An Exact In-Plane Equilibrium Equation for Transversely Loaded Large Deflection Membranes and Its Application to the Föppl-Hencky Membrane Problem
Abstract
1. Introduction
2. Membrane Equation and Solution
2.1. Formulation of Out-of-Plane Equilibrium Equation
2.2. Formulation of In-Plane Equilibrium Equation
2.3. Formulation of Geometric Equations
2.4. Formulation of Physical Equations
2.5. Boundary Conditions
2.6. Power Series Solutions to Governing Equations
2.6.1. Power Series Solutions Using Maclaurin Series Expansion
2.6.2. Power Series Solutions Using Taylor Series Expansion
3. Results and Discussions
3.1. Convergence Analysis
3.1.1. The Convergence When Using Maclaurin Series Expansion
3.1.2. The Convergence When Using a Power Series in Powers of (x − 1/2)
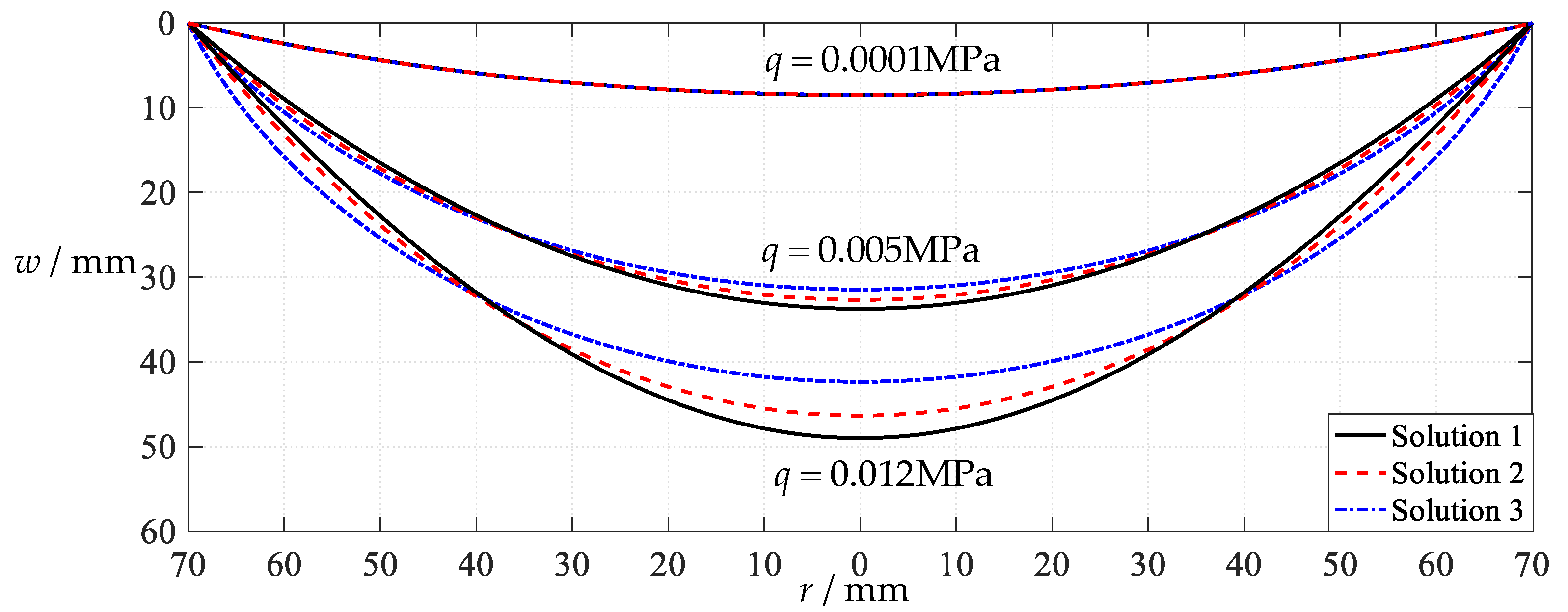
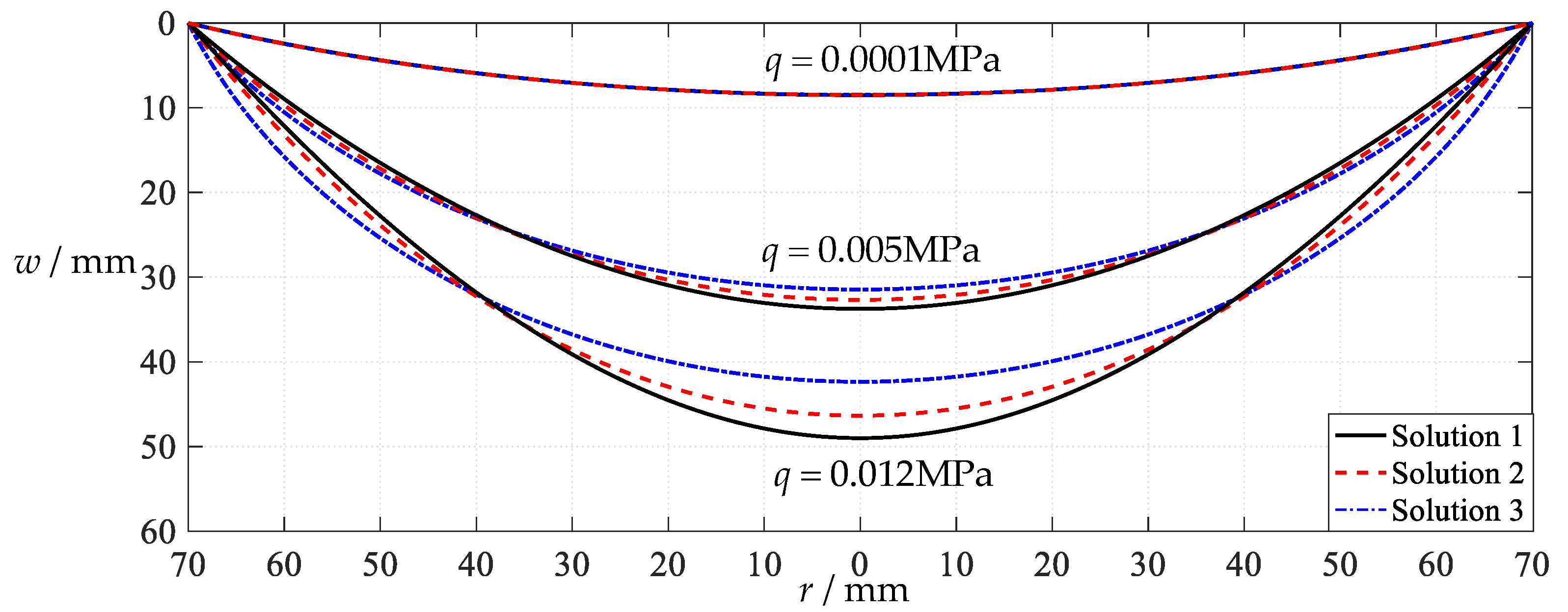
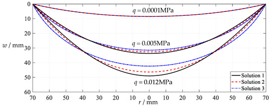
3.2. The Superiority of the New In-Plane Equilibrium Equation over the Existing Two
4. Concluding Remarks
Author Contributions
Funding
Data Availability Statement
Conflicts of Interest
Appendix A
Appendix B
References
- Goloskokov, D.P.; Matrosov, A.V. Bending of clamped orthotropic thin plates: Polynomial solution. Math. Mech. Solids 2022, 27, 2498–2509. [Google Scholar] [CrossRef]
- Gharahi, A.; Schiavone, P. On the boundary value problems of bending of thin elastic plates with surface effects. ASME J. Appl. Mech. 2021, 88, 021007. [Google Scholar] [CrossRef]
- He, X.-T.; Ai, J.-C.; Li, Z.-Y.; Peng, D.-D.; Sun, J.-Y. Nonlinear large deformation problem of rectangular thin plates and its perturbation solution under cylindrical bending: Transform from plate/membrane to beam/cable. Z. Angew. Math. Mech. 2022, 102, e202100306. [Google Scholar] [CrossRef]
- Liu, C.S.; Qiu, L.; Lin, J. Simulating thin plate bending problems by a family of two-parameter homogenization functions. Appl. Math. Model. 2020, 79, 284–299. [Google Scholar]
- Zenkour, A.M. Bending of thin rectangular plates with variable-thickness in a hygrothermal environment. Thin-Walled Struct. 2018, 123, 333–340. [Google Scholar] [CrossRef]
- Sun, J.-Y.; Zhang, Q.; Wu, J.; Li, X.; He, X.-T. Large Deflection Analysis of Peripherally Fixed Circular Membranes Subjected to Liquid Weight Loading: A Refined Design Theory of Membrane Deflection-Based Rain Gauges. Materials 2021, 14, 5992. [Google Scholar] [CrossRef] [PubMed]
