A Comparative Analysis of Numerical Methods for Solving the Leaky Integrate and Fire Neuron Model
Simple Summary
Abstract
1. Introduction
2. Materials and Methods
2.1. Heun’s Method
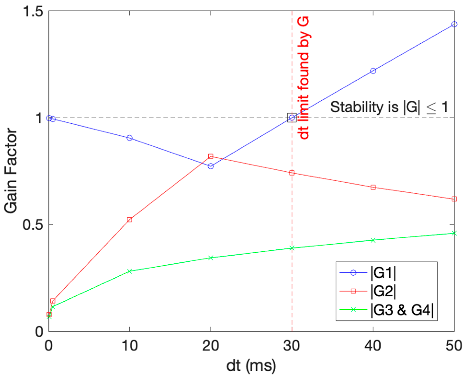
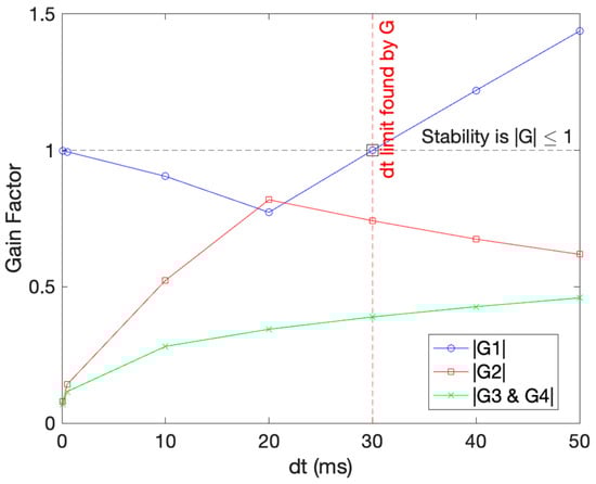
2.2. The AB4-AM4 Method
3. Results and Discussion
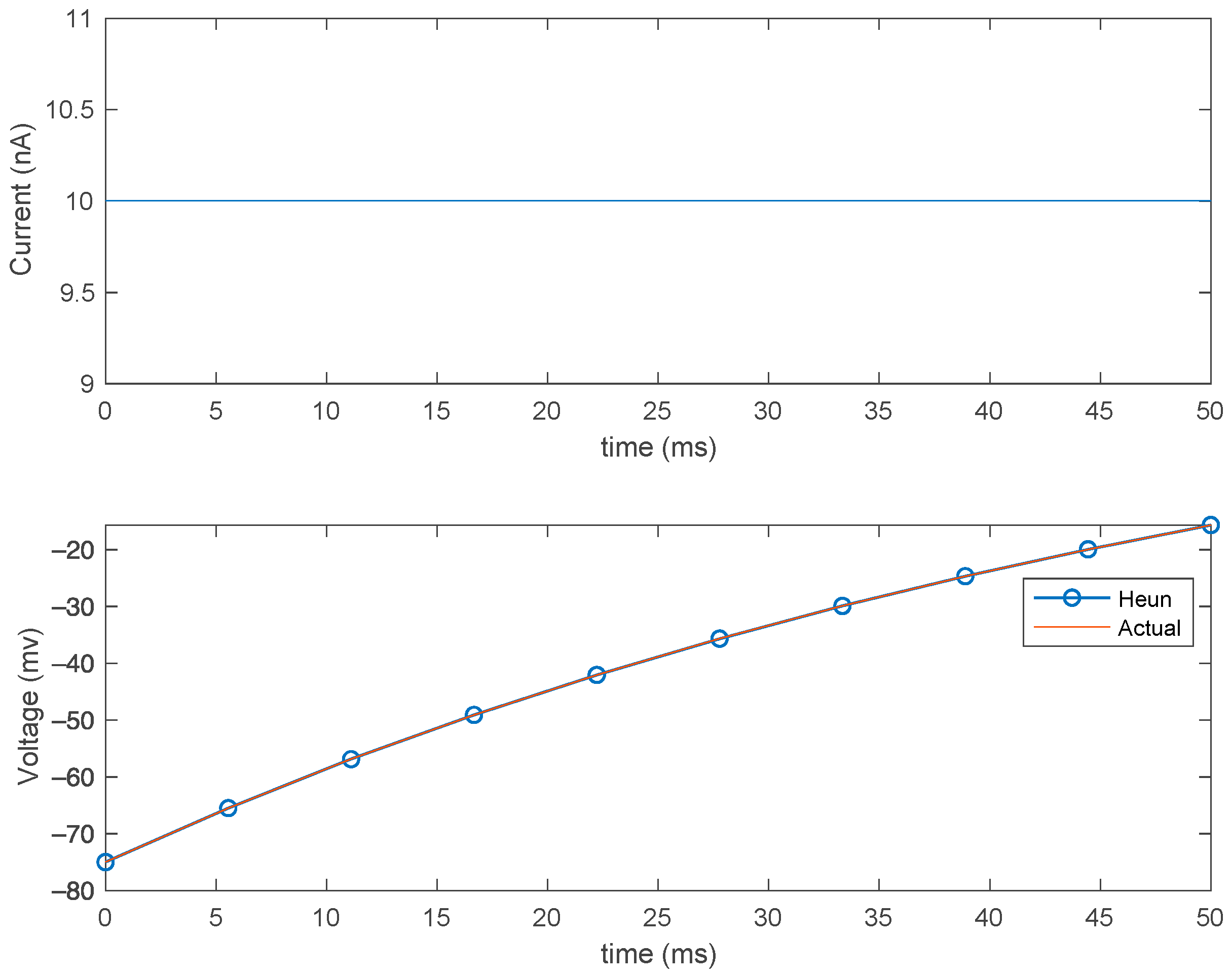
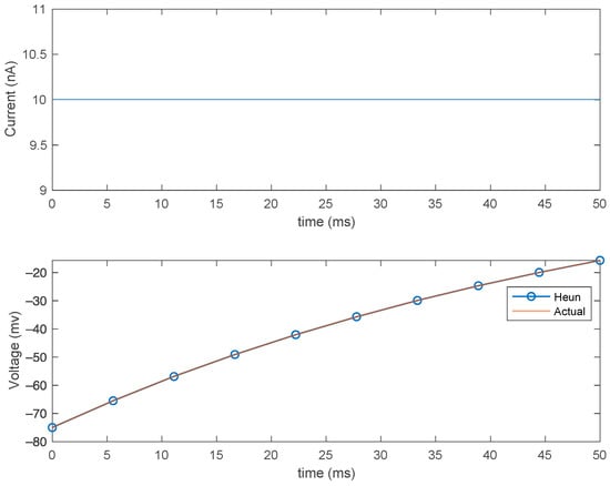
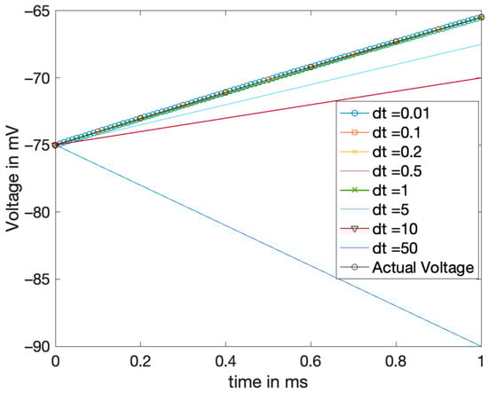
3.1. Heun’s Method
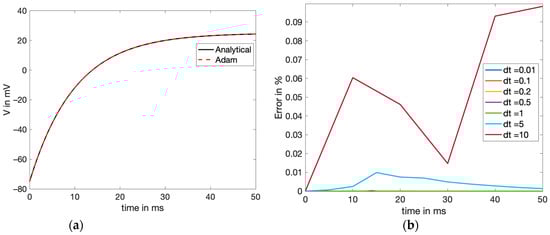
3.2. AB4-AM4 Method
3.3. Comparison of Numerical Methods
3.4. Comparison of the Alternating Current (AC) Input Current with the Constant Current (DC)
4. Conclusions
Supplementary Materials
Author Contributions
Funding
Institutional Review Board Statement
Informed Consent Statement
Data Availability Statement
Conflicts of Interest
References
- Van De Burgt, Y.; Gkoupidenis, P. Organic materials and devices for brain-inspired computing: From artificial implementation to biophysical realism. MRS Bull. 2020, 45, 631–640. [Google Scholar] [CrossRef]
- Salman, A.M.; Malony, A.D.; Sottile, M.J. An Open Domain-Extensible Environment for Simulation-Based Scientific Investigation (ODESSI). In Proceedings of the Computational Science–ICCS 2009, 9th International Conference, Baton Rouge, LA, USA, 25–27 May 2009; pp. 23–32. [Google Scholar] [CrossRef]
- Vazquez, R.A.; Cachón, A. Integrate and fire neurons and their application in pattern recognition. In Proceedings of the 2010 7th International Conference on Electrical Engineering Computing Science and Automatic Control, Tuxtla Gutierrez, Mexico, 8–10 September 2010; pp. 424–428. [Google Scholar]
- Teeter, C.; Iyer, R.; Menon, V.; Gouwens, N.; Feng, D.; Berg, J.; Szafer, A.; Cain, N.; Zeng, H.; Hawrylycz, M.; et al. Generalized leaky integrate-and-fire models classify multiple neuron types. Nat. Commun. 2018, 9, 709. [Google Scholar] [CrossRef] [PubMed]
- Schweizer, F.E. Neurotransmitter release from presynaptic terminals. eLS 2001. [CrossRef]
- Alberts, B.; Johnson, A.; Lewis, J.; Raff, M.; Roberts, K.; Walter, P. Ion channels and the electrical properties of membranes. In Molecular Biology of the Cell, 4th ed.; Garland Science: New York City, NY, USA, 2002. [Google Scholar]
