Abstract
With the rapid advancement of computer graphics and three-dimensional modeling technology, the processing and optimization of three-dimensional (3D) models have become contentious research topics. In the context of mobile devices or web applications, situations may arise where it becomes necessary to load a 3D model with a substantial memory footprint in real-time or dynamically adjust the level of detail of a model based on the scene’s proximity. In such cases, it is imperative to optimize the original model to ensure smoothness and responsiveness. Due to the simplicity of their algorithm, quadric error metrics (QEMs) can deliver excellent results in simplifying 3D models while maintaining high efficiency. Therefore, QEM is widely employed in engineering applications within the realm of computer graphics development. Moreover, in the pursuit of enhanced quality and efficiency, numerous scholars have improved it based on QEM algorithms. This study aims to provide a systematic review and summary of the principles and applications of current research on QEM algorithms. First, we conducted a bibliometric analysis of 128 studies in related fields spanning from 1998 to 2022 using CiteSpace. This allowed us to sort QEM algorithms and gain insights into their development status and emerging trends. Second, we delve into the fundamental principles and optimizations of the QEM algorithms to provide a deeper understanding of their implementation process. Following that, we explore the advantages and limitations of the QEM algorithms in practical applications and analyze their potential in various domains, including virtual reality and game development. Finally, this study outlines future research directions, which encompass the development of more efficient error metric calculation methods, the exploration of adaptive simplification strategies, and the investigation of potential synergies with deep learning technologies. Current research primarily centers on enhancing QEM algorithms by incorporating additional geometric constraints to better differentiate between flat and irregular areas. This enables a more accurate determination of the areas that should be prioritized for folding. Nevertheless, it is important to note that these improvements may come at the cost of reduced computational efficiency. Therefore, future research directions could involve exploring parallel computing techniques and utilizing GPUs to enhance computational efficiency.
Keywords:
triangular mesh model simplification; edge-collapsing; quadric error metrics; mesh quality; CiteSpace MSC:
51N05; 51N15
1. Introduction
1.1. Research Background
There are three main types of mainstream three-dimensional (3D) model representation methods: boundary representation (B-rep), triangular mesh, and point cloud. A 3D model must be rendered and displayed on the screen, and B-rep must be discretized, resulting in a triangular mesh as the typical representation on the screen. Meanwhile, point cloud technology, arising from 3D scanning, has not been widely adopted in engineering fields like B-rep and triangular mesh; it is worth noting that complex 3D models often comprise thousands of triangular slices after discretization. Such large-memory 3D models pose challenges for real-time transformations and loading on mobile devices, such as cell phones, virtual reality (VR), or mixed reality terminals. To address these issues, a series of triangular mesh-simplification algorithms have been developed by academics to moderately simplify the model without affecting the whole visual perception and reduce the complexity of the model. QEM algorithm is a classic algorithm for triangular mesh simplification, which is widely used in engineering, games, and other fields due to its high efficiency in the simplification process while maintaining the highest possible quality of the geometry. For example, commercial software like Unity 2023.x (Unity Technologies, San Francisco, CA, USA) employs plug-in mesh simplification to optimize game performance and reduce polygon counts in models, thus decreasing the GPU and CPU load and ultimately improving the game’s frame rate (Figure 1).

Figure 1.
Simplification effect of the commercial software.
1.2. Research Significance
Three-dimensional model-simplification technology represented by a discrete triangular mesh can effectively reduce storage and transmission costs. Using simple algorithms, the number of model vertices and triangle patches can be reduced as required. Simultaneously, it significantly improves rendering performance, reducing the computational burden of the graphics card during the model rendering process. Second, when it is necessary to satisfy the interactive functions of the user, the simplification algorithm can improve the real-time nature of the interactive operation and enhance the user experience. Finally, the triangular mesh-simplification algorithm can generate models at multiple resolution levels. Users can choose different levels of the model display according to the scene to reduce overall performance overhead. The triangular mesh-simplification algorithm is of great significance to the field of CG technology research and is an important topic in the current CG field.
1.3. Research Status
Due to the widespread adoption of the triangular mesh model, extensive research on lightweight technology has been conducted by scholars globally. Mainstream triangular mesh-simplification algorithms currently include the vertex-deletion method [], edge-collapsing method [], and triangle-contraction method []. Among these methods, the edge-collapsing approach stands out due to its rapid simplification speed and effective results, making it a popular subject in the field of triangular mesh-simplification algorithms. Microsoft’s Hoppe H. [] first introduced the edge-collapsing algorithm in 1993, which is applicable to any two-dimensional manifold grid model. In this method, Hoppe proposed a global energy function and employed a non-linear optimization approach to discover new points for optimizing the global energy function. However, this method involves a non-linear operation during simplification, resulting in large calculation amounts, extensive computational requirements, and slower simplification speeds. To improve the computational efficiency, Garland et al. [] proposed an edge-collapsing method based on a quadratic error metric. This algorithm simplifies the model by iteratively shrinking vertex pairs and uses a quadratic matrix to represent the distance between the new vertex and the triangle distance. Simultaneously, the sum of the squared distances of the first-order neighborhood triangles of the point is used as the error-calculation method. This approach offers the advantages of swift simplification and a high-quality simplified model. However, it lacks consideration for the geometric properties of the model, resulting in the inability to preserve local feature details during the simplification process. Chu et al. [] considered the normal vectors of the first-order neighborhood triangles around the vertices and used the average of the normal vectors of these triangles as the vertex normal vectors to improve the folding calculation cost. However, it is worth noting that different triangles may share the same normal vector despite having distinct shapes. Therefore, directly calculating the average value of the normal vector may not adequately account for the geometric characteristics of different triangles. Liu [] combined the vertex approximate curvature with the error matrix of the folding cost but only considered the angle between the area of the first-order neighborhood triangle and the angle between the vertex normal vector and the maximum normal vector of the first-order neighborhood triangle when calculating the vertex curvature. They did not consider that the larger the area of the triangle, the greater the impact on the angle, which may cause errors. Liet al. [] employed the angle error and vertex curvature to control the folding order of edges, weighted the normal vector of each first-order neighborhood triangle with the area of the triangle, and obtained the normal vector of the vertex. However, when the triangle areas are the same, the internal angle of the triangle also affects the calculation of the vertex normal vector. Thus, this algorithm does not comprehensively consider the details of the surface geometric features of the model. Wei et al. [] proposed a calculation method based on the Voronoi pole eigenvalue and used it to describe local surface characteristics. The saliency of the vertex is obtained through Gaussian superposition, and the calculated saliency of the vertex is superimposed on the quadratic value of the vertex. In the error matrix, the triangular surfaces with visually prominent features in the model can be well preserved; however, calculating the Voronoi pole eigenvalues may require more computing resources and time, especially for large-scale triangular mesh models. Therefore, it is not widely used in engineering. Zhang et al. [] optimized the edge-collapsing cost of the original algorithm by increasing the approximate curvature of the curve and the average area of the first-order neighborhood triangles of the edges of the model to be folded as penalty factors, considering the richer model geometric information. In a lightweight process, the optimization algorithm can reduce the deformation of the model and better maintain its detailed geometric characteristics. However, calculating the folding cost is extremely complex. Highly complex folding cost calculations are required for triangular surfaces in flat regions. Folding efficiency was low.
1.4. Problems Addressed in This Paper
To systematically understand the triangular mesh-simplification algorithm, this paper provides an in-depth analysis and summary of the development, application, and related optimization strategies of the QEM mesh-simplification algorithm; analyzes the current status and development trend of the discrete triangular mesh-simplification algorithm; systematically reviews the literature related to the QEM algorithm in recent years; and reveals the importance and influence of this algorithm in the field of computer graphics by combing through the research trends and results.
The QEM algorithm is a classic algorithm in the field of geometric model simplification, and this paper provides an important research basis and reference for subsequent researchers by combing the development history of the QEM algorithm. Researchers can draw on the ideas and techniques of the QEM algorithm to design and develop more efficient and accurate model-simplification algorithms; at the same time, they can explore more effective data structures, more efficient algorithms, and more optimal implementation strategies to improve the speed and quality of model simplification. In order to further understand the principle and simplification effect of the algorithm, it was reproduced (as shown in Figure 2). The Bunny.obj model is utilized for simplification, and the effect of the simplified model is compared.

Figure 2.
QEM algorithm-simplification effect.
2. Materials and Methods
To ensure the completeness and academic nature of the analyzed literature, we chose Web of Science as the database, from which we can retrieve the title, abstract, authors, keywords, and so on. In the process of literature screening, two researchers independently completed the screening of literature and information verification; if two researchers had inconsistent views, the third researcher participated in the discussion, and the three researchers discussed and solved the problem together. We used mesh simplification and the quadric error metric as the keywords for the initial search and obtained 267 papers. Based on this, EndNote X9 was used to eliminate duplicates, and then the two researchers went on to independently screen the included studies based on their topics and abstracts. After eliminating irrelevant studies, the full text was screened to determine the final included studies.
After the initial screening, 267 documents were obtained, 56 duplicates were removed, 47 documents were excluded based on the exclusion criteria and by reading the abstracts of the topics, and finally, 128 documents were included by screening the full text of the 164 documents initially included. These 128 documents were used as the data source for CiteSpace analysis, and the 128 documents is detailed in references [,,,,,,,,,,,,,,,,,,,,,,,,,,,,,,,,,,,,,,,,,,,,,,,,,,,,,,,,,,,,,,,,,,,,,,,,,,,,,,,,,,,,,,,,,,,,,,,,,,,,,,,,,,,,,,,,,,,,,,,,,,,,,,,,]. The specific screening process, as well as the analysis process, are shown in Figure 3.

Figure 3.
Research flow chart.
A knowledge graph is a cutting-edge analysis method used in the fields of bibliometrics and scientometrics that can intuitively express the results of a quantitative analysis of subject knowledge in a visual form. Current knowledge graph analysis tools include HistCite Pro2.1 (Thomson Reuters, New York, NY, USA), SCI2 (Indiana University, Bloomington, IN, USA), VOSviewer1.6.20 (The Centre for Science and Technology Studies, Leiden, The Netherlands), and CiteSpace 5.7 (Red Sale University, Winter Park, FL, USA) []. CiteSpace is a widely used knowledge graph software based on the Java platform developed by Chen Chaomei of Drexel University in the United States. It can conduct co-citation, co-occurrence, and collaboration network analyses of database documents and intuitively express evolutionary trends, knowledge correlation status, and research frontiers []. CiteSpace has been used in more than 60 research fields, including computer science, information science, medicine, engineering, and business economics [].
CiteSpace was used to conduct a visual analysis of the literature within the realm of triangular mesh simplification. The research results mainly focused on various aspects, including the distribution of publication time, cooperation network structures, keyword co-occurrence patterns, identification of high-frequency research topics, detection of emerging words, and co-cited documents. Reference co-citation analysis, originally proposed by Small [], is a fundamental component of this approach. It establishes co-citation relationships between two papers if they are both cited by a third paper. In CiteSpace, the log-likelihood ratio (LLR) algorithm is utilized to extract noun terms from document titles, which helps name the research content corresponding to clusters []. Keyword cluster analysis provides insights into the overarching framework of the triangular grid model simplification and serves as a foundation for further developments in this field. The various parameters in the results help gauge the frequency and academic impact of each node.
3. Results
3.1. Analysis of Literature Development Trends
The number of published papers is an important indicator of research on triangular mesh simplification. The annual distribution of papers and their cumulative number since 1998 are shown in Figure 4. Figure 4 shows that research in this field has increased over the years, particularly in 2008 and 2010, when the number of published papers increased significantly. With the widespread application of 3D modeling in various fields, such as VR, game development, simulation, and medical image processing, researchers are continuously seeking more efficient and accurate simplified algorithms to meet the growing demand for complex models. Additionally, the improvement in computing power and the popularity of open-source software have provided researchers with additional resources and tools, motivating them to actively engage in research in this domain, thereby contributing to the increasing number of papers. As depicted in Figure 4, the number of papers related to triangular mesh model simplification saw a sharp increase from 2008 to 2010 and has continued to grow since then. This growth in the number of papers indicates that academic research on triangular mesh models has become more comprehensive and in-depth.