- Sun, J.-Y.; Hu, J.-L.; He, X.-T.; Zheng, Z.-L.; Geng, H.-H. A Theoretical Study of Thin Film Delamination Using Clamped Punch-Loaded Blister Test: Energy Release Rate and Closed-Form Solution. J. Adhes. Sci. Technol. 2011, 25, 2063–2080. [Google Scholar]
- Ma, Y.; Wang, G.R.; Chen, Y.L.; Long, D.; Guan, Y.C.; Liu, L.Q.; Zhang, Z. Extended Hencky solution for the blister test of nanomembrane. Extrem. Mech. Lett. 2018, 22, 69–78. [Google Scholar] [CrossRef]
- Feng, L.; Li, X.; Shi, T. Nonlinear large deflection of thin film overhung on compliant substrate using shaft-loaded blister test. J. Appl. Mech. 2015, 82, 091001. [Google Scholar] [CrossRef]
- Zhang, C.H.; Fan, L.J.; Tan, Y.F. Sequential limit analysis for clamped circular membranes involving large deformation subjected to pressure load. Int. J. Mech. Sci. 2019, 155, 440–449. [Google Scholar] [CrossRef]
- Maurin, B.; Motro, R. Concrete shells form-finding with surface stress density method. J. Struct. Eng.-ASCE 2004, 130, 961–968. [Google Scholar] [CrossRef]
- Belles, P.; Ortega, N.; Rosales, M.; Andres, O. Shell form-finding: Physical and numerical design tools. Eng. Struct. 2009, 31, 2656–2666. [Google Scholar] [CrossRef]
- Aish, F.; Joyce, S.; Malek, S.; Williams, C.J.K. The use of a particle method for the modelling of isotropic membrane stress for the form finding of shell structures. Comput. Aided Des. 2015, 61, 24–31. [Google Scholar] [CrossRef]
- Chiang, Y.C.; Borgart, A. A form-finding method for membrane shells with radial basis functions. Eng. Struct. 2022, 251, 113514. [Google Scholar] [CrossRef]
- Sun, J.-Y.; Zhang, Q.; Li, X.; He, X.-T. Axisymmetric large deflection elastic analysis of hollow annular membranes under transverse uniform loading. Symmetry 2021, 13, 1770. [Google Scholar] [CrossRef]
- Zhang, Q.; Li, X.; He, X.-T.; Sun, J.-Y. Revisiting the boundary value problem for uniformly transversely loaded hollow annular membrane structures: Improvement of the out-of-plane equilibrium equation. Mathematics 2020, 10, 1305. [Google Scholar] [CrossRef]
- Sun, J.-Y.; Qian, S.-H.; Li, Y.-M.; He, X.-T.; Zheng, Z.-L. Theoretical study of adhesion energy measurement for film/substrate interface using pressurized blister test: Energy release rate. Measurement 2013, 46, 2278–2287. [Google Scholar] [CrossRef]
