A Forgotten Effects Approach to the Analysis of Complex Economic Systems: Identifying Indirect Effects on Trade Networks
Abstract
1. Introduction
2. Materials and Methods
2.1. Data
2.2. Methodology
Preliminaries
2.3. Edge Analysis
2.4. Cause and Effect Analysis
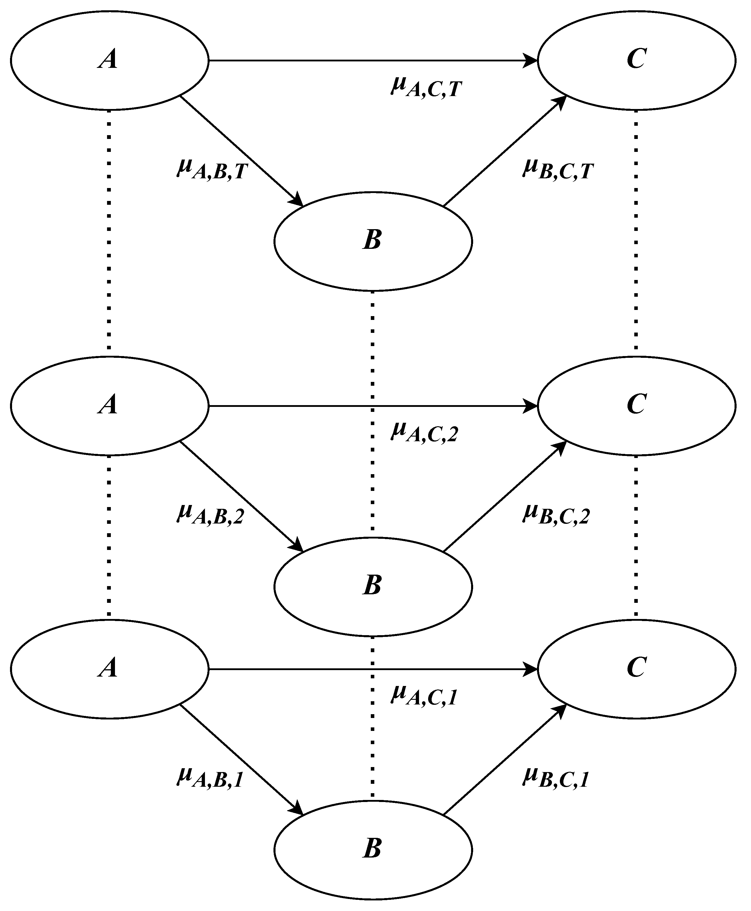
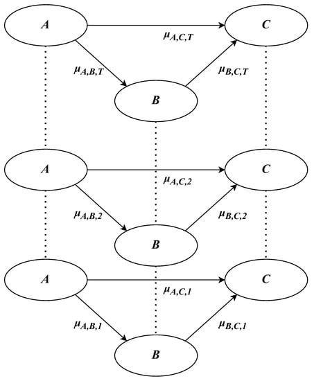
2.5. Forgotten Effects
2.6. Paths
3. Results
3.1. Software and Parameters
3.2. Direct Effects
3.3. Indirect Effects
4. Discussion
5. Conclusions
Author Contributions
Funding
Institutional Review Board Statement
Informed Consent Statement
Data Availability Statement
Conflicts of Interest
Appendix A
Appendix A.1. List of Countries
Appendix A.2. Centrality Tables
| PageRank | Betweenness | |
|---|---|---|
| USA | 326 | |
| CHN | 563 | |
| DEU | 319 | |
| GBR | 123 | |
| CAN | 0 | |
| FRA | 0 | |
| HKG | 0 | |
| MEX | 0 | |
| JPN | 70 | |
| NLD | 8 | |
| ITA | 60 | |
| BEL | 48 | |
| KOR | 34 | |
| CHE | 0 | |
| ESP | 136 | |
| SGP | 50 | |
| IND | 4 | |
| ARE | 98 | |
| TWN | 45 | |
| VNM | 25 | |
| AUS | 0 | |
| POL | 0 | |
| BRA | 0 | |
| AUT | 0 | |
| MYS | 0 | |
| THA | 20 | |
| RUS | 89 | |
| IRL | 0 | |
| IDN | 12 | |
| CZE | 0 | |
| SWE | 0 | |
| PRT | 0 | |
| HUN | 0 | |
| PHL | 0 | |
| TUR | 0 | |
| IRQ | 0 | |
| SAU | 50 | |
| CHL | 0 | |
| NOR | 0 | |
| ZAF | 0 |
| PageRank | Betweenness | |
|---|---|---|
| USA | 393 | |
| CHN | 458 | |
| DEU | 328 | |
| CAN | 0 | |
| FRA | 0 | |
| MEX | 0 | |
| GBR | 173 | |
| HKG | 20 | |
| NLD | 12 | |
| JPN | 157 | |
| ITA | 53 | |
| BEL | 53 | |
| KOR | 54 | |
| CHE | 25 | |
| ESP | 111 | |
| IND | 15 | |
| TWN | 6 | |
| SGP | 79 | |
| VNM | 0 | |
| BRA | 0 | |
| ARE | 142 | |
| POL | 0 | |
| AUS | 0 | |
| MYS | 0 | |
| AUT | 0 | |
| RUS | 28 | |
| THA | 67 | |
| IDN | 0 | |
| IRL | 0 | |
| CZE | 0 | |
| PHL | 0 | |
| PRT | 0 | |
| HUN | 0 | |
| SWE | 0 | |
| IRQ | 0 | |
| TUR | 0 | |
| SAU | 61 | |
| CHL | 0 | |
| NOR | 0 | |
| ZAF | 0 |
Appendix A.3. Figures




References
- Hidalgo, C.A.; Hausmann, R. The building blocks of economic complexity. Proc. Natl. Acad. Sci. USA 2009, 106, 10570–10575. [Google Scholar] [CrossRef]
- Fagiolo, G.; Reyes, J.; Schiavo, S. The evolution of the world trade web: A weighted-network analysis. J. Evol. Econ. 2010, 20, 479–514. [Google Scholar] [CrossRef]
- Tacchella, A.; Cristelli, M.; Caldarelli, G.; Gabrielli, A.; Pietronero, L. A new metrics for countries’ fitness and products’ complexity. Sci. Rep. 2012, 2, 723. [Google Scholar] [CrossRef]
- Fan, Y.; Ren, S.; Cai, H.; Cui, X. The state’s role and position in international trade: A complex network perspective. Econ. Model. 2014, 39, 71–81. [Google Scholar] [CrossRef]
- Morrison, G.; Buldyrev, S.V.; Imbruno, M.; Doria Arrieta, O.A.; Rungi, A.; Riccaboni, M.; Pammolli, F. On economic complexity and the fitness of nations. Sci. Rep. 2017, 7, 15332. [Google Scholar] [CrossRef]
- Teza, G.; Caraglio, M.; Stella, A.L. Growth dynamics and complexity of national economies in the global trade network. Sci. Rep. 2018, 8, 15230. [Google Scholar] [CrossRef] [PubMed]
