the evolution of cooperation in our model are slightly different from those reported in [45]. In the latter, the proportion of cooperation, ρ c , with the increase in the threshold E, first rose slowly in the form of a ladder and then fell rapidly for any given values of b. In addition, within the model of [45], if the threshold E is large enough, no matter what the values of b, a player located on one network cannot build an interdependent relationship with the corresponding partner on another network, thus making two networks become isolated networks. However, from Figure 1, we can observe the level of cooperation beyond what can be achieved through simple spatial reciprocity on an isolated lattice for quite small values of b. In particular, these phenomena are even more remarkable when the value of β is medium or large (i.e., β = 0.5 and 0.8 ). Thus, in our model, there is always interdependency between networks, regardless of the threshold τ .
Anyway, the results presented in Figure 1 suggest that the mechanism of influence-based self-organization, i.e., the co-evolution of players’ influence and strategy imitation, does promote the evolution of cooperation on interdependent networks.

3.2. Time Series and Pattern Analysis

To reveal the potential reasons for the evolution of cooperation on interdependent networks promoted by influence-based self-organization, we need to conduct a discussion in depth from the microperspective. First of all, we depict the time series of the proportion of cooperation, ρ c , under the temptation to defect b = 1.04 in Figure 2, where the blue, cyan, and purple curves correspond to the results when the values of the influence threshold τ are 0, 8, and 40, respectively.
By examining the time series in Figure 2, we can further divide these lines into END phase and EXP phase [50,51,52]. It is well known that cooperators cannot survive on simple network reciprocity on an isolated lattice when b = 1.04 . Therefore, due to the fact that defectors have incomparable advantages over the cooperators, this leads to a significant downward trend among all curves at the initial stage, which can be called the enduring (END) stage [50,51,52]. After that, the fate of these curves clearly shows differentiation. To be specific, when τ = 40 , the proportion of cooperation, ρ c , slowly decreases over time until it completely disappears. When τ = 0 and τ = 8 , however, the curves start to rebound after falling to the bottom, which can be called the expanding (EXP) stage [50,51,52]. When τ = 0 , the blue curve climbs to the highest point, known as the metastable state, and then slightly drops before leveling off, while for τ = 8 , although the proportion of cooperation, ρ c , will decrease even lower than the case of τ = 0 , it can eventually control the whole system at last. It should be pointed out that this time dependence of first down and later up is a typical trademark of network reciprocity. In fact, this is a robust phenomenon that applies not only to paired interactions such as the prisoner’s dilemma game [53] but also to multipoint interactions such as the public goods game [54]. Furthermore, it could be observed many times on a simple graph [54,55] and multilayer structures as well [45,46,50,51,52].
Furthermore, the reasons behind these phenomena in Figure 2 are not difficult to explain. If the influence threshold τ is too large, it will lead the influence of most players to hardly reach the goal, so that almost none of them can obtain additional payoffs from peers on another network. Thus, the proportion of cooperation, ρ c , continues to decline until it disappears altogether. If the influence threshold τ is too small, it will make it easy for players to achieve their goals, so that most of them can obtain extra benefits from their partners on another network. In neither case can there be significant heterogeneity, which is also not conducive to the evolution of cooperation. Nevertheless, an appropriate influence threshold τ can only enable some players to meet the conditions for establishing coupled relationships with partners on another network, and the resulting heterogeneity is a necessary requirement for achieving a higher level of cooperation or even full cooperation.
Next, to explore the self-organization pattern of strategy evolution, we further draw some representative snapshots of the strategies evolution when b = 1.04 in Figure 3. Initially, cooperators are carefully arranged in the center of the network with the radius of 30 rather than randomly distributed, which will help us to observe the evolution of the strategies more clearly. Each two rows from top to bottom in Figure 3 are grouped. In each group, the upper line shows the snapshots of the top network and the lower one displays the results of the bottom network. For the groups from top to bottom, the values of the influence threshold τ are 0, 8, and 40, respectively. For the columns from left to right in Figure 3, these typical snapshots of the strategies evolution are obtained at the MC generations of 0, 20, 100, 1000, and 50,000, respectively. Note that players can be further divided into upper class and lower class according to whether their influence exceeds the given threshold τ . Thus, cooperators can be distinguished as upper class (green) and lower class (red). Similarly, defectors can also be defined as upper class (yellow) and lower class (blue). Whether cooperators or defectors, only upper class players located on one network can establish additional connections with corresponding partners on another network.
It can be found that no matter what value of the given threshold τ is, even if the initial setting of the strategies in the bottom and top networks are completely consistent, there are still asymmetries in the process of evolution. Moreover, since the value of influence is initially set to be 1, only upper cooperators and defectors exist in the system at the beginning when τ = 0 . However, it can be found that with the cooperation strategy spreading out from the middle of both networks, lower classes will appear in the process of evolution. In other words, although the value the influence threshold τ is set quite low, there are still some players who are unable to achieve the spread of strategies, resulting in the loss of influence. Meanwhile, we can also find that full cooperation has not been achieved, even if most players can establish coupled relationships with their partners on another network, suggesting that nearly homogeneous coupled connections between networks are insufficient to support a higher level of cooperation. Nevertheless, when the value of the influence threshold τ is set to be 8, only lower class players appear in the system at the initial stage, i.e., the circular red lower class cooperators are located at the center of the quadrate of blue lower class defectors. Over time, green spots and yellow flecks begin to appear, indicating that some players’ influence has gone beyond the given threshold τ , and they have built connections with their partners on another network. It is particularly exciting that full cooperation has finally been achieved. In the last two lines, even the value of the influence threshold τ is too high ( τ = 40 ). Although a few players achieve the dream of transcending class, cooperation is not maintained. To be more precise, the system ends up with only defectors, indicating that too high an influence threshold τ is more unfavorable to the evolution of cooperation. After all, once the influence threshold τ is set too high, most players can hardly achieve class transcendence, and ultimately, can not establish coupled relationships with their partners on another network. Note, if there is only one strategy (cooperation or defection) in the system, then the propagation of the strategy will not be involved, and the player’s influence will be frozen. At this point, the case of τ = 8 is similar to the one of τ = 40 .
The time series of the proportion of cooperation, ρ c , and the spatial pattern of the strategy evolution are not only in line but further reveal the reason that influence-based self-organization promotes cooperation on interdependent networks.