- Lim, T.C. Large deflection of circular auxetic membranes under uniform load. ASME J. Appl. Mech. 2016, 138, 041011. [Google Scholar] [CrossRef]
- Lian, Y.-S.; Sun, J.-Y.; Ge, X.-M.; Yang, Z.-X.; He, X.-T.; Zheng, Z.L. A theoretical study of an improved capacitive pressure sensor: Closed-form solution of uniformly loaded annular membranes. Measurement 2017, 111, 84–92. [Google Scholar] [CrossRef]
- Huang, P.F.; Song, Y.P.; Li, Q.; Liu, X.Q.; Feng, Y.Q. A theoretical study of circular orthotropic membrane under concentrated load: The relation of load and deflection. IEEE Access 2020, 8, 126127–126137. [Google Scholar]
- Yuan, J.H.; Liu, X.L.; Xia, H.B.; Huang, Y. Analytical solutions for inflation of pre-stretched elastomeric circular membranes under uniform pressure. Theor. Appl. Mech. Lett. 2021, 3, 130–136. [Google Scholar] [CrossRef]
- Lian, Y.S.; Sun, J.Y.; Zhao, Z.H.; He, X.T.; Zheng, Z.L. A revisit of the boundary value problem for Föppl–Hencky membranes: Improvement of geometric equations. Mathematics 2020, 8, 631. [Google Scholar] [CrossRef]
- Föppl, A. Vorlesungen über technische Mechanik: Bd. Die wichtigsten Lehren der höheren Elastizitätstheorie. BG Teubnerv. 1907, 5, 132–144. [Google Scholar]
- von Kármán, T. Festigkeitsprobleme im maschinenbau. Encykl. Math. Wiss. 1910, IV4, 349. [Google Scholar]
- Hencky, H. On the stress state in circular plates with vanishing bending stiffness. Z. Angew. Math. Phys. 1915, 63, 311–317. (In German) [Google Scholar]
- Chien, W.Z. Asymptotic behavior of a thin clamped circular plate under uniform normal pressure at very large deflection. Sci. Rep. Natl. Tsinghua Univ. 1948, 5, 193–208. (In Chinese) [Google Scholar]
- Alekseev, S.A. Elastic circular membranes under the uniformly distributed loads. Eng. Corpus 1953, 14, 196–198. (In Russian) [Google Scholar]
- Sun, J.Y.; Rong, Y.; He, X.T.; Gao, X.W.; Zheng, Z.L. Power series solution of circular membrane under uniformly distributed loads: Investigation into Hencky transformation. Stuct. Eng. Mech. 2013, 45, 631–641. [Google Scholar] [CrossRef]
- Lian, Y.S.; Sun, J.Y.; Yang, Z.X.; He, X.T.; Zheng, Z.L. Closed-form solution of well-known Hencky problem without small-rotation-angle assumption. Z. Angew. Math. Mech. 2016, 96, 1434–1441. [Google Scholar] [CrossRef]
