Epidemic Spreading on Weighted Co-Evolving Multiplex Networks
Abstract
1. Introduction
- A novel weighted co-evolving multiplex network model is proposed to describe the interaction between information diffusion in online social networks and epidemic spreading in adaptive physical contact networks.
- Two co-evolutionary processes have been considered in our model, the co-evolving of information diffusion and epidemic spreading between two layers and the co-evolving of epidemic spreading and network structure in the physical contact network.
- Considering the difference in the connections between individuals, the heterogeneous rewiring rate, which is proportional to the strength of the connection, is introduced in our model.
- Monte Carlo simulations in weighted co-evolving multiplex network models are carried out to describe and analyze the interaction between information diffusion and epidemic spreading.
2. Related Work
3. The Weighted Co-Evolving Multiplex Networks Model
3.1. Description of the Co-Evolving Processes in Multiplex Network
3.1.1. Co-Evolving of Information Diffusion and Epidemic Spreading between Two Layers
3.1.2. Co-Evolving of Epidemic Spreading and Network Structure in the Physical Contact Network
3.2. Mathematical Description of the Weighted Co-Evolving Multiplex Networks Model
- Change the process of node state over time:We call the system of Equations (1)–(3) the node-state changing model. On the right-hand side (RHS) of Equation (1), the first term accounts for the recovery of -state node at rate . The second term indicates the infection process, where an -state node is infected by an -state neighbor through the w-weighted link at rate . The third term indicates the information transmission process, where the -state individuals receive information from an A-state neighbor at rate and change their state to . Here, we assume that the probability of individuals accepting information and being aware of risks increases with the spread of infection , where is an adjustment parameter and is proportional to . On the RHS of Equation (2), the first term and second term are the infection process and information transmission process, respectively. A -state node is infected by an -state neighbor through the w-weighted link at rate , where indicates that people without risk awareness are more likely to be infected. On the RHS of Equation (3), the first term is the recovery process and the second and third terms are the infection process.
- Change the process of link state over time:Equations (4)–(9) characterize the time-varying numbers of links weighted by different weights and connecting nodes in different states. The reasons for the changes in the states of the links can be broadly divided into three, the infection and recovery process associated with the physical contact layer, the information diffusion process associated with the dissemination of the information layer, and the rewiring process of the physical contact layer. For example, Equation (4) captures the time-changing number of the w-weighted links connecting an aware susceptible node and an aware infected node. The first term on the RHS of Equation (4) results from the infection of the susceptible ends of the links with the probability of . The second term is the number of previous w-weighted links which become links due to the infection at one end of the links through a weighted link with the probability of . denotes the number of triplets , with edge weighted w and edge weighted , . The third and fourth term on the RHS of Equation (4) results from the recovery of the infected ends of the links with the probability of . The fifth term on the RHS of Equation (4) results from the information diffusion with the probability of , and the last term results from rewiring to bypass an infected node with the probability of .Specifically, in the stable state, due to information dissemination, all nodes eventually become risk-aware, so there are only two types of state left in the network, namely and . In addition, all nodes and links in different states achieve dynamic stability, i.e., . The Equation of state in the stable state satisfiesBased on the approximation in [13], , .An interesting result is shown in Equations (10)–(13). In a stable state, all nodes already have risk awareness, and we can see from the equations that the probability of information acceptance shows no impact on the final stable state of the network. That is, the result of our analysis is that the probability of information acceptance does not affect the final infection scale. Due to the isolation effect of the rewiring process on the infected nodes from susceptible ones, the rewiring rate shows an important impact on the final infection of the network.We can see from the equations that information diffusion has changed the rules of epidemic spread and also changed the network structure. Conversely, the epidemic spreading affects the probability of information acceptance, i.e., the rules of information diffusion. Therefore, information diffusion, epidemic dynamics, and network structure interact with each other. In the next section, we conduct simulation experiments on the above processes through Monte Carlo methods to further explore the relationships among them.
