A Fractional-Order Memristive Two-Neuron-Based Hopfield Neuron Network: Dynamical Analysis and Application for Image Encryption
Abstract
:1. Introduction
2. Fractional-Order Model
3. Results
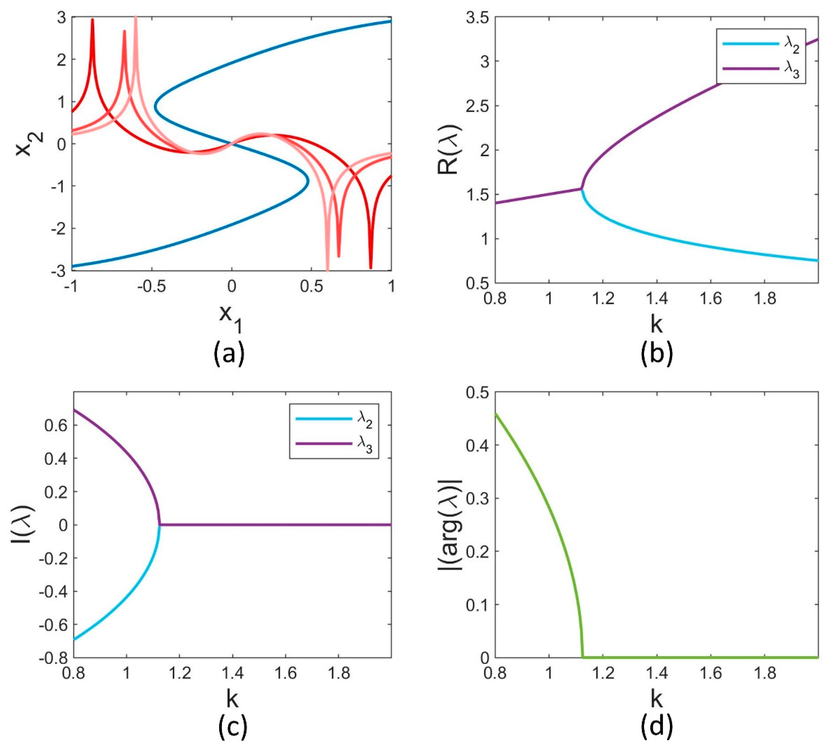
3.1. Stability Analysis
3.2. Dynamical Analysis
3.3. Application in Image Encryption
3.3.1. Randomness Test
3.3.2. Key Sensitivity Analysis
3.3.3. Statistical Analysis
3.3.4. Differential Analysis
3.3.5. Robustness Analysis
Cropping Attack
Noise Attack
4. Discussion
5. Conclusions
Author Contributions
Funding
Institutional Review Board Statement
Data Availability Statement
Conflicts of Interest
References
- Abiodun, O.I.; Jantan, A.; Omolara, A.E.; Dada, K.V.; Umar, A.M.; Linus, O.U.; Arshad, H.; Kazaure, A.A.; Gana, U.; Kiru, M.U. Comprehensive review of artificial neural network applications to pattern recognition. IEEE Access 2019, 7, 158820–158846. [Google Scholar] [CrossRef]
- Abdolrasol, M.G.; Hussain, S.S.; Ustun, T.S.; Sarker, M.R.; Hannan, M.A.; Mohamed, R.; Ali, J.A.; Mekhilef, S.; Milad, A. Artificial neural networks based optimization techniques: A review. Electronics 2021, 10, 2689. [Google Scholar] [CrossRef]
- Wen, U.-P.; Lan, K.-M.; Shih, H.-S. A review of Hopfield neural networks for solving mathematical programming problems. Eur. J. Oper. Res. 2009, 198, 675–687. [Google Scholar] [CrossRef]
- Gong, Y.; Xiao, Z.; Tan, X.; Sui, H.; Xu, C.; Duan, H.; Li, D. Context-aware convolutional neural network for object detection in VHR remote sensing imagery. IEEE Trans. Geosci. Remote Sens. 2019, 58, 34–44. [Google Scholar] [CrossRef]
- Joya, G.; Atencia, M.; Sandoval, F. Hopfield neural networks for optimization: Study of the different dynamics. Neurocomputing 2002, 43, 219–237. [Google Scholar] [CrossRef]
- Lin, H.; Wang, C.; Tan, Y. Hidden extreme multistability with hyperchaos and transient chaos in a Hopfield neural network affected by electromagnetic radiation. Nonlinear Dyn. 2020, 99, 2369–2386. [Google Scholar] [CrossRef]
- Njitacke, Z.T.; Kengne, J. Nonlinear dynamics of three-neurons-based Hopfield neural networks (HNNs): Remerging Feigenbaum trees, coexisting bifurcations and multiple attractors. J. Circuits Syst. Comput. 2019, 28, 1950121. [Google Scholar] [CrossRef]
- Xu, Q.; Song, Z.; Bao, H.; Chen, M.; Bao, B. Two-neuron-based non-autonomous memristive Hopfield neural network: Numerical analyses and hardware experiments. AEU-Int. J. Electron. Commun. 2018, 96, 66–74. [Google Scholar] [CrossRef]
- Chen, C.; Bao, H.; Chen, M.; Xu, Q.; Bao, B. Non-ideal memristor synapse-coupled bi-neuron Hopfield neural network: Numerical simulations and breadboard experiments. AEU-Int. J. Electron. Commun. 2019, 111, 152894. [Google Scholar] [CrossRef]
