A Study on Two-Warehouse Inventory Systems with Integrated Multi-Purpose Production Unit and Partitioned Rental Warehouse
Abstract
1. Introduction
2. Literature Review and Model Initiation
3. Notations, Assumptions, and Model Descriptions
3.1. Assumptions of the Model
- The production rate of the system is higher than the demand rate.
- The demand rate is higher compared to the rate of rework processes.
- The RW is used not only to store the excess items but also the defective items which are identified by the screening process.
- The RW has two blocks; say RW1 to store the excess items after filled the OW of its full capacity. Say RW2 to store the screened and identified defective items which have to be sent to the re-do facility.
- Both production and screening processes are simultaneously taking place.
- After production is completed, the same machine is used for rework processes.
- After completing the screening processes, all the identified defective items are sent to the production unit as a batch for rework.
- Only the non-defective items may be subject to deterioration.
- No deterioration takes place for the identified defective items in RW2 which are sent for the re-do process as a single slot.
- All defective items are considered to be made as perfect ones after undergoing the re-do process.
- All defective items sent for re-do processes are received back within the interval [t2,t3].
3.2. Model Description
4. Governing Equations of the Model
5. Cost Analysis, Total Cost Function, and Optimization
5.1. Cost Analysis
5.1.1. Production Cost
5.1.2. Setup Cost
5.1.3. Screening Cost
5.1.4. Rework Cost
5.1.5. Rent for
5.1.6. Holding Cost
5.1.7. Deterioration Cost
5.2. Total Cost Function and Optimization Algorithm
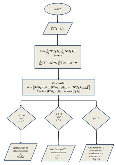
5.3. Optimizing Algorithm
- Step 1: Derive the expressions:, , and .
- Step 2: Solve and for critical points.
- Step 3: Check and identify the critical points, say which give the values of both and .
- Step 4: Among the points, chose a point which gives a minimum value to
6. Model Validation: Numerical Illustration and Sensitive Analysis
6.1. Numerical Illustration
6.2. Sensitive Analysis on Different Environments
6.2.1. Effect of Various Deterioration Rate in Optimizing Total Production Cycle Cost
6.2.2. Effect of Various Demand Rate in Optimizing Total Production Cycle Cost
6.2.3. Effect of Various Production Rate in Optimizing the Total Production Cycle Cost
6.2.4. Effect of Various Rental Cost in Optimizing the Total Production Cycle Cost
7. Conclusions and Future Research Directions
Author Contributions
Funding
Data Availability Statement
Conflicts of Interest
Notations
| , which is stored to use for defective items. | |
| Screening Rate of identifying the non-defective items. | |
| Production rate of the production unit. | |
| Rate of rework of defective item. | |
| . | |
| . | |
| is advertisement-dependent parameter which is influenced by time. | |
| . | |
| Production cost per unit of item. | |
| Setup cost per order. | |
| Screening cost per unit of item. | |
| Rework cost per unit of item. | |
| . | |
| in a unit of time. | |
| in a unit of time. | |
| in a unit of time. | |
| in a unit of time. | |