Figure 4.
Annual publications from 1998 to 2022.
3.2. Cooperation Network Analysis
3.2.1. Author Cooperation Network Analysis
The node type was set to ‘author’, and the time slice was set to ‘2 years’. This configuration resulted in a total of 266 nodes representing authors and 310 connections representing cooperative relationships (as shown in Figure 5), In Figure 5, the font size of an author’s name corresponds to their publication count; authors with more publications have larger font sizes. The cooperative relationship among various authors is depicted through connections, with greater connection density indicating closer collaboration. As observed in the figure, there are more nodes than connections in the graph, suggesting that scholars in this field often form small research networks. This tendency may be attributed to early stage researchers’ reluctance to invest significant time and resources in testing and verifying their ideas, leading them to prefer conducting research in smaller groups. However, it is noteworthy that several countries have increased their investments in this field in recent years, leading to a gradual increase in collaboration among researchers and scholars.

Figure 5.
Author collaboration network [,,,,,,,,,,,,,,,,,,,,,,,,,,,,,,,,,,,,,,,,,,,,,,,,,,,,,,,,,,,,,,,,,,,,,,,,,,,,,,,,,,,,,,,,,,,,,,,,,,,,,,,,,,,,,,,,,,,,,,,,,,,,,,,,,,,].
As shown in Table 1, Garland M. stands out as the most prolific author, having published a total of five articles and exerting significant influence in this field. Following closely behind are Dumitrescu, B. and Chang, E.Y., each with three articles to their credit. It is worth noting that Garland was the first to introduce the QEM algorithm in 1998, which has since gained substantial commercial value and found wide-ranging applications.

Table 1.
List of authors and number of records contributed.
3.2.2. Analysis of Institutional Cooperation Network
The node type was set to ‘institution’, and the time slice was set to ‘1 year’. Overall, 162 nodes and 110 connections were obtained, i.e., 162 institutions and 110 partnerships have performed relevant research in this field (Figure 6). In Figure 6, institutions with more publications have larger font sizes, stronger cooperative relationships between institutions, and a greater density of connections between nodes.

Figure 6.
Time zone view of the institution.
As shown in Figure 6 and Table 2, the Chinese Academy of Sciences has the highest number of publications (8 articles), followed by the University of Illinois System (5 articles) and Wuhan University (5 articles). The Chinese Academy of Sciences boasts the highest number of published articles, a distinction attributed to its status as one of China’s premier scientific research institutions. It attracts a multitude of outstanding scientific research talents from around the world and maintains extensive cooperative partnerships with the international scientific research community. These relationships enable the Chinese Academy of Sciences to actively participate in international projects, foster cooperation, and secure additional resources and technological support. It is worth noting that the Chinese Academy of Sciences not only leads in terms of publication volume but also excels in forging close cooperation with other institutions.

Table 2.
List of institutions and number of records contributed.
3.2.3. Analysis of National Cooperation Networks
The node type was configured as ‘country’, the time slice was set to ‘1 year’, and we sorted the data by time to create a time zone diagram reflecting the relationships between countries and the field. Overall, 107 nodes and 74 connections were obtained, indicating that 107 countries and 74 partnerships conducted relevant research within this field (Figure 7). The outer purple border of the node represents centrality, with thicker borders indicating higher centrality and greater academic influence.

Figure 7.
Time zone view of countries.
According to Table 3, the United States (1998) was the first country to study this field, followed by China (2001) and South Korea (2001). As shown in Figure 7 and Table 3, China published the highest number of articles (59), followed by the United States (23) and South Korea (13). The number of publications in China far exceeded those in the United States and South Korea. This trend is driven by China’s rapid advancements in information technology and the game industry, leading to an increased demand for graphics processing and 3D modeling technology. Triangular mesh model simplification technology finds wide applications in fields like game development, VR, and engineering modeling, which in turn attracts a growing number of researchers to delve into related studies. As illustrated in Figure 7, China has fostered the most cooperative relationships, contributing to accelerated research progress and allowing China to maintain its international competitiveness in the realm of triangular mesh model simplification.

Table 3.
List of countries and number of records contributed.
3.3. Keyword Analysis
3.3.1. Keyword Co-Occurrence Analysis
Research hotspots, which indicate the prevailing research focus and direction in this field, play a crucial role in analyzing the research context. Keywords serve as the primary feature words for identifying research hotspots in the literature, effectively highlighting the research focus within the realm of triangular mesh models. They are instrumental in uncovering evolving research hotspots and changing trends.
The node type was set to ‘keywords’, the time slice was set to ‘2 years’, and we sorted the data by time to generate a time zone diagram representing the keywords. In total, we identified 259 nodes within the triangular mesh model simplification field and 714 connections between these keywords (as depicted in Figure 8). Nodes and font size are scaled according to the number of keywords in the relevant literature, signifying the strength of relationships between keywords and the density of connections between nodes. The outer purple border of a node signifies its centrality, with the thickness of the border reflecting the node’s academic influence. In Figure 8, keywords with larger font sizes, such as QEM, mesh simplification, models, surface simplification, and level of detail, are observed. The font size of these keywords corresponds to their frequency within the 128 documents analyzed. Based on the presence of the purple border on the outer layer of the nodes, it becomes evident that mesh simplification and QEMs are the two central cores in this field. Consequently, all research endeavors within this domain must be founded in these two fundamental directions.

Figure 8.
Time zone view of keywords.
As observed from Table 4, among the 128 documents, mesh simplification appears the most (30 times), followed by the QEM (21 times) and vertex clustering (14 times). This is because the two most important dimensions in triangular mesh model simplification are the model-simplification and error-measurement methods, and all research must be conducted based on these two dimensions.

Table 4.
List of keywords and number of records contributed.
3.3.2. Analysis of High-Frequency Research Hotspots
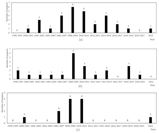
Using the keyword co-occurrence map, this research can analyze high-frequency research hotspots, providing a clear depiction of each keyword’s journey from emergence to development. In our analysis, we focused on the top four keywords that appeared most frequently in the literature. The development process is illustrated in Figure 9.


Figure 9.
High-frequency research hotspot analysis chart: (a) Mesh simplification; (b) QEM; (c) Vertex clustering; (d) Level of detail.
By analysing the four high-frequency research hotspots shown in Figure 9, we can draw the following conclusions:
- (a)
- An analysis of mesh simplification showed that the concept of triangular mesh model simplification appeared in 1998–1999, and the publication of related literature increased. Around 2008, the research results of this keyword reached a peak, after which the keyword attention decreased.
- (b)
- An analysis of the QEM showed that its development entered a stable period after the concept appeared in 1998, and research results exploded around 2008. After 2008, keyword attention decreased. Among the documents in which this keyword appears, Simplifying Surfaces with Color and Texture using Quadric Error Metrics, published by Garland (1998) [], has been cited the most, at 221 times. This paper proposes a surface-simplification algorithm based on iterative edge-collapsing and quadratic error metrics that can quickly obtain high-quality approximations of such models. Subsequent research on the QEM was mostly based on the algorithm proposed in this study and was improved to enhance the accuracy and running speed of the model.
- (c)
- Vertex clustering analysis revealed that a document related to vertex clustering was published in 1998. In 2008, the research results expanded to four articles. From 2008 to 2010, published documents stabilized at four articles. No relevant research has been conducted in this field since 2011. This is because the edge-collapsing method significantly improves the efficiency of model simplification. Therefore, this method will not be discussed in detail in the following section, and the focus will be on edge-collapsing and triangle-collapsing simplification algorithms.
An analysis of the level of detail revealed that there are few research articles on this topic. This research direction first appeared in 1998, and four articles were published between 2006 and 2009. Subsequently, research in this field has become colder, with no articles published from 2014 to 2022.
3.3.3. Mutation Word Analysis
Mutation words are keywords that show explosive growth during a certain period in the research field. Changes in emergent words directly reflect overall dynamic mutations in the research field. Mutation words in this field were analyzed based on the keyword time zone map, as shown in Table 5. From left to right in the figure, the emergent keywords are: time when the node appears, intensity of the burst, time when the burst appears, and time when the burst ends. The red, gray, and green in the chart represent the degree of interest of the keyword during the period 1998–2022, respectively. The red color represents that the keyword is a hot topic in that time period, the gray color represents that the keyword is not a hot topic in that time period, and the green color is in the middle of the two, which proves that the keyword has been studied by research scholars but is not the hottest topic in the field of triangular lattice model simplification.

Table 5.
Top 15 keywords with the strongest citation bursts.
It can be seen in Table 5 that keywords such as surface simplification and mesh model appeared earlier. After the concept of model simplification appeared in 1998, more in-depth research, such as the level of detail of the model, appeared. Research hotspots in recent years have included multiresolution analysis, modeling, and simplification. Simplification first appeared in 2011 and remained popular from 2020 to 2022. This shows that the simplified algorithms studied in the past have certain shortcomings that require improvement.
3.3.4. Keyword Cluster Analysis
Keywords are clustered according to CiteSpace software, and the clustering method is set to the LLR algorithm (log maximum likelihood algorithm). According to the results of automatic clustering, seven effective clusters were obtained after screening, as shown in Figure 10. The outer purple border of a node represents its centrality. The thicker the border, the higher the centrality of the node and the greater its academic influence. The seven clustering results were the QEM, edge collapsing, edge collapse, dynamic meshes, and feature preservation.

Figure 10.
Clustering of keywords.
The clustering results were analyzed and grouped into three groups:
- 1.
- Group 1: Computer graphics
The topic in the first group was computer graphics, which primarily comprised #1. The main keywords extracted from this cluster are mesh simplification, surface fitting, and computer graphics. This cluster introduces the basic knowledge of computer graphics and triangular mesh simplification.
- 2.
- Group 2: Error-measurement methods
The focus of the second group revolves around error-measurement methods, primarily encompassing #0. Within cluster #0, the principle keywords are QEM, mesh decimation, and geometry processing. This cluster delves into the realm of error-measurement techniques, with a particular emphasis on the study of quadratic error measures.
- 3.
- Group 3: Model-simplification algorithms
The third group is the model-simplification algorithms, which include #2, #3, #4, #5, and #6. Among them, #3 and #4 introduced a model-simplification method, namely, edge collapsing. The main keywords in these two clusters were edge collapse, level of detail, and surface simplification. This cluster mainly introduces a simplified edge-collapsing algorithm and an optimization algorithm based on edge collapse and QEM.
#2 primarily involves parallel simplification methods, with keywords encompassing algorithms, mesh generation, and topological simplification. This cluster primarily focuses on the execution of parallel edge-collapsing operations within distinct, strongly independent areas of the triangular mesh modeling.
#5 is primarily dedicated to the research of dynamic simplification algorithms, with keywords such as dynamic meshes, progressive meshes, and half-edge collapse. This cluster primarily focuses on the achievement of high-efficiency and high-quality multilevel detailed models through the application of the QEM algorithm.
#6 focuses mainly on the research on feature preservation, with keywords including feature preservation, models, and simplification. This cluster investigates enhancement to the QEM algorithm to better retain the detailed features of the model.
3.4. Co-Citation Analysis
3.4.1. Analysis of Co-Cited Documents
The node type was set to ‘co-cited documents’, the time slice was set to ‘2 years’, and the documents were sorted by time to generate co-citations and a time zone diagram of the field. The colors represent the distance in time, from purple to yellow for the period from 1998 to 2022, with colors closer to purple indicating further away and colors closer to yellow indicating closer. Overall, 359 nodes and 890 connections were obtained, indicating that 359 documents were jointly cited by the articles, and there were 890 cited relationships in these articles, as shown in Figure 11.