- Fon, E.A.; Edwards, R.H. Molecular mechanisms of neurotransmitter release. Muscle Nerve Off. J. Am. Assoc. Electrodiagn. Med. 2001, 24, 581–601. [Google Scholar] [CrossRef]
- Hyman, S.E. Neurotransmitters. Curr. Biol. 2005, 15, R154–R158. [Google Scholar] [CrossRef]
- Sheffler, Z.M.; Reddy, V.; Pillarisetty, L.S. Physiology, Neurotransmitters; StatPearls Publishing: Treasure Island, FL, USA, 2022. [Google Scholar]
- Juárez Olguín, H.; Calderón Guzmán, D.; Hernández García, E.; Barragán Mejía, G. The role of dopamine and its dysfunction as a consequence of oxidative stress. Oxidative Med. Cell. Longev. 2016, 2016, 9730467. [Google Scholar] [CrossRef] [PubMed]
- Neuromatch Academy. Tutorial 1: The Leaky Integrate-and-Fire (LIF) Neuron Model. Available online: https://compneuro.neuromatch.io/tutorials/W2D3_BiologicalNeuronModels/student/W2D3_Tutorial1.html (accessed on 28 November 2022).
- Neuromatch Academy. Tutorial 3: Numerical Methods. Available online: https://compneuro.neuromatch.io/tutorials/W0D4_Calculus/student/W0D4_Tutorial3.html (accessed on 28 November 2022).
- Long, L.; Gupta, A. Biologically-Inspired Spiking Neural Networks with Hebbian Learning for Vision Processing. In Proceedings of the 46th AIAA Aerospace Sciences Meeting and Exhibit, Reno, NV, USA, 7–10 January 2008. [Google Scholar] [CrossRef]
- Chicco, D.; Warrens, M.J.; Jurman, G. The coefficient of determination R-squared is more informative than SMAPE, MAE, MAPE, MSE and RMSE in regression analysis evaluation. PeerJ Comput. Sci. 2021, 7, e623. [Google Scholar] [CrossRef]
- AbdelAty, A.; Fouda, M.; Eltawil, A. On numerical approximations of fractional-order spiking neuron models. Commun. Nonlinear Sci. Numer. Simul. 2021, 105, 106078. [Google Scholar] [CrossRef]
- Prada, E.J.A.; Arteaga, I.A.B.; Martínez, A.J.D. The Neuroid revisited: A heuristic approach to model neural spike trains. Res. Biomed. Eng. 2017, 33, 331–343. [Google Scholar] [CrossRef]
- Syahid, A.; Yuniati, A. Simulation of spiking activities neuron models using the Euler method. J. Phys. Conf. Ser. 2021, 1951, 012065. [Google Scholar] [CrossRef]
- Paninski, L. The most likely voltage path and large deviations approximations for integrate-and-fire neurons. J. Comput. Neurosci. 2006, 21, 71–87. [Google Scholar] [CrossRef] [PubMed]
