An Improved Bit-Flipping Algorithm of Successive Cancellation List Decoding for Polar Codes
Abstract
:1. Introduction
2. Preliminaries
2.1. Polar Codes
2.2. SCL Decoder and CA-SCL Decoder
2.3. SCL-Flip Decoder
3. The LS-SCLF Decoder
3.1. Framework of the LS-SCLF- Decoder
3.2. The Proposed Flip-Bit Metric
3.3. Optimization of the Perturbation Parameter
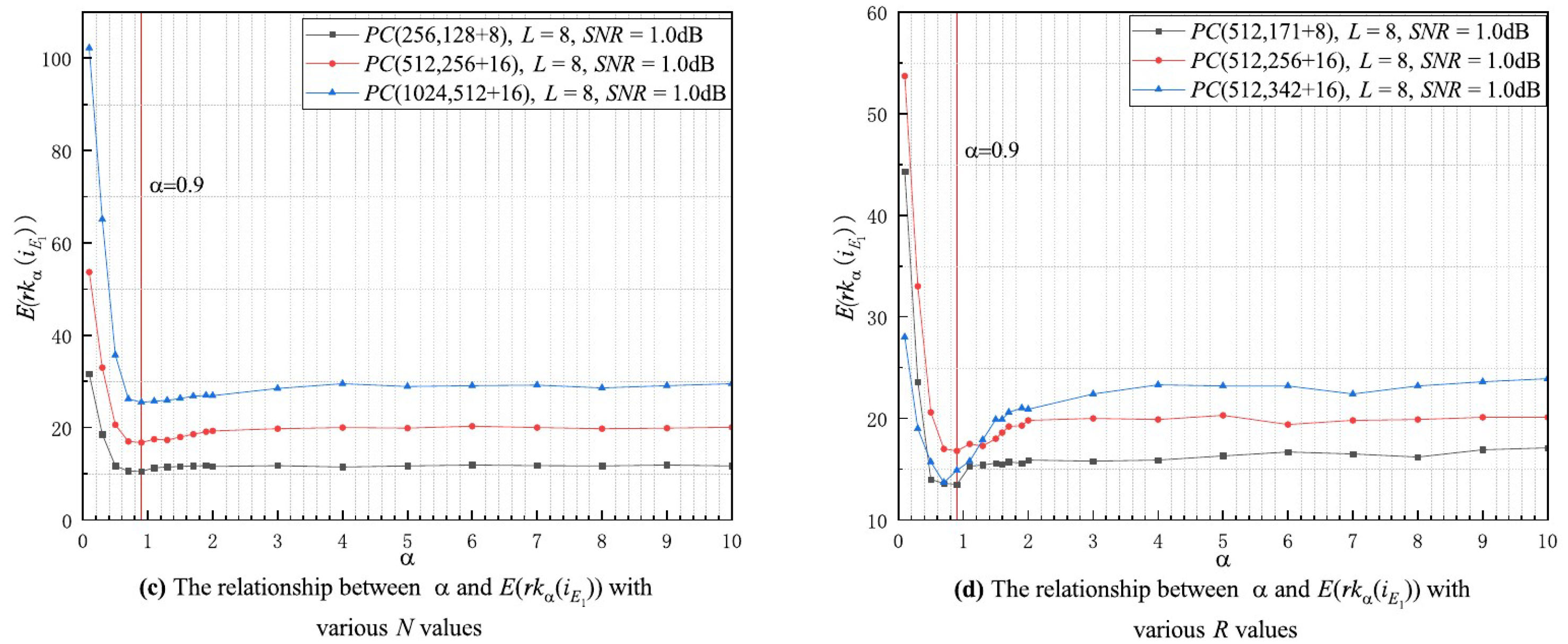
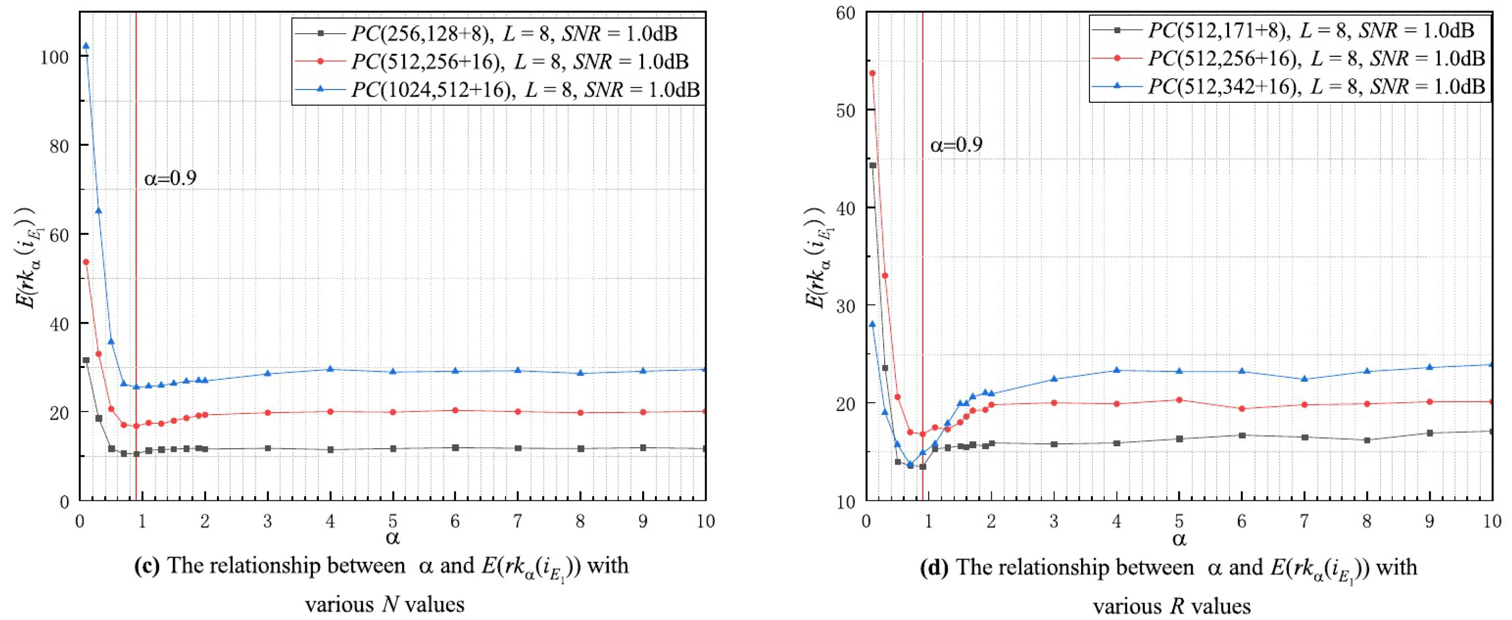
- Fix parameters N, R, and L, and set the value of SNR.
- Set the range and step size of , and the number of Monte Carlo simulations.
- Perform the Monte Carlo simulation for the current and SNR values. If the initial SCL decoding does not pass the CRC check, first construct the list , then find the rank of and note it as . Finally, calculate the average value of after all experiments are completed and denoted as .
- Update the value and return to step (3). Continue to calculate for the new value until the traversal of is complete. Plot the relationship between and , then derive the relationship between the two at that SNR value.