- Way, S. Bending of circular plates with large deflection. ASME J. Appl. Mech. 1934, 56, 627–636. [Google Scholar] [CrossRef]
- Chien, W.Z. Large deflection of a circular clamped plate under uniform pressure. Chin. J. Phys. 1947, 7, 102–113. [Google Scholar]
- Chien, W.Z.; Chen, S.L. The solution of large deflection problem of thin circular plate by the method of composite expansion. Appl. Math. Mech. 1985, 6, 25–49. (In Chinese) [Google Scholar]
- Sheploak, M.; Dugundji, J. Large deflections of clamped circular plates under initial tension and transitions to membrane behavior. ASME J. Appl. Mech. 1998, 65, 107–111. [Google Scholar] [CrossRef]
- He, J.H. A Lagrangian for von Karman equations of large deflection problem of thin circular plate. Appl. Math. Comput. 2003, 143, 543–549. [Google Scholar] [CrossRef]
- Chen, Y.Z. Innovative iteration technique for nonlinear ordinary differential equations of large deflection problem of circular plates. Mech. Res. Commun. 2012, 43, 75–79. [Google Scholar] [CrossRef]
- Razdolsky, A.G. Determination of Large Deflections for Elastic Circular Plate. Proc. Inst. Civil Eng.-Eng. Comput. Mech. 2018, 171, 23–28. [Google Scholar] [CrossRef]
- Liu, X.J.; Zhou, Y.H.; Wang, J.Z. Highly Accurate Wavelet Solution for Bending and Free Vibration of Circular Plates over Extra-Wide Ranges of Deflections. ASME J. Appl. Mech. 2023, 90, 31009. [Google Scholar] [CrossRef]
- Kelkar, A.; Elber, W.; Raju, I.S. Large deflections of circular isotropic membranes subjected to arbitrary axisymmetric loading. Comput. Struct. 1985, 21, 413–421. [Google Scholar] [CrossRef]
- Komaragiri, U.; Begley, M.R.; Simmonds, J.G. The mechanical response of freestanding circular elastic films under point and pressure loads. ASME J. Appl. Mech. 2005, 72, 203–212. [Google Scholar] [CrossRef]
- Jin, C.R. Large deflection of circular membrane under concentrated force. Appl. Math. Mech. 2008, 29, 889–896. [Google Scholar] [CrossRef]
- Jin, C.; Wang, X.D. A theoretical study of a thin-film delamination using shaft-loaded blister test: Constitutive relation without delamination. J. Mech. Phys. Solids 2008, 56, 2815–2831. [Google Scholar] [CrossRef]
- Jin, C.R. Theoretical study of mechanical behavior of thin circular film adhered to a flat punch. Int. J. Mech. Sci. 2009, 51, 481–489. [Google Scholar] [CrossRef]