3.3. The Coupled Relationships

It is necessary to study coupled relationships between networks, which can help us to further clarify the details of how influence-based self-organization inspires the sense of cooperation on interdependent networks. To this end, the time series of different types of relationships between networks are plotted in Figure 4, where from subgraphs (a) to (c) the values of influence threshold τ are 0, 8, and 40, respectively. It should be pointed out that, in Figure 4, the coupled relationships also include the special case of decoupled links between corresponding points on interdependent networks. From Figure 4, it can be clearly found that when the influence threshold τ is low ( τ = 0 ) or moderate ( τ = 8 ), the relationship of DD type has a temporary rise at the initial stage, while the others have different degrees of decline. In addition, with time evolution, the relationships of DD type or CC type almost reach the peak or bottom at the same time. After then, the relationship of DD type begins to decline and that of CC type starts to rise. The difference between subgraphs (a) and (b) is that, on the one hand, the crest of the relationship of DD type or the trough of the relationship of CC type in subgraph (b) are higher or deeper than those in subgraph (a) in the initial stage; on the other hand, the relationships of all types (i.e., CC, CD, DC, and DD) in subgraph (a) are balanced at last, while only the relationship of CC type in subgraph (b) exists and occupies the whole system in the end. However, in subgraph (c), the value of influence threshold τ is set too high ( τ = 40 ), and the coupled relationship of DD type continues to increase, while the others inevitably decline, and finally, only the coupled relationship of DD type remains in the system. By comparing these results, it can be seen that the relationship of CC type plays a incomparable role in improving the level of the evolution of cooperation during the process of evolution.
Since the relationships between networks includes bidirectional, unidirectional, and decoupled types, we need to further refine the relationships in Figure 4, which will help us to more clearly uncover the role of influence-based self-organization in promoting the evolution of cooperation on interdependent networks. For this point, we plot the time series of each specific relationship in Figure 5, where from subgraphs (a) to (c) the values of influence threshold τ are 0, 8, and 40, respectively. When τ = 0 , although the curves representing coupled or decoupled relationships of different types show varying degrees of alternating oscillations over time, only the relationships of bidirectional type (i.e., bi-CC, bi-CD, bi-DC, and bi-DD) are preserved in the end. When τ = 8 , the curves of different types also exhibit similar alternating oscillations over time evolution. However, it is interesting to note that, even if the system finally enters the full cooperation state, only the coupled bidirectional relationships of CC type (i.e., bi-CC) and the decoupled relationships of CC type (i.e., de-CC) remain at last, and the bi-CC is much higher than de-CC. Different from the results in subgraphs (a) and (b), the curves representing relationships of various types do not exhibit alternating oscillations when τ = 40 . Specifically, except that the decoupled relationship of DD type (i.e., de-DD) continues to climb and the coupled unidirectional relationships of DD type (i.e., un-DD) slightly rises, not only do the other curves of decoupled types continue to decline until they completely disappear, but also the curves of other types never emerge. These phenomena indicate that the bidirectional coupled relationships, especially the bidirectional coupled relationship of CC type, play an incomparable role in motivating the sense of cooperation under the mechanism of influence-based self-organization.
Through the above analysis, we learned that, on the one hand, for the prepared initial settings (in the middle two columns of Figure 3), the system can achieve full cooperation, even if the cooperators are far lower than defectors; on the other hand, for random initial settings, the relationship of CC type ( in Figure 4b), especially the bidirectional coupled relationship of CC type (i.e., bi-CC in Figure 5b), plays a key role in promoting the evolution of cooperation. In order to further confirm the above assertion, we investigate the characteristics snapshots under the conditions of the special strategies distribution settings, as shown in Figure 6. According to Hauert [56], in the isolated lattice of a Von Neumann neighborhood, the 2 × 2 cooperative cluster is the minimum setting to ensure that cooperation can flourish under the PDG. For this purpose, in subfigure (a) of Figure 6, we randomly set three 2 × 2 minimum cooperative clusters with different relationships at the initial stage, such as unidirectional coupled relationships (position A), bidirectional coupled relationships (position B), and decoupled relationships (position C). In addition, the generations of MC from subgraphs (a) to (f) are 0, 20, 300, 1000, 5000, and 50,000, respectively.
It can be found that, over time, only the cooperative cluster with the decoupled relationships (position C) disappears at last, but the ones with bidirectional (position B) and unidirectional (position A) coupled relationships can survive and thrive, which is markedly different from the phenomenon reported in [46]. Moreover, bidirectional coupled relationships of CC type can emerge in unidirectional coupled relationships of CC type clusters, which further strengthens the competitive advantage of the cooperative strategy. From Figure 6, especially in subfigures (c) and (d), it can be found that defectors with decoupled relationships (light yellow) first turn into decoupled relationships (light cyan or blue) with only one cooperator, then into weak (unidirectional) coupled relationships (medium cyan or blue) with only one cooperator, then into cooperators with weak (unidirectional) coupled relationships (medium red), and finally into cooperators with strong (bidirectional) coupled relationships (dark red). This is because once players establish coupled relationships with their corresponding partners on another network, they can obtain additional payoffs, thus enhancing the spread of the cooperative strategy. So, defectors at the boundaries of cooperative clusters (positions A and B) can be transformed into cooperators. Thus, clusters in these snapshots have very typical characteristics, namely, bidirectional coupled clusters of CC type are primarily in the center, while the ones of DD type are mainly at the boundaries. Over time, the cooperation gradually diffuses from the positions A and B until it occupies the whole system, as shown in subfigures (e) and (f).
To date, it seems that we can come to the conclusion that, under the mechanism of influence-based self-organization, the bidirectional or unidirectional coupled relationship of CC type plays a pivotal role in alleviating social dilemmas and improving the evolution of cooperation on interdependent networks.