Figure 11.
Time zone view of the references [,,,,,,,,,,,,,,,,,,,,,,,,,,,,,,,,,,,,,,,,,,,,,,,,,,,,,,,,,,,,,,,,,,,,,,,,,,,,,,,,,,,,,,,,,,,,,,,,,,,,,,,,,,,,,,,,,,,,,,,,,,,,,,,,,,,].
In Figure 11, the font size of the authors’ names corresponds to their number of co-cited documents; authors with more co-cited documents have larger fonts. It can be seen from Figure 11 that the top three commonly cited documents are Lindstrom P.’s article on vertex clustering published in 2001 [], Hoppe H.’s “New Quadric Metric for Simplifying Meshes with Appearance Attributes” [], and Garland M.’s “Simplifying Surfaces with Color and Texture using Quadric Error Metrics” published in 1998 []. In research on the triangular mesh model simplification algorithm, Garland first proposed the edge-collapsing simplification algorithm, and Hoppe and others used appearance attributes as a criterion for model quality. Subsequent research was conducted based on these findings.
3.4.2. Analysis of Co-Cited Authors
The node type was set to ‘co-cited authors’, the time slice was set to ‘2 years’, and we sorted the data by time to generate a time zone diagram of co-cited authors. The colors represent the distance in time, from purple to yellow for the period from 1998 to 2022, with colors closer to purple indicating further away and colors closer to yellow indicating closer. Overall, 366 nodes and 1593 connections were obtained, i.e., 366 authors were jointly cited in the literature, and there were 1593 co-cited relationships among these authors, as shown in Figure 12.

Figure 12.
Time zone view of cited authors [,,,,,,,,,,,,,,,,,,,,,,,,,,,,,,,,,,,,,,,,,,,,,,,,,,,,,,,,,,,,,,,,,,,,,,,,,,,,,,,,,,,,,,,,,,,,,,,,,,,,,,,,,,,,,,,,,,,,,,,,,,,,,,,,,,,].
As observed in Figure 12 and Table 6, Garland has been cited the most (116 times), followed by Hoppe (83 times) and Cignoni (48 times). Garland proposed a surface-simplification algorithm based on iterative edge-collapsing and quadratic error metrics, which have the advantages of fast simplification speed and high simplification quality. Subsequent algorithm optimization was based on this method.

Table 6.
List of cited authors and number of records contributed.
3.4.3. Analysis of Co-Cited Journals
The node type was set to ‘co-cited journals’, and the time slice was set to ‘2 years’. The colors represent the distance in time, from purple to yellow for the period from 1998 to 2022, with colors closer to purple indicating further away and colors closer to yellow indicating closer. Overall, 344 nodes and 1561 connections were obtained. The outer purple border of a node represents its centrality. The thicker the border, the higher the centrality of the node and the greater its academic influence, as shown in Figure 13. As observed in Table 7, the COMPUT GRAPH FORUM has been cited the most (74 times), followed by COMP GRAPH (65 times) and COMP GRAPH (59 times). The COMPUT GRAPH FORUM has the highest number of citations. This journal is an international source of information for computer graphics professionals who are interested in developing global graphics. It is one of the main journals used by computer graphics researchers in commercial and academic environments.

Figure 13.
Time zone view of cited journals.

Table 7.
List of cited journals and number of records contributed.
3.5. Summary
Literature related to QEM algorithms can be visualized as a network diagram using CiteSpace. Through this visualization, we can intuitively understand the relationships within the research field of QEM algorithms. This includes citation relationships, co-citation relationships, author connections, and more. Such visualization helps us gain a more comprehensive understanding of the developmental trajectory of QEM-related algorithms within the academic domain.
By employing CiteSpace analysis, we can identify the primary research directions and hotspots within fields connected to QEM algorithms. Analyzing keywords and topics allows us to discern the specific aspects researchers have concentrated on in the realm of QEM algorithms and where prominent topics have emerged. Furthermore, through a thorough examination of literature citations, we can pinpoint QEM algorithm-related publications and discover studies that have significantly influenced the evolution of QEM algorithms.
Following the CiteSpace analysis, the subsequent steps involve reviewing and analyzing the specific algorithms associated with QEM based on the selected key literature. By reviewing these algorithms, we aim to provide researchers with a reference point for grasping the fundamental algorithms related to QEM in the following section.
4. Review of Model-Simplification Algorithms Based on QEM
4.1. Classification of Triangular Mesh-Simplification Algorithms
4.1.1. Edge-Collapsing Simplification Algorithm
The edge-collapsing [] algorithm simplifies 3D models (such as polygonal meshes). It was proposed by Hoppe []. The simplification step of this algorithm is to delete old points through calculation, obtain new vertices, connect the new vertex to the triangle around the original vertex, and reduce the number of faces in the model, thereby reducing its complexity. For example, in the edge-collapsing operation in Figure 14, vertices and are merged into a new vertex , the edge is folded, and the first-order neighborhood triangles around the edge are deleted. Simultaneously, the first-order neighborhood triangles of vertices and are adjusted, the vertices related to these triangles are connected with new vertices, and the triangular mesh structure of the model is maintained. This algorithm has a wide range of applications in fields such as VR and game development [].

Figure 14.
Edge-collapse operation.
4.1.2. Triangle-Collapsing Simplification Algorithm
A triangle-collapsing algorithm is commonly used to simplify the model. This concept was proposed by Zhou et al. []. This achieves efficient rendering and processing of the model by reducing the number of triangles while maintaining the shape and topology of the model. Triangle collapsing simplifies a triangle that meets the conditions in the triangle mesh into a vertex , connects all adjacent points of the three vertices of the triangle to the new vertex , and deletes the triangles adjacent to the triangle. This simplification algorithm deletes the basic elements as triangular patches. As shown in Figure 15, the folding triangle can delete triangles and vertices and generate a new vertex .

Figure 15.
Triangle-collapse operation.
4.2. Simplified Algorithm Principles
4.2.1. QEM Mesh-Simplification Algorithm
Garland et al. [] proposed an edge-collapsing mesh-simplification algorithm based on QEM. This method has high simplification efficiency, and the simplified model has high quality. This is currently the best method for triangular meshes and is generally recognized by the research community. The basic principle of this algorithm is to calculate the quadratic error matrix of each vertex in the triangular mesh model and express the folding cost of each edge as the sum of the quadratic error matrices. The folding cost was found to be small after obtaining the folding cost of all the edges. For the top heap, the vertex pairs of the small top heap were determined to be the optimal folding point pairs, and they were folded first when the model was simplified. The specific steps were as follows:
Suppose is a vertex in 3D space with coordinates . Define as the set of all triangles containing the vertex , and as the plane equation , where the triangle containing the vertex is located and , can be expressed as . Define the quadratic error measure of vertex v as the sum of the squares of the distances from vertex to the planes where these triangles are located, as follows:
Note , for the edge-collapsing operation . The cost of folding to a new vertex is , which is defined as follows:
In the folding process , the position of needs to be calculated. The coordinates of the new point must be such that the quadratic error of the edge is as small as possible, and the partial derivative of the quadratic error of the new vertex is required to obtain the value of the new vertex.
The calculated at this time is the target vertex position of the edge-collapsing operation. If the matrix representing obtained while solving this equation is irreversible, the best position on the folded edge is determined. If the vertex cannot meet the requirements, iterate between the midpoints of and to find a suitable position for .
The QEM algorithm still has room for improvement because it does not consider the geometric characteristics of the mesh of the model, such as the model surface curvature, the shape of the triangular mesh itself, and the area and volume of the folded area []. The optimization ideas for the subsequent algorithms are also based on these defects.
4.2.2. Mesh-Simplification Algorithm Based on the Local Area of Folded Vertices
To solve the shortcomings of the traditional QEM algorithm, in which the grid is evenly distributed and cannot highlight important features of the model, the local area [] measurement method is introduced to change the model features and folding order of vertices on the flat area while maintaining the original grid of the model’s geometric and visual characteristics. The specific steps were as follows:
The sum of the areas of all triangles in the first-order neighborhood triangle set around a vertex becomes the local area (LRA) of the vertex, as shown in Figure 16.

Figure 16.
Schematic of the local region.
Vertex is included in triangles numbered 1–8. Triangles 1–8 are first-order neighborhood triangles of vertex . Vertex has eight first-order neighborhood triangles, so its local area can be expressed as follows:
When calculating the edge-folding cost, we first calculate the folding cost of the vertex according to the steps in Garland M.’s algorithm, then divide the folding cost of the vertex by the sum of the first-order neighborhood triangle areas of the vertex and use the resulting new cost as the true collapse cost of the vertices.
As is a symmetric fourth-order matrix for a specific vertex, LRA is a known constant. Therefore, the matrix in the Garland M. algorithm can be re-unified as a new fourth-order symmetric matrix, as follows:
where .
Therefore, define as the new quadratic error matrix of vertex as the calculation standard for the folding cost. Experimental results show that this algorithm can achieve a higher simplification efficiency by simply adding a small amount of pre-processing time, solving the disadvantage of the important features of the model not being prominent, and maintaining the detailed features of the original model to a large extent. Visual degradation of the simplified model was significantly reduced [].
4.2.3. Mesh-Simplification Algorithm Based on Sharp Degree
To solve the problem that the current automatic surface-simplification algorithm ignores important geometric features of the model at low resolution, such as sharp corners or places with large curvatures, the concept of the sharp degree [] was added based on the Garland M. algorithm, which was introduced into the error measure to change the order of edge-folding to reasonably allocate triangular meshes, which are dense in areas with large curvatures and sparse in areas with small curvatures []. The specific steps of the algorithm are as follows:
Sharp edge: Given a threshold value for a certain edge, if the dihedral angle of the two faces connected to the edge (the dihedral angle is defined as the angle between the outer normals of the two faces) is greater than , the edge is recorded as sharp edges. Moreover, this stipulates that in models with boundaries, the boundary edges are sharp edges.
Sharpness degree of a vertex: The number of sharp edges adjacent to a vertex is called the sharpness degree of the vertex. The sharp degree is an integer, the minimum value is zero, and the maximum value is the degree of the point.
In this algorithm, a sharp degree is added to the quadratic error measure, and the penalty term is added to the original Equation (1), as follows:
where is a penalty coefficient, and the specific value must be set based on experience (probably Garland M.’s one-tenth of the mean error). Additionally, considering that is a fourth-order matrix and is a constant, we unify it into a new matrix, then
where represents the folding cost, is a constant defined, represents the penalty coefficient, and (10) is the fusion of into the symmetric matrix to form a new folding-cost error matrix.
Thus, (11) is defined as the new quadratic error matrix for vertex v as a measure of the edge-folding []. Meanwhile, as the mesh simplification proceeds, also becomes larger and larger, so in order to achieve the purpose of the sharp eigen degree penalty, it is also necessary to continuously increase the penalty coefficient . If the values of and need to be changed after each folding, not only is the calculation too frequent, but also additional storage space is required. In order to solve this problem, the sum of the penalty term of the two vertices in the edge folding is used as the penalty term of the new vertex in the implementation, which has been tested to achieve good experimental results.
This algorithm overcomes the shortcomings of a uniform grid distribution in the simplified model of the Garland M. algorithm and maintains the sharp characteristics of the model to a large extent such that the distribution of triangles in the final simplified grid changes with the change in curvature. This further reduces the degradation of the visual features of the simplified model [].
4.2.4. Mesh-Simplification Algorithm Based on Approximate Curvature of Folded Vertices
To improve the rendering rate, the memory occupied by the model must be reduced, and the appearance and shape of the model must be maintained better. The approximate curvature of the curve was proposed as a factor for measuring the richness of each area of the model. The specific steps are as follows:
The curvature of a curve is the rotation rate in the direction tangential to the arc length at a certain point on the curve [], which indicates the length of the curve that deviates from a straight line (Figure 17). Curvature of a curve is the rate of change of the tangent direction angle of a point on the curve with respect to the arc length: , where is the angle between tangent vectors There are two points and on the curve . and are the tangent vectors at vertex and vertex , respectively, and and are the normal vectors at vertex and vertex , respectively. Translating the tangent vectors and the normal vectors at vertex to vertex , the angle between the normal vectors and is , and the angle between the tangent vectors and is . Since and , is equal to , and the equation for the curvature of the curve is equivalent to .

