Next Article in Journal
Existence of Fuzzy Fixed Points and Common Fuzzy Fixed Points for FG-Contractions with Applications
Previous Article in Journal
Numerical Investigation of Cavitating Jet Flow Field with Different Turbulence Models
 
 
Font Type:
Arial Georgia Verdana
Font Size:
Aa Aa Aa
Line Spacing:
Column Width:
Background:
Article

Slash-Weighted Lindley Distribution: Properties, Inference, and Applications

by
Jaime S. Castillo
1,
Inmaculada Barranco-Chamorro
2,
Osvaldo Venegas
3,* and
Héctor W. Gómez
1
1
Departamento de Estadística y Ciencias de Datos, Facultad de Ciencias Básicas, Universidad de Antofagasta, Antofagasta 1240000, Chile
2
Departamento de Estadística e Investigación Operativa, Facultad de Matemáticas, Universidad de Sevilla, 41012 Sevilla, Spain
3
Departamento de Ciencias Matemáticas y Físicas, Facultad de Ingeniería, Universidad Católica de Temuco, Temuco 4780000, Chile
*
Author to whom correspondence should be addressed.
Mathematics 2023, 11(18), 3980; https://doi.org/10.3390/math11183980
Submission received: 28 August 2023 / Revised: 13 September 2023 / Accepted: 14 September 2023 / Published: 19 September 2023
(This article belongs to the Section D1: Probability and Statistics)

Abstract

:
The slash-weighted Lindley model is introduced due to the need to obtain a model with more kurtosis than the weighted Lindley distribution. Several expressions for the pdf of this model are given. Its cumulative distribution function is expressed in terms of a generalized hypergeometric function and the incomplete gamma function. Moments and maximum likelihood estimation were studied. A simulation study was carried out to illustrate the good performance of the estimates. Finally, two real applications are included.

1. Introduction

The Lindley distribution was introduced by Lindley [1], and it has been widely used for modeling survival or reliability data. A treatment of the mathematical properties of this model can be seen in Ghitany et al. [2]. Recall that a nonnegative random variable (rv) T follows a Lindley distribution with shape parameter α > 0 , T L ( α ) , if its probability density function (pdf) is given by
f T ( t ; α ) = α 2 1 + α ( 1 + t ) exp ( α t ) , t > 0 .
On the other hand, Patil and Rao [3] proposed weighted distributions. This is a well-known technique used to generate new models. The weighted distributions are used to describe skewed data and data coming from hidden truncated models. In this paper, we focused on the weighted version of the Lindley distribution proposed by Ghitany et al. [4], which is of interest in survival analysis. A nonnegative rv follows a Weighted Lindley (WL) distribution with parameters α > 0 and β > 0 , X W L ( α , β ) , if its pdf is given by
f X ( x ; α , β ) = α β + 1 ( α + β ) Γ ( β ) x β 1 ( 1 + x ) exp ( α x ) , x > 0 ,
where Γ ( · ) denotes the gamma function.
The aim of our paper was to introduce a new extension of the WL distribution by using the slash methodology, in such a way that the new model has a heavier right tail than the original WL one. To reach this end, the Slash-Weighted Lindley (SWL) distribution is defined as follows:
Z = X Y 1 ,
where X W L ( α , β ) , α > 0 , β > 0 , Y B e t a ( q , 1 ) , and q > 0 are independent. (1) is denoted as Z S W L ( α , β , q ) .
We highlight that the slash methodology is appropriate to obtain more-flexible models in terms of kurtosis and skewness than the original distribution. Since the pioneering works by Rogers and Tukey [5] and Mosteller and Tukey [6], it has been applied to a number of symmetrical and skewed distributions. We can cite Gómez et al. [7] for distributions with elliptical contours, Olmos et al. [8] for the generalized half-normal distribution, Del Castillo [9] for the sum of independent logistic distributions, Reyes et al. for the Birnbaum–Saunders distribution in [10,11] and for the normal distribution in [12], Barranco-Chamorro et al. [13] for the generalized Rayleigh distribution in Wang and Genton [14] and in Arslan and Genc [15], who proposed multivariate versions based on the normal multivariate distribution, to cite only a few.
On the other hand, generalizations of the Lindley and weighted Lindley distribution, along with practical applications, can be seen in Nadarajah et al. [16], Gui [17], Shanker et al. [18,19], Asgharzadeh et al. [20], and Arslan et al. [21], among others. Due to the interest in these models and since this issue has not yet been studied, we focused in this paper on the application of the slash methodology to the weighted Lindley model. It is also worth noting that our proposal is appropriate to deal with skewed positive data, quite common in medical research; see for instance, Liu et al. [22] or Ren et al. [23]. In this context, the slash-weighted Lindley distribution is an alternative to lifetime distributions, such as the Weibull distribution [24] or the generalized Gamma distribution introduced by Stacy [25]. This issue will be addressed in our applications.
The outline of this paper is as follows. In Section 2, several expressions for the pdf of the SWL model are given. Next, its cumulative distribution function is obtained in terms of the generalized hypergeometric function and the incomplete gamma function. Moments are also obtained. Section 3 is devoted to maximum likelihood estimation. A simulation study was carried out based on the definition of the SWL model and the representation of the WL model as a mixture proposed by Ghitany [4]. In Section 4, two real applications are given. The final conclusions are included in Section 5.