3.4. Verification of Robustness

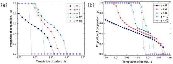
All the above results assume that, if a player’s influence is beyond the given threshold τ , they can build the coupled relationship with the corresponding partner on another network. A question that naturally arises is how cooperation dynamics evolve on interdependent networks, if the players who meet the conditions are randomly rather than correspondingly coupled to partners on another network. To this end, we relax the assumption that players in the two-layer network establish the coupled relationships. As an example, Figure 7 presents the results of these two cases at the coupled strength β = 0.5 , where subgraph (a) is the result of the corresponding coupled relationship, and subgraph (b) is the case of a random coupled relationship.
It is not difficult to find that, in both cases, under the given thresholds, τ , except for the proportion of cooperation, ρ c , nonlinearly decreases with the increase in b (the temptation to defect), and there are moderate values of influence threshold τ to achieve the optimal evolution of cooperation in both cases. If the condition for players to build a coupled relationship with partners in another network is relaxed, however, the differences in the trend of the evolution of cooperation are still obvious. On the one hand, for some given thresholds τ , the range of parameters b that can maintain full cooperation is significantly reduced; on the other hand, for all given thresholds τ , the proportion of cooperation, ρ c , and the threshold for the disappearance of cooperators b c are dramatically lower. Nevertheless, under the mechanism of influence-based self-organization, the level of cooperation on interdependent networks is still better than that on an isolated lattice.

4. Conclusions and Discussion

To summarize, we creatively introduce influence-based self-organization into interdependent networks and investigate the effect of this simple setup on the evolution of cooperation in a spatial PDG. Within this work, influence represents the ability of players to act on others. To be specific, if the player’s strategy is successfully learned by others in the process of strategy imitation, their influence will increase by one unit; otherwise, their influence will be damaged and lose one unit. Then, once the player’s influence exceeds the given threshold τ , they can build a coupled relationship with the corresponding partners on another network. The co-evolution of influence and strategy imitation may lead to unstable connection between networks, which makes it difficult and unattainable to predict the dynamics of the evolution of cooperation on interdependent networks. Thus, our research is quite interesting and meaningful.
Through sufficient simulations, it can be found that there is a moderate value of influence threshold τ for cooperation to evolve the best, which is similar to the results reported in [46]. According to [44], too many or too few coupled links between networks are not conducive to heighten the evolution of cooperation. In this model, if the value of τ is set too small, it is easy for most players to build coupled relationships with the corresponding partners on another network, while if the setting of τ is too large, a lot of players can hardly build connections with the corresponding partners on another network. However, we still found a phenomenon that seems to go against cognition, that is, the level of cooperation is not positively related to the coupled strength β , which is different from the results in [44]. In fact, this phenomenon is not difficult to explain. In [44], there are are only bidirectional and decoupled relationships in the system, while unidirectional coupled relationships can also appear in our model. The diversification of coupled relationships may be the root cause of the above observation.
Then, through rich microscopic statistical analysis, we are surprised to find that the coupled relationships of CC type, especially bidirectional or unidirectional links of CC type, play an irreplaceable role in alleviating social dilemmas. This is because the existence of bidirectional or unidirectional coupled relationships of CC type enables cooperators to obtain additional benefits from their partners on another network, which significantly enhances their competitiveness in the process of strategy imitation. Thus, it directly causes defectors around the cooperative clusters to be assimilated. Furthermore, if players randomly rather than correspondingly construct coupled relationships with partners on another network, even if the evolution of cooperation is compromised, it still exceeds the level of cooperation that the isolated network can guarantee.
The current results are convincing enough that the mechanism of influence-based self-organization can indeed improve the evolution of cooperation on interdependent networks, which enriches and develops the theoretical research on the co-evolution of network structure to alleviate social dilemmas. In view of the fact that coupling among different subsystems is widespread in nature and society, and the dynamics of the evolution of cooperation obtained in our model are more or less strikingly different from those reported in [45,46], these models are still similar in design. In reality, there are many more factors affecting the interdependence of different subsystems. Thus, we hope that our study will be valuable and can arouse the interest of researchers in related areas.

