Trajectory Smoothing Planning of Delta Parallel Robot Combining Cartesian and Joint Space
Abstract
:1. Introduction
2. Kinematic and Dynamic Model of the Delta Parallel Robot
2.1. Kinematic Model of the Delta Parallel Robot
2.2. Dynamic Model of the Delta Parallel Robot
3. Trajectory Smoothing Planing Combining Cartesian and Jiont Space
3.1. Trajectory Planning in Cartesian Space
3.2. Trajectory Planning in Joint Space
4. Simulations and Experiments
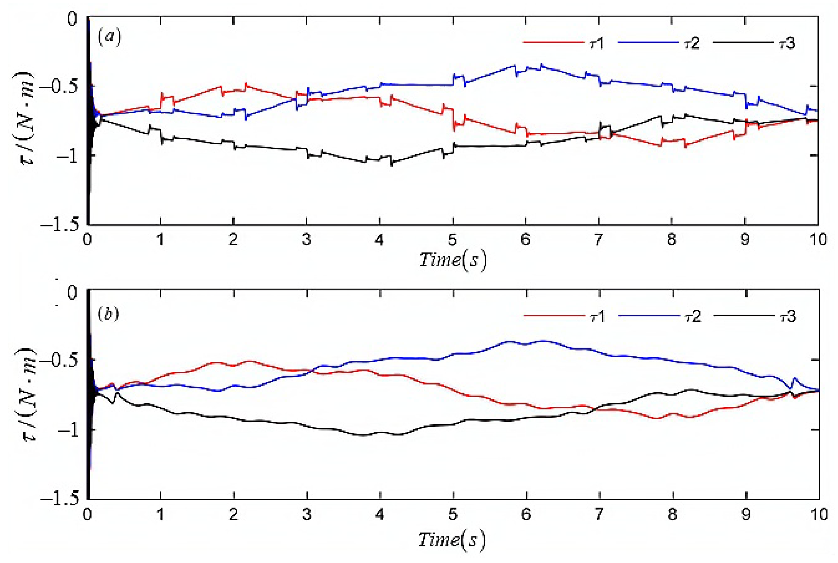
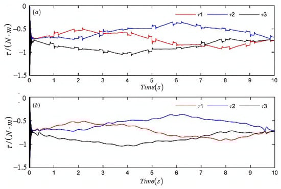
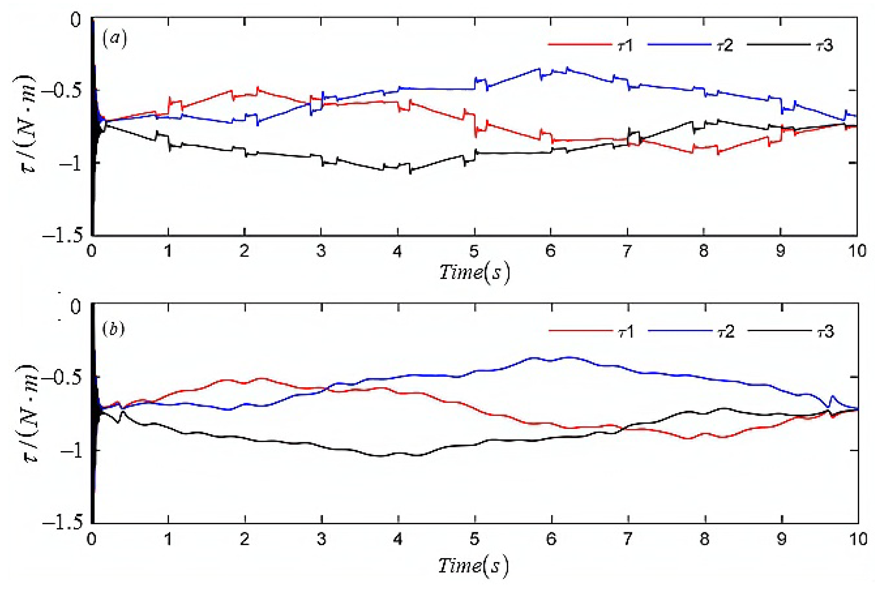
4.1. Simulations
4.2. Experiments
5. Conclusions
Author Contributions
Funding
Data Availability Statement
Conflicts of Interest
References
- Simionescu, I.; Ciupitu, L.; Ionita, L.C. Static balancing with elastic systems of DELTA parallel robots. Mech. Mach. Theory 2015, 87, 150–162. [Google Scholar] [CrossRef]
- Liu, C.; Cao, G.H.; Qu, Y.Y. Safety analysis via forward kinematics of delta parallel robot using maching learning. Saf. Sci. 2019, 117, 243–249. [Google Scholar] [CrossRef]
- Boryga, M. The use of higher-degree polynomials for trajectory planning with jerk, acceleration and velocity constraints. Int. J. Comput. Appl. Technol. 2020, 63, 337–347. [Google Scholar] [CrossRef]
- Zhao, Y.J.; Yuan, F.F.; Chen, C.W.; Jin, L.; Li, J.Y.; Zhang, X.W.; Lu, X.J. Inverse kinematics and trajectory planning for a hyper-redundant bionic trunklink robot. Int. J. Robot. Autom. 2020, 35, 229–241. [Google Scholar]
- Damasevicius, R.; Maskeliunas, R.; Narvydas, G.; Narbutaite, R.; Polap, D.; Wozniak, W. Intelligent automation of dental material analysis using robotic arm with Jerk optimized trajectory. J. Ambient Intell. Hum. Comput. 2020, 11, 6223–6234. [Google Scholar] [CrossRef]
- Wu, P.; Wang, Z.Y.; Jing, H.X.; Zhao, P.F. Optimal time-jerk trajectory planning for Delta parallel robot based on improved butterfly optimization algorithm. Appl. Sci. 2022, 12, 8145. [Google Scholar] [CrossRef]
- Zhang, S.; Liu, X.J.; Yan, B.K.; Bi, J.; Han, X.D. A real-time look-ahead trajectory planning methodology for multi small line segments path. Chin. J. Mech. Eng. 2023, 36, 59. [Google Scholar] [CrossRef]
- Wu, G.L.; Zhao, W.K.; Zhang, X.P. Optimum time-energy-jerk trajectory planning for serial robotic manipulators by reparameterized quintic NURBS curves. Proc. Inst. Mech. Eng. Part C J. Mech. Eng. Sci. 2021, 235, 4382–4393. [Google Scholar] [CrossRef]