- Update the SNR values and complete steps (1)–(4) again to obtain the relationship between the and for different SNR values.
3.4. The Detailed Description of the Proposed Decoding Algorithm
| Algorithm 1: LS-SCLF- Decoder. |
![]() |
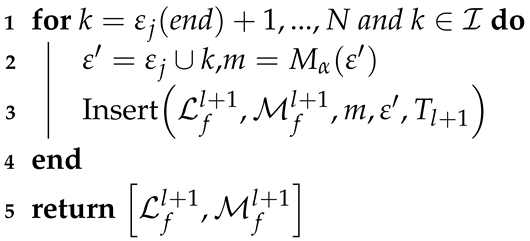
- (): The initialization strategy is detailed in Algorithm 2. The preliminary flip-bit list is constructed as , and (24) gives the calculation of . Then, the elements in are sorted in descending order by the function, with the largest elements constructing and the corresponding indexes constructing .
- : is the jth element in , i.e., . The function flips all the information bits corresponding to the in turn in an extra decoding attempt.
- : The update algorithm is detailed in Algorithm 3. If fails to pass the CRC check and ; it first calculates the of by (25), where , , and represents the last element of . Then, the function inserts and into the appropriate positions in and , respectively, according to the value of . If the number of elements in exceeds , then only the first elements of and are retained. Since , will be inserted into a position behind .