Author Contributions

Conceptualization X.L. and Z.W.; methodology X.L. and J.L.; software X.L.; formal analysis X.L. and J.L.; investigation X.L. and G.Y.; writing—original draft preparation X.L. and Z.W.; writing—review and editing J.L. and G.Y.; funding acquisition X.L. and G.Y. All authors have read and agreed to the published version of the manuscript.

Funding

This research was funded by the National Natural Science Foundation of China (NSFC) under Grant No. 11861019, Guizhou Talent Development Project in Science and Technology under Grant No. KY[2018]046, and Natural Science Foundation of Guizhou, China under Grant Nos. [2020]1Z001 and [2021]5609. We are also thankful the support from the Guangxi Key Laboratory of Big Data in Finance and Economics (Grant No. FEDOP2022A01) and Scientific Research Start-up Projects for Introduced Talents of Guizhou University of Finance and Economics (Grant No. 2022YJ019).

Institutional Review Board Statement

The study did not require ethical approval.

Informed Consent Statement

The study did not involve humans.

Data Availability Statement

Not applicable.

Conflicts of Interest

The authors declare no conflict of interest.

Abbreviations

The following abbreviations are used in this manuscript:
PDGprisoner’s dilemma game
MCMonte Carlo

References

  1. Darwin, C.R. On the Origin of Species, 1st ed.; John Murray: London, UK, 1859. [Google Scholar]
  2. Axelrod, R.; Hamilton, W.D. The evolution of cooperation. Science 1981, 211, 1390–1396. [Google Scholar] [CrossRef]
  3. Pennisi, E. How did cooperative behavior evolve? Science 2005, 309, 93. [Google Scholar] [CrossRef]
  4. Li, X.; Jusup, M.; Wang, Z.; Li, H.; Shi, L.; Podobnik, B.; Stanley, H.E.; Havlin, S.; Boccaletti, S. Punishment diminishes the benefits of network reciprocity in social dilemma experiments. Proc. Natl. Acad. Sci. USA 2018, 115, 30–35. [Google Scholar] [CrossRef]
  5. Szolnoki, A.; Perc, M. The self-organizing impact of averaged payoffs on the evolution of cooperation. New J. Phys. 2021, 23, 063068. [Google Scholar] [CrossRef]
  6. Shino, J.; Ishihara, S.; Yamauchi, S. Shapley mapping and its axiomatizations in n-Person cooperative interval games. Mathematics 2022, 10, 3963. [Google Scholar] [CrossRef]
  7. Lütz, A.F.; Amaral, M.A.; Wardil, L. Moderate immigration may promote a peak of cooperation among natives. Phys. Rev. E 2021, 104, 014304. [Google Scholar] [CrossRef]
  8. Li, Q.; Zhao, G.; Feng, M. Prisoner’s dilemma game with cooperation-defection dominance strategies on correlational multilayer networks. Entropy 2022, 24, 822. [Google Scholar] [CrossRef]
  9. Kuzyutin, D.; Smirnova, N. Subgame consistent cooperative behavior in an extensive form game with chance moves. Mathematics 2020, 8, 1061. [Google Scholar] [CrossRef]
  10. Liu, L.; Chen, X. Conditional investment strategy in evolutionary trust games with repeated group interactions. Inform. Sci. 2022, 609, 1694–1705. [Google Scholar] [CrossRef]
  11. Perc, M.; Jordan, J.J.; Rand, D.G.; Wang, Z.; Boccaletti, S.; Szolnoki, A. Statistical physics of human cooperation. Phys. Rep. 2017, 687, 1–51. [Google Scholar] [CrossRef]
  12. Szabó, G.; Fáth, G. Evolutionary games on graphs. Phys. Rep. 2007, 446, 97–216. [Google Scholar] [CrossRef]
  13. Perc, M.; Szolnoki, A. Evolutionary games on graphs. BioSystems 2010, 99, 109–125. [Google Scholar] [CrossRef] [PubMed]
  14. Wang, Z.; Wang, L.; Szolnoki, A.; Perc, M. Evolutionary games on multilayer networks: A colloquium. Eur. Phys. J. B 2015, 88, 124. [Google Scholar] [CrossRef]
  15. Majhi, S.; Perc, M.; Ghosh, D. Dynamics on higher-order networks: A review. J. R. Soc. Interface 2022, 19, 20220043. [Google Scholar] [CrossRef] [PubMed]
  16. Smith, J.M.; Price, G.R. The logic of animal conflict. Nature 1973, 246, 15–18. [Google Scholar] [CrossRef]
  17. Zhang, G.; He, N.; Dong, Y. A proportional-egalitarian allocation policy for public goods problems with complex network. Mathematics 2021, 9, 2034. [Google Scholar] [CrossRef]
  18. Nowak, M.A. Five rules for the evolution of cooperation. Science 2006, 314, 1560–1563. [Google Scholar] [CrossRef]
  19. Nowak, M.A.; May, R.M. Evolutioanry games and spatial chaos. Nature 1992, 359, 826–829. [Google Scholar] [CrossRef]
  20. Li, X.; Sun, S.; Xia, C. Reputation-based adaptive adjustment of link weight among individuals promotes the cooperation in spatial social dilemmas. Appl. Math. Comput. 2019, 361, 810–820. [Google Scholar] [CrossRef]