| in a unit of time. | |
| . | |
| Optimal production duration of the production unit. | |
| Optimal product re-do duration of the production unit. | |
| Optimal idle duration of the production unit. | |
| Optimal total deterioration cost of the entire production cycle. | |
| Optimal total holding cost of the entire production cycle. | |
| Optimal total cost of the entire production cycle. |
References
- Das, S.; Khan, M.A.A.; Mahmoud, E.E.; Abdel-Aty, A.H.; Abualnaja, K.M.; Shaikh, A.A. A production inventory model with partial trade credit policy and reliability. Alex. Eng. J. 2021, 60, 1325–1338. [Google Scholar] [CrossRef]
- Palanivel, M.; Uthayakumar, R. A production-inventory model with variable production cost and probabilistic deterioration. Asia Pac. J. Math. 2014, 1, 197–212. [Google Scholar]
- Palanivel, M.; Uthayakumar, R. An EPQ model with variable production, probabilistic deterioration and partial backlogging under inflation. J. Manag. Anal. 2014, 1, 200–223. [Google Scholar] [CrossRef]
- Gautam, P.; Khanna, A. An imperfect production inventory model with setup cost reduction and carbon emission for an integrated supply chain. Uncertain Supply Chain. Manag. 2018, 6, 271–286. [Google Scholar] [CrossRef]
- Khara, B.; Mondal, S.K.; Dey, J.K. An imperfect production inventory model with advance payment and credit period in a two-echelon supply chain management. RAIRO-Oper. Res. 2021, 55, 189–211. [Google Scholar] [CrossRef]
- Manna, K.; Dey, J.K.; Mondal, S.K. Two layers supply chain in an imperfect production inventory model with two storage facilities under reliability consideration. J. Ind. Prod. Eng. 2018, 35, 57–73. [Google Scholar] [CrossRef]
- Sivashankari, K.; Panayappan, S. Production inventory model with reworking of imperfect production, scrap and shortages. Int. J. Manag. Sci. Eng. Manag. 2014, 9, 9–20. [Google Scholar] [CrossRef]
- Lin, S.; Chen, C.H.; Kroll, D.E. Integrated production-inventory models for imperfect production processes under inspection schedules. Comput. Ind. Eng. 2003, 44, 633–650. [Google Scholar] [CrossRef]
- Shah, N.H.; Vaghela, C.R. Imperfect production inventory model for time and effort dependent demand under inflation and maximum reliability. Int. J. Syst. Sci. Oper. Logist. 2018, 5, 60–68. [Google Scholar] [CrossRef]
- Lin, C.S. Integrated production-inventory models with imperfect production processes and a limited capacity for raw materials. Math. Comput. Model. 1999, 29, 81–89. [Google Scholar] [CrossRef]
- Paul, S.K.; Sarker, R.; Essam, D. Managing disruption in an imperfect production–inventory system. Comput. Ind. Eng. 2015, 84, 101–112. [Google Scholar] [CrossRef]
- Patra, K. An production inventory model with imperfect production and risk. Int. J. Appl. Comput. Math. 2018, 4, 91. [Google Scholar] [CrossRef]
- Sana, S.S.; Chaudhuri, K. An EMQ model in an imperfect production process. Int. J. Syst. Sci. 2010, 41, 635–646. [Google Scholar] [CrossRef]
- Narang, P.; De, P.K. An imperfect production-inventory model for reworked items with advertisement, time and price dependent demand for non-instantaneous deteriorating item using genetic algorithm. Int. J. Math. Oper. Res. 2023, 24, 53–77. [Google Scholar] [CrossRef]