2. Materials and Methods in the Slash-Weighted Lindley Distribution

In this section, the main results for the SWL model introduced in (1) are given. Special functions are used in our results. Other applications of interest can be seen in Wani [26] or Zayed [27].

2.1. Probability Density Function and Properties

In Proposition 1, the pdf of the SWL distribution will be obtained by using the stochastic representation given in (1). In this result, the confluent hypergeometric function, 1 F 1 , appears. It can be seen in Abramowitz and Stegun [28] that this function has the following integral representation:
1 F 1 ( a ; b ; x ) = Γ ( b ) Γ ( a ) Γ ( b a ) 0 1 v a 1 ( 1 v ) b a 1 e x v d v , b > a > 0 .
Moreover, under suitable conditions, we have
0 1 u α 1 1 ( 1 u ) α 2 1 1 F 1 ( a ; b ; u y ) d u = Γ ( α 1 ) Γ ( α 2 ) Γ ( α 1 + α 2 ) 2 F 2 ( a , α 1 ; b , α 1 + α 2 ; y ) ,
where 2 F 2 denotes the generalized hypergeometric function p F q with p = q = 2 , and the details can be seen in Luke [29] or Zörnig [30]. This result will be used to obtain the cdf of a SWL model.
Next, it is proven that the pdf of SWL ( α , β , q ) can be expressed in terms of the confluent hypergeometric function, 1 F 1 .
Proposition 1.
Let Z S W L ( α , β , q ) with α, β, and q > 0 . Then, the pdf of Z is given by  
f Z ( z ; α , β , q ) = q α β z β 1 ( α + β ) Γ ( β ) α + β + q β + q 1 F 1 ( β + q ; β + q + 1 ; α z ) e α z ,
where z > 0 .
Proof. 
From (1), we can write Z = X Y 1 with X W L ( α ) and Y B e t a ( q , 1 ) independent. By applying the Jacobian technique, the joint pdf of ( Z , W ) with W = Y is
f Z , W ( z , w ) = w f X ( z w ) f Y ( w ) , z > 0 , 0 < w < 1 .
Marginalizing with respect to W, the pdf of Z is
f Z ( z ; α , β , q ) = q α 1 + β ( α + β ) Γ ( β ) z β 1 0 1 w β + q 1 ( 1 + z w ) exp ( α z w ) d w , z > 0 .
Finally, by integration by parts and applying (2), (4) is obtained.    □
Next, several alternative expressions for the pdf of the SWL distribution are given. They will be useful for estimation purposes.
Proposition 2.
Let Z S W L ( α , β , q ) . Then, the pdf of Z can be obtained:
f Z ( z ; α , β , q ) = q ( α + β ) Γ ( β ) α q z q + 1 α γ ( β + q , α z ) + γ ( β + q + 1 , α z ) , z > 0 ,
where z > 0 , α > 0 β > 0 , q > 0 , and γ ( · , · ) denotes the lower incomplete gamma function defined as γ ( s , x ) = 0 x t s 1 e t d t , x 0 , and s > 0 .
Proof. 
Similar to Proposition 1, by using the definition of the gamma incomplete function and integration by parts, the proposed result is obtained.    □
Remark 1.
The following notation will be used throughout this paper:
1. 
An rv T follows a gamma distribution, T G a ( β , α ) , if its pdf is f ( t ) = α β Γ ( β ) t β 1 e α t , α, β > 0 , and t > 0 .
2. 
If the pdf of T is f ( · ) , then we may write T f .
Next, a hierarchical representation for the SWL model is given. Specifically, it is proven that, if the conditional distribution of Z given Y = y , Z | Y = y , is the mixture of gamma distributions proposed in Proposition 3 and Y B e t a ( q , 1 ) , then the marginal distribution of Z is an SWL.
Proposition 3.
If Z | Y = y α α + β f 1 ( z ) + β α + β f 2 ( z ) with f i the pdf of a gamma distribution, G a ( β + i 1 , α y ) , for i = 1 , 2 , and Y B e t a ( q , 1 ) , then Z S W L ( α , β , q ) .
Proof. 
Note that the marginal pdf of Z is given by
f Z ( z ) = f Z | Y = y ( z ) f y ( y ) d y = 0 1 q α β + 1 ( α + β ) Γ ( β ) y β + q 1 z β 1 ( 1 + y z ) e α y z d y .
By proceeding similarly to Proposition 1, the proposed result is obtained.    □

Particular Case of Interest: The Slash Lindley Distribution

Note that, for β = 1 , the SWL model reduces to the Slash Lindley (SL) distribution introduced in [17], that is SWL ( α , 1 , q ) = SL ( α , q ) .
On the other hand, if q , it will be proven in Proposition 6 that SWL ( α , β , q ) converges to the WL ( α , β ) model.