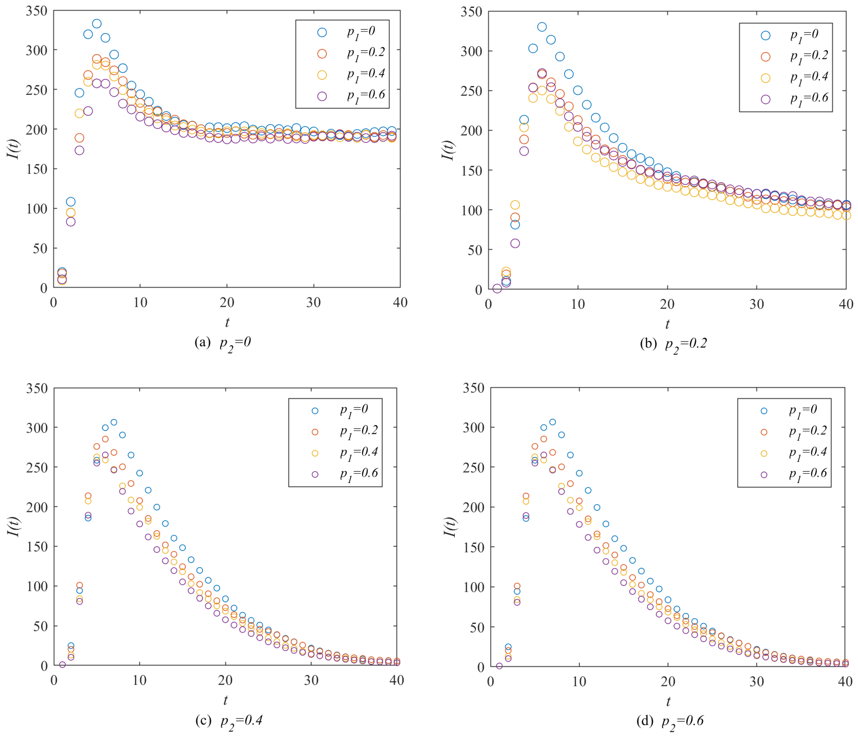
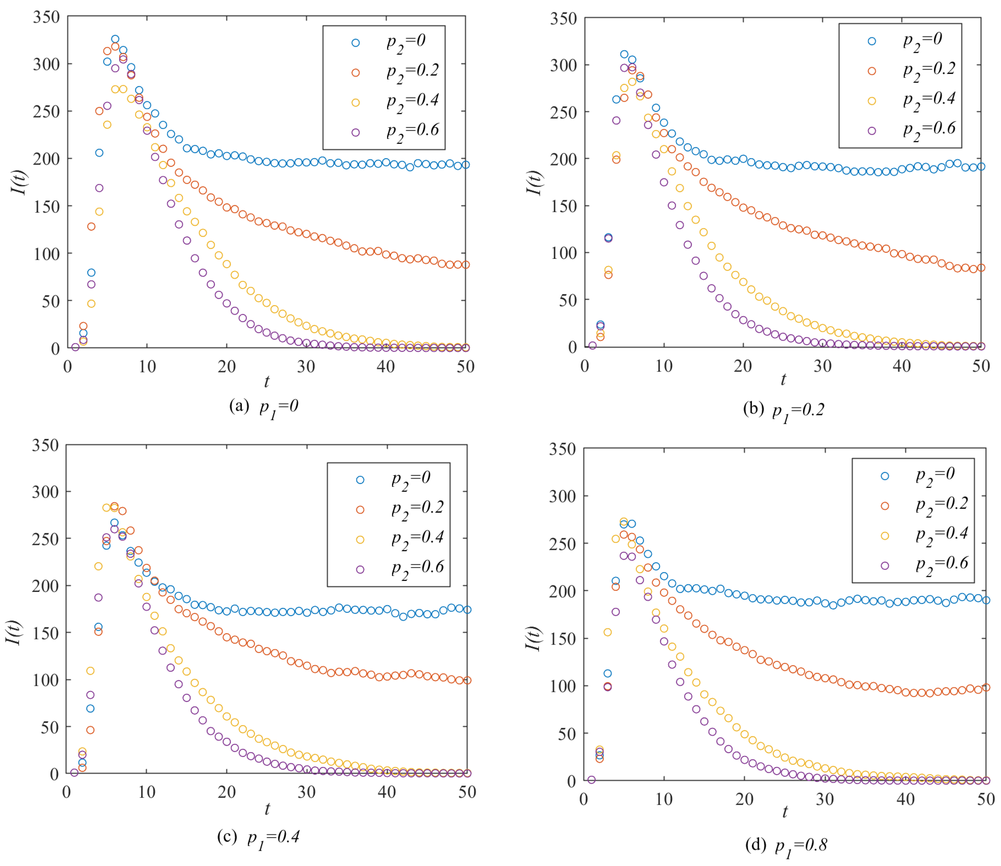
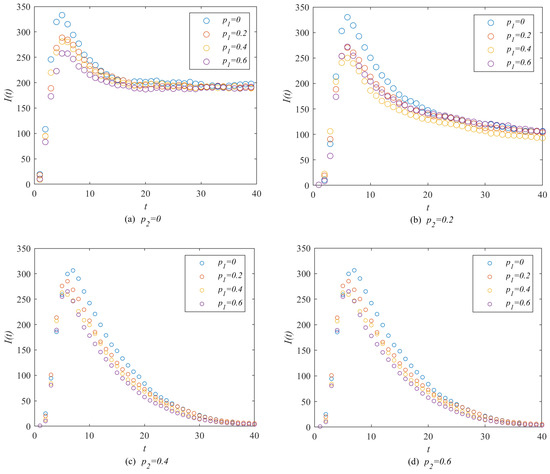
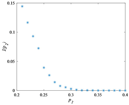
4. Simulation Results
5. Conclusions
Author Contributions
Funding
Data Availability Statement
Conflicts of Interest
References
- Wang, Z.; Xia, C.; Chen, Z.; Chen, G. Epidemic Propagation with Positive and Negative Preventive Information in Multiplex Networks. IEEE Trans. Cybern. 2021, 51, 1454–1462. [Google Scholar] [CrossRef] [PubMed]
- Li, X.J.; Li, C.; Li, X. The impact of information dissemination on vaccination in multiplex networks. Sci. China Inf. Sci. 2022, 65, 172202. [Google Scholar] [CrossRef]
- Chen, J.; Hu, M.B.; Li, M. Traffic-driven epidemic spreading in multiplex networks. Phys. Rev. E 2020, 101, 012301. [Google Scholar] [CrossRef] [PubMed]
- Liu, H.; Yang, N.; Yang, Z.; Lin, J.; Zhang, Y. The impact of firm heterogeneity and awareness in modeling risk propagation on multiplex networks. Phys. A 2019, 539, 122919. [Google Scholar] [CrossRef]
- Sanz, J.; Xia, C.Y.; Meloni, S.; Moreno, Y. Dynamics of interacting diseases. Phys. Rev. X 2014, 4, 041005. [Google Scholar] [CrossRef]
- Danziger, M.M.; Bonamassa, I.; Boccaletti, S.; Havlin, S. Dynamic interdependence and competition in multilayer networks. Nat. Phys. 2019, 15, 178–185. [Google Scholar] [CrossRef]
- Nicosia, V.; Skardal, P.S.; Arenas, A.; Latora, V. Collective phenomena emerging from the interactions between dynamical processes in multiplex networks. Phys. Rev. Lett. 2014, 118, 138302. [Google Scholar] [CrossRef]
- Soriano-Paños, D.; Guo, Q.; Latora, V.; Gómez-Gardeñes, J. Explosive transitions induced by interdependent contagion-consensus dynamics in multiplex networks. Phys. Rev. E 2019, 99, 062311. [Google Scholar] [CrossRef] [PubMed]
- Velásquez-Rojas, F.; Vazquez, F. Interacting opinion and disease dynamics in multiplex networks: Discontinuous phase transition and nonmonotonic consensus times. Phys. Rev. E 2017, 95, 052315. [Google Scholar] [CrossRef]