  21. Fu, F.; Hauert, C.; Nowak, M.A.; Wang, L. Reputation-based partner choice promotes cooperation in social networks. Phys. Rev. E 2008, 78, 026117. [Google Scholar] [CrossRef]
  22. Sigmund, K.; Hauert, C.; Nowak, M.A. Reward and punishment. Proc. Natl. Acad. Sci. USA 2001, 98, 10757–10762. [Google Scholar] [CrossRef] [PubMed]
  23. Wang, Z.; Xia, C.; Meloni, S.; Zhou, C.S.; Moreno, Y. Impact of social punishment on cooperative behaviors in complex networks. Sci. Rep. 2013, 3, 3095. [Google Scholar] [CrossRef] [PubMed]
  24. Li, X.; Hao, G.; Zhang, Z.; Xia, C. Evolutionary cooperation of heterogeneously stochastic interactions. Chaos Solitons & Fractals 2021, 150, 111186. [Google Scholar]
  25. Qin, J.; Chen, Y.; Fu, W.; Kang, Y.; Perc, M.M. Neighborhood diversity promotes cooperation in social dilemmas. IEEE Access 2018, 6, 5003–5009. [Google Scholar] [CrossRef]
  26. Chen, X.; Fu, F.; Wang, L. Interaction stochasticity supports cooperation in spatial prisoner’s dilemma. Phys. Rev. E 2008, 78, 051120. [Google Scholar] [CrossRef]
  27. Li, X.; Han, W.; Yang, W.; Wang, J.; Xia, C.; Li, H.J.; Shi, Y. Impact of resource-based conditional interaction on cooperation in social dilemmas. Phys. A 2022, 594, 127055. [Google Scholar] [CrossRef]
  28. Su, Q.; Li, A.; Zhou, L.; Wang, L. Interactive diversity promotes the evolution of cooperation in structured populations. New J. Phys. 2016, 18, 103007. [Google Scholar] [CrossRef]
  29. Jia, D.; Wang, X.; Song, Z.; Song, Z.; Romić, I.; Li, X.; Jusup, M.; Wang, Z. Evolutionary dynamics drives role specialization in a community of players. J. R. Soc. Interface 2020, 17, 20200174. [Google Scholar] [CrossRef]
  30. Izquierdo, L.R.; Izquierdo, S.S.; Gotts, N.M.; Polhill, J.G. Transient and asymptotic dynamics of reinforcement learning in games. Games Econ. Behav. 2007, 61, 259–276. [Google Scholar] [CrossRef]
  31. Jia, D.; Li, T.; Zhao, Y.; Zhang, X.; Wang, Z. Empty nodes affect conditional cooperation under reinforcement learning. Appl. Math. Comput. 2022, 413, 126658. [Google Scholar] [CrossRef]
  32. Boccaletti, S.; Bianconi, G.; Criado, R.; Del Genio, C.I.; Gómez-Gardenes, J.; Romance, M.; Sendiña-Nadal, I.; Wang, Z.; Zanin, M. The structure and dynamics of multiplayer networks. Phys. Rep. 2014, 544, 1–122. [Google Scholar] [CrossRef] [PubMed]
  33. Kivelá, M.; Arenas, A.; Barthelemy, M.; Gleeson, J.P.; Moreno, Y.; Porter, M.A. Multilayer Networks. J. Complex Networks 2014, 2, 203–271. [Google Scholar] [CrossRef]
  34. Baxter, G.J.; Dorogovtsev, S.N.; Goltsev, A.V.; Mendes, J.F.F. Avalanche Collapse Interdependent Networks. Phys. Rev. Lett. 2012, 109, 248701. [Google Scholar] [CrossRef] [PubMed]
  35. Liu, J.; Meng, H.; Wang, W.; Xie, Z.; Yu, Q. EEvolution of cooperation on independent networks: The influence of asymmetric information sharing updating mechanism. Appl. Math. Comput. 2019, 340, 234–241. [Google Scholar]
  36. Knoche, H.T. Thinking about cooperative learning: The impacts of epistemic motives and social structure on cooperative learning environments. Int. J. Manag. Educ.-Oxe 2022, 20, 100643. [Google Scholar] [CrossRef]
  37. Hu, K.; Tao, Y.; Ma, Y.; Shi, L. Peer pressure induced punishment resolves social dilemma on interdependent networks. Sci. Rep. 2021, 11, 15792. [Google Scholar] [CrossRef]
  38. Song, Z.; Guo, H.; Jia, D.; Perc, M.; Li, X.; Wang, Z. Third party interventions mitigate conflicts on interdependent networks. Appl. Math. Comput. 2021, 403, 126178. [Google Scholar] [CrossRef]
  39. Gomez-Gardenes, J.; Gracia-Lázaro, C.; Floría, L.M.; Moreno, Y. Evolutionary dynamics on interdependent populations. Phys. Rev. E 2012, 86, 056113. [Google Scholar] [CrossRef]
  40. Xia, C.; Meng, X.; Wang, Z. Heterogeneous coupling between interdependent lattices promotes the cooperation in the prisoner’s dilemma game. PLoS ONE 2015, 10, e0129542. [Google Scholar] [CrossRef]
  41. Wang, Z.; Szolnoki, A.; Perc, M. Evolution of pulbic cooperation on interdependent networks: The impact of biased utility functions. EPL 2012, 97, 48001. [Google Scholar] [CrossRef]
  42. Szolnoki, A.; Perc, M. Information sharing promotes prosocial behaviour. New J. Phys 2013, 15, 053010. [Google Scholar] [CrossRef]
  43. Wang, B.; Chen, X.; Wang, L. Probabilistic interconnection between interdependent networks promotes cooperation in the public goods game. J. Stat. Mech. 2012, 2012, 11017. [Google Scholar] [CrossRef]