- Xu, G.P.; Zhang, H.; Meng, Z.; Sun, Y.Z. Automatic interpolation algorithm for NURBS trajectory of shoe spraying based on 7-DOF robot. Int. J. Cloth. Sci. Technol. 2021, 34, 434–450. [Google Scholar] [CrossRef]
- Liang, X.; Su, T.T. Quintic Pythagorean-Hodograph curves based trajectory planning for Delta robot with a prescribed geometrical constaint. Appl. Sci. 2019, 9, 4491. [Google Scholar] [CrossRef]
- Bilal, H.; Yin, B.Q.; Kuma, A.; Ali, M.; Zhang, J.; Yao, J.F. Jerk-bounded trajectory planning for rotary flexible joint manipulator: An experimental approach. Soft Comput. 2023, 27, 4029–4039. [Google Scholar] [CrossRef]
- Fang, Y.; Hu, J.; Liu, W.H.; Shao, Q.Q.; Qi, J.; Peng, Y.H. Smooth and time-optimal S-curve trajectory planning for automated robots and machines. Mech. Mach. Theory 2019, 137, 127–153. [Google Scholar] [CrossRef]
- Singh, G.; Banga, V.K. Kinematics and trajectory planning analysis based on hybrid optimization algorithm for an industrial robotic manipulators. Mech. Mach. Theory 2022, 26, 11339–11372. [Google Scholar] [CrossRef]
- Dong, H.; Cong, M.; Chen, H.P. Effective algorithms to find a minimum-time yet high smooth robot joint trajectory. Int. J. Robot. Autom. 2019, 34, 331–343. [Google Scholar] [CrossRef]
- Brown, S.; Pierson, H.A. Adaptive path planning of novel complex parts for industrial spraying operations. Prod. Manuf. Res. 2020, 8, 335–368. [Google Scholar] [CrossRef]
- Wang, F.; Wu, Z.J.; Bao, T.T. Time-jerk optimal trajectory planning of industrial robots based on a hybrid WOA-GA algorithm. Processes 2022, 10, 1014. [Google Scholar] [CrossRef]
- Nadir, B.; Mohammed, O.; Minh-Tuan, N.; Abderrezak, S. Optimal trajectory generation method to find a smooth robot joint trajectory based on multiquadric radial basis functions. Int. J. Adv. Manuf. Technol. 2022, 120, 297–312. [Google Scholar] [CrossRef]
- Chettibi, T. Smooth point-to-point trajectory planning for robot manipulators by using radial basis functions. Robotica 2019, 37, 539–559. [Google Scholar] [CrossRef]
- Liang, Y.Y.; Yao, C.Z.; Wu, W.; Wang, L.; Wang, Q.Y. Design and implementation of multi-axis real-time synchronous look-ahead trajectory planning algorithm. Int. J. Adv. Manuf. Technol. 2022, 119, 4991–5009. [Google Scholar] [CrossRef]
- Shrivastava, A.; Dalla, V.K. Multi-segment trajectory tracking of the redundant space robot for smooth motion planning based on interpolation of linear polynomials with parabolic blend. Proc. Inst. Mech. Eng. Part C J. Mech. Eng. Sci. 2022, 236, 9255–9269. [Google Scholar] [CrossRef]