2.2. Cumulative Distribution Function

The following proposition gives the cumulative distribution function (cdf) of the SWL distribution.
Proposition 4.
Let Z S W L ( α , β , q ) . Then, the cdf of Z is given by
F Z ( z ; θ ) = q ( α + β ) Γ ( β ) α + β + q β ( β + q ) ( α z ) β 2 F 2 ( β + q , β ; β + q + 1 , β + 1 ; α z ) γ ( β , α z ) ,
where θ = ( α , β , q ) with α, β, and q > 0 .
Proof. 
The cdf of Z is given by
F Z ( z ; α , β , q ) = 0 z f Z ( t ; α , β , q ) d t .
It can be seen in Luke [29] that, using the expression of the pdf of Z given in (4) and applying (3), the result proposed is obtained.    □
Next, an expression for the cdf of the SWL distribution is given in terms of the incomplete gamma function.
Proposition 5.
Let Z S W L ( α , β , q ) . Then, the cdf of Z is given by
F Z ( z ; θ ) = 1 ( α + β ) Γ ( β ) α γ ( β , α z ) + γ ( β + 1 , α z ) 1 α q z q α γ ( β + q , α z ) + γ ( β + q + 1 , α z ) ,
where θ = ( α , β , q ) with α, β, and q > 0 .
Proof. 
For a = β + q and β + q + 1 , the proposed result is obtained by applying integration by parts to
0 z t ( q + 1 ) γ ( a , α t ) d t .
   □
Next, we briefly illustrate that the right tail in the SWL is heavier than the one in the WL model. Figure 1 compares the pdfs of the WL and SWL models with q = 1 , 5 . Table 1 provides P ( Z > z ) for several values of z. Figure 1 and Table 1 show that the right tail of the SWL is much heavier than the WL model for decreasing values of q. We will go deeper into these appreciations.

2.3. Properties

Next, we study the convergence in law of an SWL model to a WL distribution. To emphasize the relevance of parameter q, in this section, we include it in the notation, i.e., Z q S W L ( α , β , q ) .
Proposition 6.
Let Z q S W L ( α , β , q ) . If q , then Z q converges in law to an rv X W L ( α , β ) .
Proof. 
Let Z q S W L ( α , β , q ) . Then, we can write Z q = X Y q with X W L ( α , β ) and Y q B e t a ( q , 1 ) .
Since Y q B e t a ( q , 1 ) , E [ Y q ] = q 1 + q and V a r [ Y q ] = q ( q + 2 ) ( q + 1 ) 2 . By applying Chebyshev’s inequality to Y q , we have that, for all ϵ > 0 ,
P | Y q E [ Y q ] | > ϵ V a r ( Y q ) ϵ 2 = q ( q + 2 ) ( q + 1 ) 2 ϵ 2 .
If q , then the right-hand side of (6) tends to zero, i.e., Y q E [ Y q ] converges in probability to 0. Moreover, since E [ Y q ] = q 1 + q 1 , q , then we have
Y q = Y q E [ Y q ] + E [ Y q ] P 1 , q .
By applying Slutsky’s lemma to Z q = X Y and since X W L ( α , β ) , it follows that
Z q L X W L ( α , β ) , q .
That is, for increasing values of q, Z q converges in law to a WL ( α , β ) distribution.    □
Proposition 6 implies that, for large q, the pdf of an SWL ( α , β , q ) distribution can be approached by the pdf of a WL ( α , β ) distribution.

2.4. Moments

Proposition 7.
Let Z S W L ( α , β , q ) . Then, for r a positive integer, E Z r exists, if and only if r < q , and in this case,
E Z r = ( α + β + r ) Γ ( β + r ) q α r ( α + β ) Γ ( β ) ( q r ) .
Proof. 
By using the stochastic representation given in (1) and since X and Y are independent, we have
E Z r = E X r E Y r .
It can be seen in Ghitany et al. [4] that E X r exists for r = 1 , 2 , and is given by
E X r = ( α + β + r ) Γ ( β + r ) α r ( α + β ) Γ ( β ) .
As for Y B e t a ( q , 1 ) , we have that E Y r exists if and only if r < q and
E Y r = q q r , q > r .
From (8) and (9), the proposed result follows.    □
From Proposition 7, the next corollary follows.
Corollary 1.
Let Z S W L ( α , β , q ) . Then:
1. 
E [ Z ] = β ( α + β + 1 ) q α ( α + β ) ( q 1 ) , provided that q > 1 .
2. 
V a r [ Z ] = β q α 2 ( α + β ) ( α + β + 2 ) ( β + 1 ) ( q 2 ) β q ( α + β + 1 ) 2 ( α + β ) ( q 1 ) 2 , provided that q > 2 .
3. 
Let μ j = E [ Z j ] . Then, the skewness, β 1 , and kurtosis, β 2 , coefficients can be obtained by using
β 1 = μ 3 3 μ 1 μ 2 + 2 μ 1 3 ( μ 2 μ 1 2 ) 3 2 , q > 3 , β 2 = μ 4 4 μ 1 μ 3 + 6 μ 2 μ 1 2 3 μ 1 4 ( μ 2 μ 1 2 ) 2 , q > 4 .
Figure 2 shows the plot of the skewness and kurtosis coefficients for the SWL model when β = 2 .
Corollary 2.
From (7) and (9), the following relationships between the moments of Z S W L ( α , β , q ) and X W L ( α , β ) are obtained:
1. 
E [ Z ] = μ X q ( q 1 ) , where μ X = E [ X ] and q > 1 .
2. 
V a r [ Z ] = 1 + 2 q 2 V a r [ X ] + q ( q 1 ) 2 ( q 1 ) μ X 2 ,
where q > 2 and ( q 1 ) 2 denotes the falling factorial, ( q 1 ) 2 = ( q 1 ) ( q 2 ) .
3. 
E [ ( Z μ Z ) 3 ] = 1 + 3 q 3 E [ ( X μ X ) 3 ] + 6 q ( q 1 ) 3 μ X V a r [ X ] + 2 q ( q + 1 ) ( q 1 ) 3 ( q 1 ) 2 μ X 3 ,
where q > 3 and ( q 1 ) 3 = ( q 1 ) ( q 2 ) ( q 3 ) .
The expressions given in Corollary 2 can be used to obtain the central moments of an SWL distribution from the ones in a WL model. They also show that, in general, the central moments of the SWL distribution, E [ ( Z μ Z ) j ] , are greater than the ones in the WL model, E [ ( X μ X ) j ] . Moreover, although, in general, the convergence in law does not imply the convergence of moments [31], we have that, for SWL ( α , β , q ) , the moments converge to the moments of WL ( α , β ) when q .