| Algorithm 2: . |
1 2 3 return |
| Algorithm 3: . |
![]() |
4. Experiment Design and Simulation Analysis
4.1. Perturbation Parameter Optimization
4.2. Simulation Results and Performance Analysis
4.2.1. Error Correction Performance Analysis
4.2.2. Decoding Complexity Analysis
5. Conclusions
Author Contributions
Funding
Data Availability Statement
Conflicts of Interest
References
- Erdal, A. Channel Polarization: A Method for Constructing Capacity-Achieving Codes for Symmetric Binary-Input. IEEE Trans. Inf. Theory 2009, 55, 3051–3073. [Google Scholar]
- Lidström, V. Low-density parity-check codes. IEEE Trans. Inf. Theory. 1962, 12, 21–28. [Google Scholar]
- Berrou, C.; Glavieux, A. Near Shannon limit error-correcting coding and decoding: Turbo-codes. In Proceedings of the ICC 93-IEEE International Conference on Communications, Geneva, Switzerland, 23–26 May 1993. [Google Scholar]
- Liang, H.; Liu, A.; Tong, X.; Gong, C. Raptor-like Rateless Spinal Codes using Outer Systematic Polar Codes for Reliable Deep Space Communications. In Proceedings of the IEEE INFOCOM 2020—IEEE Conference on Computer Communications Workshops (INFOCOM WKSHPS), Toronto, ON, Canada, 6–9 July 2020; pp. 1045–1050. [Google Scholar]
- Feng, B.; Jiao, J.; Wu, S.; Zhang, Q. How to apply polar codes in high throughput space communications. Sci. China Tech. Sci. 2020, 63, 1371–1382. [Google Scholar] [CrossRef]
- Zhai, Y.; Li, J.; Feng, H.; Hong, F. Application research of polar coded OFDM underwater acoustic communications. J. Wireless. Com. Netw. 2020, 63, 1371–1382. [Google Scholar] [CrossRef]
- Liu, F.; Wu, Q.; Li, C.; Chen, F.; Xu, Y. Polar Coding Aided by Adaptive Channel Equalization for Underwater Acoustic Communication. IEICE Tech. Fund. Electr. 2023, E106.A, 83–87. [Google Scholar] [CrossRef]
- Lidstrom, V. Evaluation of Polar-Coded Noncoherent Acoustic Underwater Communication. IEEE J. Ocean. Eng. 2023, 2023, 1–14. [Google Scholar] [CrossRef]
- Wang, H.; Kim, S. Dimming Control Systems with Polar Codes in Visible Light Communication. IEEE Photonics Technol. Lett. 2017, 29, 1651–1654. [Google Scholar] [CrossRef]
- Wang, H.; Kim, S. Design of Polar Codes for Run-Length Limited Codes in Visible Light Communications. IEEE Photonics Technol. Lett. 2019, 31, 27–30. [Google Scholar] [CrossRef]
- Wang, H.; Kim, S. Adaptive Puncturing Method for Dimming in Visible Light Communication with Polar Codes. IEEE Photonics Technol. Lett. 2018, 30, 1780–1783. [Google Scholar] [CrossRef]
- Zheng, H.; Wu, K.; Chen, B. Experimental Demonstration of 9.6 Gbit/s Polar Coded Infrared Light Communication System. IEEE Photonics Technol. Lett. 2020, 32, 1539–1542. [Google Scholar] [CrossRef]
- Tal, I.; Vardy, A. List Decoding of Polar Codes. IEEE Trans. Inf. Theory 2015, 61, 2213–2226. [Google Scholar] [CrossRef]
- Niu, K.; Chen, K. CRC-Aided Decoding of Polar Codes. IEEE Commun. Lett. 2012, 16, 1668–1671. [Google Scholar] [CrossRef]
- Li, B.; Shen, H.; Tse, D. An Adaptive Successive Cancellation List Decoder for Polar Codes with Cyclic Redundancy Check. IEEE Commun. Lett. 2012, 16, 2044–2047. [Google Scholar] [CrossRef]
- Gao, C.; Liu, R.; Dai, B.; Han, X. Path Splitting Selecting Strategy-Aided Successive Cancellation List Algorithm for Polar Codes. IEEE Commun. Lett. 2019, 23, 422–425. [Google Scholar] [CrossRef]
- Wang, X.; Zhang, H.; Li, J.; Bao, X.; Xie, K. An Improved Path Splitting Decision-Aided SCL Decoding Algorithm for Polar Codes. IEEE Commun. Lett. 2021, 25, 3463–3467. [Google Scholar] [CrossRef]
- Zhang, Z.; Zhang, L.; Wang, X.; Zhong, C.; Poor, H.V. A Split-Reduced Successive Cancellation List Decoder for Polar Codes. IEEE J. Sel. Areas Commun. 2016, 34, 292–302. [Google Scholar] [CrossRef]
- Doan, N.; Hashemi, S.A.; Gross, W.J. Fast Successive-Cancellation List Flip Decoding of Polar Codes. IEEE Access 2022, 10, 5568–5584. [Google Scholar] [CrossRef]
- Ardakani, M.H.; Hanif, M.; Ardakani, M.; Tellambura, C. Fast Successive-Cancellation-Based Decoders of Polar Codes. IEEE Trans. Commun. 2019, 67, 4562–4574. [Google Scholar] [CrossRef]