- Granell, C.; Gómez, S.; Arenas, A. Dynamical interplay between awareness and epidemic spreading in multiplex networks. Phys. Rev. Lett. 2013, 111, 128701. [Google Scholar] [CrossRef]
- Tizard, I.R. Vaccination against coronaviruses in domestic animals. Vaccine 2020, 38, 5123–5130. [Google Scholar] [CrossRef] [PubMed]
- Peng, X.L.; Zhang, Y.D. Contagion dynamics on adaptive multiplex networks with awareness-dependent rewiring. Chin. Phys. B 2021, 30, 058901. [Google Scholar] [CrossRef]
- Song, B.; Wang, X.; Ni, W.; Song, Y.; Liu, R.P.; Jiang, G.P.; Guo, Y.J. Reliability analysis of large-scale adaptive weighted networks. IEEE Trans. Inf. Forensics Secur. 2020, 15, 651–665. [Google Scholar] [CrossRef]
- Mucha, P.J.; Richardson, T.; Macon, K.; Porter, M.A.; Onnela, J.P. Community structure in time-dependent, multiscale, and multiplex networks. Science 2010, 329, 876–878. [Google Scholar] [CrossRef]
- Xia, C.; Wang, Z.; Zheng, C.; Guo, Q.; Shi, Y.; Dehmer, M.; Chen, Z. A new coupled disease-awareness spreading model with mass media on multiplex networks. Inf. Sci. 2019, 471, 185–200. [Google Scholar] [CrossRef]
- Wang, Z.; Guo, Q.; Sun, S.; Xia, C. The impact of awareness diffusion on SIR-like epidemics in multiplex networks. Appl. Math. Comput. 2019, 349, 134–147. [Google Scholar] [CrossRef]
- Zheng, C.; Wang, Z.; Xia, C.; Guo, Q.; Dehmer, M. Interplay between SIR-based disease spreading and awareness diffusion on multiplex networks. J. Parallel Distrib. Comput. 2018, 115, 20–28. [Google Scholar] [CrossRef]
- Zhou, Y.; Zhou, J.; Chen, G.; Stanley, H.E. Effective degree theory for awareness and epidemic spreading on multiplex networks. New J. Phys. 2019, 21, 035002. [Google Scholar] [CrossRef]
- Wu, J.; Zuo, R.; He, C.; Xiong, H.; Zhao, K.; Hu, Z. The effect of information literacy heterogeneity on epidemic spreading in information and epidemic coupled multiplex networks. Phys. A 2022, 596, 127119. [Google Scholar] [CrossRef]
- Gross, T.; D’Lima, C.J.D.; Blasius, B. Epidemic dynamics on an adaptive network. Phys. Rev. Lett. 2006, 96, 208701. [Google Scholar] [CrossRef]
- Alamer, A.; Deng, Y.; Wei, G.; Lin, X. Collaborative security in vehicular cloud computing: A game theoretic view. IEEE Netw. 2018, 32, 72–77. [Google Scholar] [CrossRef]