- Wang, H.; Wang, H.; Huang, J.H.; Zhao, B.; Quan, L. Smooth point-to-point trajectory planning for industrial robots with kinematical constraints based on high-order polynomial curve. Mech. Mach. Theory 2019, 139, 284–293. [Google Scholar] [CrossRef]
- Wang, G.R.; Xu, F.; Zhou, K.; Pang, Z.H. S-velocity profile of industrial robot based on NURBS curve and slerp interpolation. Processes 2022, 10, 2195. [Google Scholar] [CrossRef]
- Grassmann, R.M.; Burgner-Kahrs, J. Quaternion-based smooth trajectory generator for via poses in SE(3) considering kinematic limits in Cartesian space. IEEE Robot. Autom. Lett. 2019, 4, 4192–4199. [Google Scholar] [CrossRef]
- Singh, G.; Banga, V.R. Combinations of novel hybrid optimization algorithms-based trajectory planning analysis for an industrial robotic manipulators. J. Field Robot. 2022, 39, 650–674. [Google Scholar] [CrossRef]
- Zhao, Y.Q.; Mei, J.P.; Niu, M.T. Vibration error-based trajectory planning of a 5-dof hybrid machine tool. Robot. Comput.-Integr. Manuf. 2021, 69, 102095. [Google Scholar] [CrossRef]
- Wang, Q.; Wang, Z.B.; Shuai, M. Trajectory planning for a 6-DoF manipulator used for orthopaedic surgery. Int. J. Intell. Robot. Appl. 2020, 4, 82–94. [Google Scholar] [CrossRef]
- Kelaiaia, R. Improving the pose accuracy of the Delta robot in machining operations. Int. J. Adv. Manuf. Technol. 2017, 91, 2205–2215. [Google Scholar] [CrossRef]
- Yang, D.; Xie, F.G.; Liu, X.J. Velocity constraints based approach for online trajectory planning of high-speed parallel robots. Chin. J. Mech. Eng. 2022, 35, 127. [Google Scholar] [CrossRef]
- Lu, S.; Ding, B.X.; Li, Y.M. Minimum-jerk trajectory planning pertaining to a translational 3-degree-of-freedom parallel manipulator through piecewise quintic polynomials interpolation. Adv. Mech. Eng. 2020, 12, 1687814020913667. [Google Scholar] [CrossRef]
- Dupac, M. Mathematical modeling and simulation of the inverse kinematic of a redundant robotic manipulator using azimuthal angles and spherical polar piecewise interpolation. Math. Comput. Simul. 2023, 209, 282–298. [Google Scholar] [CrossRef]
- Rout, A.; Deepak, B.B.V.L.; Biswal, B.B.; Mahanta, G.B. Trajectory generation of an industrial robot with constrained kinematic and dynamic variations for improving positional accuracy. Int. J. Appl. Metaheuristic Comput. 2021, 12, 163–179. [Google Scholar] [CrossRef]