- Plaut, R.H. Linearly elastic annular and circular membranes under radial, transverse, and torsional loading. Part I: Large unwrinkled axisymmetric deformations. Acta Mech. 2009, 202, 79–99. [Google Scholar] [CrossRef]
- Zhang, Y.D.; Shui, L.Q.; Liu, Y.S. Deflection of film under biaxial tension and central concentrated load. Arch. Appl. Mech. 2022, 92, 2637–2646. [Google Scholar] [CrossRef]
- Li, X.; Sun, J.Y.; Zhao, Z.H.; Li, S.Z.; He, X.T. A new solution to well-known Hencky problem: Improvement of in-plane equilibrium equation. Mathematics 2020, 8, 653. [Google Scholar] [CrossRef]
- Lian, Y.S.; Sun, J.Y.; Zhao, Z.H.; Li, S.Z.; Zheng, Z.L. A refined theory for characterizing adhesion of elastic coatings on rigid substrates based on pressurized blister test methods: Closed-form solution and energy release rate. Polymers 2020, 12, 1788. [Google Scholar] [CrossRef] [PubMed]


































| n | q = 0.0001 MPa | q = 0.005 MPa | q = 0.012 MPa | |||
|---|---|---|---|---|---|---|
| b0 | d0 | b0 | d0 | b0 | d0 | |
| 2 | 0.016169 | 0.119861 | 0.193170 | 0.501627 | 0.308604 | 0.753581 |
| 4 | 0.017197 | 0.121958 | 0.194231 | 0.481063 | 0.269089 | 0.657447 |
| 6 | 0.017409 | 0.121796 | 0.198052 | 0.485553 | 0.307288 | 0.735958 |
| 8 | 0.017466 | 0.121661 | 0.197643 | 0.481663 | 0.225534 | 0.215176 |
| 10 | 0.017483 | 0.121602 | 0.198348 | 0.483176 | 0.309685 | 0.806992 |
| 12 | 0.017489 | 0.121579 | 0.198152 | 0.481599 | 0.188651 | 0.477415 |
| 14 | 0.017491 | 0.121570 | 0.198342 | 0.482657 | 0.281565 | 2.375341 |
| 16 | 0.017491 | 0.121567 | 0.197866 | 0.481204 | 0.400863 | 0.807886 |
| 18 | 0.017491 | 0.121566 | 0.198838 | 0.483293 | 0.204223 | 3.829090 |
| 20 | 0.017491 | 0.121566 | 0.197574 | 0.483140 | 0.441707 | 0.929497 |
| i | bi | ci | di |
|---|---|---|---|
| 0 | 0.017491 | 0.017491 | 0.121566 |
| 2 | −2.299 × 10−3 | −8.614 × 10−3 | −1.108 × 10−1 |
| 4 | −2.754 × 10−4 | −1.603 × 10−3 | −8.641 × 10−3 |
| 6 | −5.116 × 10−5 | −4.148 × 10−4 | −1.610 × 10−3 |
| 8 | −1.166 × 10−5 | −1.210 × 10−4 | −3.786 × 10−4 |
| 10 | −2.985 × 10−6 | −3.764 × 10−5 | −1.002 × 10−4 |
| 12 | −8.248 × 10−7 | −1.222 × 10−5 | −2.851 × 10−5 |
| 14 | −2.405 × 10−7 | −4.084 × 10−6 | −8.523 × 10−6 |
| 16 | −1.108 × 10−7 | −1.277 × 10−6 | −1.960 × 10−6 |