- Mijumbi, R.; Serrat, J.; Gorricho, J.L.; Bouten, N.; De Turck, F.; Boutaba, R. Network function virtualization: State-of-the-art and research challenges. IEEE Commun. Surv. Tut. 2017, 18, 236–262. [Google Scholar] [CrossRef]
- Zha, X.; Ni, W.; Zheng, K.; Liu, R.P.; Niu, X. Collaborative authentication in decentralized dense mobile networks with key predistribution. IEEE Trans. Inf. Forensics Secur. 2017, 12, 2261–2275. [Google Scholar] [CrossRef]
- Nadini, M.; Rizzo, A.; Porfiri, M. Epidemic spreading in temporal and adaptive networks with static backbone. IEEE Trans. Netw. Sci. Eng. 2018, 7, 549–561. [Google Scholar] [CrossRef]
- Pastor-Satorras, R.; Castellano, C.; Van Mieghem, P. Epidemic processes in complex networks. Rev Mod Phys. 2015, 87, 925. [Google Scholar] [CrossRef]
- Zhang, Y.Q.; Li, X. When susceptible-infectious-susceptible contagion meets time-varying networks with identical infectivity. Eur. Lett. 2014, 108, 28006. [Google Scholar] [CrossRef]
- Li, C.; van de Bovenkamp, R.; Van Mieghem, P. Susceptible-infected-susceptible model: A comparison of N-intertwined and heterogeneous mean-field approximations. Phys. Rev. E 2012, 86, 026116. [Google Scholar] [CrossRef] [PubMed]
- Barabási, A.L.; Albert, R. Emergence of scaling in random networks. Science 1999, 286, 509–512. [Google Scholar] [CrossRef] [PubMed]
- Barrat, A.; Barthélemy, M.; Vespignani, A. Weighted evolving networks: Coupling topology and weight dynamics. Phys. Rev. Lett. 2004, 92, 228701. [Google Scholar] [CrossRef] [PubMed]









| Term | Definition |
|---|---|
| Fraction of aware susceptible nodes | |
| Fraction of unaware susceptible nodes | |
| Fraction of aware infected nodes | |
| Fraction of links between an aware susceptible node and an aware infected node with w-weight | |
| Fraction of links between an unaware susceptible node and an aware infected node with w-weight | |
| Fraction of links between two aware susceptible nodes with w-weight | |
| Fraction of links between two unaware susceptible nodes with w-weight | |