- Vidybida, A. Simulating leaky integrate-and-fire neuron with integers. Math. Comput. Simul. 2018, 159, 154–160. [Google Scholar] [CrossRef]
- Iyasele, K.E. A Study of Some Computational Algorithms for Solving First Order Initial Value Problems. Bachelor’s Thesis, Federal University Oye-Ekiti, Oye-Ekiti, Nigeria, August 2015. [Google Scholar]
- Maleki, M.; Habiba, M.; Pearlmutter, B.A. HeunNet: Extending ResNet using Heun’s Method. In Proceedings of the 2021 32nd Irish Signals and Systems Conference (ISSC), Athlone, Ireland, 10–11 June 2021; pp. 1–6. [Google Scholar]
- Akogwu, B.O.; Fatoba, J. Numerical solutions of COVID-19 SIRD model in Nigeria. FUDMA J. Sci. 2022, 6, 60–67. [Google Scholar]
- Yucedag, V.B.; Dalkiran, I. A Raspberry Pi Based Hardware Implementations of Various Neuron Models; Research Square: Durham, NC, USA, 2022. [Google Scholar] [CrossRef]
- Tolba, M.; El-Safty, A.; Armanyos, M.; Said, L.A.; Madian, A.; Radwan, A.G. Synchronization and FPGA realization of fractional-order Izhikevich neuron model. Microelectron. J. 2019, 89, 56–69. [Google Scholar] [CrossRef]
- Sharma, D.; Singh, P.; Agarwal, R.P.; Koksal, M.E. Numerical Approximation for Nonlinear Noisy Leaky Integrate-and-Fire Neuronal Model. Mathematics 2019, 7, 363. [Google Scholar] [CrossRef]
- Workie, A.H. New Modification on Heun’s Method Based on Contraharmonic Mean for Solving Initial Value Problems with High Efficiency. J. Math. 2020, 2020, 6650855. [Google Scholar] [CrossRef]
- Amir Taher, K. Comparison of Numerical Methods for Solving a System of Ordinary Differential Equations: Accuracy, Stability and Efficiency. Bachelor’s Thesis, Mälardalens University, Västerås, Sweden, 2020. [Google Scholar]
- Ghrist, M.L.; Fornberg, B.; Reeger, J.A. Stability ordinates of Adams predictor-corrector methods. BIT Numer. Math. 2014, 55, 733–750. [Google Scholar] [CrossRef]
- Misirli, E.; Gurefe, Y. Multiplicative adams bashforth–moulton methods. Numer. Algorithms 2011, 57, 425–439. [Google Scholar] [CrossRef]
- Hoffman, J.D.; Frankel, S. Numerical Methods for Engineers and Scientists; CRC Press: Boca Raton, FL, USA, 2018. [Google Scholar]