3. Inference

3.1. Maximum Likelihood Estimation

Given Z 1 , Z 2 , , Z n a random sample of size n from SWL ( α , β , q ) , then from (5), the log-likelihood function is given by
( θ ) n log q n log ( α + β ) n log Γ ( β ) n q log ( α ) ( q + 1 ) i = 1 n log ( z i ) + i = 1 n log α γ ( β + q , α z i ) + γ ( β + q + 1 , α z i ) ,
where θ = ( α , β , q ) and ∝ means proportional to.
Taking partial derivatives with respect to α , β , and q, the elements of the score vector are obtained, S ( θ ) = α , β , q , that is
α = n α + β n q α + i = 1 n γ ( β + q , α z i ) + α β + q z i β + q e α z i ( 1 + z i ) α γ ( β + q , α z i ) + γ ( β + q + 1 , α z i ) , β = n α + β n ψ ( β ) + i = 1 n α I ( β + q , α z i ) + I ( β + q + 1 , α z i ) α γ ( β + q , α z i ) + γ ( β + q + 1 , α z i ) , q = n q n log ( α ) i = 1 n log ( z i ) + i = 1 n α I ( β + q , α z i ) + I ( β + q + 1 , α z i ) α γ ( β + q , α z i ) + γ ( β + q + 1 , α z i ) ,
where ψ ( · ) denotes the digamma function and I ( a , v ) = 0 v t a 1 log ( t ) e t d t , a > 0 , and v > 0 , which is related to the generalized integro-exponential function when v = (see Milgram [32]).
The MLEs of θ ^ are obtained as the solution of S ( θ ) = 0 . Numerical methods must be used to solve this system. As the initial values to start the recursion, we propose ( α ^ 0 , β ^ 0 ) , the MLEs of ( α , β ) in a WL ( α , β ) model. As for q, note that, using ( α ^ 0 , β ^ 0 ) and β = q = 0 , an initial estimate of q, q ^ 0 , can be obtained. The existence of the ML estimators for the vector of parameters θ = ( α , β , q ) does not present any difficulties and follows from the properties of the pdf f. Since f is a smooth and continuous function, with first and second derivatives that exist and are finite, then the existence of the roots of the equation S ( θ ) = 0 is guaranteed, and they correspond to the ML estimator of the vector θ . It can be checked that the solutions are a maximum using appropriate calculus techniques.

3.2. Observed Fisher Information Matrix

The asymptotic variance of MLEs, θ ^ = ( α ^ , β ^ , q ^ ) , can be estimated from the Fisher information matrix, given by I ( θ ) = E 2 ( θ ) / θ θ , where ( θ ) was given in (10). Under regularity conditions, the MLEs are asymptotically normal, that is
I ( θ ) 1 / 2 θ ^ θ D N 3 ( 0 3 , I 3 ) , as n + ,
where D stands for convergence in distribution and N 3 ( 0 3 , I 3 ) denotes the standard trivariate normal distribution. I ( θ ) is obtained from the matrix 2 ( θ ) / θ θ , whose elements are given by I α α = 2 ( θ ) / α 2 , I α β = 2 ( θ ) / α β , and so on.
Usually, it is not possible to obtain a closer form to the expected value of previous expressions. Therefore, the covariance matrix of the MLEs, I ( θ ) 1 , can be estimated by I ( θ ^ ) 1 , where I ( θ ^ ) denotes the observed information matrix, which is obtained by evaluating the previous derivatives at the MLE θ ^ :
I ( θ ^ ) = 2 ( θ ) / θ θ | θ = θ ^ .
The asymptotic variances of α ^ , β ^ , and q ^ are estimated by the diagonal elements of I ( θ ^ ) 1 and their standard errors by the square root of asymptotic variances. Details about the theoretical results used in this subsection can be seen in [31,33].

3.3. Simulation Study

Next, the acceptance–rejection algorithm proposed by Ghitany et al. [4] to generate the values of the WL model is tailored to this situation.
Using Algorithm 1, 1000 samples from an SWL distribution were generated, with sample sizes of 100, 150, 200, 300, and 500 and different values of the parameters. For every sample, the MLEs were obtained by using the Newton–Raphson numerical method. The mean of the estimates, standard errors, and 95% empirical coverage probabilities, C ( · ) , (in percentages) are given in Table 2. We observed that, in general, the bias and standard deviation of estimates decreased if the sample size increased n, which suggests that the MLEs are consistent. The empirical coverage probabilities approached the 95% nominal level. As for this point, note that β ^ and q ^ behaved better than α ^ . The results in Table 2 suggest that it is necessary to have a larger sample size ( n = 300 or 500) so that C ( α ^ ) approaches 0.95.
Algorithm 1 Algorithm to simulate values from the Z S W L ( α , β , q ) distribution.
1:
Simulate R U ( 0 , 1 ) .
2:
If R α α + β , then generate X G a m m a ( β , α ) .
3:
If R > α α + β , then generate X G a m m a ( β + 1 , α ) .
4:
Simulate Y B e t a ( q , 1 ) .
5:
Compute Z = X Y .