Figure 17.
Curvature of the curve.
The greater the curvature, the greater the curvature of the curve, and vice versa. The equation for the curvature is as follows:
where represents this section of the curve, represents the angle between the tangent lines at the two endpoints of the curve, and represents the length of this curve. Curvature can accurately measure the unevenness of an aggregate. However, because the surface of a 3D model is a second-order, non-differentiable surface, an approximate curvature is used instead in practical applications. The approximate curvature equation is as follows:
where represents the edge determined by vertices ; represents the approximate curvature of edge ; represents the vertex normal vector of ; represents the angle between the two vertex normal vectors ; and represents the side length of the side determined by .
According to the above equation, it can be seen that the method of calculating the vertex normal vector determines the approximate curvature of this edge. This algorithm weighs the vertex normal vector by the area, and the interior angle of the triangle considers the influence of the size and shape of the triangle on the vertex normal vector and integrates more geometric features to reduce errors. The larger the area of first-order neighborhood triangles of a vertex, the greater the influence of that triangle on the normal vector of the vertex. When two triangles have the same area but significantly different shapes (Figure 18), to reflect the impact of different shapes on the vertex normal vector, the size of the inner angle of the triangle vertex is used for weighted correction, which can further reduce the error caused by the shape difference []. To summarize, the normal vector of vertex is expressed as
where represents the vertex normal vector of vertex , represents the interior angle size of a first-order neighborhood triangle corresponding to vertex , represents the area of this triangle, and represents the initial normal vector of this triangle.

Figure 18.
Interior angle difference.
Experiments have shown that this algorithm can better maintain the detailed geometric characteristics of a model and reduce model damage or detail loss caused by model simplification [].
4.2.5. Mesh-Simplification Algorithm Based on Triangle Importance
To ensure that the model can maintain good visual effects at low resolution during large-scale automatic simplification without excessively increasing the simplification error and time complexity, the algorithm introduces the concept of triangle importance [] and converts this factor into a secondary error measure that can not only measure the deviation but also reflects the local surface geometric changes of the model []. The specific steps are as follows:
For a given triangle , and vertex of , the importance of the triangle is defined as
where is the normal vector of vertex , is the normal vector of the plane where triangle is located, and , (Figure 19).

Figure 19.
Triangle normal vector and vertex normal vector.
As and are unit vectors, the inner product is the cosine of the angle between these two vectors. The normal vector of vertex can be obtained by determining the sum of the normal vectors of its associated triangular patches .
This inner product contains the changes in the dihedral angles between all triangular patches associated with and . When the local area of vertex is a plane, the dihedral angles of and are 0, and the importance of to is zero. When the local surface curvature of is large, the importance of to increases gradually. When is a local sharp or concave point, the importance of tends to be 1. It can be observed that the importance of the triangle reflects the surface fluctuations in the area near point . Embedding it into a quadratic error measure results in
Then, the quadratic error matrix of the vertex is
Through experiments, it was found that this algorithm overcame the shortcomings of Garland M.’s algorithm with a uniform grid distribution and Liu Xiaoli’s [] algorithm, with an insufficient response to surface changes. It reasonably distributes the grid density, maintains a few important geometric features, and provides an overall better visual experience.
4.2.6. Mesh-Simplification Algorithm Based on Triangle Collapsing
The triangle-collapse algorithm was first proposed by Zhou [] and other researchers. Compared with the QEM algorithm proposed by Garland, one triangle-collapsing operation is equivalent to two edge-collapsing operations, which overcomes the cumulative error caused by the new point-error matrix calculation in the Garland M. algorithm and has the advantages of faster speed and better effect. The algorithm can be described as follows.
A set of triangles in space, adjacent along common edges and at vertices, is defined as a triangle mesh . can be represented by the tuple composed of the vertex set and triangle set .
Definition 1.
For any edge in, if the edge is owned by only one triangle, it is called a boundary edge, and the triangle where the change occurs is called a boundary triangle.
Definition 2.
For any vertexin, the set composed of all triangleswithas a vertex is called triangle setrelated to vertex.
Definition 3.
For any trianglein, the union of the triangle sets related to the three vertices ofis called triangle setrelated to triangle.
There are two main problems in the triangle-folding operation []: the cost of the triangle-folding operation and how to select the position of the new vertex to minimize the error of the folding operation. To solve these problems, this algorithm uses a quadratic error measure to measure the triangular folding cost and sets a fourth-order symmetric matrix for each triangle in the original 3D model grid. The cost of folding triangle is
To determine the error matrix , we first determine the position of the new vertex . The best position is the point that minimizes . The position of can also be one of the three vertices of , the center, or the midpoint of the three sides, as the minimum value obtained by the above equation is determined. The partial derivatives of are found using the following equation:
A system of linear equations is obtained
If the system of equations has a solution, solving the system of equations provides
The position of is determined by (24). If the system of equations has no solution, takes the smallest point among the three vertices, center, and center of the three sides of the triangle.
For each triangle in the original mesh, the union of the triangle sets related to the three vertices of the triangle are found, and the adjacent triangle set of triangle is obtained. After performing the folding operation on triangle , the new vertex is obtained in . The distance between the planes where each triangle is located. The smaller the maximum distance, the more similar the simplified model is to the original model.
where represents the plane equation for each triangle in the triangle set related to triangle , and . Then, the above Equation (25) can be transformed into
Experiments have proven that this algorithm has a faster calculation speed, higher simplified model quality, and can better maintain the detailed features of the model and the overall visual effect [].
5. Discussion and Analysis
5.1. Discussion and Mainstream Framework Analysis Based on CiteSpace
Using the core collection of Web of Science as the analysis database and CiteSpace software for literature mining and information visualisation, we can intuitively display the current status and hotspots of triangular grid model simplification. Based on this, we sorted the research background, characteristics, application fields, and future development trends, as shown in Figure 20.

Figure 20.
Flowchart of the temporal development of QEM.
Based on the CiteSpace analysis and Figure 20, the following conclusions can be drawn:
- (1)
- It can be seen from the annual publication volume that research on triangular mesh model simplification generally shows an upward trend. Meanwhile, it can be predicted that with the continuous optimization of algorithms, research on triangular mesh model simplification will continue to maintain an upward trend and move towards higher levels of development in terms of quality and efficiency.
- (2)
- Judging from the analysis results of cooperation networks—whether it is authors, institutions, or countries—most researchers conduct research in small networks and focus more on their research. Based on the continuous optimization of the algorithms, the cooperative relationship will become closer in the future.
- (3)
- Keyword co-occurrence and cluster analysis show that in the field of triangular mesh model simplification, quadratic error measurement and edge collapse are still the main error-measurement methods and model-simplification methods for triangular mesh model simplification.
- (4)
- The distribution chart of the emergent words shows that the development of triangular grid model simplification is a process from macro to micro, from low efficiency and low quality to high efficiency and high quality. It is worth noting that in recent years, research on multi-level detail models has become more in-depth, which is beneficial to game development and animation production. Recently, scholars have focused on issues such as the slow running speed of serial mesh-simplification algorithms. It was proposed to collapse edges in parallel at a lower cost, thereby improving the efficiency of model simplification and better maintaining the details of the model. Triangular mesh model simplification is still being developed to increase the penalty factor, improve the efficiency of model simplification, and ensure the quality of the model.
- (5)
- From the perspective of co-citation analysis, whether co-cited documents, co-cited authors, or co-cited journals, the articles of Garland and Hoppe are still the basis for simplifying the triangular grid model. Research in this field is still in its infancy.
5.2. Case Analysis and Evaluation
Based on the above algorithm research, to illustrate the practical effect of the QEM algorithm, we collected a series of cases related to the algorithm (as shown in Table 8) and conducted comprehensive performance analyses of the triangular mesh-simplification algorithms in various experiments. We have also evaluated the efficiency and practical applicability of these algorithms (as shown in Table 9). Black stars represent points gained, and vice versa, the more black stars, the better the performance. By comparing the differences in model quality and simplification rates between each optimization algorithm and the QEM algorithm, a comprehensive score was derived for these optimization methods. Furthermore, we discussed the feasibility of applying this algorithm in practical scenarios.

Table 8.
Papers related to various algorithms.