- Shelley, M.J.; Tao, L. Efficient and accurate time-stepping schemes for integrate-and-fire neuronal networks. J. Comput. Neurosci. 2001, 11, 111–119. [Google Scholar] [CrossRef]
- Teka, W.; Marinov, T.M.; Santamaria, F. Neuronal Spike Timing Adaptation Described with a Fractional Leaky Integrate-and-Fire Model. PLoS Comput. Biol. 2014, 10, e1003526. [Google Scholar] [CrossRef]
- Hu, J.; Liu, J.-G.; Xie, Y.; Zhou, Z. A structure preserving numerical scheme for Fokker-Planck equations of neuron networks: Numerical analysis and exploration. J. Comput. Phys. 2021, 433, 110195. [Google Scholar] [CrossRef]
- Singh, P.; Kadalbajoo, M.K.; Sharma, K. Probability density function of leaky integrate-and-fire model with Lévy noise and its numerical approximation. Numer. Anal. Appl. 2016, 9, 66–73. [Google Scholar] [CrossRef]
- Valadez-Godínez, S.; Sossa, H.; Santiago-Montero, R. On the accuracy and computational cost of spiking neuron implementation. Neural Netw. 2019, 122, 196–217. [Google Scholar] [CrossRef] [PubMed]








| Neurotransmitter | Function |
|---|---|
| Dopamine | The pleasure neurotransmitter, associated with satisfaction, motivation, and addiction. |
| Acetylcholine | The learning neurotransmitter, associated with thought, memory, attention, and sensory perception. |
| Gamma-Aminobutyric acid (GABA) | The calming neurotransmitter, associated with mental focus and relaxation. |
| Noradrenaline | The concentration neurotransmitter, also known as norepinephrine. Associated with attention and involved in the fight or flight action mechanism. |
| Serotonin | The mood neurotransmitter, associated with happiness, well-being, and regular sleep patterns. Deficiency can cause depression and anxiety. |
| Adrenaline | The fight or flight transmitter, associated with exciting stimulations, high-stress rates, and elevated awareness. |
| Glutamate | The memory transmitter, associated with cognitive functions, learning, and memory. |
| Numerical Method | Step Size dt (ms) | Computation Time (s) | Absolute Mean Percentage Error (%) | Root Mean Square Error |
|---|---|---|---|---|
| Heun’s | 0.01 | 0.0826 | 2.0387 × 10−7 | 8.3395 × 10−7 |
| 0.1 | 0.0064 | 6.6103 × 10−5 | 8.3958 × 10−5 | |
| 0.2 | 0.0036 | 5.4455 × 10−5 | 3.3836 × 10−4 | |