4. Applications

In this section, applications to two real datasets are given. Explicitly, the SWL model was compared to the SL, WL, Generalized Gamma (GG), and Weibull (W) distributions. It was proven that the SWL model provides a better fit to these datasets since it is able to model more kurtosis. The pdf’s of GG and W models can be seen in Appendix A.

4.1. Application 1 (Patients with Liver Transplants)

The first dataset considers the survival time for 54 patients before undergoing a liver transplant. This dataset was studied by Freund [34]. Maximum likelihood estimates were obtained with the optim function of the R software [35].
Table 3 provides the descriptive summaries for this dataset: sample mean, sample standard deviation, sample skewness ( b 1 ), and sample kurtosis coefficient ( b 2 ). On the other hand, Figure 3 shows the boxplot of this dataset, where we can see the existence of several outliers.
Table 4 provides the estimates of the parameters and their Standard Errors (SE) in parentheses for the W, WL, SL, GG, and SWL models, along with the comparison of these models by using the Akaike Information Criterion (AIC) (see Akaike [36]) and the Bayesian Information Criterion (BIC) (see Schwarz [37]). Both criteria support the fact that the SWL model provides a better fit to this dataset than the other ones.
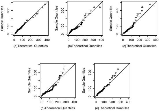
Figure 4 shows the histogram for this dataset along with the fit provided by the pdfs of these models. Moreover, Figure 5 gives the associated QQ-plots. Both plots support the fact that the SWL distribution provides a better fit than the SL, WL, GG, and W models.

4.2. Application 2 (Survival Times of Guinea Pigs)

The second dataset considers the survival time of 72 guinea pigs injected with different doses of tubercle bacilli. This dataset was analyzed in Kundu [38] and Gómez and Bolfarine [39], among others. Table 5 gives the statistical summaries of this dataset. Figure 6 shows the boxplot, where, again, outliers are found.
Table 6 shows the MLEs of the parameters in the W, WL, SL, GG, and SWL models along with their standard errors in parentheses. The AIC and BIC were obtained, which supported the fact that the SWL model provided a better fit than the other distributions in comparison. Moreover, the histogram and the fit provided by the densities of these models are given in Figure 7. The QQ-plots can be seen in Figure 8. Both plots support the good performance of SWL model in this setting.

5. Conclusions

This paper presented a study of the SWL distribution, which was generated based on the slash methodology using the WL and beta distributions. The SWL distribution had heavier tails than the WL distribution, and this characteristic made it an interesting distribution for modeling datasets that have atypical observations. Some further characteristics of the model are as follows:
  • The SWL distribution can be represented based on the confluent hypergeometric and lower incomplete gamma functions.
  • The cdf is represented based on the hypergeometric function.
  • A limiting case of the SWL distribution happens to be the WL distribution.
  • The moments of the SWL distribution are explicit and depend on the gamma function.
  • The applications showed that the SWL distribution performed well in fitting two real datasets.
  • In these applications, it was shown that the SWL distribution outperformed the Lindley and weighted Lindley and other important lifetime parametric models, such as the Weibull distribution and generalized gamma distribution.

Author Contributions

Conceptualization, I.B.-C. and H.W.G.; methodology, H.W.G.; software, J.S.C.; formal analysis, J.S.C., I.B.-C. and O.V.; investigation, J.S.C. and O.V.; writing—original draft preparation, I.B.-C. and H.W.G.; writing—review and editing, I.B.-C. and O.V.; funding acquisition, H.W.G. and O.V. All authors have read and agreed to the published version of the manuscript.

Funding

The research of J.S. Castillo and H.W. Gómez was supported by Semillero UA-2023. The research of I. Barranco-Chamorro was supported by IOAP of University of Seville, Spain.

Institutional Review Board Statement

Not applicable.

Informed Consent Statement

Not applicable.

Data Availability Statement

The data are available for Application 1 in Freund et al. [34] (p. 411) and for Application 2 in [39].

Conflicts of Interest

The authors declare no conflict of interest.

Appendix A

In this Appendix, the pdf of the Weibull and generalized Gamma distributions considered in Section 4 are given:
  • Weibull, X W ( α , β ) , introduced in [24]. Its pdf is
    f ( x ; α , β ) = α β x β α 1 e ( x / β ) α , x > 0 , α , β > 0 .
  • Generalized Gamma, X G G ( α , β , θ ) , introduced in [25], whose pdf is
    f ( x ; α , β , θ ) = β x β θ 1 e ( x / α ) β α β θ Γ ( θ ) x > 0 , α , β , θ > 0 .