- Yaveroğlu, Ö.N.; Malod-Dognin, N.; Davis, D.; Levnajic, Z.; Janjic, V.; Karapandza, R.; Stojmirovic, A.; Pržulj, N. Revealing the hidden language of complex networks. Sci. Rep. 2014, 4, 4547. [Google Scholar] [CrossRef] [PubMed]
- Kostoska, O.; Mitikj, S.; Jovanovski, P.; Kocarev, L. Core-periphery structure in sectoral international trade networks: A new approach to an old theory. PLoS ONE 2020, 15, e0229547. [Google Scholar] [CrossRef] [PubMed]
- Chong, S.Y.; Hur, J. Small hubs, large spokes and overlapping free trade agreements. World Econ. 2008, 31, 1625–1665. [Google Scholar] [CrossRef]
- Gómez-Hernández, L.Y.; Ramos-Ramírez, A.D. Las relaciones comerciales en América Latina en 1995 y 2015: Un análisis de redes complejas. Semest. Econ. 2017, 20, 163–185. [Google Scholar] [CrossRef]
- Metulini, R.; Riccaboni, M.; Sgrignoli, P.; Zhu, Z. The indirect effects of foreign direct investment on trade: A network perspective. World Econ. 2017, 40, 2193–2225. [Google Scholar] [CrossRef]
- Baltagi, B.H.; Egger, P.; Pfaffermayr, M. Estimating models of complex FDI: Are there third-country effects? J. Econom. 2007, 140, 260–281. [Google Scholar] [CrossRef]
- Chou, K.H.; Chen, C.H.; Mai, C.C. The impact of third-country effects and economic integration on China’s outward FDI. Econ. Model. 2011, 28, 2154–2163. [Google Scholar] [CrossRef]
- Regelink, M.; Paul Elhorst, J. The spatial econometrics of FDI and third country effects. Lett. Spat. Resour. Sci. 2015, 8, 1–13. [Google Scholar] [CrossRef]
- Berg, K.A.; Mark, N.C. Third-country effects on the exchange rate. J. Int. Econ. 2015, 96, 227–243. [Google Scholar] [CrossRef]
- Bahmani-Oskooee, M.; Aftab, M. A new perspective on the third-country effect: The case of Malaysia–US industry-level trade. J. Int. Trade Econ. Dev. 2018, 27, 607–637. [Google Scholar] [CrossRef]
- Chen, M.X.; Joshi, S. Third-country effects on the formation of free trade agreements. J. Int. Econ. 2010, 82, 238–248. [Google Scholar] [CrossRef]
- Neary, J.P. Putting the “new” into new trade theory: Paul Krugman’s Nobel Memorial Prize in economics. Scand. J. Econ. 2009, 111, 217–250. [Google Scholar] [CrossRef]
- Morales, E.; Sheu, G.; Zahler, A. Extended gravity. Rev. Econ. Stud. 2019, 86, 2668–2712. [Google Scholar] [CrossRef]
- Sopranzetti, S. Overlapping free trade agreements and international trade: A network approach. World Econ. 2018, 41, 1549–1566. [Google Scholar] [CrossRef]
- Alves, L.G.A.; Mangioni, G.; Rodrigues, F.A.; Panzarasa, P.; Moreno, Y. Unfolding the complexity of the global value chain: Strength and entropy in the single-layer, multiplex, and multi-layer international trade networks. Entropy 2018, 20, 909. [Google Scholar] [CrossRef]
- Kaufmann, A.; Aluja, J.G. Modelos Para la Investigación de Efectos Olvidados; Milladoiro: Vigo, Spain, 1988. [Google Scholar]
- Rojas-Mora, J.; Chávez-Bustamante, F.; Mondaca-Marino, C. Forgotten effects in trade relations: A view from the Belt and Road Initiative (BRI). Asian Educ. Dev. Stud. 2020, 10, 410–420. [Google Scholar] [CrossRef]