| 18 | −3.655 × 10−8 | −4.165 × 10−7 | −5.770 × 10−7 |
| 20 | −1.199 × 10−8 | −1.392 × 10−7 | −1.788 × 10−7 |
| n | q = 0.0001 MPa | q = 0.005 MPa | q = 0.012 MPa | ||||||
|---|---|---|---|---|---|---|---|---|---|
| b0 | c0 | d0 | b0 | c0 | d0 | b0 | c0 | d0 | |
| 3 | 0.016292 | 0.013668 | 0.097291 | 0.221177 | 0.180552 | 0.363450 | 0.393014 | 0.290205 | 0.508047 |
| 4 | 0.016718 | 0.015038 | 0.094576 | 0.220879 | 0.182558 | 0.364409 | 0.390632 | 0.288871 | 0.515486 |
| 5 | 0.016828 | 0.015165 | 0.093735 | 0.222826 | 0.183804 | 0.361598 | 0.393688 | 0.291004 | 0.509066 |
| 6 | 0.016860 | 0.015200 | 0.093493 | 0.223041 | 0.184274 | 0.361110 | 0.393789 | 0.291508 | 0.510216 |
| 7 | 0.016888 | 0.015212 | 0.093368 | 0.223105 | 0.184385 | 0.360962 | 0.393968 | 0.291706 | 0.509820 |
| 8 | 0.016893 | 0.015226 | 0.093332 | 0.223154 | 0.184416 | 0.360908 | 0.394006 | 0.291809 | 0.509858 |
| 9 | 0.016897 | 0.015228 | 0.093312 | 0.223184 | 0.184445 | 0.360872 | 0.394056 | 0.291849 | 0.509829 |
| 10 | 0.016898 | 0.015230 | 0.093305 | 0.223189 | 0.184457 | 0.360859 | 0.394109 | 0.291876 | 0.509833 |
| 11 | 0.016898 | 0.015230 | 0.093305 | 0.223189 | 0.184457 | 0.360859 | 0.394109 | 0.291876 | 0.509833 |
| i | x = 1 | x = 0 | ||||
|---|---|---|---|---|---|---|
| bi(x − 1/2)i | ci(x − 1/2)i | di(x − 1/2)i | bi(x − 1/2)i | ci(x − 1/2)i | di(x − 1/2)i | |
| 0 | 1.689 × 10−2 | 1.523 × 10−2 | 9.331 × 10−2 | 1.690 × 10−2 | 1.523 × 10−2 | 9.331 × 10−2 |
| 1 | −1.223 × 10−3 | −4.752 × 10−3 | −5.773 × 10−2 | 1.223 × 10−3 | 4.752 × 10−3 | 5.773 × 10−2 |
| 2 | −6.919 × 10−4 | −2.867 × 10−3 | −3.137 × 10−2 | −6.919 × 10−4 | −2.867 × 10−3 | −3.137 × 10−2 |
| 3 | −8.723 × 10−5 | −5.628 × 10−4 | −2.761 × 10−3 | 8.723 × 10−5 | 5.628 × 10−4 | 2.761 × 10−3 |
| 4 | −3.387 × 10−5 | −2.393 × 10−4 | −1.046 × 10−3 | −3.387 × 10−5 | −2.393 × 10−4 | −1.046 × 10−3 |
| 5 | −7.384 × 10−6 | −7.853 × 10−5 | −2.654 × 10−4 | 7.384 × 10−6 | 7.853 × 10−5 | 2.654 × 10−4 |
| 6 | −3.976 × 10−6 | −3.010 × 10−5 | −9.547 × 10−5 | −3.976 × 10−6 | −3.010 × 10−5 | −9.547 × 10−5 |
| 7 | 2.587 × 10−6 | −1.295 × 10−5 | −3.154 × 10−5 | −2.587 × 10−6 | 1.295 × 10−5 | 3.154 × 10−5 |
| 8 | −1.691 × 10−6 | −3.372 × 10−6 | −1.154 × 10−5 | −1.691 × 10−6 | −3.372 × 10−6 | −1.154 × 10−5 |