References

  1. Lindley, D.V. Fiducial distributions and Bayes’ theorem. J. R. Stat. Soc. Ser. A 1958, 20, 102–107. [Google Scholar] [CrossRef]
  2. Ghitany, M.E.; Atieh, B.; Nadarajah, S. Lindley distribution and its application. Math. Comput. Simul. 2008, 78, 493–506. [Google Scholar] [CrossRef]
  3. Patil, G.P.; Rao, C.R. Weighted distributions and size-biased sampling with applications to wildlife populations and human families. Biometrics 1978, 34, 179–189. [Google Scholar] [CrossRef]
  4. Ghitany, M.E.; Alqallaf, F.; Al-Mutairi, D.K.; Husain, H.A. A two-parameter weighted Lindley distribution and its applications to survival data. Math. Comput. Simul. 2011, 81, 1190–1201. [Google Scholar] [CrossRef]
  5. Rogers, W.H.; Tukey, J.W. Understanding some long-tailed symmetrical distributions. Stat. Neerl. 1972, 26, 211–226. [Google Scholar] [CrossRef]
  6. Mosteller, F.; Tukey, J.W. Data Analysis and Regression; Addison-Wesley: Reading, MA, USA, 1977. [Google Scholar]
  7. Gómez, H.W.; Quintana, F.A.; Torres, F.J. New Family of Slash Distributions with Elliptical Contours. Stat. Probab. Lett. 2007, 77, 717–725. [Google Scholar] [CrossRef]
  8. Olmos, N.M.; Varela, H.; Bolfarine, H.; Gómez, H.W. An extension of the generalized half-normal distribution. Stat. Pap. 2014, 55, 967–981. [Google Scholar] [CrossRef]
  9. Del Castillo, J.M. Slash distributions of the sum of independent logistic random variables. Stat. Probab. Lett. 2016, 110, 111–118. [Google Scholar] [CrossRef]
  10. Reyes, J.; Vilca, F.; Gallardo, D.I.; Gómez, H.W. Modified slash Birnbaum-Saunders distribution. Hacettepe J. Math. Stat. 2017, 46, 969–984. [Google Scholar] [CrossRef]
  11. Reyes, J.; Barranco-Chamorro, I.; Gallardo, D.I.; Gómez, H.W. Generalized modified slash Birnbaum–Saunders distribution. Symmetry 2018, 10, 724. [Google Scholar] [CrossRef]
  12. Reyes, J.; Barranco-Chamorro, I.; Gómez, H.W. Generalized modified slash distribution with applications. Commun. Stat.-Theory Methods 2020, 49, 2025–2048. [Google Scholar] [CrossRef]
  13. Barranco-Chamorro, I.; Iriarte, Y.A.; Gómez, Y.M.; Astorga, J.M.; Gómez, H.W. A generalized Rayleigh family of distributions based on the modified slash model. Symmetry 2021, 13, 1226. [Google Scholar] [CrossRef]
  14. Wang, J.; Genton, M.G. The multivariate skew-slash distribution. J. Stat. Plan. Inference 2006, 136, 209–220. [Google Scholar] [CrossRef]
  15. Arslan, O.; Genc, A. A generalization of the multivariate slash distribution. J. Stat. Plan. Inference 2009, 139, 1164–1170. [Google Scholar] [CrossRef]
  16. Nadarajah, S.; Bakouch, H.; Tahmasbi, R. A generalized Lindley distribution. Sankhya B 2011, 72, 331–359. [Google Scholar] [CrossRef]
  17. Gui, W. Statistical properties and applications of the Lindley slash distribution. J. Appl. Statist. Sci. 2012, 20, 283–298. [Google Scholar]
  18. Shanker, R.; Sharma, S.; Shanker, R. A two-parameter Lindley distribution for modeling waiting and survival times data. J. Appl. Math. 2013, 4, 363–368. [Google Scholar] [CrossRef]
  19. Shanker, R.; Kamlesh, K.; Fesshaye, H. A Two Parameter Lindley Distribution: Its Properties and Applications. Biostat. Biom. Open Acc. J. 2017, 1, 85–90. [Google Scholar]
  20. Asgharzadeh, A.; Bakouch, H.S.; Nadarajah, S.; Sharafi, F. A new weighted Lindley distribution with application. Braz. J. Probab. Stat. 2016, 30, 1–27. [Google Scholar] [CrossRef]
  21. Arslan, T.; Acitas, S.; Senoglu, B. Generalized Lindley and Power Lindley distributions for modeling the wind speed data. Energy Convers. Manag. 2017, 152, 300–311. [Google Scholar] [CrossRef]
  22. Liu, L.; Strawderman, R.L.; Johnson, B.A.; O’Quigley, J.M. Analyzing repeated measures semicontinuous data, with application to an alcohol dependence study. Stat. Methods Med. Res. 2016, 25, 133–152. [Google Scholar] [CrossRef]
  23. Ren, J.; Tapert, S.; Fan, C.C.; Thompson, W.K. A semi-parametric Bayesian model for semi-continuous longitudinal data. Stat. Med. 2022, 41, 2354–2374. [Google Scholar] [CrossRef] [PubMed]
  24. Weibull, W. A statistical distribution function of wide applicability. J. Appl. Mech. 1951, 18, 293–297. [Google Scholar] [CrossRef]
  25. Stacy, E.W. A Generalization of the Gamma Distribution. Ann. Math. Stat. 1962, 33, 1187–1192. [Google Scholar] [CrossRef]
  26. Wani, S.A.; Mursaleen, M.; Nisar, K.S. Certain approximation properties of Brenke polynomials using Jakimovski–Leviatan operators. J. Inequal. Appl. 2021, 2021, 104. [Google Scholar] [CrossRef]
  27. Zayed, M.; Wani, S.A.; Bhat, M.Y. Unveiling the Potential of Sheffer Polynomials: Exploring Approximation Features with Jakimovski–Leviatan Operators. Mathematics 2023, 11, 3604. [Google Scholar] [CrossRef]
  28. Abramowitz, M.; Stegun, I.A. Handbook of Mathematical Functions number 55. In Applied Mathematics Series; National Bureau of Standards: Gaithersburg, MD, USA, 1968. [Google Scholar]
  29. Luke, Y.L. The Special Functions and Their Approximations; Academic Press: New York, NY, USA, 1969; Volume 1, pp. 136–195. [Google Scholar]
  30. Zörnig, P. On Generalized Slash Distributions: Representation by Hypergeometric Functions. Stats 2019, 2, 371–387. [Google Scholar] [CrossRef]
  31. Rohatgi, V.K.; Saleh, A.K.M. An Introduction to Probability and Statistics, 3rd ed.; John Wiley& Sons: New York, NY, USA, 2001. [Google Scholar]
  32. Milgram, M. The generalized integro-exponential function. Math. Comput. 1985, 44, 443–458. [Google Scholar] [CrossRef]
  33. Lehman, L.E.; Casella, G. Theory of Point Estimation, 2nd ed.; Springer: New York, NY, USA, 1998. [Google Scholar]
  34. Freund, R.J.; Wilson, W.J.; Mohr, D.L. Statistical Methods, 3rd ed.; Academic Press: New York, NY, USA, 2010. [Google Scholar]
  35. R Core Team. R: A Language and Environment for Statistical Computing; R Foundation for Statistical Computing: Vienna, Austria, 2023; Available online: https://www.R-project.org/ (accessed on 5 June 2023).
  36. Akaike, H. A new look at the statistical model identification. IEEE Trans. Automat. Contr. 1974, 19, 716–723. [Google Scholar] [CrossRef]
  37. Schwarz, G. Estimating the dimension of a model. Ann. Stat. 1978, 6, 461–464. [Google Scholar] [CrossRef]