  44. Wang, Z.; Szolnoki, A.; Perc, M. Optimal interdependence between networks for the evolution of cooperation. Sci. Rep. 2013, 3, 2470. [Google Scholar] [CrossRef]
  45. Wang, Z.; Szolnoki, A.; Perc, M. Rewarding evolutionary fitness with links between populations promotes cooperation. J. Theor. Biol. 2014, 349, 50–56. [Google Scholar] [CrossRef]
  46. Jia, D.; Shen, C.; Li, X.; Boccaletti, S.; Wang, Z. Ability-based evolution promotes cooperation in interdependent graphs. EPL 2019, 127, 68002. [Google Scholar] [CrossRef]
  47. Szabó, G.; Töke, C. Evolutionary prisoner’s dilemma game on a square lattice. Phys. Rev. E 1998, 58, 69–73. [Google Scholar] [CrossRef]
  48. Szabó, G.; Vukov, J.; Szolnoki, A. Phase diagrams for an evolutionary prisoner’s dilemma game on two-dimensional lattices. Phys. Rev. E 2005, 72, 047107. [Google Scholar] [CrossRef]
  49. Wang, Z.; Szolnoki, A.; Perc, M. Interdependent network reciprocity in evolutionary games. Sci. Rep. 2013, 3, 1183. [Google Scholar] [CrossRef]
  50. Perc, M.; Szolnoki, A.; Szabó, G. Restricted connections among distinguished players support cooperation. Phys. Rev. E 2008, 78, 066101. [Google Scholar] [CrossRef]
  51. Szolnoki, A.; Perc, M. Promoting cooperation in social dilemmas via simple coevolutionary rules. Eur. Phys. J. B 2009, 67, 337–344. [Google Scholar] [CrossRef]
  52. Wang, Z.; Kokubo, S.; Tanimoto, J.; Fukuda, E.; Shigaki, K. Insight into the so-called spatial reciprocity. Phys. Rev. E 2013, 88, 042145. [Google Scholar] [CrossRef]
  53. Wang, L.; Jia, D.; Zhang, L.; Zhu, P.; Perc, M.; Shi, L.; Wang, Z. Léévy noise promotes cooperation in the prisoner’s dilemma game with reinforcement learning. Nonlinear Dyn. 2022, 108, 1837–1845. [Google Scholar] [CrossRef]
  54. Wang, J.; Dai, W.; He, J.; Yu, F.; Shen, X. Persistent imitation paves the way for cooperation in public goods game. Phys. Letter. A 2022, 447, 128302. [Google Scholar] [CrossRef]
  55. Li, X.; Hao, G.; Wang, H.; Xia, C.; Perc, M. Reputation preferences resolve social dilemmas in spatial multigames. J. Stat. Mech.-Theory 2021, 2021, 013403. [Google Scholar] [CrossRef]
  56. Hauert, C. Fundamental clusters in spatial 2 × 2 games. P. Roy. Soc. B-Biol. Sci. 2001, 268, 761–769. [Google Scholar] [CrossRef] [PubMed]
Figure 1. The b τ plane encoding proportion of cooperation, ρ c under different coupled strength β . Due to the similar trend of the results obtained on both networks, only the results obtained on network A (bottom) are presented here. From subgraphs (ac), the values of coupled strength β are 0.2, 0.5, and 0.8, respectively. Furthermore, for most data points, the MC is generated into 5 × 10 4 to ensure that the system reaches the equilibration state; while for some phase transition data points, the procedure executes 10 5 MC generations to guarantee that the system achieves the similar state. The remaining parameters are set to be L = 200 and K = 0.1 .
Figure 1. The b τ plane encoding proportion of cooperation, ρ c under different coupled strength β . Due to the similar trend of the results obtained on both networks, only the results obtained on network A (bottom) are presented here. From subgraphs (ac), the values of coupled strength β are 0.2, 0.5, and 0.8, respectively. Furthermore, for most data points, the MC is generated into 5 × 10 4 to ensure that the system reaches the equilibration state; while for some phase transition data points, the procedure executes 10 5 MC generations to guarantee that the system achieves the similar state. The remaining parameters are set to be L = 200 and K = 0.1 .
Mathematics 11 00804 g001
Figure 2. Time series of the proportion of cooperation, ρ c , at b = 1.04 and β = 0.5 . Only the results obtained on the bottom network are shown here. Other parameters are exactly the same as those in Figure 1.
Figure 2. Time series of the proportion of cooperation, ρ c , at b = 1.04 and β = 0.5 . Only the results obtained on the bottom network are shown here. Other parameters are exactly the same as those in Figure 1.
Mathematics 11 00804 g002