- Mandal, P.; Giri, B.C. A two-warehouse integrated inventory model with imperfect production process under stock-dependent demand and quantity discount offer. Int. J. Syst. Sci. Oper. Logist. 2019, 6, 15–26. [Google Scholar] [CrossRef]
- Sanjai, M.; Periyasamy, S. An inventory model for imperfect production system with rework and shortages. Int. J. Oper. Res. 2019, 34, 66–84. [Google Scholar] [CrossRef]
- Jauhari, W.A. Integrated inventory model for single-vendor single-buyer with imperfect production process. Int. J. Oper. Res. 2014, 20, 283–300. [Google Scholar] [CrossRef]
- Manna, K.; Dey, J.K.; Mondal, S.K. Imperfect production inventory model with production rate dependent defective rate and advertisement dependent demand. Comput. Ind. Eng. 2017, 104, 9–22. [Google Scholar] [CrossRef]
- Khara; Dey, J.K.; Mondal, S.K. An integrated imperfect production system with advertisement dependent demand using branch and bound technique. Flex. Serv. Manuf. J. 2021, 33, 508–546. [Google Scholar] [CrossRef]
- Gautam, P.; Maheshwari, S.; Hasan, A.; Kausar, A.; Jaggi, C.K. Optimal inventory strategies for an imperfect production system with advertisement and price reliant demand under rework option for defectives. RAIRO-Oper. Res. 2022, 56, 183–197. [Google Scholar] [CrossRef]
- Lin, T.Y.; Srivastava, H.M. A two-warehouse inventory model with quantity discounts and maintenance actions under imperfect production processes. Appl. Math. Inf. Sci. 2015, 9, 2493. [Google Scholar]
- Singh, S.R.; Jain, S.; Dem, H. Two storage production model with imperfect quality for decaying items under preservation. Procedia Technol. 2013, 10, 208–215. [Google Scholar] [CrossRef][Green Version]
- Majumder, P.; Bera, U.K.; Maiti, M. An EPQ model for two-warehouse in unremitting release pattern with two-level trade credit period concerning both supplier and retailer. Appl. Math. Comput. 2016, 274, 430–458. [Google Scholar] [CrossRef]
- Kuraie, V.C.; Padiyar, S.S.; Bhagat, N.; Singh, S.R.; Katariya, C. Imperfect production process in an integrated inventory system having multivariable demand with limited storage capacity. Des. Eng. 2021, 9, 1505–1527. [Google Scholar]
- Mahdavisharif, M.; Kazemi, M.; Jahani, H.; Bagheri, F. Pricing and inventory policy for non-instantaneous deteriorating items in vendor-managed inventory systems: A Stackelberg game theory approach. Int. J. Syst. Sci. Oper. Logist. 2023, 10, 2038715. [Google Scholar] [CrossRef]
- Utama, D.M.; Santoso, I.; Hendrawan, Y.; Dania, W.A.P. Integrated procurement-production inventory model in supply chain: A systematic review. Oper. Res. Perspect. 2022, 9, 100221. [Google Scholar]
- Murmu, V.; Kumar, D.; Sarkar, B.; Mor, R.S.; Jha, A.K. Sustainable inventory management based on environmental policies for the perishable products under first or last in and first out policy. J. Ind. Manag. Optim. 2023, 19, 4764–4803. [Google Scholar] [CrossRef]
- Assiddiqi, M.A.; Anantadjaya, S.P.; Ahmad, I.; Le, K.; Iswanto, A.H.; Trung, N.D.; Mutlak, D.A. Integrated pricing and inventory control for perishable products, taking into account the lack of backlog and inventory management policy by the seller. Found. Comput. Decis. Sci. 2022, 47, 371–382. [Google Scholar] [CrossRef]