- Lafuente, F.J.M.; Lafuente, A.M.G.; Guzman-Parra, V.F.; Lafuente, J.G. Key factors for entrepreneurial success. Manag. Decision 2013, 51, 1932–1944. [Google Scholar] [CrossRef]
- Blanco-Mesa, F.; Leon-Castro, E.; Bermudez-Mondragon, D.; Castro-Amado, M. Forgotten motivational factors of boyacense Colombian entrepreneurs: A subjective analysis of second-generation incidences. Mathematics 2021, 9, 973. [Google Scholar] [CrossRef]
- Flores-Romero, M.B.; Pérez-Romero, M.E.; Álvarez-García, J.; del Río-Rama, M.d.l.C. Fuzzy techniques applied to the analysis of the causes and effects of tourism competitiveness. Mathematics 2021, 9, 777. [Google Scholar] [CrossRef]
- González-Morcillo, S.; Horrach-Rosselló, P.; Valero-Sierra, O.; Mulet-Forteza, C. Forgotten effects of active tourism activities in Spain on sustainable development dimensions. Environ. Dev. Sustain. 2022, 24, 1–21. [Google Scholar] [CrossRef]
- Barcellos-Paula, L.; De la Vega, I.; Gil-Lafuente, A.M. The Quintuple Helix of innovation model and the SDGs: Latin-American countries’ case and its forgotten effects. Mathematics 2021, 9, 416. [Google Scholar] [CrossRef]
- Martorell-Cunill, O.; Gil-Lafuente, A.M.; Socias Salvà, A.; Mulet Forteza, C. The growth strategies in the hospitality industry from the perspective of the forgotten effects. Comput. Math. Organ. Theory 2014, 20, 195–210. [Google Scholar] [CrossRef]
- Nicolas, C.; Rojas-Mora, J.; Valenzuela-Fernandez, L. Causal relationships between economic activity and the mining industry in Chile. J. Intell. Fuzzy Syst. 2020, 38, 5405–5412. [Google Scholar] [CrossRef]
- Egger, P. An econometric view on the estimation of gravity models and the calculation of trade potentials. World Econ. 2002, 25, 297–312. [Google Scholar] [CrossRef]
- Martinez-Zarzoso, I. Gravity model: An application to trade between regional blocs. Atl. Econ. J. 2003, 31, 174–187. [Google Scholar] [CrossRef]
- Defever, F.; Heid, B.; Larch, M. Spatial exporters. J. Int. Econ. 2015, 95, 145–156. [Google Scholar] [CrossRef]
- Duenas, M.; Fagiolo, G. Modeling the international-trade network: A gravity approach. J. Econ. Interact. Coord. 2013, 8, 155–178. [Google Scholar] [CrossRef]
- Garlaschelli, D.; Loffredo, M.I. Structure and evolution of the world trade network. Phys. A Stat. Mech. Its Appl. 2005, 355, 138–144. [Google Scholar] [CrossRef]
- Tzekina, I.; Danthi, K.; Rockmore, D.N. Evolution of community structure in the world trade web. Eur. Phys. J. B 2008, 63, 541–545. [Google Scholar] [CrossRef]
- Efron, B. Computers and the theory of statistics: Thinking the unthinkable. SIAM Rev. 1979, 21, 460–480. [Google Scholar] [CrossRef]
- Efron, B. Better bootstrap confidence intervals. J. Am. Stat. Assoc. 1987, 82, 171–185. [Google Scholar] [CrossRef]
- Coates, J.F.P.; Godet, M. From Anticipation to Action: A Handbook of Strategic Prospective; UNESCO Publishing: Paris, France, 1994. [Google Scholar]
- Mardones-Arias, E.; Rojas-Mora, J. foRgotten. Available online: https://github.com/ElliottMardones/foRgotten (accessed on 22 August 2022).