Figure 3. Feature snapshots of the strategies evolution when β = 0.5 . Among these snapshots, we define a player whose influence exceeds the given influence threshold τ as upper class, otherwise the player is defined as lower class. Red and blue dots represent cooperators and defectors who are lower class, respectively, while green and yellow points indicate cooperators and defectors who are lower class, respectively. Furthermore, each two rows from top to bottom are grouped, that is, lines (a1a5,b1b5) are a group, lines (c1c5,d1d5) are a group, and lines (e1e5,f1f5) are a group. In addition, in each group, the upper lines are the snapshots of the network B (top), and the lower ones are the results obtained on network A (bottom). Moreover, for each group from top to bottom, the values of influence threshold τ correspond to 0, 8, and 40, respectively. For the columns from left ro right, the generations of MC are 0, 20, 100, 1000, and 50,000, respectively. Other parameters are exactly the same as those in Figure 1.
Figure 3. Feature snapshots of the strategies evolution when β = 0.5 . Among these snapshots, we define a player whose influence exceeds the given influence threshold τ as upper class, otherwise the player is defined as lower class. Red and blue dots represent cooperators and defectors who are lower class, respectively, while green and yellow points indicate cooperators and defectors who are lower class, respectively. Furthermore, each two rows from top to bottom are grouped, that is, lines (a1a5,b1b5) are a group, lines (c1c5,d1d5) are a group, and lines (e1e5,f1f5) are a group. In addition, in each group, the upper lines are the snapshots of the network B (top), and the lower ones are the results obtained on network A (bottom). Moreover, for each group from top to bottom, the values of influence threshold τ correspond to 0, 8, and 40, respectively. For the columns from left ro right, the generations of MC are 0, 20, 100, 1000, and 50,000, respectively. Other parameters are exactly the same as those in Figure 1.
Mathematics 11 00804 g003
Figure 4. Time evolution of different types of relationships between networks at β = 0 . 5 . From subgraphs (ac), the threshold of influence τ is set to be 0, 8, and 40, respectively. It should be noted that, due to the fact that the results obtained on both networks are qualitatively consistent, only the results obtained on the bottom network are shown here. Other parameters are exactly the same as those in Figure 1.
Figure 4. Time evolution of different types of relationships between networks at β = 0 . 5 . From subgraphs (ac), the threshold of influence τ is set to be 0, 8, and 40, respectively. It should be noted that, due to the fact that the results obtained on both networks are qualitatively consistent, only the results obtained on the bottom network are shown here. Other parameters are exactly the same as those in Figure 1.
Mathematics 11 00804 g004
Figure 5. Time evolution of more specific different types of relationships between networks at β = 0 . 5 . From subgraphs (ac), the thresholds of influence τ are 0, 8, and 40, respectively. It should be noted that, due to the fact that the results obtained on both networks are qualitatively consistent, only the results obtained on bottom network are shown here. Other parameters are exactly the same as those in Figure 1.
Figure 5. Time evolution of more specific different types of relationships between networks at β = 0 . 5 . From subgraphs (ac), the thresholds of influence τ are 0, 8, and 40, respectively. It should be noted that, due to the fact that the results obtained on both networks are qualitatively consistent, only the results obtained on bottom network are shown here. Other parameters are exactly the same as those in Figure 1.
Mathematics 11 00804 g005
Figure 6. Characteristic snapshots of time evolution at β = 0 . 5 and τ = 8 . The snapshots start from the special prepared distribution of strategies, where the positions of A, B, and C are 2 × 2 cooperative clusters with unidirectional (—), bidirectional (=), and decoupled (::) relationships, respectively. Red (yellow) points indicate that players in both networks are cooperators (defectors) and blue (cyan) dots denote that players in network A (bottom) are cooperators (defectors), while players in network B (top) are defectors (cooperators). Moreover, the depth of color indicates the different strength of the coupled relationship. For instance, dark red signifies that cooperators located at the corresponding position are a bidirectional coupled relationship, medium red means that cooperators in both networks have a unidirectional coupled relationship (i.e., only one layer of network cooperators can build coupled connection), and light red characterizes that there is a decoupled relationship between cooperators. It should be noted that, due to the fact that the results obtained on both networks are qualitatively consistent, only the results obtained on the bottom network are shown here. In addition, the generations of MC from subgraphs (af) are 0, 20, 300, 1000, 5000, and 50,000, respectively. Other parameters are exactly the same as those in Figure 1.
