Impulsive Control of Some Types of Nonlinear Systems Using a Set of Uncertain Control Matrices
Abstract
1. Introduction, Motivation and Model Formulation
2. Preliminaries
3. Main Results
- (i)
- ;
- (ii)
- for every ,
- (i)
- For it can be obtained that
- (ii)
- For ,
- (i)
- ;
- (ii)
- for every α,
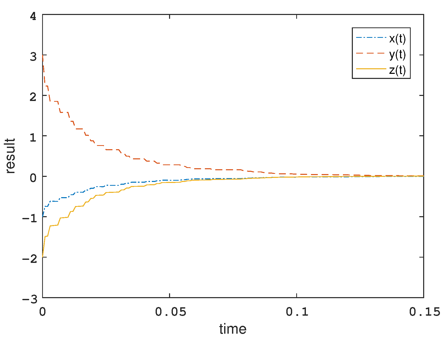
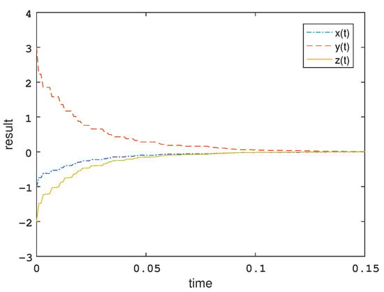
4. Numerical Examples and Simulations
5. Comparison of Results
6. Conclusions
Author Contributions
Funding
Institutional Review Board Statement
Informed Consent Statement
Data Availability Statement
Conflicts of Interest
References
- Lorenz, E.N. Deterministic nonperiodic flow. J. Atmos. Sci. 1963, 20, 130–141. [Google Scholar] [CrossRef]
- Chua, L.O. The genesis of Chua’s circuit. Archiv. Fur. Elektronik Ubertragunstechnik. 1992, 46, 250–257. [Google Scholar]
- Chen, G.; Ueta, T. Yet another chaotic attractor. Int. J. Bifurc. Chaos 1999, 9, 1465–1466. [Google Scholar] [CrossRef]
- Feng, Y.; Yang, X.; Song, Q.; Cao, J. Synchronization of memristive neural networks with mixed delays via quantized intermittent control. Appl. Math. Comput. 2018, 339, 874–887. [Google Scholar] [CrossRef]
- Yang, X.; Feng, Y.; Yiu, K.F.C.; Song, Q.; Alsaadi, F.E. Synchronization of coupled neural networks with infinite-time distributed delays via quantized intermittent pinning control. Nonlinear Dyn. 2018, 94, 2289–2303. [Google Scholar] [CrossRef]
- Zadeh, L.A. Fuzzy sets. Inf. Control 1965, 8, 338–353. [Google Scholar] [CrossRef]
- Yang, X.; Lu, J.; Ho, D.W.C.; Song, Q. Synchronization of uncertain hybrid switching and impulsive complex networks. Appl. Math. Model. 2018, 59, 379–392. [Google Scholar] [CrossRef]
- Yang, X.; Lam, J.; Ho, D.W.C.; Feng, Z. Fixed-time synchronization of complex networks with impulsive effects via non-chattering control. IEEE Trans. Autom. Control. 2017, 62, 5511–5521. [Google Scholar] [CrossRef]
- Yang, X.; Yang, Z. Synchronization of TS fuzzy complex dynamical networks with time-varying impulsive delays and stochastic effects. Fuzzy Sets Syst. 2014, 235, 25–43. [Google Scholar] [CrossRef]
- Zhang, L.; Yang, X.; Xu, C.; Feng, J. Exponential synchronization of complex-valued complex networks with time-varying delays and stochastic perturbations via time-delayed impulsive control. Appl. Math. Comput. 2017, 306, 22–30. [Google Scholar] [CrossRef]
- Zhou, Y.; Li, C.; Huang, T. Impulsive stabilization and synchronization of Hopfield-type neural networks with impulsive time window. Neural. Comput. Appl. 2017, 28, 775–782. [Google Scholar] [CrossRef]
- Feketa, P.; Bajcinca, N. On robustness of impulsive stabilization. Automatica 2019, 104, 48–56. [Google Scholar] [CrossRef]
- Mancilla-Aguilar, J.L.; Haimovich, H.; Feketa, P. Uniform stability of nonlinear time-varying impulsive systems with eventually unifromly bounded impulse frequency. Nonlinear Anal. Hybrid Syst. 2020, 38, 100933. [Google Scholar] [CrossRef]
- Zheng, Y.; Chen, G. Fuzzy impulsive control of chaotic systems based on TS fuzzy model. Cahos Solitions Fractals 2009, 39, 2002–2011. [Google Scholar] [CrossRef]
- Hu, C.; Jiang, H.; Teng, Z. Fuzzy impulsive control and synchronization of general chaotic system. Acta Appl. Math. 2010, 109, 463–485. [Google Scholar] [CrossRef]
- Li, Z.; Wen, C.; Soh, Y.C. Analysis and design of impulsive control systems. IEEE Trans. Automtic Control. 2001, 46, 894–897. [Google Scholar] [CrossRef]
- Onasanya, B.O.; Wen, S.; Feng, Y.; Zhang, W.; Tang, N.; Ademola, A.T. Varying control intensity of synchronized chaotic system with time delay. J. Physics Conf. Ser. 2021, 1828, 1–9. [Google Scholar] [CrossRef]
- Yang, T. Impulsive Control Theory; Springer Science & Business Media: Berlin/Heidelberg, Germany, 2001; Volume 272. [Google Scholar]