- Mansur; Handayani, D.I.; Wangsa, I.D.; Utama, D.M.; Jauhari, W.A. A mixed-integer linear programming model for sustainable blood supply chain problems with shelf-life time and multiple blood types. Decis. Anal. J. 2023, 8, 100279. [Google Scholar] [CrossRef]
- Shankar, R.; Ganesh, N.; Čep, R.; Narayanan, R.C.; Pal, S.; Kalita, K. Hybridized particle swarm—Gravitational search algorithm for process optimization. Processes 2022, 10, 616. [Google Scholar] [CrossRef]
- Narayanan, R.C.; Ganesh, N.; Čep, R.; Jangir, P.; Chohan, J.S.; Kalita, K. A Novel Many-Objective Sine–Cosine Algorithm (MaOSCA) for Engineering Applications. Mathematics 2023, 11, 2301. [Google Scholar] [CrossRef]
- Zhao, F.; Wu, H.; Zhu, S.; Zeng, H.; Zhao, Z.; Yang, X.; Zhang, S. Material stock analysis of urban road from nighttime light data based on a bottom-up approach. Environ. Res. 2023, 228, 115902. [Google Scholar] [CrossRef]
- Liu, P.; Shi, J.; Wang, Z.A. Pattern formation of the attraction-repulsion Keller-Segel system. Discret. Contin. Dyn. Syst. Ser. B 2013, 18, 2597–2625. [Google Scholar] [CrossRef]
- Utama, D.M.; Dewi, S.K.; Maulana, S.K.D.B. Optimization of joint economic lot size model for vendor-buyer with exponential quality degradation and transportation by chimp optimization algorithm. Complexity 2022, 2022, 9619530. [Google Scholar] [CrossRef]
- Chen, Z.; Zhu, W.; Feng, H.; Luo, H. Changes in corporate social responsibility efficiency in Chinese food industry brought by COVID-19 pandemic-A study with the super-efficiency DEA-Malmquist-Tobit model. Front. Public Health 2022, 10, 875030. [Google Scholar] [CrossRef] [PubMed]
- Li, J.; Yang, X.; Shi, V.; Cai, G.C. Partial centralization in a durable-good supply chain. Prod. Oper. Manag. 2023, 32, 2775–2787. [Google Scholar] [CrossRef]
- Li, Q.-K.; Lin, H.; Tan, X.; Du, S. H∞ consensus for multiagent-based supply chain systems under switching topology and uncertain demands. IEEE Trans. Syst. Man Cybern. Syst. 2020, 50, 4905–4918. [Google Scholar] [CrossRef]
- Jin, H.-Y.; Wang, Z.-A.; Wu, L. Global dynamics of a three-species spatial food chain model. J. Differ. Equ. 2022, 333, 144–183. [Google Scholar] [CrossRef]
- Chen, D.; Wang, Q.; Li, Y.; Li, Y.; Zhou, H.; Fan, Y. A general linear free energy relationship for predicting partition coefficients of neutral organic compounds. Chemosphere 2020, 247, 125869. [Google Scholar] [CrossRef]
- Ganesh, N.; Shankar, R.; Kalita, K.; Jangir, P.; Oliva, D.; Pérez-Cisneros, M. A Novel Decomposition-Based Multi-Objective Symbiotic Organism Search Optimization Algorithm. Mathematics 2023, 11, 1898. [Google Scholar] [CrossRef]
- Nurhasril, N.; Supadi, S.S.; Omar, M. A two-warehouse inventory model with rework process and time-warehouse demand. Malays. J. Sci. 2023, 17–31. [Google Scholar] [CrossRef]
- Pareek, S.; Cárdenas-Barrón, L.E.; Mittal, M. Impact of imperfect quality items on inventory management for two warehouses with shortages. Int. J. Math. Eng. Manag. Sci. 2020, 5, 869. [Google Scholar]
- Thilagavathi, R.; Viswanath, J.; Cepova, L.; Schindlerova, V. Effect of Inflation and Permitted Three-Slot Payment on Two-Warehouse Inventory System with Stock-Dependent Demand and Partial Backlogging. Mathematics 2022, 10, 3943. [Google Scholar] [CrossRef]