Table 9.
Efficiency and performance of algorithms reported in previous papers.
As evident in the table above, each triangular mesh-simplification strategy presents its own set of advantages and drawbacks. The classic QEM algorithm [] offers exceptional performance in terms of simplification speed and model quality, and its implementation is straightforward. However, it does have its limitations. For example, when dealing with high-precision models, the simplified version may lose certain details and curvature features. Moreover, for large models, QEM may become more time-consuming due to the substantial number of matrix calculations and vertex mergers it involves. In [], the local area was integrated into the classical QEM algorithm as a penalty factor. Experimental results demonstrate that this algorithm can address the shortcomings of the traditional algorithm, which struggles with relatively uniform grid distributions and an inability to highlight important model features by increasing the simplification time. Literature [] optimizes the conventional algorithm by increasing the sharpness degree as a penalty factor and placing limited constraints on areas with substantial curvatures. However, the response to surface changes is not as pronounced. In [], the surface changes were further constrained by increasing the triangle importance factor. While maintaining a low error level, this method can retain a considerable number of essential geometric features and deliver better visual effects. In [], discrete curvature was employed to measure surface undulations in the model, thereby achieving good performance in experiments and overcoming the issue of uniform grid distribution in the traditional algorithm. Ref. [] utilizes local curvature to represent the concavity and convexity of the model, maintaining a high degree of model characteristics. Nonetheless, this algorithm lacks effective control over the overall error of the model. Refs. [,] optimized the traditional QEM algorithm using the approximate curvature of vertices and first-order neighborhood triangles. Ref. [] incorporated the approximate curvature of the vertices and the triangular mesh quality into a traditional QEM algorithm. Both methods effectively optimized the local features of the model. However, they increased the running time of the algorithm. In the future, the model processing time can be shortened by the parallel simplification of the research area segmentation. Ref. [] proposed a calculation method based on Voronoi pole eigenvalues and used it to describe the local characteristics of the surface and obtain the saliency of the vertices through Gaussian superposition. Superimposing the calculated vertex saliency onto the quadratic error matrix of the vertices can retain more triangular faces in a model with visually prominent features. Ref. [] proposed the triangular-collapse algorithm. A triangular collapse is equivalent to two edge collapses, which improves the simplification rate. A progressive mesh-construction method based on triangle-folding operations is proposed, which is faster than the QEM algorithm. However, it is difficult to simplify the calculation of new vertex positions, and the mesh simplification results are uniform. Ref. [] performs triangle folding by setting a threshold, and the folding rate is high. However, the threshold size needs to be established empirically, resulting in a model simplification quality that is not as good as that of the traditional QEM algorithm. Given the problems of poor feature preservation, uniform simplification results, and slow simplification speed of the above algorithms in mesh simplification, a triangular mesh-simplification algorithm based on feature preservation was proposed []. The algorithm uses the triangle-folding algorithm, and the original model is triangle pre-classification. During the simplification process, the triangle simplification order is controlled by the narrow length of the triangle, local area, and sharpness of the local area, which better maintains the original characteristics of the model and makes the simplification faster.
5.3. Summary
In the previous sections, we delved into the detailed advantages and innovations brought forth by the QEM algorithm. To begin with, the algorithm offers controllability and adjustable parameters, allowing for fine-tuning of the simplification process according to the need to strike a balance between model quality and simplification. Its rapid simplification makes it a suitable choice for real-time applications in small- and medium-sized models. We want to underscore that the QEM algorithm excels in retaining the geometric characteristics of the model while reducing the number of faces. These combined advantages underscore the significant value of the QEM algorithm in the realm of 3D model simplification. However, the limitations and challenges of the QEM algorithm are also discussed. Notably, when dealing with complex models, high-curvature areas, or large-scale models, the algorithm may induce certain geometric distortions, thereby impacting the quality of the simplified model. In our efforts to preserve model characteristics, we introduced a series of penalty factors, including considerations like local area, vertex approximate curvature, and triangular mesh quality, to optimize the QEM algorithm. Throughout this process, we came to realize that unevenly distributed vertex densities or high-precision models could affect the algorithm’s stability, indicating room for improvement in its universality. These challenges underscore the need for continued research and development.
6. Conclusions
Owing to the rapid development of Internet technology, VR, mixed reality, and other technologies, the reliance on lightweight models is increasing, and 3D model-simplification algorithms represented using discrete triangular meshes have become important in practical engineering applications. Therefore, this study provides a detailed review of a QEM triangular mesh-simplification algorithm with better engineering performance and an improved algorithm based on the QEM. Subsequently, CiteSpace was used to conduct a visual analysis of the literature, sort the overall development and research trends of QEM algorithms, and obtain the contentious research topics in this field, providing a theoretical basis for subsequent research. Next, popular algorithms were introduced, and a deeper understanding of QEM algorithms was provided. Finally, the development trends of the algorithms were discussed, the efficiency and performance in practical applications were compared, and the advantages and disadvantages of the algorithms were summarized to pave the way for future research.
QEM algorithms effectively manage and optimize 3D models while meeting lightweight requirements, making them a widely utilized tool across various engineering fields, yielding impressive results. The simplicity of QEM algorithms contributes to cost reduction and enhanced computing performance. For example, in VR, gaming, and simulation applications, QEM algorithms serve to generate simplified models suitable for real-time rendering, thereby improving real-time performance. This, in turn, leads to smoother and more realistic virtual experiences, propelling the development of VR and augmented reality technologies. In the medical field, QEM algorithms play a vital role in simplifying and optimizing 3D medical models, facilitating precise surgical planning, case analysis, and medical research. This advancement significantly benefits medical practice and elevates the quality of patient care. Therefore, numerous companies opt for QEM algorithms to enhancee their products and services with high commercial value.
The CiteSpace analysis revealed an upward trend in the number of published articles, implying that research on triangular mesh model simplification continues to increase. Moreover, as the field of computer science has garnered increased attention in recent years, connections between various research institutions have strengthened. Judging from the co-citation analysis, current research in this field is still optimized based on Garland M.’s research and continues to progress towards high quality and efficiency. The QEM and mainstream optimization algorithm analyses revealed that most of the optimization algorithms optimize the iteration sequence of triangular meshes by adding geometric attributes, such as the local area, vertex sharpness, and approximate curvature of vertices. These optimization algorithms overcome the shortcomings of QEM algorithms, which have a uniform grid distribution and cannot highlight important features of the model or improve its accuracy, while increasing the time consumed for model simplification. However, some optimization algorithms do not fully consider the addition of geometric constraints. This can easily increase the error during model simplification and affect the quality of model monitoring. For example, when introducing vertex sharpness, Liu Xiaoli’s algorithm adds a penalty term such that the initial error of the original vertex is not 0 and increases the value of the last element of the vertex quadratic error measure matrix, thereby affecting the accuracy of the optimal position of the new vertex and resulting in a large error. When using the vertex approximate curvature as a constraint, the influence of the size and shape of the triangle on the vertex normal vector must be considered. When two triangles have the same area but significantly different shapes, the internal angle of the triangular vertex is used to reflect the influence of different shapes on the vertex normal vector. The size is weighed and corrected to further reduce the error caused by shape differences. When multiple geometric attributes are used to constrain the folding cost, it is necessary to consider the simplification efficiency and overall error of the triangular mesh model to select an appropriate simplification strategy. Evidently, there is still room for development to improve and optimize QEM algorithms. Therefore, researchers and engineers should continue exploring new technologies and methods to further improve the performance and applicability of QEM algorithms. Future optimization directions can be explored in-depth based on the following aspects.
- (1)
- Efficient performance optimization: Future research may focus on further optimizing the computing performance of the QEM algorithm to adapt it to larger-scale and more complex 3D models. This can be achieved by improving the data structure of the algorithm, parallel computing, and GPU acceleration.
- (2)
- Adaptive simplification: The QEM algorithm can be combined with adaptive methods, enabling the determination of the degree of mesh simplification based on the details and characteristics of various areas within the model. This approach proves effective in reducing the number of mesh vertices while preserving important details.
- (3)
- Combination methods: Integrating the QEM algorithm with other grid simplification techniques, potentially resulting in a simplification strategy with more comprehensive performance. For example, the shape difference between the simplified mesh and the original mesh can be measured by introducing the Hausdorff distance, and the QEM algorithm can be tuned and optimized using this metric. The Hausdorff distance can be added as an additional constraint to the QEM algorithm. Before each vertex merge operation, the Hausdorff distance between the merged simplified mesh and the original mesh is checked to see if it satisfies the preset threshold requirement. If the threshold is not satisfied, the merge operation is not performed to maintain the geometric features between the simplified mesh and the original mesh. Through the iterative optimization process, the shape difference of the simplified mesh can be gradually improved and the geometric quality can be enhanced to improve the problem of detail loss in the QEM algorithm.