- Huang, Y.; Yang, X.-S. Hyperchaos and bifurcation in a new class of four-dimensional Hopfield neural networks. Neurocomputing 2006, 69, 1787–1795. [Google Scholar]
- Strukov, D.B.; Snider, G.S.; Stewart, D.R.; Williams, R.S. The missing memristor found. Nature 2008, 453, 80–83. [Google Scholar] [CrossRef] [PubMed]
- Lin, H.; Wang, C.; Sun, Y.; Yao, W. Firing multistability in a locally active memristive neuron model. Nonlinear Dyn. 2020, 100, 3667–3683. [Google Scholar] [CrossRef]
- He, S.; Liu, J.; Wang, H.; Sun, K. A discrete memristive neural network and its application for character recognition. Neurocomputing 2023, 523, 1–8. [Google Scholar] [CrossRef]
- Thomas, A. Memristor-based neural networks. J. Phys. D Appl. Phys. 2013, 46, 093001. [Google Scholar] [CrossRef]
- Bao, B.; Qian, H.; Xu, Q.; Chen, M.; Wang, J.; Yu, Y. Coexisting behaviors of asymmetric attractors in hyperbolic-type memristor based Hopfield neural network. Front. Comput. Neurosci. 2017, 11, 81. [Google Scholar] [CrossRef]
- Zhang, S.; Zheng, J.; Wang, X.; Zeng, Z.; He, S. Initial offset boosting coexisting attractors in memristive multi-double-scroll Hopfield neural network. Nonlinear Dyn. 2020, 102, 2821–2841. [Google Scholar] [CrossRef]
- Lin, H.; Wang, C.; Sun, Y. A universal variable extension method for designing multiscroll/wing chaotic systems. IEEE Trans. Ind. Electron. 2023, 1–13. [Google Scholar] [CrossRef]
- Lin, H.; Wang, C.; Du, S.; Yao, W.; Sun, Y. A family of memristive multibutterfly chaotic systems with multidirectional initial-based offset boosting. Chaos Solitons Fractals 2023, 172, 113518. [Google Scholar] [CrossRef]
- Dalir, M.; Bashour, M. Applications of fractional calculus. Appl. Math. Sci. 2010, 4, 1021–1032. [Google Scholar]
- Yang, X.-J. Advanced Local Fractional Calculus and Its Applications; World Science Publisher: New York, NY, USA, 2012. [Google Scholar]
- Aguilar, C.Z.; Gómez-Aguilar, J.; Alvarado-Martínez, V.; Romero-Ugalde, H. Fractional order neural networks for system identification. Chaos Solitons Fractals 2020, 130, 109444. [Google Scholar] [CrossRef]
- He, S.; Sun, K.; Banerjee, S. Dynamical properties and complexity in fractional-order diffusionless Lorenz system. Eur. Phys. J. Plus 2016, 131, 254. [Google Scholar] [CrossRef]
- Ma, C.; Mou, J.; Yang, F.; Yan, H. A fractional-order hopfield neural network chaotic system and its circuit realization. Eur. Phys. J. Plus 2020, 135, 100. [Google Scholar] [CrossRef]
- Wang, H.; Yu, Y.; Wen, G. Stability analysis of fractional-order Hopfield neural networks with time delays. Neural Netw. 2014, 55, 98–109. [Google Scholar] [CrossRef]
- Zhang, S.; Yu, Y.; Wang, Q. Stability analysis of fractional-order Hopfield neural networks with discontinuous activation functions. Neurocomputing 2016, 171, 1075–1084. [Google Scholar] [CrossRef]