- Sarkis, G.; Giard, P.; Vardy, A.; Thibeault, C.; Gross, W.J. Fast List Decoders for Polar Codes. IEEE J. Sel. Areas Commun. 2016, 34, 318–328. [Google Scholar] [CrossRef]
- Afisiadis, O. A low-complexity improved successive cancellation decoder for polar codes. In Proceedings of the 2014 48th Asilomar Conference on Signals, Systems and Computers, Pacific Grove, CA, USA, 2–5 November 2014; pp. 2116–2120. [Google Scholar]
- Ercan, F.; Condo, C.; Gross, W.J. Improved Bit-Flipping Algorithm for Successive Cancellation Decoding of Polar Codes. IEEE Trans. Commun. 2019, 67, 61–72. [Google Scholar] [CrossRef]
- Condo, C.; Ercan, F.; Gross, W.J. Improved Successive Cancellation Flip Decoding of Polar Codes Based on Error Distribution. In Proceedings of the 2018 IEEE Wireless Communications and Networking Conference Workshops (WCNCW), Barcelona, Spain, 15–18 April 2018; pp. 19–24. [Google Scholar]
- Zhang, Z.; Qin, K.; Zhang, L.; Chen, G.T. Progressive Bit-Flipping Decoding of Polar Codes: A Critical-Set Based Tree Search Approach. IEEE Access 2018, 6, 57738–57750. [Google Scholar] [CrossRef]
- Wang, D.; Yin, J.; Xu, Y.; Yang, X.; Hua, G. Threshold Based D-SCFlip Decoding of Polar Codes. IEICE Trans. Commun. 2023, E106.B, 635–644. [Google Scholar] [CrossRef]
- Chandesris, L.; Savin, V.; Declercq, D. Dynamic-SCFlip Decoding of Polar Codes. IEEE Trans. Commun. 2018, 66, 2333–2345. [Google Scholar] [CrossRef]
- Yu, Y.Y.; Pan, Z.W.; Liu, N.; You, X.H. Successive Cancellation List Bit-flip Decoder for Polar Codes. In Proceedings of the 2018 10th International Conference on Wireless Communications and Signal Processing (WCSP), Hangzhou, China, 18–20 October 2018; pp. 1–6.
- Rowshan, M.; Viterbo, E. Shifted Pruning for Path Recovery in List Decoding of Polar Codes. In Proceedings of the 2021 IEEE 11th Annual Computing and Communication Workshop and Conference (CCWC), Las Vegas, NV, USA, 27–30 January 2021; pp. 1179–1184. [Google Scholar]
- Cheng, F.; Liu, A.; Ren, J.D. Bit-Flip Algorithm for Successive Cancellation List Decoder of Polar Codes. IEEE Access 2019, 7, 58346–58352. [Google Scholar] [CrossRef]
- Pan, Y.H.; Wang, C.H.; Ueng, Y.L. Generalized SCL-Flip Decoding of Polar Codes. In Proceedings of the GLOBECOM 2020—2020 IEEE Global Communications Conference, Taipei, Taiwan, 7–11 December 2020; pp. 1–6. [Google Scholar]
- Balatsoukas-Stimming, A.; Parizi, M.B.; Burg, A. LLR-Based Successive Cancellation List Decoding of Polar Codes. IEEE Trans. Signal. Process. 2015, 63, 5165–5179. [Google Scholar] [CrossRef]













Disclaimer/Publisher’s Note: The statements, opinions and data contained in all publications are solely those of the individual author(s) and contributor(s) and not of MDPI and/or the editor(s). MDPI and/or the editor(s) disclaim responsibility for any injury to people or property resulting from any ideas, methods, instructions or products referred to in the content. |
© 2023 by the authors. Licensee MDPI, Basel, Switzerland. This article is an open access article distributed under the terms and conditions of the Creative Commons Attribution (CC BY) license (https://creativecommons.org/licenses/by/4.0/).
Share and Cite
Wang, D.; Yin, J.; Xu, Y.; Yang, X.; Xu, Q.; Hua, G. An Improved Bit-Flipping Algorithm of Successive Cancellation List Decoding for Polar Codes. Mathematics 2023, 11, 4462. https://doi.org/10.3390/math11214462
Wang D, Yin J, Xu Y, Yang X, Xu Q, Hua G. An Improved Bit-Flipping Algorithm of Successive Cancellation List Decoding for Polar Codes. Mathematics. 2023; 11(21):4462. https://doi.org/10.3390/math11214462
Chicago/Turabian StyleWang, Desheng, Jihang Yin, Yonggang Xu, Xuan Yang, Qiuwei Xu, and Gang Hua. 2023. "An Improved Bit-Flipping Algorithm of Successive Cancellation List Decoding for Polar Codes" Mathematics 11, no. 21: 4462. https://doi.org/10.3390/math11214462
APA StyleWang, D., Yin, J., Xu, Y., Yang, X., Xu, Q., & Hua, G. (2023). An Improved Bit-Flipping Algorithm of Successive Cancellation List Decoding for Polar Codes. Mathematics, 11(21), 4462. https://doi.org/10.3390/math11214462