- Wang, Z.; Wu, H. Fuzzy impulsive control for uncertain nonlinear systems with guaranteed cost. Fuzzy Sets Syst. 2015, 302, 143–162. [Google Scholar] [CrossRef]
- Li, X.; Peng, D.; Cao, J. Lyapunov stability for impulsive systems via event-triggered impulsive control. IEEE Trans. Autom. Control 2020, 65, 4908–4913. [Google Scholar] [CrossRef]
- Li, X.; Yang, X.; Cao, J. Event-triggered impulsive control for nonlinear delay systems. Automatica 2020, 117, 108981. [Google Scholar] [CrossRef]
- Huang, T.; Li, C.; Duan, S.; Starzyk, J. Robust exponential stability of uncertain delayed neural networks with stochastic perturbation and impulse effects. IEEE Trans. Neural Networks Learn. Syst. 2012, 23, 866–875. [Google Scholar] [CrossRef] [PubMed]
- Liao, C.; Tu, D.; Feng, Y.; Zhang, W.; Wang, Z.; Onasanya, B.O. A Sandwich Control System with Dual Stochastic Impulses. IEEE/CAA J. Autom. Sin. 2022, 9, 741–744. [Google Scholar] [CrossRef]
- Li, X.; Yang, X.; Song, S. Lyapunov conditions for finite-time stability of time-varying time-delay systems. Automatica 2019, 103, 135–140. [Google Scholar] [CrossRef]
- Feng, Y.; Wang, Z.; Zhang, W. A nonlinear impulsive control system with impulsive time windows and un-fixed coefficient of impulsive intensity. In Proceedings of the 2019 6th International Conference on Information, Cybernetics, and Computational Social Systems (ICCSS), Chongqing, China, 27–30 September 2019; pp. 67–71. [Google Scholar]
- Feng, Y.; Li, C.; Huang, T. Periodically multiple state-jumps impulsive control systems with impulsive time windows. Neurocomputing 2016, 193, 7–13. [Google Scholar] [CrossRef]
- Boyd, S.; Ghaoui, L.E.; Feron, E. Linear Matrix Inequalities in System and Control Theory. Chaos Soliton Fractals 1994, 15, 157–193. [Google Scholar]
- Feng, Y.; Peng, L.; Zou, L.; Tu, Z.; Liu, J. A note on impulsive control of nonlinear systems with impulsive time windows. J. Nonlinear Sci. Appl. 2017, 10, 3087–3098. [Google Scholar] [CrossRef]
- Onasanya, B.O.; Wen, S.; Feng, Y.; Zhang, W.; Xiong, J. Fuzzy coefficient of impulsive intensity in a nonlinear impulsive system. Neural Process. Lett. 2021, 53, 4639–4657. [Google Scholar] [CrossRef]
- Shilnikov, L. Chua’s circuit: Rigorous results and future problems. Int. J. Bifur. Chaos. 1994, 4, 489–519. [Google Scholar] [CrossRef]









Disclaimer/Publisher’s Note: The statements, opinions and data contained in all publications are solely those of the individual author(s) and contributor(s) and not of MDPI and/or the editor(s). MDPI and/or the editor(s) disclaim responsibility for any injury to people or property resulting from any ideas, methods, instructions or products referred to in the content. |
© 2023 by the authors. Licensee MDPI, Basel, Switzerland. This article is an open access article distributed under the terms and conditions of the Creative Commons Attribution (CC BY) license (https://creativecommons.org/licenses/by/4.0/).
Share and Cite
Wu, K.; Onasanya, B.O.; Cao, L.; Feng, Y. Impulsive Control of Some Types of Nonlinear Systems Using a Set of Uncertain Control Matrices. Mathematics 2023, 11, 421. https://doi.org/10.3390/math11020421
Wu K, Onasanya BO, Cao L, Feng Y. Impulsive Control of Some Types of Nonlinear Systems Using a Set of Uncertain Control Matrices. Mathematics. 2023; 11(2):421. https://doi.org/10.3390/math11020421
Chicago/Turabian StyleWu, Keke, Babatunde Oluwaseun Onasanya, Longzhou Cao, and Yuming Feng. 2023. "Impulsive Control of Some Types of Nonlinear Systems Using a Set of Uncertain Control Matrices" Mathematics 11, no. 2: 421. https://doi.org/10.3390/math11020421
APA StyleWu, K., Onasanya, B. O., Cao, L., & Feng, Y. (2023). Impulsive Control of Some Types of Nonlinear Systems Using a Set of Uncertain Control Matrices. Mathematics, 11(2), 421. https://doi.org/10.3390/math11020421