- Viswanath, J.; Thilagavathi, R.; Karthik, K.; Mahdal, M. A Study of a Two Storage Single Product Inventory System with Ramp Type Demand, N-Phase Prepayment and Purchase for Exigency. Mathematics 2023, 11, 1728. [Google Scholar] [CrossRef]
- Kumar, S. An Inventory Model for Decaying Items Under Preservation Technological Effect with Advertisement Dependent Demand and Trade Credit. Int. J. Appl. Comput. Math. 2021, 7, 128. [Google Scholar] [CrossRef]
- Mashud, M.; Hasan, M.R. An economic order quantity model for decaying products with the frequency of advertisement, selling price, and continuous time dependent demand under partially backlogged shortage. Int. J. Supply Oper. Manag. 2019, 6, 296–314. [Google Scholar]
- Thilagavathi, R.; Viswanath, J. Non-Instantaneous Deteriorated Single Product Inventory System with Break in Service while the Arrival of Demand. AIP Conf. Proc. 2023, 2829, 050005. [Google Scholar]
- Utama, D.M.; Maulana, S.K.D.B.; Baroto, T.; Dewi, S.K. Optimizing vendor-buyer inventory model withexponential quality degradation for food product using grey wolfoptimizer. Int. J. Food Syst. Dyn. 2022, 13, 225–246. [Google Scholar]
- Khan, M.A.A.; Shaikh, A.A.; Konstantaras, I.; Bhunia, A.K.; Cárdenas-Barrón, L.E. Inventory models for perishable items with advanced payment, linearly time-dependent holding cost, and demand dependent on advertisement and selling price. Int. J. Prod. Econ. 2020, 230, 107804. [Google Scholar] [CrossRef]
- Utama, D.M.; Santoso, I.; Hendrawan, Y.; Dania, W.A. Sustainable Production-inventory model with multi-material, quality degradation, and probabilistic demand: From bibliometric analysis to a robust model. Indones. J. Sci. Technol. 2023, 8, 171–196. [Google Scholar] [CrossRef]
- Salameh, M.K.; Jaber, M.Y. Economic production quantity model for items with imperfect quality. Int. J. Prod. Econ. 2000, 64, 59–64. [Google Scholar] [CrossRef]
- Chung, K.J.; Her, C.C.; Lin, S.D. A two-warehouse inventory model with imperfect quality production processes. Comput. Ind. Eng. 2009, 56, 193–197. [Google Scholar] [CrossRef]
- Jaouhari, E.; El Bhilat, E.M.; Arif, J. Scrutinizing IoT applicability in green warehouse inventory management system based on Mamdani fuzzy inference system: A case study of an automotive semiconductors industrial firm. J. Ind. Prod. Eng. 2023, 40, 87–101. [Google Scholar] [CrossRef]
- Barron, Y. Integrating Replenishment Policy and Maintenance Services in a Stochastic Inventory System with Bilateral Movements. Mathematics 2023, 11, 864. [Google Scholar] [CrossRef]
- Padiyar, S.V.S.; Kuraie, V.C.; Rajput, N.; Padiyar, N.B.; Joshi, D.; Adhikari, M. Production inventory model with limited storage problem for perishable items under learning and inspection with fuzzy parameters. Des. Eng. 2021, 9, 12821–12839. [Google Scholar]















| Authors | Number of Warehouses | Demand Nature | Deterioration | Screening | Imperfect Quality | Re-Do Processes | Optimization |
|---|---|---|---|---|---|---|---|
| Das, S. et al., 2021 [1] | One | Selling price | Constant | NO | NO | NO | Cost |
| Palanivel, 2014 [2,3] | One | Selling price and cost for advertisement | Continuous probability distribution | NO | NO | NO | Cost |