In summary, QEM algorithms, as a classic model-simplification technology, play an important role in the realm of 3D graphics and related fields. They offer practical solutions for optimizing, rendering, and transmitting 3D models, making them a convenient choice for real-world applications. However, the performance and applicability of QEM algorithms may vary in different application scenarios. Therefore, their utilization in practical applications requires comprehensive consideration. Future research efforts will center on enhancing algorithm performance, adapting to diverse situations, exploring new application areas, and integrating with other technologies. These developments will further expand the practicality and applicability of QEM algorithms in 3D model processing.
Author Contributions
Conceptualization, H.C. and Y.D.; developed method, H.C.; computer programming, H.C.; Paper organizing, Y.D. and D.Z.; investigation, Y.D., D.Z. and X.S.; writing—original draft preparation, I.L. and X.S.; Supervision and review, H.C. and Y.Y. All authors have read and agreed to the published version of the manuscript.
Funding
This research was supported under the National Key R&D Program of China (2022YFB3303200).
Data Availability Statement
Data are contained within the article.
Conflicts of Interest
Author Xinxin Su was employed by the company SHANDONG HUAYUN TECHNOLOGY CO., LTD. The remaining authors declare that the research was conducted in the absence of any commercial or financial relationships that could be construed as a potential conflict of interest.
References
- Kalvin, A.D.; Taylor, R.H. Superfaces: Polygonal mesh simplification with bounded error. IEEE Comput. Graph. Appl. 1996, 16, 64–77. [Google Scholar] [CrossRef]
- Garland, M.; Heckbert, P.S. Surface simplification using quadric error metrics. In Proceedings of the 24th Annual Conference on Computer Graphics and Interactive Techniques, Los Angeles, CA, USA, 3–8 August 1997; pp. 209–216. [Google Scholar]
- Schroeder, W.J.; Zarge, J.A.; Lorensen, W.E. Decimation of triangle meshes. Comput. Graph. 1992, 26, 65–70. [Google Scholar] [CrossRef]
- Hoppe, H. New Quadric Metric for Simplifying Meshes with Appearance Attributes. Progressive Meshes; ACM Digital Library: Beijing, China, 1996; pp. 99–108. [Google Scholar]
- Chu, S.R.; Niu, Z.X.; Song, C.H.; Niu, B.N. Progressive mesh simplification algorithm for mobile devices. J. Comput. Appl. 2020, 40, 806–811. [Google Scholar]
- Liu, J.; Fan, H.; Sun, Y.; Lu, X.Y.; Liu, Y. Mesh Simplification Algorithm Combined with Edge Collapse and Local Optimization. J. Comput. Appl. 2016, 36, 535–540. [Google Scholar]
- Li, S.Q.; Huo, L.; Shen, T.; Zhu, J.; Li, P.Y.; Liu, H.T. A Simplification Algorithm for Edge Collapse of 3D Building Model Considering Angle Error. Geomat. Inf. Sci. Wuhan Univ. 2021, 46, 1209–1215. [Google Scholar] [CrossRef]
- Wei, N.; Xu, T.T.; Gao, K.Y.; Dong, F.M. Mesh Simplification Weighted by Voronoi Poles Feature Computed Saliency. J. Graph. 2017, 38, 314–319. [Google Scholar]
- Zhang, Y.; Wang, S.Y.; Zheng, Q.; Zhang, H.Z. Lightweight Algorithm of 3D Mesh Model for Preserving Detailed Geometric Features. J. Comput. Appl. 2023, 43, 1226–1232. [Google Scholar]
- Ahmed, A.; Hafiz, R.; Khan, M.M.; Cho, Y.; Cha, J. Geometric Correction for Uneven Quadric Projection Surfaces Using Recursive Subdivision of Bezier Patches. Etri J. 2013, 35, 1115–1125. [Google Scholar] [CrossRef]
- Ahn, J.H.; Chang, E.Y.; Ho, Y.S. Shape-preserving progressive coding of 3-D models. In Proceedings of the International Conference on Image Processing (ICIP 2001), Thessaloniki, Greece, 7–10 October 2001; pp. 118–121. [Google Scholar]
- Ai, B.; Wang, L.; Yang, F.; Bu, X.; Lin, Y.; Lv, G. Continuous-Scale 3D Terrain Visualization Based on a Detail-Increment Model. Isprs Int. J. Geo-Inf. 2019, 8, 465. [Google Scholar] [CrossRef]
- Zhang, Y.R. Improved Quadric Error Metrics Algorithm Combining Edge Splitting. Comput. Syst. Appl. 2022, 31, 271–278. [Google Scholar] [CrossRef]
- Ma, Y.J.; Wang, S.D.; Ou, Y.T. 3D Surface Model Simplification Algorithm Based on Improved QEM. J. Gansu Sci. 2022, 34, 28–33. [Google Scholar] [CrossRef]
- Alvarez, R.; Tortosa, L.; Vicent, J.F.; Zamora, A. Comparing GNG3D and Quadric Error Metrics Methods to Simplify 3D Meshes. In Proceedings of the 4th International Conference on Computer Vision Theory and Applications, Lisbon, Portugal, 5–8 February 2009; pp. 99–102. [Google Scholar]
- Bahirat, K.; Lai, C.; McMahan, R.P.; Prabhakaran, B. Designing and Evaluating a Mesh Simplification Algorithm for Virtual Reality. Acm Trans. Multimed. Comput. Commun. Appl. 2018, 14, 1–26. [Google Scholar] [CrossRef]
- Bahirat, K.; Lai, C.; McMahan, R.P.; Prabhakaran, B. A Boundary and Texture Preserving Mesh Simplification Algorithm for Virtual Reality. In Proceedings of the 8th ACM Multimedia Systems Conference (MMSys), Taipei, Taiwan, 20–23 June 2017; pp. 50–61. [Google Scholar]
- Berner, U.; Rieger, T. Surface simplification guided by morph-targets. In Proceedings of the 1st International Conference on Computer Graphics Theory and Applications (GRAPP 2006), Setubal, Portugal, 25–28 February 2006; pp. 116–121. [Google Scholar]
- Chang, E.Y.; Ahn, C.F.; Ho, Y.S. Three-dimensional mesh simplification using normal variation error metric and modified subdivided edge classification. In Proceedings of the Conference on Visual Communications and Image Processing 2003, Lugano, Switzerland, 8–11 July 2003; pp. 1216–1223. [Google Scholar]
- Chang, E.Y.; Ho, Y.S. Three-dimensional mesh simplification by subdivided edge classification. In Proceedings of the IEEE Region 10 International Conference on Electrical and Electronic Technology, Singapore, 19–22 August 2001; pp. 39–42. [Google Scholar]
- Chang, M.; Park, S.C. Range data simplification for reverse engineering. Int. J. Adv. Manuf. Technol. 2009, 41, 86–96. [Google Scholar] [CrossRef]
- Chen, H.-H.; Luo, X.-N.; Ling, R.-T. Mesh simplification algorithm based on n-edge mesh collapse. In Proceedings of the 16th International Conference on Artificial Reality and Telexistence, Hangzhou, China, 29 November–2 December 2006; pp. 764–774. [Google Scholar]
- Chen, H.-H.; Luo, X.-N.; Ling, R.-T. Surface simplification using multi-edge mesh collapse. In Proceedings of the 4th International Conference on Image and Graphics, Sichuan University, Chengdu, China, 22–24 August 2007; pp. 954–959. [Google Scholar]
- Chen, H.-K.; Fahn, C.-S.; Tsai, J.J.P.; Lin, M.-B. A novel cache-based approach to large polygonal mesh simplification. J. Inf. Sci. Eng. 2006, 22, 843–861. [Google Scholar]
- Chen, J.; Luo, Y.; Du, W. Research on BIM Forward Design Based on Oblique Photogrammetry Reality Model. In Proceedings of the 3rd International Workshop on Renewable Energy and Development (IWRED), Guangzhou, China, 8–10 March 2019. [Google Scholar]
- Chen, J.-X.; Hu, H.-H. One Mesh Model Simplification Method Based on Shape Transform of Triangles. In Proceedings of the 16th International Conference on Artificial Reality and Telexistence, Hangzhou, China, 29 November–2 December 2006; pp. 507–512. [Google Scholar]
- Chen, Y.-L.; Zhang, X. A memory effective two-phase approach for large scanned surface mesh simplification. In Proceedings of the IEEE International Conference on Shape Modeling and Applications, Stony Brook, NY, USA, 4–6 June 2008; pp. 275–276. [Google Scholar]
- Cioaca, T.; Dumitrescu, B.; Stupariu, M.-S. Graph-Based Wavelet Representation of Multi-Variate Terrain Data. Comput. Graph. Forum 2016, 35, 44–58. [Google Scholar] [CrossRef]
- Cioaca, T.; Dumitrescu, B.; Stupariu, M.-S. Lazy Wavelet Simplification using Scale-dependent Dense Geometric Variability Descriptors. Control. Eng. Appl. Inform. 2017, 19, 15–26. [Google Scholar]
- Cioaca, T.; Dumitrescu, B.; Stupariu, M.-S.; Patru-Stupariu, I.; Naparus, M.; Stoicescu, I.; Peringer, A.; Buttler, A.; Golay, F. Heuristic-driven Graph Wavelet Modeling of Complex Terrain. In Proceedings of the 6th International Conference on Graphic and Image Processing (ICGIP), Beijing, China, 24–26 October 2015. [Google Scholar]
- Coll, N.; Paradinas, T. Accurate Simplification of Multi-Chart Textured Models. Comput. Graph. Forum 2010, 29, 1842–1853. [Google Scholar] [CrossRef]
- Daniels, J.; Silva, C.T.; Shepherd, J.; Cohen, E. Quadrilateral Mesh Simplification. Acm Trans. Graph. 2008, 27, 1–9. [Google Scholar] [CrossRef]
- Deng, Z.-J.; Luo, X.-N.; Miao, X.-P. Automatic Cage Building with Quadric Error Metrics. J. Comput. Sci. Technol. 2011, 26, 538–547. [Google Scholar] [CrossRef]
- Dong, W.L.; Li, J.K.; Kuo, C.C.J. Fast mesh simplification for progressive transmission. In Proceedings of the 1st IEEE International Conference on Multimedia and Expo (ICME2000), New York, NY, USA, 30 July–2 August 2000; pp. 1731–1734. [Google Scholar]
- Du, Z.; Chiang, Y.-J. Out-of-Core Simplification and Crack-Free LOD Volume Rendering for Irregular Grids. Comput. Graph. Forum 2010, 29, 873–882. [Google Scholar] [CrossRef]
- Duarte, R.L.P.; El Rhalibi, A.; Carter, C.; Cooper, S.; Merabti, M. An MPEG-4 Quadric-based LoD Simplification for Facial Animation. In Proceedings of the International Conference on Multimedia Computing and Systems (ICMCS), Tangiers, Morocco, 10–12 May 2012; pp. 743–748. [Google Scholar]
- Fahn, C.S.; Chen, H.K.; Shiau, Y.H. Computer Society. Polygonal mesh simplification with face color and boundary edge preservation using quadric error metric. In Proceedings of the 4th International Symposium on Multimedia Software Engineering, Newport Beach, CA, USA, 11–13 December 2002; pp. 174–181. [Google Scholar]
- Fang, L.; Liu, Q.; Zhang, D. A Digital Twin-Oriented Lightweight Approach for 3D Assemblies. Machines 2021, 9, 231. [Google Scholar] [CrossRef]
- Feciskanin, R.; Minar, J. Polygonal simplification and its use in DEM generalization for land surface segmentation. Trans. Gis 2021, 25, 2361–2375. [Google Scholar] [CrossRef]
- Gao, Y.; Wang, R.; Yuan, J. Interest Points Guided Mesh Simplification. In Proceedings of the International Conference on Information Technology and Management Innovation (ICITMI2012), Guangzhou, China, 10–11 November 2013; pp. 2320–2323. [Google Scholar]
- Garland, M.; Heckbert, P.S. Simplifying surfaces with color and texture using quadric error metrics. In Proceedings of the 9th Annual IEEE Conference on Visualization (VIS 98), Research Triangle Park, NC, USA, 18–23 October 1998; pp. 263–269. [Google Scholar]
- Garland, M.; Shaffer, E. A multiphase approach to efficient surface simplification. In Proceedings of the IEEE Visualization 2002 Conference, Boston, MA, USA, 30 October–1 November 2002; pp. 117–124. [Google Scholar]
- Garland, M.; Zhou, Y. Quadric-based simplification in any dimension. Acm Trans. Graph. 2005, 24, 209–239. [Google Scholar] [CrossRef]
- Ghazanfarpour, A.; Mellado, N.; Himeur, C.E.; Barthe, L.; Jessel, J.-P. Proximity-aware multiple meshes decimation using quadric error metric. Graph. Model. 2020, 109, 101062. [Google Scholar] [CrossRef]
- Greb, A.; Klein, R. Efficient representation and extraction of 2-manifold isosurfaces using kd-trees. In Proceedings of the 11th Pacific Conference on Computer Graphics and Applications, Canmore, Canada, 8–10 October 2003; pp. 364–376. [Google Scholar]
- Gress, A.; Klein, R. Efficient representation and extraction of 2-manifold isosurfaces using kd-trees. Graph. Model. 2004, 66, 370–397. [Google Scholar] [CrossRef]
- Heckbert, P.S.; Garland, M. Optimal triangulation and quadric-based surface simplification. Comput. Geom. Theory Appl. 1999, 14, 49–65. [Google Scholar] [CrossRef]
- Heok, T.K.; Daman, D.; Bade, A.; Sunar, M.S. Simplifying massive datasets with color and texture in 3D real-time game engine development. In Proceedings of the 5th International Conference on Intelligent Games and Simulation, Ghent, Belgium, 25–27 November 2004; pp. 65–70. [Google Scholar]
- Hu, Z.-Z.; Yuan, S.; Benghi, C.; Zhang, J.-P.; Zhang, X.-Y.; Li, D.; Kassem, M. Geometric optimization of building information models in MEP projects: Algorithms and techniques for improving storage, transmission and display. Autom. Constr. 2019, 107, 102941. [Google Scholar] [CrossRef]