- Xu, S.; Wang, X.; Ye, X. A new fractional-order chaos system of Hopfield neural network and its application in image encryption. Chaos Solitons Fractals 2022, 157, 111889. [Google Scholar] [CrossRef]
- Rajagopal, K.; Tuna, M.; Karthikeyan, A.; Koyuncu, İ.; Duraisamy, P.; Akgul, A. Dynamical analysis, sliding mode synchronization of a fractional-order memristor Hopfield neural network with parameter uncertainties and its non-fractional-order FPGA implementation. Eur. Phys. J. Spec. Top. 2019, 228, 2065–2080. [Google Scholar] [CrossRef]
- Wang, F.; Liu, X.; Tang, M.; Chen, L. Further results on stability and synchronization of fractional-order Hopfield neural networks. Neurocomputing 2019, 346, 12–19. [Google Scholar] [CrossRef]
- Hua, Z.; Zhou, Y.; Huang, H. Cosine-transform-based chaotic system for image encryption. Inf. Sci. 2019, 480, 403–419. [Google Scholar] [CrossRef]
- Volos, C.K.; Kyprianidis, I.M.; Stouboulos, I.; Pham, V.-T. Image encryption scheme based on non-autonomous chaotic systems. In Computation, Cryptography, and Network Security; Springer: Berlin/Heidelberg, Germany, 2015; pp. 591–612. [Google Scholar]
- Wang, L.; Jiang, S.; Ge, M.-F.; Hu, C.; Hu, J. Finite-/fixed-time synchronization of memristor chaotic systems and image encryption application. IEEE Trans. Circuits Syst. I Regul. Pap. 2021, 68, 4957–4969. [Google Scholar] [CrossRef]
- Wang, X.; Çavuşoğlu, Ü.; Kacar, S.; Akgul, A.; Pham, V.-T.; Jafari, S.; Alsaadi, F.E.; Nguyen, X.Q. S-box based image encryption application using a chaotic system without equilibrium. Appl. Sci. 2019, 9, 781. [Google Scholar] [CrossRef]
- Ma, X.; Wang, C.; Qiu, W.; Yu, F. A fast hyperchaotic image encryption scheme. Int. J. Bifurc. Chaos 2023, 33, 2350061. [Google Scholar] [CrossRef]
- Ma, X.; Wang, C. Hyper-chaotic image encryption system based on N+ 2 ring Joseph algorithm and reversible cellular automata. Multimed. Tools Appl. 2023, 82, 38967–38992. [Google Scholar] [CrossRef]
- Lai, Q.; Wan, Z.; Zhang, H.; Chen, G. Design and analysis of multiscroll memristive hopfield neural network with adjustable memductance and application to image encryption. IEEE Trans. Neural Netw. Learn. Syst. 2022, 34, 7824–7837. [Google Scholar] [CrossRef]
- Wang, X.-Y.; Li, Z.-M. A color image encryption algorithm based on Hopfield chaotic neural network. Opt. Lasers Eng. 2019, 115, 107–118. [Google Scholar] [CrossRef]
- Chen, C.; Min, F. Memristive bi-neuron Hopfield neural network with coexisting symmetric behaviors. Eur. Phys. J. Plus 2022, 137, 841. [Google Scholar] [CrossRef]
- Diethelm, K.; Freed, A.D. The FracPECE subroutine for the numerical solution of differential equations of fractional order. Forsch. Und Wiss. Rechn. 1998, 1999, 57–71. [Google Scholar]
- Li, H.; Wang, L.; Lai, Q. Synchronization of a memristor chaotic system and image encryption. Int. J. Bifurc. Chaos 2021, 31, 2150251. [Google Scholar] [CrossRef]