- R Core Team. R: A Language and Environment for Statistical Computing; R Foundation for Statistical Computing: Vienna, Austria, 2022. [Google Scholar]
- Csardi, G.; Nepusz, T. The igraph software package for complex network research. InterJ. Complex Syst. 2006, 1695, 1–9. [Google Scholar]
- Page, L.; Brin, S.; Motwani, R.; Winograd, T. The PageRank Citation Ranking: Bringing Order to the Web; Technical Report; Stanford InfoLab. 1999. Available online: http://ilpubs.stanford.edu:8090/422/ (accessed on 22 August 2022).
- Del Río-Chanona, R.M.; Grujić, J.; Jeldtoft Jensen, H. Trends of the world input and output network of global trade. PLoS ONE 2017, 12, e0170817. [Google Scholar] [CrossRef] [PubMed]
- De Andrade, R.L.; Rêgo, L.C. The use of nodes attributes in social network analysis with an application to an international trade network. Phys. A Stat. Mech. Its Appl. 2018, 491, 249–270. [Google Scholar] [CrossRef]
- De Benedictis, L.; Tajoli, L. The world trade network. World Econ. 2011, 34, 1417–1454. [Google Scholar] [CrossRef]
- Baldwin, R.; Di Mauro, B.W. Innovation and Intellectual Property Rights. In Economics in the Time of COVID-19; Baldwin, R., Di Mauro, B.W., Eds.; CEPR Press: London, UK, 2020; pp. 1–30. [Google Scholar]
- Vidya, C.; Prabheesh, K. Implications of COVID-19 pandemic on the global trade networks. Emerg. Mark. Financ. Trade 2020, 56, 2408–2421. [Google Scholar] [CrossRef]
- Li, X.; Meng, B.; Wang, Z. Recent patterns of global production and GVC participation. Glob. Value Chain Dev. Rep. 2019, 2019, 9. [Google Scholar]
- Kali, R.; Reyes, J. The architecture of globalization: A network approach to international economic integration. J. Int. Bus. Stud. 2007, 38, 595–620. [Google Scholar] [CrossRef]
- Gala, P.; Camargo, J.; Freitas, E. The Economic Commission for Latin America and the Caribbean (ECLAC) was right: Scale-free complex networks and core-periphery patterns in world trade. Camb. J. Econ. 2018, 42, 633–651. [Google Scholar] [CrossRef]
- Zhang, C.; Fu, J.; Pu, Z. A study of the petroleum trade network of countries along “The Belt and Road Initiative”. J. Clean. Prod. 2019, 222, 593–605. [Google Scholar] [CrossRef]
- Zhu, Z.; Cerina, F.; Chessa, A.; Caldarelli, G.; Riccaboni, M. The rise of China in the international trade network: A community core detection approach. PLoS ONE 2014, 9, e105496. [Google Scholar] [CrossRef]
- Almog, A.; Squartini, T.; Garlaschelli, D. The double role of GDP in shaping the structure of the International Trade Network. Int. J. Comput. Econ. Econom. 2017, 7, 381–398. [Google Scholar] [CrossRef]




| Year | Between Hubs | Between Spokes | Between Hubs and Spokes |
|---|---|---|---|
| 2016 | |||
| 2017 | |||
| 2018 | |||
| 2019 | |||
| 2020 | |||
| 2021 | |||
| mean | |||
| sd |
| From | Through | To | Freq. | Effect | LCI | UCI | SE |
|---|---|---|---|---|---|---|---|
| MEX | USA | CAN | 6 | ||||
| HKG | CHN | USA | 6 | ||||
| CAN | USA | MEX | 6 | ||||
| CHN | USA | CAN | 6 | ||||