  38. Kundu, D. Geometric Skew Normal Distribution. Sankhya B 2014, 76, 167–189. [Google Scholar] [CrossRef]
  39. Gómez, Y.M.; Bolfarine, H. Likelihood-based inference for the power half-normal distribution. J. Stat. Theory Appl. 2015, 14, 383–398. [Google Scholar] [CrossRef]
Figure 1. pdfs of SWL(2,2,1) (black), SWL(2,2,5) (red), and WL(2,2) (blue) models.
Figure 1. pdfs of SWL(2,2,1) (black), SWL(2,2,5) (red), and WL(2,2) (blue) models.
Mathematics 11 03980 g001
Figure 2. Plots of the skewness and kurtosis coefficient in the SWL ( α , 2 , q ) model.
Figure 2. Plots of the skewness and kurtosis coefficient in the SWL ( α , 2 , q ) model.
Mathematics 11 03980 g002
Figure 3. Boxplot for survival of liver transplant patients’ dataset.
Figure 3. Boxplot for survival of liver transplant patients’ dataset.
Mathematics 11 03980 g003
Figure 4. Density adjusted for survival of liver transplant patients’ dataset in the SWL, SL, WL, W, and GG distributions.
Figure 4. Density adjusted for survival of liver transplant patients’ dataset in the SWL, SL, WL, W, and GG distributions.
Mathematics 11 03980 g004
Figure 5. QQ-plots for Survival of Liver Transplant Patients’ dataset: (a) SWL model; (b) SL model; (c) WL model; (d) W model; (e) GG model.
Figure 5. QQ-plots for Survival of Liver Transplant Patients’ dataset: (a) SWL model; (b) SL model; (c) WL model; (d) W model; (e) GG model.
Mathematics 11 03980 g005
Figure 6. Boxplot for survival times of guinea pigs’ dataset.
Figure 6. Boxplot for survival times of guinea pigs’ dataset.
Mathematics 11 03980 g006
Figure 7. Density adjusted for survival times of guinea pigs’ dataset in the SWL, SL, WL, W and GG distributions.
Figure 7. Density adjusted for survival times of guinea pigs’ dataset in the SWL, SL, WL, W and GG distributions.
Mathematics 11 03980 g007
Figure 8. QQ-plots for survival times of guinea pigs’ dataset: (a) SWL model; (b) SL model; (c) WL model; (d) W model; (e) GG model.
Figure 8. QQ-plots for survival times of guinea pigs’ dataset: (a) SWL model; (b) SL model; (c) WL model; (d) W model; (e) GG model.
Mathematics 11 03980 g008
Table 1. Right tail comparison for the SWL and WL distributions.
Table 1. Right tail comparison for the SWL and WL distributions.
Distribution P ( Z > 3 ) P ( Z > 4 ) P ( Z > 5 )
SWL(2,2,1) 0.4082 0.3112 0.2498
SWL(2,2,5) 0.0994 0.0370 0.0146
WL(2,2) 0.0397 0.0084 0.0016
Table 2. Simulations of the SWL ( α , β , q ) model.
Table 2. Simulations of the SWL ( α , β , q ) model.
n α β q α ^ SD ( α ^ ) C ( α ^ ) β ^ SD ( β ^ ) C ( β ^ ) q ^ SD ( q ^ ) C ( q ^ )
100 0.32870.099793.41.66670.471893.71.38370.290995.1
150 0.31350.074892.71.57580.353394.71.34540.210696.2
2000.31.51.30.30980.063192.31.55500.297893.81.32750.175595.6
300 0.30660.051794.41.53000.243094.81.31970.141795.5
500 0.30300.039296.21.52090.185995.61.31320.108194.8
100 1.06210.307592.92.12820.523294.61.73622.692495,7
150 1.05040.245790.92.10050.417592.21.56070.259096.1
200121.51.04820.208893.42.08570.354395.01.52620.211492.9
300 1.01220.165993.72.02760.282994.11.54210.176695.4
500 1.00580.127094.62.01480.216894.81.51980.132795.7
100 5.49991.673992.53.26660.771094.62.45914.426794.4
150 5.21701.234992.23.11190.574593.42.14120.491295.5
2005325.19071.050793.33.09940.490693.52.08930.355295.9
300 5.09830.844393.13.05180.394394.42.05510.271195.9
500 5.08740.645094.93.04430.301895.62.03220.202496.4
100 2.13360.672793.66.40421.791995.13.299424.803695.8
150 2.09350.526793.66.29401.410194.92.65220.510195.6
200262.52.07540.445993.56.23431.195394.22.59150.400194.6
300 2.06830.361294.96.20250.967796.02.55670.313594.8
500 2.04050.274195.86.12270.735395.22.52480.234695.3
100 1.80160.512993.62.11860.480995.42.00672.622695.5
150 1.78170.404891.82.09770.381993.91.80220.346095.8
2001.721.71.78000.347394.32.07920.325594.61.74080.270693.5
300 1.73680.276793.52.04180.260494.41.74130.220995.2
500 1.71970.209796.52.02910.198696.31.73040.166996.5
100 1.09590.350792.64.37791.254394.92.15740.524795.7
150 1.05350.265692.54.20180.950893.82.07520.360093.8
2001421.03610.225593.44.13560.808794.22.06430.305395.2
300 1.01860.179396.04.07180.645195.72.03730.236997.1
500 1.01680.137195.44.06560.494595.42.01710.178295.4
Table 3. Descriptive summaries for patients with liver transplants.
Table 3. Descriptive summaries for patients with liver transplants.
n X ¯ S b 1 b 2
54197.1667145.29942.11065.43881
Table 4. Estimates, SE in parentheses, log-likelihood, AIC, and BIC for patients with liver transplants.
Table 4. Estimates, SE in parentheses, log-likelihood, AIC, and BIC for patients with liver transplants.
ParametersW (SE)WL (SE)SL (SE)GG (SE)SWL (SE)
α 1.5375 (0.1477)0.0134 (0.0026)-0.0382 (0.0706)0.0441 (0.0201)
β 220.7527 (20.7315)1.6483 (0.4664)-0.3553 (0.0487)4.0877 (1.7445)
θ --0.0123 (0.0102)19.8861 (5.6518)-
σ --0.9934 (0.8532)--
q--5.2851 (4.3762)-2.2975 (0.7001)
log-likelihood−331.5893−328.5691−329.6107−326.2089−325.5083
AIC667.1785661.1383665.2214658.4178657.0167
BIC671.1565665.1162671.1884664.3847662.9836
Table 5. Descriptive summaries for survival times of guinea pigs.
Table 5. Descriptive summaries for survival times of guinea pigs.
n X ¯ S b 1 b 2
7299.8281.121.805.61
Table 6. Estimates, SE in parentheses, log-likelihood, AIC, and BIC for survival times of guinea pigs.
Table 6. Estimates, SE in parentheses, log-likelihood, AIC, and BIC for survival times of guinea pigs.
ParametersW (SE)WL (SE)SL (SE)GG (SE)SWL (SE)
α 1.3924 (0.1184)0.0213 (0.0036)-0.0314 (0.0463)0.0876 (0.0319)
β 110.3530 (9.9121)1.1434 (0.3156)-0.3507 (0.0401)3.5063 (1.2389)
θ --0.0126 (0.0094)15.9390 (3.7380)-
σ --0.4532 (0.3542)--
q--3.4264 (1.7450)-1.9025 (0.4206)
log-likelihood−397.1479−394.4175−393.6876−391.0979−389.8986
AIC798.2958792.8350793.3751788.1959785.7972
BIC802.8491797.3883800.2051795.0258792.6272
Disclaimer/Publisher’s Note: The statements, opinions and data contained in all publications are solely those of the individual author(s) and contributor(s) and not of MDPI and/or the editor(s). MDPI and/or the editor(s) disclaim responsibility for any injury to people or property resulting from any ideas, methods, instructions or products referred to in the content.