- Ismail, N.A.F.B.; Rahim, M.S.M.; Daman, D.; Kamarudin, S.N. Out of Core Simplification with Appearance Preservation for Computer Game Applications. In Proceedings of the 11th International Conference on Computer Modelling and Simulation (UKSim 2009), Emmanuel Coll, Cambridge, UK, 25–27 March 2009; pp. 417–424. [Google Scholar]
- Ivo, R.F.; Vidal, C.A.; Cavalcante-Neto, J.B. Improved silhouette rendering and detection of splat-based models. Comput. Graph. UK 2020, 93, 39–50. [Google Scholar] [CrossRef]
- Jang, J.; Ribarsky, W.; Shaw, C.; Wonka, P. Appearance-preserving view-dependent visualization. In Proceedings of the IEEE Visualization 2003 Conference, Seattle, WA, USA, 19–24 October 2003; pp. 473–480. [Google Scholar]
- Jeong, W.K.; Kahler, K.; Seidel, H.P. Subdivision surface simplification. In Proceedings of the 10th Pacific Conference on Computer Graphics and Applications, Beijing, China, 9–11 October 2002; pp. 477–480. [Google Scholar]
- Jiao, X.; Colombi, A.; Ni, X.; Hart, J. Anisotropic mesh adaptation for evolving triangulated surfaces. Eng. Comput. 2010, 26, 363–376. [Google Scholar] [CrossRef]
- Jong, B.S.; Tseng, J.L.; Yang, W.H. An efficient and low-error mesh simplification method based on torsion detection. Vis. Comput. 2006, 22, 56–67. [Google Scholar] [CrossRef]
- Jun, L.; Shi, J. A mesh simplification method based on shape feature. In Proceedings of the 8th International Conference on Signal Processing, Guilin, China, 16–20 November 2006; p. 1576. [Google Scholar]
- Kim, H.S.; Choi, H.K.; Lee, K.H. Mesh simplification with vertex color. In Proceedings of the 5th International Conference on Geometric Modeling and Processing (GMP 2008), Hangzhou, China, 23–25 April 2008; pp. 258–271. [Google Scholar]
- Kim, S.J.; Kim, S.K.; Kim, C.H. Discrete differential error metric for surface simplification. In Proceedings of the 10th Pacific Conference on Computer Graphics and Applications, Beijing, China, 9–11 October 2002; pp. 276–283. [Google Scholar]
- Kim, S.-K.; An, S.-O.; Hong, M.; Park, D.-S.; Kang, S.-J. Decimation of human face model for real-time animation in intelligent multimedia systems. Multimed. Tools Appl. 2010, 47, 147–162. [Google Scholar] [CrossRef]
- Kishore, R.R.; Singh, Y.; Reddy, B.V.R. Quality Simplification of 3D Polygonal Model Using Quadric Error Metric Through MAYA API. In Proceedings of the 3rd Annual International Conference on Computer Games Multimedia and Allied Technologies (CGAT), Singapore, 6–7 April 2010; pp. 127–135. [Google Scholar]
- Kun, Z.; Wang, Y.G.; Shi, J.Y.; Pan, Z.G. Surface simplification using rendering error metrics. In Proceedings of the 3rd International Conference on Virtual Reality and Its Application in Industry, Hangzhou, China, 9–12 April 2003; pp. 62–71. [Google Scholar]
- Lee, S.J.; Park, M.K.; Lee, K.H. Full 3D surface reconstruction of partial scan data with noise and different levels of scale. J. Mech. Sci. Technol. 2014, 28, 3171–3180. [Google Scholar] [CrossRef]
- Li, G.M.; Jie, T.A.; Zhao, M.C.; He, H.G.; Zhang, X.P. A new mesh simplification algorithm combining half-edge data structure with modified quadric error metric. In Proceedings of the 16th International Conference on Pattern Recognition (ICPR), Quebec City, QC, Canada, 11–15 August 2002; pp. 659–662. [Google Scholar]
- Li, N.; Gao, P.; Lu, Y.; Li, A.; Yu, W. A New Adaptive Mesh Simplification Method Using Vertex Clustering with Topology-and-Detail Preserving. In Proceedings of the International Symposium on Information Science and Engineering, Shanghai, China, 20–22 December 2008; pp. 150–153. [Google Scholar]
- Li, P.; Wang, B.; Sun, F.; Guo, X.; Zhang, C.; Wang, W. Q-MAT: Computing Medial Axis Transform by Quadratic Error Minimization. Acm Trans. Graph. 2015, 35, 1–16. [Google Scholar] [CrossRef]
- Li, Q.; Wang, Z.; Yang, B. Multi-resolution representation of digital terrain models with terrain features preservation. Sci. China Ser. E-Technol. Sci. 2008, 51, 145–154. [Google Scholar] [CrossRef]
- Li, S.; Tang, J.; Wu, G. Geologic surface reconstruction based on fault constraints. In Proceedings of the 2nd International Workshop on Digital Media and its Application in Museum and Heritage, Chongqing, China, 10–12 December 2007; pp. 163–168. [Google Scholar]
- Li, W.; Zhou, Y.; Zhang, C.; Li, X. Robust multi-level partition of unity implicits from triangular meshes. Comput. Animat. Virtual Worlds 2014, 25, 115–127. [Google Scholar] [CrossRef]
- Liang, Y.; He, F.; Zeng, X.; Yu, B. Feature-preserved convolutional neural network for 3D mesh recognition. Appl. Soft Comput. 2022, 128, 109500. [Google Scholar] [CrossRef]
- Lindstrom, P.; Silva, C.T. A memory insensitive technique for large model simplification. In Proceedings of the IEEE Visualization Conference, San Diego, CA, USA, 21–26 October 2001; pp. 121–126. [Google Scholar]
- Lu, W.; Zeng, D.; Pan, J. QEM-based mesh simplification with effective feature-preserving. In Proceedings of the 2nd International Conference on Virtual Reality held at the HCI International 2007, Beijing, China, 22–27 July 2007; pp. 122–131. [Google Scholar]
- Luo, D.; Tan, G. Research of Edge-collapse-based 3-D Model Simplification. In Proceedings of the 1st International Symposium on Computational Intelligence and Design, Wuhan, China, 17–18 October 2008; pp. 75–78. [Google Scholar]
- Luo, M.; Bors, A.G. Shape watermarking based on minimizing the quadric error metric. In Proceedings of the IEEE International Conference on Shape Modeling and Applications, Beijing, China, 26–28 June 2009; pp. 103–110. [Google Scholar]
- Ma, T.; Gong, G.; Yan, J. A 3D Model Simplification Algorithm Based on Edge-Collapse. In Proceedings of the 10th IEEE International Conference on Industrial Informatics (INDIN), Beijing, China, 25–27 July 2012; pp. 776–779. [Google Scholar]
- Mao, Y.; Yang, J.; Zhu, B.; Yang, Y. A New Mesh Simplification Algorithm based on Quadric Error Metric. In Proceedings of the 5th IEEE International Conference on Consumer Electronics Berlin, Berlin, Germany, 6–9 September 2015; pp. 463–466. [Google Scholar]
- Marvie, J.-E.; Krivokuca, M.; Guede, C.; Ricard, J.; Mocquard, O.; Tariolle, F.-L. Compression of Time-Varying Textured Meshes using Patch Tiling and Image-based Tracking. In Proceedings of the 10th European Workshop on Visual Information Processing (EUVIP), Lisbon, Portugal, 11–14 September 2022. [Google Scholar]
- Miao, Y.-w.; Hu, F.-x.; Chen, M.-y.; Liu, Z.; Shou, H.-h. Visual salience guided feature-aware shape simplification. J. Zhejiang Univ. Sci. C-Comput. Electron. 2014, 15, 744–753. [Google Scholar] [CrossRef]
- Mun, D.; Kim, B.C. Three-dimensional solid reconstruction of a human bone from CT images using interpolation with triangular Bezier patches. J. Mech. Sci. Technol. 2017, 31, 3875–3886. [Google Scholar] [CrossRef]
- Natarajan, V.; Edelsbrunner, H. Simplification of three-dimensional density maps. IEEE Trans. Vis. Comput. Graph. 2004, 10, 587–597. [Google Scholar] [CrossRef]
- Page, D.L.; Sun, Y.; Koschan, A.F.; Paik, J.K.; Abidi, M.A. Simultaneous mesh simplification and noise smoothing of range images. In Proceedings of the IEEE International Conference on Image Processing, Rochester, NY, USA, 22–25 September 2002; pp. 821–824. [Google Scholar]
- Panchal, D.; Jayaswal, D. Feature sensitive geometrically faithful highly regular direct triangular isotropic surface remeshing. Sadhana-Acad. Proc. Eng. Sci. 2022, 47, 94. [Google Scholar] [CrossRef]
- Papageorgiou, A.; Platis, N. Triangular mesh simplification on the GPU. Vis. Comput. 2015, 31, 235–244. [Google Scholar] [CrossRef]
- Patel, A.; Smith, W.A.P. Simplification of 3D Morphable Models. In Proceedings of the IEEE International Conference on Computer Vision (ICCV), Barcelona, Spain, 6–13 November 2011; pp. 271–278. [Google Scholar]
- Pauly, M.; Gross, M.; Kobbelt, L.P. Efficient simplification of point-sampled surfaces. In Proceedings of the IEEE Visualization 2002 Conference, Boston, MA, USA, 30 October–1 November 2002; pp. 163–170. [Google Scholar]
- Preda, M.; Tran, S.; Preteux, F. Adaptation of quadric metric simplification to MPEG-4 animated object. In Advances in Multimedia Information Processing—Pcm 2005, Pt 1; Ho, Y.S., Kim, H.J., Eds.; Lecture Notes in Computer Science; Springer: Berlin/Heidelberg, Germany, 2005; Volume 3767, pp. 49–60. [Google Scholar]
- Qiao, J.; Li, F.; Yu, Y. Salient Global Geometry Features Preserving Mesh Simplification. In Proceedings of the IEEE 16th International Conference on Communication Technology (ICCT), Beijing, China, 18–20 October 2015; pp. 320–327. [Google Scholar]
- Sappa, A.D.; Rouhani, M. Efficient distance estimation for fitting implicit quadric surfaces. In Proceedings of the 16th IEEE International Conference on Image Processing, Cairo, Egypt, 7–10 November 2009; pp. 3521–3524. [Google Scholar]
- Schmalzl, J.; Loddoch, A. Using subdivision surfaces and adaptive surface simplification algorithms for modeling chemical heterogeneities in geophysical flows. Geochem. Geophys. Geosyst. 2003, 4, 8302. [Google Scholar] [CrossRef]
- Shaffer, E.; Garland, M. Efficient adaptive simplification of massive meshes. In Proceedings of the IEEE Visualization Conference, San Diego, CA, USA, 21–26 October 2001; pp. 127–134. [Google Scholar]
- Sun, J.; Zhang, H. Research on Algorithm Based-on the Fitting Algorithm of Subdivision Surface from Noising and Dense Triangular Meshes. In Proceedings of the International Forum on Information Technology and Applications (IFITA 2009), Chengdu, China, 15–17 May 2009; pp. 608–611. [Google Scholar]
- Sung, M.-H.; Lim, H.; Kim, H.-G.; Ahn, S.C. Image unprojection for 3D surface reconstruction: A triangulation-based approach. In Proceedings of the 20th IEEE International Conference on Image Processing (ICIP), Melbourne, Australia, 15–18 September 2013; pp. 161–165. [Google Scholar]
- Takeuchi, S.; Kanai, T.; Suzuki, H.; Shimada, K.; Kimura, F. Subdivision surface fitting with QEM-based mesh simplification and reconstruction of approximated B-spline surfaces. In Proceedings of the 8th Pacific Conference on Computer Graphics and Applications, Hong Kong, China, 3–5 October 2000; pp. 202–212. [Google Scholar]
- Tang, Z.; Yan, S. A Mesh Simplification Algorithm Based On Curvature Factor Of Collapsing Edge. In Proceedings of the 2nd International Workshop on Database Technology and Applications (DBTA), Wuhan, China, 27–28 November 2010. [Google Scholar]
- Thiery, J.-M.; Guy, E.; Boubekeur, T. Sphere-Meshes: Shape Approximation using Spherical Quadric Error Metrics. Acm Trans. Graph. 2013, 32, 1–12. [Google Scholar] [CrossRef]
- Thomas, D.M.; Natarajan, V.; Bonneau, G.-P. Link Conditions for Simplifying Meshes with Embedded Structures. IEEE Trans. Vis. Comput. Graph. 2011, 17, 1007–1019. [Google Scholar] [CrossRef] [PubMed]
- Tseng, J.-L. Surface Simplification of 3D Animation Models Using Robust Homogeneous Coordinate Transformation. J. Appl. Math. 2014, 2014, 189241. [Google Scholar] [CrossRef]
- Valette, S.; Chassery, J.-M.; Prost, R. Generic remeshing of 3D triangular meshes with metric-dependent Discrete Voronoi Diagrams. IEEE Trans. Vis. Comput. Graph. 2008, 14, 369–381. [Google Scholar] [CrossRef] [PubMed]
- Wang, H.; Qiao, F.; Zhou, B. Multi-Feature Metric-Guided Mesh Simplification. In Proceedings of the International Conference on Soft Computing Techniques and Engineering Application (ICSCTEA), Kunming, China, 25–27 September 2014; pp. 535–542. [Google Scholar]
- Wang, J.; He, M. A Dynamic Hierarchy for Large Models Based on Adaptive Segmentation and Fast Simplification Algorithm. In Proceedings of the 4th IEEE Conference on Industrial Electronics and Applications, Xi’an, China, 25–27 May 2009; pp. 2076–2079. [Google Scholar]
- Wang, J.; Wang, H.-l.; Zhou, B.; Jun, N. An Efficient Mesh Simplification Method in 3D Graphic Model Rendering. In Proceedings of the 7th International Conference on Internet Computing for Engineering and Science (ICICSE), Shanghai Sanda University, Shanghai, China, 20–22 September; pp. 55–59.