| 0.5 | 0.0022 | 0.0025 | 0.0022 | |
| 1 | 0.0003 | 0.0208 | 0.0090 | |
| 5 | 0.0001 | 0.4541 | 0.3128 | |
| 10 | 63.5990 × 10−6 | 0.6498 | 1.9663 | |
| 50 | 13.4590 × 10−6 | 8.3671 × 1019 | 8.5172 × 1019 | |
| 0.01 | 0.3904 | 5.5039 × 10−12 | 1.1719 × 10−12 | |
| AB4-AM4 | 0.1 | 0.0403 | 5.4082 × 10−9 | 2.6940 × 10−10 |
| 0.2 | 0.0139 | 8.2763 × 10−8 | 4.3999 × 10−9 | |
| 0.5 | 0.0067 | 3.1298 × 10−6 | 1.8161 × 10−7 | |
| 1 | 0.0046 | 6.5745 × 10−5 | 3.1387 × 10−6 | |
| 5 | 0.0008 | 2.2389 × 10−2 | 2.5725 × 10−3 | |
| 10 | 0.0003 | 4.2699 × 10−1 | 4.0556 × 10−2 | |
| 50 | 0.0001 | 6.9347 × 1024 | 1.7337 × 1024 |
Disclaimer/Publisher’s Note: The statements, opinions and data contained in all publications are solely those of the individual author(s) and contributor(s) and not of MDPI and/or the editor(s). MDPI and/or the editor(s) disclaim responsibility for any injury to people or property resulting from any ideas, methods, instructions or products referred to in the content. |
© 2023 by the authors. Licensee MDPI, Basel, Switzerland. This article is an open access article distributed under the terms and conditions of the Creative Commons Attribution (CC BY) license (https://creativecommons.org/licenses/by/4.0/).
Share and Cite
Masri, G.E.; Ali, A.; Abuwatfa, W.H.; Mortula, M.; Husseini, G.A. A Comparative Analysis of Numerical Methods for Solving the Leaky Integrate and Fire Neuron Model. Mathematics 2023, 11, 714. https://doi.org/10.3390/math11030714
Masri GE, Ali A, Abuwatfa WH, Mortula M, Husseini GA. A Comparative Analysis of Numerical Methods for Solving the Leaky Integrate and Fire Neuron Model. Mathematics. 2023; 11(3):714. https://doi.org/10.3390/math11030714
Chicago/Turabian StyleMasri, Ghinwa El, Asma Ali, Waad H. Abuwatfa, Maruf Mortula, and Ghaleb A. Husseini. 2023. "A Comparative Analysis of Numerical Methods for Solving the Leaky Integrate and Fire Neuron Model" Mathematics 11, no. 3: 714. https://doi.org/10.3390/math11030714
APA StyleMasri, G. E., Ali, A., Abuwatfa, W. H., Mortula, M., & Husseini, G. A. (2023). A Comparative Analysis of Numerical Methods for Solving the Leaky Integrate and Fire Neuron Model. Mathematics, 11(3), 714. https://doi.org/10.3390/math11030714