- Xian, Y.; Wang, X. Fractal sorting matrix and its application on chaotic image encryption. Inf. Sci. 2021, 547, 1154–1169. [Google Scholar] [CrossRef]
- Gao, X.; Mou, J.; Xiong, L.; Sha, Y.; Yan, H.; Cao, Y. A fast and efficient multiple images encryption based on single-channel encryption and chaotic system. Nonlinear Dyn. 2022, 108, 613–636. [Google Scholar] [CrossRef]
- Çavuşoğlu, Ü.; Panahi, S.; Akgül, A.; Jafari, S.; Kacar, S. A new chaotic system with hidden attractor and its engineering applications: Analog circuit realization and image encryption. Analog Integr. Circuits Signal Process. 2019, 98, 85–99. [Google Scholar] [CrossRef]
- Farhan, A.K.; Al-Saidi, N.M.; Maolood, A.T.; Nazarimehr, F.; Hussain, I. Entropy analysis and image encryption application based on a new chaotic system crossing a cylinder. Entropy 2019, 21, 958. [Google Scholar] [CrossRef]
- Lakshmi, C.; Thenmozhi, K.; Rayappan, J.B.B.; Amirtharajan, R. Hopfield attractor-trusted neural network: An attack-resistant image encryption. Neural Comput. Appl. 2020, 32, 11477–11489. [Google Scholar] [CrossRef]
- Gupta, M.; Gupta, K.K.; Shukla, P.K. Session key based fast, secure and lightweight image encryption algorithm. Multimed. Tools Appl. 2021, 80, 10391–10416. [Google Scholar] [CrossRef]
- Zhou, W.; Wang, X.; Wang, M.; Li, D. A new combination chaotic system and its application in a new Bit-level image encryption scheme. Opt. Lasers Eng. 2022, 149, 106782. [Google Scholar] [CrossRef]
- Chai, X.; Gan, Z.; Yuan, K.; Chen, Y.; Liu, X. A novel image encryption scheme based on DNA sequence operations and chaotic systems. Neural Comput. Appl. 2019, 31, 219–237. [Google Scholar] [CrossRef]
- Zefreh, E.Z. An image encryption scheme based on a hybrid model of DNA computing, chaotic systems and hash functions. Multimed. Tools Appl. 2020, 79, 24993–25022. [Google Scholar] [CrossRef]
- Li, X.; Mou, J.; Xiong, L.; Wang, Z.; Xu, J. Fractional-order double-ring erbium-doped fiber laser chaotic system and its application on image encryption. Opt. Laser Technol. 2021, 140, 107074. [Google Scholar] [CrossRef]
- Chen, C.; Zhu, D.; Wang, X.; Zeng, L. One-dimensional quadratic chaotic system and splicing model for image encryption. Electronics 2023, 12, 1325. [Google Scholar] [CrossRef]
- Yan, M.; Xie, J. A conservative chaotic system with coexisting chaotic-like attractors and its application in image encryption. J. Control Decis. 2023, 10, 237–249. [Google Scholar] [CrossRef]
- Shakir, H.R.; Mehdi, S.A.; Hattab, A.A. A new four-dimensional hyper-chaotic system for image encryption. Int. J. Electr. Comput. Eng. 2023, 13, 1744. [Google Scholar] [CrossRef]














| Test | Result | |
|---|---|---|
| Frequency | 0.73 | Pass |