| Gautam, P., 2018 [4] | One | Constant | No | Yes | Yes | Yes | Cost |
| Khara, B., 2021 [5] | One | Constant | No | Yes | Yes | No | Cost |
| Manna, A.K., 2021 [6] | Two | Constant | Constant | Yes | Yes | Yes | Cost |
| Sivashankari, C.K., 2014 [7] | One | Constant | No | Yes | Yes | Yes | Cost |
| Lin, C.S., 2003 [8] | One | Constant | No | Yes | Yes | Yes | Cost |
| Shah, N.H., 2018 [9] | One | Time and advertisement | Constant | Yes | Yes | Profit | |
| Lin, C.S., 1999 [10] | One | Constant | Exponential | Yes | Yes | Cost | |
| Paul, S.K., 2015 [11] | One | Constant | No | Yes | Rejected | No | Profit |
| Patra, K., 2018 [12] | One | Advertisement and selling price | No | Yes | Sold with discount price | No | Profit |
| Sana, S.S., 2010 [13] | One | Constant | No | No | No | No | Cost |
| Narang, P., 2023 [14] | One | Advertisement, price, and time | Non-instantaneous | Yes | Some % of items are sale at discount price | % are sent for rework | Profit |
| Mandal, P., 2019 [15] | Two | Stock dependent | No | Yes | Yes | Yes | Cost |
| Sanjai, M., 2019 [16] | One | Constant | No | Yes | Yes | Yes | Profit |
| Jauhari, W.A., 2019 [17] | One | Stochastic | No | Yes | Yes | Yes | Cost |
| Manna, A.K., 2017 [18] | One | Advertisement and time dependent | Production rate dependent | Yes | Sale at reduced cost | No | Profit |
| Khara, B., 2021 [19] | One | Advertisement | No | No | No | No | Profit |
| Gautam, P., 2022 [20] | One | Selling price and advertisements. | No | Yes | Yes | Yes | Cost |
| Lin, T.Y., 2015 [21] | Two | Constant | No | Yes | Yes | Yes | Cost |
| Singh, S.R., 2013 [22] | Two | Constant | Constant | Yes | Yes | Yes | Cost |
| Majumder, P., 2016 [23] | Two | Stock | Constant | No | No | No | Cost |
| Present paper | Multiple | Time and advertisement | Constant | Yes | Yes | Yes | Cost |
| 0.21 | 6.48 | 10.25 | 2.52 | 1.25 | 650.24 | 597.37 | 3266.09 | |
| 0.25 | 6.48 | 10.67 | 2.52 | 1.67 | 684.26 | 565.88 | 3189.16 | |
| 0.29 | 6.48 | 10.75 | 2.52 | 1.75 | 706.83 | 537.83 | 3169.27 | |
| Part I | 0.33 | 6.48 | 10.72 | 2.52 | 1.72 | 723.69 | 514.74 | 3168.46 |
| 0.37 | 6.48 | 10.66 | 2.52 | 1.66 | 737.73 | 495.98 | 3174.55 | |
| 0.41 | 6.48 | 10.59 | 2.52 | 1.59 | 749.07 | 480.26 | 3183.02 | |
| 0.45 | 6.48 | 10.52 | 2.52 | 1.52 | 758.39 | 466.95 | 3192.00 | |
| 0.20 | 5.91 | 10.16 | 3.09 | 1.16 | 665.06 | 580.43 | 3122.99 | |
| 0.21 | 5.61 | 10.11 | 3.39 | 1.11 | 655.71 | 573.73 | 3034.31 | |
| Part II | 0.22 | 5.45 | 10.07 | 3.55 | 1.07 | 652.41 | 557.64 | 2977.50 |
| 0.23 | 5.37 | 10.05 | 3.63 | 1.05 | 649.14 | 542.70 | 2940.46 | |
| 0.24 | 5.35 | 10.04 | 3.65 | 1.04 | 645.60 | 528.73 | 2916.29 | |
| 0.25 | 5.34 | 10.03 | 3.66 | 1.03 | 641.57 | 515.51 | 2900.78 | |
| 0.26 | 5.34 | 10.02 | 3.66 | 1.02 | 638.42 | 504.62 | 2878.17 |
| 5.67 | 10.71 | 3.33 | 1.71 | 1078.62 | 984.03 | 3782.18 | ||
| 5.88 | 10.59 | 3.12 | 1.59 | 975.07 | 890.93 | 3660.66 | ||
| 6.09 | 10.48 | 2.91 | 1.48 | 869.15 | 795.15 | 3535.01 | ||
| Part I | 6.29 | 10.36 | 2.71 | 1.36 | 761.43 | 761.43 | 3402.43 | |
| 6.48 | 10.25 | 2.52 | 1.25 | 650.24 | 597.37 | 3266.09 | ||
| 6.67 | 10.14 | 2.33 | 1.14 | 537.26 | 494.90 | 3125.12 | ||