| Parameters | Values | Parameters | Values |
|---|---|---|---|
| Length of active link | 0.1800 m | Radius of the fixed platform R | 0.1350 m |
| Length of passive link | 0.5000 m | Radius of the moving platform r | 0.0400 m |
| Mass of the moving platform | 0.2231 kg | Mass of the active link | 0.3392 kg |
| Mass of the passive link | 0.1412 kg | Moment of inertia of the motor | 0.000073 |
| Torque Moment () | |||
|---|---|---|---|
| Joint | Without Quadratic Planning | With Quadratic Planning | Reduction Rate |
| 0.7309 | 0.7308 | ||
| 0.5716 | 0.5707 | ||
| 0.8822 | 0.8817 | ||
| The Peak Value of Trajectory Tracking Error () | |||
|---|---|---|---|
| Joint | Cartesian Space | Combining Cartesian and Joint Space | Reduction Rate |
| 0.0057 | 0.0051 | ||
| 0.0068 | 0.0040 | ||
| 0.0072 | 0.0040 | ||
| Peak Value of Control Torque /(N·m) | |||
|---|---|---|---|
| Joint | Cartesian Space | Combining Cartesian and Joint Space | Reduction Rate |
| 3.2909 | 3.1743 | ||
| 3.9193 | 3.4657 | ||
| 3.0056 | 2.9584 | ||
Disclaimer/Publisher’s Note: The statements, opinions and data contained in all publications are solely those of the individual author(s) and contributor(s) and not of MDPI and/or the editor(s). MDPI and/or the editor(s) disclaim responsibility for any injury to people or property resulting from any ideas, methods, instructions or products referred to in the content. |
© 2023 by the authors. Licensee MDPI, Basel, Switzerland. This article is an open access article distributed under the terms and conditions of the Creative Commons Attribution (CC BY) license (https://creativecommons.org/licenses/by/4.0/).
Share and Cite
Zhu, D.; He, Y.; Yu, X.; Li, F. Trajectory Smoothing Planning of Delta Parallel Robot Combining Cartesian and Joint Space. Mathematics 2023, 11, 4509. https://doi.org/10.3390/math11214509
Zhu D, He Y, Yu X, Li F. Trajectory Smoothing Planning of Delta Parallel Robot Combining Cartesian and Joint Space. Mathematics. 2023; 11(21):4509. https://doi.org/10.3390/math11214509
Chicago/Turabian StyleZhu, Dachang, Yonglong He, Xuezhe Yu, and Fangyi Li. 2023. "Trajectory Smoothing Planning of Delta Parallel Robot Combining Cartesian and Joint Space" Mathematics 11, no. 21: 4509. https://doi.org/10.3390/math11214509
APA StyleZhu, D., He, Y., Yu, X., & Li, F. (2023). Trajectory Smoothing Planning of Delta Parallel Robot Combining Cartesian and Joint Space. Mathematics, 11(21), 4509. https://doi.org/10.3390/math11214509