Share and Cite

MDPI and ACS Style

Castillo, J.S.; Barranco-Chamorro, I.; Venegas, O.; Gómez, H.W. Slash-Weighted Lindley Distribution: Properties, Inference, and Applications. Mathematics 2023, 11, 3980. https://doi.org/10.3390/math11183980

AMA Style

Castillo JS, Barranco-Chamorro I, Venegas O, Gómez HW. Slash-Weighted Lindley Distribution: Properties, Inference, and Applications. Mathematics. 2023; 11(18):3980. https://doi.org/10.3390/math11183980

Chicago/Turabian Style

Castillo, Jaime S., Inmaculada Barranco-Chamorro, Osvaldo Venegas, and Héctor W. Gómez. 2023. "Slash-Weighted Lindley Distribution: Properties, Inference, and Applications" Mathematics 11, no. 18: 3980. https://doi.org/10.3390/math11183980

APA Style

Castillo, J. S., Barranco-Chamorro, I., Venegas, O., & Gómez, H. W. (2023). Slash-Weighted Lindley Distribution: Properties, Inference, and Applications. Mathematics, 11(18), 3980. https://doi.org/10.3390/math11183980

Note that from the first issue of 2016, this journal uses article numbers instead of page numbers. See further details here.

Article Metrics

Back to TopTop