| 6.84 | 10.02 | 2.16 | 1.02 | 421.32 | 389.93 | 2979.71 | ||
| 0.86 | 5.65 | 10.39 | 3.35 | 1.39 | 659.59 | 604.83 | 3031.46 | |
| 0.87 | 5.15 | 10.50 | 3.85 | 1.50 | 658.21 | 602.69 | 2875.75 | |
| 0.88 | 4.81 | 10.58 | 4.19 | 1.58 | 653.99 | 598.41 | 2764.84 | |
| Part II | 0.89 | 4.57 | 10.65 | 4.43 | 1.65 | 648.97 | 593.38 | 2681.60 |
| 0.9 | 4.39 | 10.71 | 4.61 | 1.71 | 644.02 | 588.52 | 2616.56 | |
| 0.91 | 4.24 | 10.76 | 4.76 | 1.76 | 640.40 | 585.19 | 2564.03 | |
| 0.92 | 4.12 | 10.81 | 4.88 | 1.81 | 636.38 | 581.03 | 2520.92 |
| 65 | 6.87 | 10.17 | 2.13 | 1.17 | 487.45 | 447.02 | 2970.23 |
| 70 | 6.48 | 10.25 | 2.52 | 1.25 | 650.24 | 597.37 | 3266.09 |
| 75 | 6.13 | 10.42 | 2.87 | 1.42 | 801.61 | 736.68 | 3547.50 |
| 80 | 5.81 | 10.57 | 3.19 | 1.57 | 946.55 | 870.00 | 3816.4 |
| 85 | 5.52 | 10.71 | 3.48 | 1.71 | 1086.09 | 998.04 | 4074.33 |
| 90 | 5.26 | 10.84 | 3.74 | 1.84 | 1220.02 | 1120.66 | 4322.54 |
| 95 | 5.01 | 10.96 | 3.9 | 1.96 | 1351.55 | 1241.06 | 4562.03 |
| 700 | 6.48 | 10.25 | 2.52 | 1.25 | 650.24 | 597.37 | 3266.09 |
| 1700 | 6.48 | 10.31 | 2.52 | 1.31 | 657.22 | 602.42 | 3363.36 |
| 2700 | 6.48 | 10.36 | 2.52 | 1.36 | 663.21 | 606.80 | 3460.10 |
| 3700 | 6.48 | 10.42 | 2.52 | 1.42 | 667.45 | 612.24 | 3556.36 |
| 4700 | 6.48 | 10.47 | 2.52 | 1.47 | 677.03 | 616.91 | 3652.05 |
| 5700 | 6.48 | 10.53 | 2.52 | 1.53 | 684.92 | 622.72 | 3747.27 |
| 6700 | 6.48 | 10.58 | 2.52 | 1.58 | 691.68 | 627.81 | 3842.02 |
Disclaimer/Publisher’s Note: The statements, opinions and data contained in all publications are solely those of the individual author(s) and contributor(s) and not of MDPI and/or the editor(s). MDPI and/or the editor(s) disclaim responsibility for any injury to people or property resulting from any ideas, methods, instructions or products referred to in the content. |
© 2023 by the authors. Licensee MDPI, Basel, Switzerland. This article is an open access article distributed under the terms and conditions of the Creative Commons Attribution (CC BY) license (https://creativecommons.org/licenses/by/4.0/).
Share and Cite
Jagadeesan, V.; Rajamanickam, T.; Schindlerova, V.; Subbarayan, S.; Cep, R. A Study on Two-Warehouse Inventory Systems with Integrated Multi-Purpose Production Unit and Partitioned Rental Warehouse. Mathematics 2023, 11, 3986. https://doi.org/10.3390/math11183986
Jagadeesan V, Rajamanickam T, Schindlerova V, Subbarayan S, Cep R. A Study on Two-Warehouse Inventory Systems with Integrated Multi-Purpose Production Unit and Partitioned Rental Warehouse. Mathematics. 2023; 11(18):3986. https://doi.org/10.3390/math11183986
Chicago/Turabian StyleJagadeesan, Viswanath, Thilagavathi Rajamanickam, Vladimira Schindlerova, Sreelakshmi Subbarayan, and Robert Cep. 2023. "A Study on Two-Warehouse Inventory Systems with Integrated Multi-Purpose Production Unit and Partitioned Rental Warehouse" Mathematics 11, no. 18: 3986. https://doi.org/10.3390/math11183986
APA StyleJagadeesan, V., Rajamanickam, T., Schindlerova, V., Subbarayan, S., & Cep, R. (2023). A Study on Two-Warehouse Inventory Systems with Integrated Multi-Purpose Production Unit and Partitioned Rental Warehouse. Mathematics, 11(18), 3986. https://doi.org/10.3390/math11183986