- Rossignac, J.; Venkatesh, A. Ringing: Frugal Subdivision of Curves and Surfaces. IEEE Comput. Soc. Press 2010, 30, 22–33. [Google Scholar] [CrossRef]
- Wang, M.; Gao, J.; Wang, X. High-quality mesh generation for human hip based on ideal element size: Methods and evaluation. Comput. Assist. Surg. 2017, 22, 212–220. [Google Scholar] [CrossRef]
- Wang, W.; Zhou, M.; Shui, W.; Wu, Z.; Zhou, Y. An Improved Quadric Error Metrics Algorithm Based on Triangle Strips. In Proceedings of the IEEE International Conference on Computational Electromagnetics (ICCEM), Guangzhou, China, 23–25 February 2016; pp. 149–151. [Google Scholar]
- Wang, Y.; Sheng, Y.; Zhang, K.; Tian, P.; Lu, G. Efficient implementation of adaptive view-dependent mesh simplification. In Proceedings of the 15th International Conference on Geoinformatics, Nanjing, China, 25–27 May 2007. [Google Scholar]
- Wang, Z.; Li, H.; Wu, L.; Li, Q.; Yang, B. Feature-Preserved Geometry Simplification of Triangular Meshes from LiDAR Sensor. Sens. Lett. 2013, 11, 787–795. [Google Scholar] [CrossRef]
- Wei, J.; Lou, Y. Feature Preserving Mesh Simplification Using Feature Sensitive Metric. J. Comput. Sci. Technol. 2010, 25, 595–605. [Google Scholar] [CrossRef][Green Version]
- Wei, M.; Li, Y.; Wu, J.; Pang, M. ESimp: Error-Controllable Simplification with Feature Preservation for Surface Reconstruction. In Proceedings of the International Conference on Cyberworlds, Banff, AB, Canada, 4–6 October 2011; pp. 77–84. [Google Scholar]
- Wei, M.-Q.; Pang, M.-Y.; Pan, Z.-G. Optimizing Triangulation of Implicit Surface Based on Quadric Error Metrics. In Proceedings of the International Conference on Cyberworlds (CW), Singapore, 20–22 October 2010; pp. 113–119. [Google Scholar]
- Wei, Y.; Wu, L.; Sun, B.; Zhu, X. Improved QEM simplification algorithm based on discrete curvature and a sparseness coefficient. In Proceedings of the International Conference on IT Convergence and Security (ICITCS), Beijing, China, 28–30 October 2014. [Google Scholar]
- Wi, W.; Park, S.-M.; Shin, B.-S. Computed Tomography-Based Preoperative Simulation System for Pedicle Screw Fixation in Spina Surgery. J. Korean Med. Sci. 2020, 35, e125. [Google Scholar] [CrossRef] [PubMed]
- Wu, J.H.; Kobbelt, L. A stream algorithm for the decimation of massive meshes. In Proceedings of the 29th Graphics Interface Conference, Halifax, NS, Canada, 11–13 June 2003; pp. 185–192. [Google Scholar]
- Wundrak, S.; Henn, T.; Stork, A. Dynamic Progressive Triangle-Quadrilateral Meshes. In Proceedings of the 14th International Conference in Central Europe on Computer Graphics, Visualization and Computer Vision, Campus Bory, Plzen, Czech Republic, 30 January–3 February 2006; pp. 61–68. [Google Scholar]
- Xu, H.; Newman, T.S. An analysis of errors in feature-preserving mesh simplification based on edge contraction. In Proceedings of the 3rd International Symposium on 3D Data Processing, Visualization and Transmission, Chapel Hill, NC, USA, 14–16 June 2007; pp. 671–678. [Google Scholar]
- Yan, D.-M.; Liu, Y.; Wang, W. Quadric surface extraction by variational shape approximation. In Geometric Modeling and Processing—GMP 2006, Proceedings; Kim, M.S., Shimada, K., Eds.; Lecture Notes in Computer Science; Springer: Berlin/Heidelberg, Germany, 2006; Volume 4077, pp. 73–86. [Google Scholar]
- Yan, D.-M.; Wang, W.; Liu, Y.; Yang, Z. Variational mesh segmentation via quadric surface fitting. Comput. Aided Des. 2012, 44, 1072–1082. [Google Scholar] [CrossRef]
- Yan, J.Q.; Shi, P.F.; Zhang, D. Mesh simplification with hierarchical shape analysis and iterative edge contraction. IEEE Trans. Vis. Comput. Graph. 2004, 10, 142–151. [Google Scholar] [PubMed]
- Yan, X.; Lou, Y.; Li, L. The Triangle Collapse Algorithm Based on Angle Error Metrics. In Proceedings of the 3rd International Conference of Pioneering Computer Scientists, Engineers and Educators (ICPCSEE), Changsha, China, 22–24 September 2017; pp. 621–632. [Google Scholar]
- Yang, H.; Zhou, F.; Lin, G.; Lin, M.; Lin, S. Animated mesh simplification based on motion features in visual sensor networks. Int. J. Distrib. Sens. Netw. 2019, 15, 155014771882245. [Google Scholar] [CrossRef]
- Yang, X.; Tseng, D.C. Appearance-preserving view-dependent multiresolution terrain modeling. In Proceedings of the 23rd International Geoscience and Remote Sensing Symposium (IGARSS 2003), Toulouse, France, 21–25 July 2003; pp. 3925–3927. [Google Scholar]
- Yi, B.; Qiao, F.; Huang, N.; Wang, X.; Wu, S.; Biermann, D. Adaptive sampling point planning for free-form surface inspection under multi-geometric constraints. Precis. Eng. J. Int. Soc. Precis. Eng. Nanotechnol. 2021, 72, 95–101. [Google Scholar] [CrossRef]
- Yi, I.L.; Lee, Y.-S.; Shin, H. Mitered Offset of a Mesh Using QEM and Vertex Split. In Proceedings of the ACM Solid and Physical Modeling Symposium (ACM SPM 2008), Stony Brook, NY, USA, 2–4 June 2008; pp. 315–320. [Google Scholar]
- Yin, X.; Femiani, J.; Wonka, P.; Razdan, A. A New QEM for Parametrization of Raster Images. Comput. Graph. Forum 2011, 30, 2440–2451. [Google Scholar] [CrossRef]
- Yu, J.; Wei, M.; Qin, J.; Wu, J.; Heng, P.-A. Feature-preserving mesh denoising via normal guided quadric error metrics. Opt. Lasers Eng. 2014, 62, 57–68. [Google Scholar] [CrossRef]
- Turk, G. A self-selection mechanism for appointed external members of WA University Councils. Aust. Univ. Rev. 2021, 63, 34–44. [Google Scholar]
- Zhang, N.; Qu, H.M.; Kaufman, A. CSG operations on point models with implicit connectivity. In Proceedings of the Computer Graphics International Conference (CGI 2005), Stony Brook, NY, USA, 22–24 June 2005; pp. 87–93. [Google Scholar]
- Zhang, S.; Wu, E. Deforming surface simplification based on feature preservation. In Proceedings of the 6th International Conference on Entertainment Computing (ICEC 2007), Shanghai, China, 15–17 September 2007; pp. 139–149. [Google Scholar]
- Zhang, S.; Wu, E. A shape feature based simplification method for deforming meshes. In Proceedings of the 5th International Conference on Geometric Modeling and Processing (GMP 2008), Hangzhou, China, 23–25 April 2008; pp. 548–555. [Google Scholar]
- Zhang, S.; Wu, E. Approximation for Deforming Surface Sequence Based on Triangle Optimization. In Proceedings of the International Conference on Cyberworlds (CW 2008), Hangzhou, China, 22–24 September 2008; pp. 342–347. [Google Scholar]
- Zhang, S.; Wu, E. An Improved Method for Generating Multiresolution Animation Models. In Proceedings of the 11th International Conference on Computer-Aided Design and Computer Graphics, Yellow Mountain City, China, 19–21 August 2009; pp. 58–61. [Google Scholar]
- Zhang, S.; Wu, Y.; Zhao, J. Animated models coarsening with local area distortion and deformation degree control. In Proceedings of the Conference on International Conference on Image Processing and Pattern Recognition in Industrial Engineering, Xi’an, China, 7–8 August 2010. [Google Scholar]
- Zhang, S.; Zhao, J.; Wu, E. An improved method for progressive animation models generation. Sci. China-Inf. Sci. 2010, 53, 1312–1321. [Google Scholar] [CrossRef]
- Zhang, Y.; Ma, L.; Zhou, Y.; Zhang, C. Automatic superpixel generation algorithm based on a quadric error metric in 3D space. Signal Image Video Process. 2017, 11, 471–478. [Google Scholar] [CrossRef]
- Zhang, Y.; Wang, H.; Zhou, H.; Li, J. Finite triangular surface mesh simplification with geometrical feature recognition. Proc. Inst. Mech. Eng. Part C-J. Mech. Eng. Sci. 2009, 223, 2627–2636. [Google Scholar] [CrossRef]
- Zhang, Y.; Wu, M.; Fu, X.; Li, Q.; Gao, J. Reduced algorithm of laser measurement data for geometric parameters of ring forgings based on Artificial Immune Algorithm. Measurement 2019, 134, 527–538. [Google Scholar] [CrossRef]
- Zhou, J.H.; Rua, Q.Q. Feature-preserved simplification of point-sampled models. In Proceedings of the 7th International Conference on Signal Processing, Beijing, China, 31 August–4 September 2004; pp. 1272–1275. [Google Scholar]
- Zhou, K.; Shi, J.Y.; Pan, Z.G. Surface simplification with rendering error metrics. In Proceedings of the 7th International Conference on Computer Aided Design and Computer Graphics, Kunming, China, 22–24 August 2001; pp. 125–131. [Google Scholar]
- Cignoni, P.; Scopigno, R.; Tarini, M. A simple normal enhancement technique for interactive non-photorealistic renderings. Comput. Graph. Forum 2005, 29, 125–133. [Google Scholar] [CrossRef]
- Luebke, D.; Humphreys, G. How GPUs Work. IEEE Computer 2007, 40, 96–100. [Google Scholar] [CrossRef]
- Chen, C. Science Mapping: A Systematic Review of the Literature. J. Data Inf. Sci. 2017, 2, 1–40. [Google Scholar] [CrossRef]
- Chen, C.; Song, M. Visualizing a field of research: A methodology of systematic scientometric reviews. PLoS ONE 2019, 14, e0223994. [Google Scholar] [CrossRef]
- Chen, C. CiteSpace: A Practical Guide for Mapping Scientific Literature; Nova Science Publishers: Hauppauge, NY, USA, 2016. [Google Scholar]
- Small, H. Co-Citation in the Scientific Literature: A New Measure of the Relationship Between Two Documents. J. Am. Soc. Inf. Sci. 1973, 24, 265–269. [Google Scholar] [CrossRef]
- Chen, C.; Ibekwe-SanJuan, F.; Hou, J. The structure and dynamics of cocitation clusters: A multiple-perspective cocitation analysis. J. Am. Soc. Inf. Sci. Technol. 2010, 61, 1386–1409. [Google Scholar] [CrossRef]
- Li, L.; He, M.; Wang, P. Mesh simplification algorithm based on absolute curvature-weighted quadric error metrics. In Proceedings of the 2010 5th IEEE Conference on Industrial Electronics and Applications, Taichung, Taiwan, 15–17 June 2010; pp. 399–403. [Google Scholar]
- Sun, Y.H.; Jiang, Y.M. An Improved Algorithm of Mesh Simplification Based on Triangle Collapse. Comput. Eng. Des. 2003, 24, 94–96. [Google Scholar] [CrossRef]
- Zhou, K.; Pan, Z.K.; Shi, J.Y. Mesh Simplification Algorithm Based on Triangle Collapse. Chin. J. Comput. 1998, 21, 506–513. [Google Scholar]
- Zhang, X.; Qin, M.L.; Xie, T.L. Mesh Simplification Algorithm of Triangle Collapse Based on Feature Preserving. Comput. Technol. Amd Dev. 2012, 22, 94–97+102. [Google Scholar]
- Wu, X.R.; Fan, X.P.; Zhang, H.; Qu, Z.H. Edge Collapse Simplification Based on Local Region Area Measure. J. Chin. Comput. Syst. 2007, 28, 1874–1879. [Google Scholar]
- Liu, X.L.; Liu, Z.Y.; Gao, P.D.; Peng, X. Edge Collapse Simplification Based on Sharp Degree. Softw. J. 2005, 16, 669–675. [Google Scholar] [CrossRef]
- Du, X.H.; Yin, B.C.; Kong, D.H. Triangle Mesh Simplification Algorithm Based on Edge Collapse. Comput. Eng. 2007, 33, 12–15. [Google Scholar]
- Li, Y.; Zhu, Q. A new mesh simplification algorithm based on quadric error metrics. In Proceedings of the 2008 International Conference on Advanced Computer Theory and Engineering, Phuket, Thailand, 20–22 December 2008; pp. 528–532. [Google Scholar]
- Hussain, M. Efficient Simplification Methods for Generating High Quality LODs of 3D Meshes. J. Comput. Sci. Technol. 2009, 24, 604. [Google Scholar] [CrossRef]
- Yao, L.; Huang, S.; Xu, H.; Li, P. Quadratic Error Metric Mesh Simplification Algorithm Based on Discrete Curvature. Math. Probl. Eng. 2015, 2015, 428917. [Google Scholar] [CrossRef]
- Zhou, G.; Yuan, S.; Luo, S. Mesh Simplification Algorithm Based on the Quadratic Error Metric and Triangle Collapse. IEEE Access 2020, 8, 196341–196350. [Google Scholar] [CrossRef]
Disclaimer/Publisher’s Note: The statements, opinions and data contained in all publications are solely those of the individual author(s) and contributor(s) and not of MDPI and/or the editor(s). MDPI and/or the editor(s) disclaim responsibility for any injury to people or property resulting from any ideas, methods, instructions or products referred to in the content. |
© 2023 by the authors. Licensee MDPI, Basel, Switzerland. This article is an open access article distributed under the terms and conditions of the Creative Commons Attribution (CC BY) license (https://creativecommons.org/licenses/by/4.0/).