| 9 | 1.381 × 10−6 | −3.009 × 10−6 | −4.282 × 10−6 | −1.381 × 10−6 | 3.009 × 10−6 | 4.282 × 10−6 |
| 10 | −1.700 × 10−7 | −8.860 × 10−7 | −1.561 × 10−6 | −1.700 × 10−7 | −8.860 × 10−7 | −1.561 × 10−6 |
| 11 | 1.665 × 10−7 | −2.589 × 10−7 | −2.081 × 10−7 | −1.665 × 10−7 | 2.589 × 10−7 | 2.081 × 10−7 |
| i | x = 1 | x = 0 | ||||
|---|---|---|---|---|---|---|
| bi(x − 1/2)i | ci(x − 1/2)i | di(x − 1/2)i | bi(x − 1/2)i | ci(x − 1/2)i | di(x − 1/2)i | |
| 0 | 2.232 × 10−1 | 1.845 × 10−1 | 3.609 × 10−1 | 2.232 × 10−1 | 1.845 × 10−1 | 3.609 × 10−1 |
| 1 | 4.541 × 10−2 | −3.027 × 10−2 | −2.410 × 10−1 | −4.541 × 10−2 | 3.027 × 10−2 | 2.410 × 10−1 |
| 2 | 1.104 × 10−2 | −2.028 × 10−2 | −1.183 × 10−1 | 1.104 × 10−2 | −2.028 × 10−2 | −1.183 × 10−1 |
| 3 | −2.893 × 10−3 | −5.376 × 10−3 | −1.091 × 10−3 | 2.893 × 10−3 | 5.376 × 10−3 | 1.091 × 10−3 |
| 4 | 1.311 × 10−3 | −1.933 × 10−3 | −8.065 × 10−4 | 1.311 × 10−3 | −1.933 × 10−3 | −8.065 × 10−4 |
| 5 | 3.467 × 10−4 | −7.753 × 10−4 | 4.744 × 10−4 | −3.467 × 10−4 | 7.753 × 10−4 | −4.744 × 10−4 |
| 6 | −2.506 × 10−4 | −4.330 × 10−4 | −1.080 × 10−4 | −2.506 × 10−4 | −4.330 × 10−4 | −1.080 × 10−4 |
| 7 | 1.717 × 10−5 | −1.659 × 10−4 | −4.369 × 10−5 | −1.717 × 10−5 | 1.659 × 10−4 | 4.369 × 10−5 |
| 8 | 7.958 × 10−6 | −6.467 × 10−5 | −3.273 × 10−5 | 7.958 × 10−6 | −6.467 × 10−5 | −3.273 × 10−5 |
| 9 | −3.384 × 10−6 | −5.945 × 10−5 | −7.449 × 10−6 | 3.384 × 10−6 | 5.945 × 10−5 | 7.449 × 10−6 |
| 10 | −1.387 × 10−6 | −6.117 × 10−6 | −2.716 × 10−6 | −1.387 × 10−6 | −6.117 × 10−6 | −2.716 × 10−6 |
| 11 | 1.661 × 10−7 | −2.572 × 10−6 | −2.065 × 10−7 | −1.661 × 10−7 | 2.572 × 10−6 | 2.065 × 10−7 |
| i | x = 1 | x = 0 | ||||
|---|---|---|---|---|---|---|
| bi(x − 1/2)i | ci(x − 1/2)i | di(x − 1/2)i | bi(x − 1/2)i | ci(x − 1/2)i | di(x − 1/2)i | |
| 0 | 3.941 × 10−1 | 2.919 × 10−1 | 5.098 × 10−1 | 3.941 × 10−1 | 2.919 × 10−1 | 5.098 × 10−1 |
| 1 | 1.722 × 10−1 | −7.288 × 10−3 | −3.655 × 10−1 | −1.722 × 10−1 | 7.288 × 10−3 | 3.655 × 10−1 |
| 2 | 3.862 × 10−2 | −6.277 × 10−3 | −1.578 × 10−1 | 3.862 × 10−2 | −6.277 × 10−3 | −1.578 × 10−1 |
| 3 | −2.335 × 10−2 | −4.856 × 10−3 | 1.683 × 10−2 | 2.335 × 10−2 | 4.856 × 10−3 | −1.683 × 10−2 |
| 4 | 9.121 × 10−3 | −1.172 × 10−3 | −2.661 × 10−3 | 9.121 × 10−3 | −1.172 × 10−3 | −2.661 × 10−3 |
| 5 | −1.704 × 10−3 | −1.037 × 10−3 | −1.188 × 10−3 | 1.704 × 10−3 | 1.037 × 10−3 | 1.188 × 10−3 |