| CHN | USA | MEX | 6 | ||||
| HKG | CHN | JPN | 6 | ||||
| JPN | USA | CAN | 6 | ||||
| JPN | USA | MEX | 6 | ||||
| DEU | USA | CAN | 6 | ||||
| DEU | USA | MEX | 6 | ||||
| CAN | USA | CHN | 6 | ||||
| MEX | USA | CHN | 6 | ||||
| KOR | CHN | JPN | 6 | ||||
| HKG | CHN | KOR | 6 | ||||
| HKG | CHN | VNM | 3 | ||||
| JPN | CHN | VNM | 3 | ||||
| USA | CHN | VNM | 3 | ||||
| KOR | CHN | HKG | 6 | ||||
| NLD | DEU | USA | 4 | ||||
| NLD | DEU | CHN | 6 | ||||
| DEU | CHN | HKG | 6 | ||||
| DEU | CHN | KOR | 6 | ||||
| JPN | CHN | HKG | 6 | ||||
| DEU | CHN | VNM | 3 | ||||
| AUS | CHN | HKG | 3 | ||||
| AUS | CHN | KOR | 3 | ||||
| AUS | CHN | USA | 3 | ||||
| TWN | CHN | VNM | 3 | ||||
| AUS | CHN | VNM | 3 | ||||
| TWN | CHN | KOR | 5 | ||||
| USA | CHN | HKG | 4 | ||||
| FRA | DEU | NLD | 1 | NA | NA | NA | |
| DEU | CHN | JPN | 1 | NA | NA | NA |
| From | Through | Through | To | Freq. | Effect | LCI | UCI | SE |
|---|---|---|---|---|---|---|---|---|
| HKG | CHN | USA | CAN | 6 | ||||
| HKG | CHN | USA | MEX | 6 | ||||
| CAN | USA | CHN | VNM | 3 | ||||
| MEX | USA | CHN | VNM | 3 | ||||
| NLD | DEU | USA | CAN | 4 | ||||
| NLD | DEU | USA | MEX | 4 | ||||
| NLD | DEU | CHN | VNM | 3 | ||||
| CAN | USA | CHN | HKG | 4 | ||||
| MEX | USA | CHN | HKG | 4 |
Disclaimer/Publisher’s Note: The statements, opinions and data contained in all publications are solely those of the individual author(s) and contributor(s) and not of MDPI and/or the editor(s). MDPI and/or the editor(s) disclaim responsibility for any injury to people or property resulting from any ideas, methods, instructions or products referred to in the content. |
© 2023 by the authors. Licensee MDPI, Basel, Switzerland. This article is an open access article distributed under the terms and conditions of the Creative Commons Attribution (CC BY) license (https://creativecommons.org/licenses/by/4.0/).
Share and Cite
Chávez-Bustamante, F.; Mardones-Arias, E.; Rojas-Mora, J.; Tijmes-Ihl, J. A Forgotten Effects Approach to the Analysis of Complex Economic Systems: Identifying Indirect Effects on Trade Networks. Mathematics 2023, 11, 531. https://doi.org/10.3390/math11030531
Chávez-Bustamante F, Mardones-Arias E, Rojas-Mora J, Tijmes-Ihl J. A Forgotten Effects Approach to the Analysis of Complex Economic Systems: Identifying Indirect Effects on Trade Networks. Mathematics. 2023; 11(3):531. https://doi.org/10.3390/math11030531
Chicago/Turabian StyleChávez-Bustamante, Felipe, Elliott Mardones-Arias, Julio Rojas-Mora, and Jaime Tijmes-Ihl. 2023. "A Forgotten Effects Approach to the Analysis of Complex Economic Systems: Identifying Indirect Effects on Trade Networks" Mathematics 11, no. 3: 531. https://doi.org/10.3390/math11030531
APA StyleChávez-Bustamante, F., Mardones-Arias, E., Rojas-Mora, J., & Tijmes-Ihl, J. (2023). A Forgotten Effects Approach to the Analysis of Complex Economic Systems: Identifying Indirect Effects on Trade Networks. Mathematics, 11(3), 531. https://doi.org/10.3390/math11030531