Figure 6. Characteristic snapshots of time evolution at β = 0 . 5 and τ = 8 . The snapshots start from the special prepared distribution of strategies, where the positions of A, B, and C are 2 × 2 cooperative clusters with unidirectional (—), bidirectional (=), and decoupled (::) relationships, respectively. Red (yellow) points indicate that players in both networks are cooperators (defectors) and blue (cyan) dots denote that players in network A (bottom) are cooperators (defectors), while players in network B (top) are defectors (cooperators). Moreover, the depth of color indicates the different strength of the coupled relationship. For instance, dark red signifies that cooperators located at the corresponding position are a bidirectional coupled relationship, medium red means that cooperators in both networks have a unidirectional coupled relationship (i.e., only one layer of network cooperators can build coupled connection), and light red characterizes that there is a decoupled relationship between cooperators. It should be noted that, due to the fact that the results obtained on both networks are qualitatively consistent, only the results obtained on the bottom network are shown here. In addition, the generations of MC from subgraphs (af) are 0, 20, 300, 1000, 5000, and 50,000, respectively. Other parameters are exactly the same as those in Figure 1.
Mathematics 11 00804 g006
Figure 7. Comparison of the evolution of cooperation under the corresponding coupled relationship and random coupled relationship. Subgraph (a) is the results obtained under the corresponding coupled relationship, while subgraph (b) is the ones gained under the random coupled relationship. It should be noted that, due to the fact that the results obtained on both networks are qualitatively consistent, only the results obtained on bottom network are shown here. Other parameters are exactly the same as those in Figure 1.
Figure 7. Comparison of the evolution of cooperation under the corresponding coupled relationship and random coupled relationship. Subgraph (a) is the results obtained under the corresponding coupled relationship, while subgraph (b) is the ones gained under the random coupled relationship. It should be noted that, due to the fact that the results obtained on both networks are qualitatively consistent, only the results obtained on bottom network are shown here. Other parameters are exactly the same as those in Figure 1.
Mathematics 11 00804 g007
Disclaimer/Publisher’s Note: The statements, opinions and data contained in all publications are solely those of the individual author(s) and contributor(s) and not of MDPI and/or the editor(s). MDPI and/or the editor(s) disclaim responsibility for any injury to people or property resulting from any ideas, methods, instructions or products referred to in the content.

Share and Cite

MDPI and ACS Style

Li, X.; Wang, Z.; Liu, J.; Yu, G. The Sense of Cooperation on Interdependent Networks Inspired by Influence-Based Self-Organization. Mathematics 2023, 11, 804. https://doi.org/10.3390/math11040804

AMA Style

Li X, Wang Z, Liu J, Yu G. The Sense of Cooperation on Interdependent Networks Inspired by Influence-Based Self-Organization. Mathematics. 2023; 11(4):804. https://doi.org/10.3390/math11040804

Chicago/Turabian Style

Li, Xiaopeng, Zhonglin Wang, Jiuqiang Liu, and Guihai Yu. 2023. "The Sense of Cooperation on Interdependent Networks Inspired by Influence-Based Self-Organization" Mathematics 11, no. 4: 804. https://doi.org/10.3390/math11040804

APA Style

Li, X., Wang, Z., Liu, J., & Yu, G. (2023). The Sense of Cooperation on Interdependent Networks Inspired by Influence-Based Self-Organization. Mathematics, 11(4), 804. https://doi.org/10.3390/math11040804

Note that from the first issue of 2016, this journal uses article numbers instead of page numbers. See further details here.

Article Metrics

Back to TopTop