| Fraction of links between an unaware susceptible node and an aware susceptible node with w-weight | |
| Fraction of links between two aware infected nodes with w-weight | |
| Rate that an unaware susceptible node infected by an infected neighbor though a link with weight w | |
| Rate that an aware susceptible node infected by an infected neighbor though a link with weight w | |
| The rate that an unaware node accepts the information and becomes aware | |
| The rewiring rate that is proportional to the link weight w | |
| The rate at which link becomes link due to the rewiring, and b is the scale parameter. Here, we set . Then, the rate at which link becomes link due to the rewiring is . |
Disclaimer/Publisher’s Note: The statements, opinions and data contained in all publications are solely those of the individual author(s) and contributor(s) and not of MDPI and/or the editor(s). MDPI and/or the editor(s) disclaim responsibility for any injury to people or property resulting from any ideas, methods, instructions or products referred to in the content. |
© 2023 by the authors. Licensee MDPI, Basel, Switzerland. This article is an open access article distributed under the terms and conditions of the Creative Commons Attribution (CC BY) license (https://creativecommons.org/licenses/by/4.0/).
Share and Cite
Song, B.; Wu, H.; Song, Y.; Wang, X.; Jiang, G. Epidemic Spreading on Weighted Co-Evolving Multiplex Networks. Mathematics 2023, 11, 3109. https://doi.org/10.3390/math11143109
Song B, Wu H, Song Y, Wang X, Jiang G. Epidemic Spreading on Weighted Co-Evolving Multiplex Networks. Mathematics. 2023; 11(14):3109. https://doi.org/10.3390/math11143109
Chicago/Turabian StyleSong, Bo, Huiming Wu, Yurong Song, Xu Wang, and Guoping Jiang. 2023. "Epidemic Spreading on Weighted Co-Evolving Multiplex Networks" Mathematics 11, no. 14: 3109. https://doi.org/10.3390/math11143109
APA StyleSong, B., Wu, H., Song, Y., Wang, X., & Jiang, G. (2023). Epidemic Spreading on Weighted Co-Evolving Multiplex Networks. Mathematics, 11(14), 3109. https://doi.org/10.3390/math11143109