| BlockFrequency | 0.91 | Pass |
| CumulativeSums | 0.73 | Pass |
| Runs | 0.35 | Pass |
| LongestRun | 0.73 | Pass |
| Rank | 0.73 | Pass |
| FFT | 0.21 | Pass |
| NonOverlappingTemplate | 0.91 | Pass |
| OverlappingTemplate | 0.12 | Pass |
| ApproximateEntropy | 0.12 | Pass |
| Serial1 | 0.35 | Pass |
| Serial2 | 0.122 | Pass |
| LinearComplexity | 0.53 | Pass |
| CC (Horizontal) | CC (Vertical) | Entropy | NPCR | UACI | |
|---|---|---|---|---|---|
| Proposed | 0.0002 | −0.0007 | 7.9971 | 99.66 | 28.64 |
| Ref. [44] | −0.0023 | 0.0028 | 7.9976 | 99.62 | 33.28 |
| Ref. [45] | 0.0062 | 0.0073 | 7.9965 | 99.60 | 28.34 |
| Ref. [46] | 0.0005 | 0.0025 | 7.9993 | 99.60 | 32.48 |
| Ref. [47] | −0.0139 | 0.0177 | 7.9993 | 99.58 | 33.43 |
| Ref. [48] | −0.0004 | −0.0004 | 7.9993 | 99.60 | 33.45 |
| Ref. [49] | 0.0058 | −0.0024 | 7.9975 | 99.60 | 33.45 |
| Ref. [50] | 0.0015 | −0.0021 | 7.9975 | 99.60 | 33.45 |
| Ref. [51] | −0.0006 | 0.0008 | 7.9995 | 99.60 | 33.46 |
| Ref. [52] | 0.0002 | −0.0004 | 7.9985 | 99.63 | 33.03 |
Disclaimer/Publisher’s Note: The statements, opinions and data contained in all publications are solely those of the individual author(s) and contributor(s) and not of MDPI and/or the editor(s). MDPI and/or the editor(s) disclaim responsibility for any injury to people or property resulting from any ideas, methods, instructions or products referred to in the content. |
© 2023 by the authors. Licensee MDPI, Basel, Switzerland. This article is an open access article distributed under the terms and conditions of the Creative Commons Attribution (CC BY) license (https://creativecommons.org/licenses/by/4.0/).
Share and Cite
Venkatesh, J.; Pchelintsev, A.N.; Karthikeyan, A.; Parastesh, F.; Jafari, S. A Fractional-Order Memristive Two-Neuron-Based Hopfield Neuron Network: Dynamical Analysis and Application for Image Encryption. Mathematics 2023, 11, 4470. https://doi.org/10.3390/math11214470
Venkatesh J, Pchelintsev AN, Karthikeyan A, Parastesh F, Jafari S. A Fractional-Order Memristive Two-Neuron-Based Hopfield Neuron Network: Dynamical Analysis and Application for Image Encryption. Mathematics. 2023; 11(21):4470. https://doi.org/10.3390/math11214470
Chicago/Turabian StyleVenkatesh, Jayaraman, Alexander N. Pchelintsev, Anitha Karthikeyan, Fatemeh Parastesh, and Sajad Jafari. 2023. "A Fractional-Order Memristive Two-Neuron-Based Hopfield Neuron Network: Dynamical Analysis and Application for Image Encryption" Mathematics 11, no. 21: 4470. https://doi.org/10.3390/math11214470
APA StyleVenkatesh, J., Pchelintsev, A. N., Karthikeyan, A., Parastesh, F., & Jafari, S. (2023). A Fractional-Order Memristive Two-Neuron-Based Hopfield Neuron Network: Dynamical Analysis and Application for Image Encryption. Mathematics, 11(21), 4470. https://doi.org/10.3390/math11214470