| 6 | −1.198 × 10−3 | −9.729 × 10−5 | 7.394 × 10−4 | −1.198 × 10−3 | −9.729 × 10−5 | 7.394 × 10−4 |
| 7 | 1.101 × 10−3 | −8.095 × 10−4 | −2.746 × 10−4 | −1.101 × 10−3 | 8.095 × 10−4 | 2.746 × 10−4 |
| 8 | −7.617 × 10−4 | −7.503 × 10−4 | −6.031 × 10−5 | −7.617 × 10−4 | −7.503 × 10−4 | −6.031 × 10−5 |
| 9 | 1.625 × 10−4 | −5.544 × 10−5 | 5.748 × 10−5 | −1.625 × 10−4 | 5.544 × 10−5 | −5.748 × 10−5 |
| 10 | 1.145 × 10−4 | −5.256 × 10−5 | −3.611 × 10−5 | 1.145 × 10−4 | −5.256 × 10−5 | −3.611 × 10−5 |
| 11 | −1.418 × 10−5 | −1.010 × 10−5 | 8.009 × 10−6 | 1.418 × 10−5 | 1.010 × 10−5 | −8.009 × 10−6 |
Disclaimer/Publisher’s Note: The statements, opinions and data contained in all publications are solely those of the individual author(s) and contributor(s) and not of MDPI and/or the editor(s). MDPI and/or the editor(s) disclaim responsibility for any injury to people or property resulting from any ideas, methods, instructions or products referred to in the content. |
© 2023 by the authors. Licensee MDPI, Basel, Switzerland. This article is an open access article distributed under the terms and conditions of the Creative Commons Attribution (CC BY) license (https://creativecommons.org/licenses/by/4.0/).
Share and Cite
Sun, J.-Y.; Wu, J.; Li, X.; He, X.-T. An Exact In-Plane Equilibrium Equation for Transversely Loaded Large Deflection Membranes and Its Application to the Föppl-Hencky Membrane Problem. Mathematics 2023, 11, 3329. https://doi.org/10.3390/math11153329
Sun J-Y, Wu J, Li X, He X-T. An Exact In-Plane Equilibrium Equation for Transversely Loaded Large Deflection Membranes and Its Application to the Föppl-Hencky Membrane Problem. Mathematics. 2023; 11(15):3329. https://doi.org/10.3390/math11153329
Chicago/Turabian StyleSun, Jun-Yi, Ji Wu, Xue Li, and Xiao-Ting He. 2023. "An Exact In-Plane Equilibrium Equation for Transversely Loaded Large Deflection Membranes and Its Application to the Föppl-Hencky Membrane Problem" Mathematics 11, no. 15: 3329. https://doi.org/10.3390/math11153329
APA StyleSun, J.-Y., Wu, J., Li, X., & He, X.-T. (2023). An Exact In-Plane Equilibrium Equation for Transversely Loaded Large Deflection Membranes and Its Application to the Föppl-Hencky Membrane Problem. Mathematics, 11(15), 3329. https://doi.org/10.3390/math11153329

