Realized Stock-Market Volatility of the United States and the Presidential Approval Rating
Abstract
1. Introduction
2. Data
3. Methods
4. Empirical Results
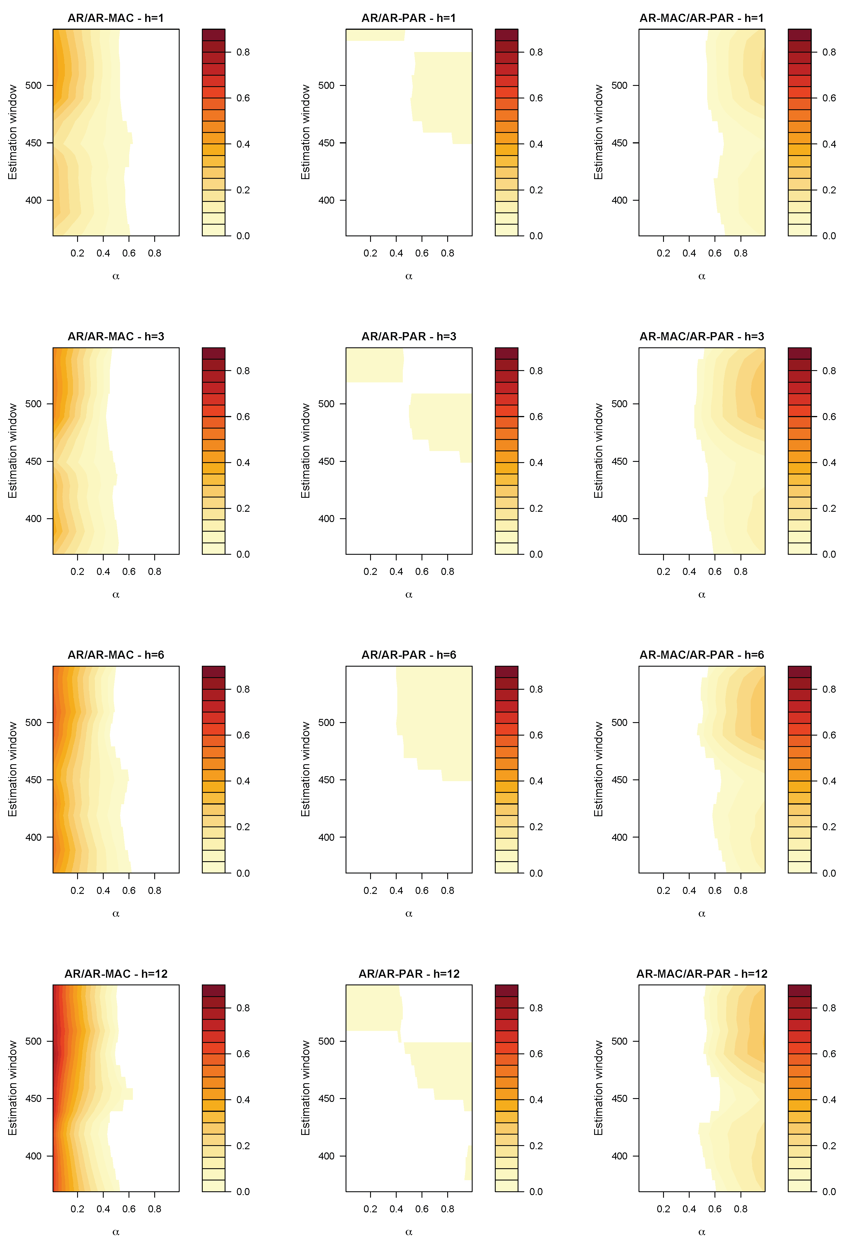
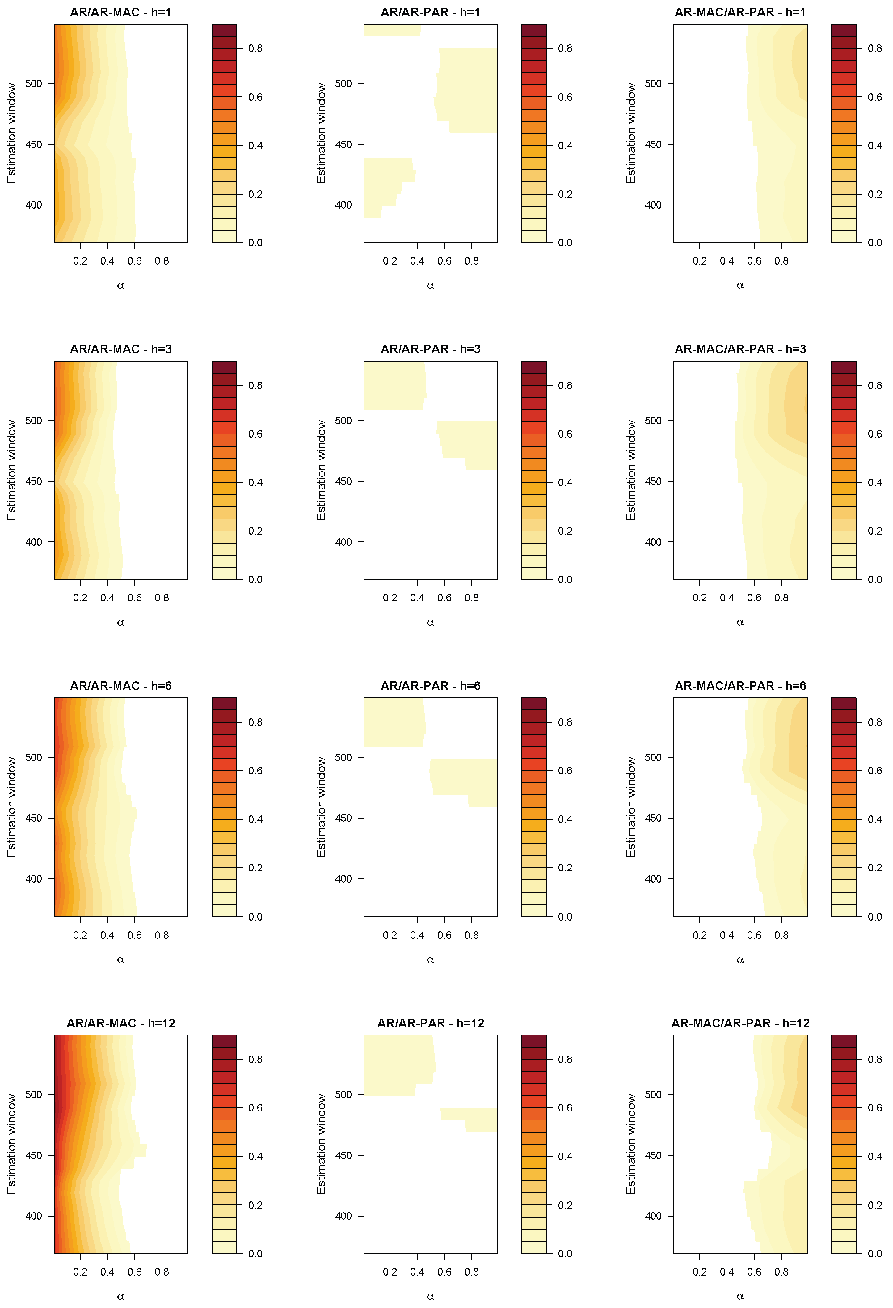
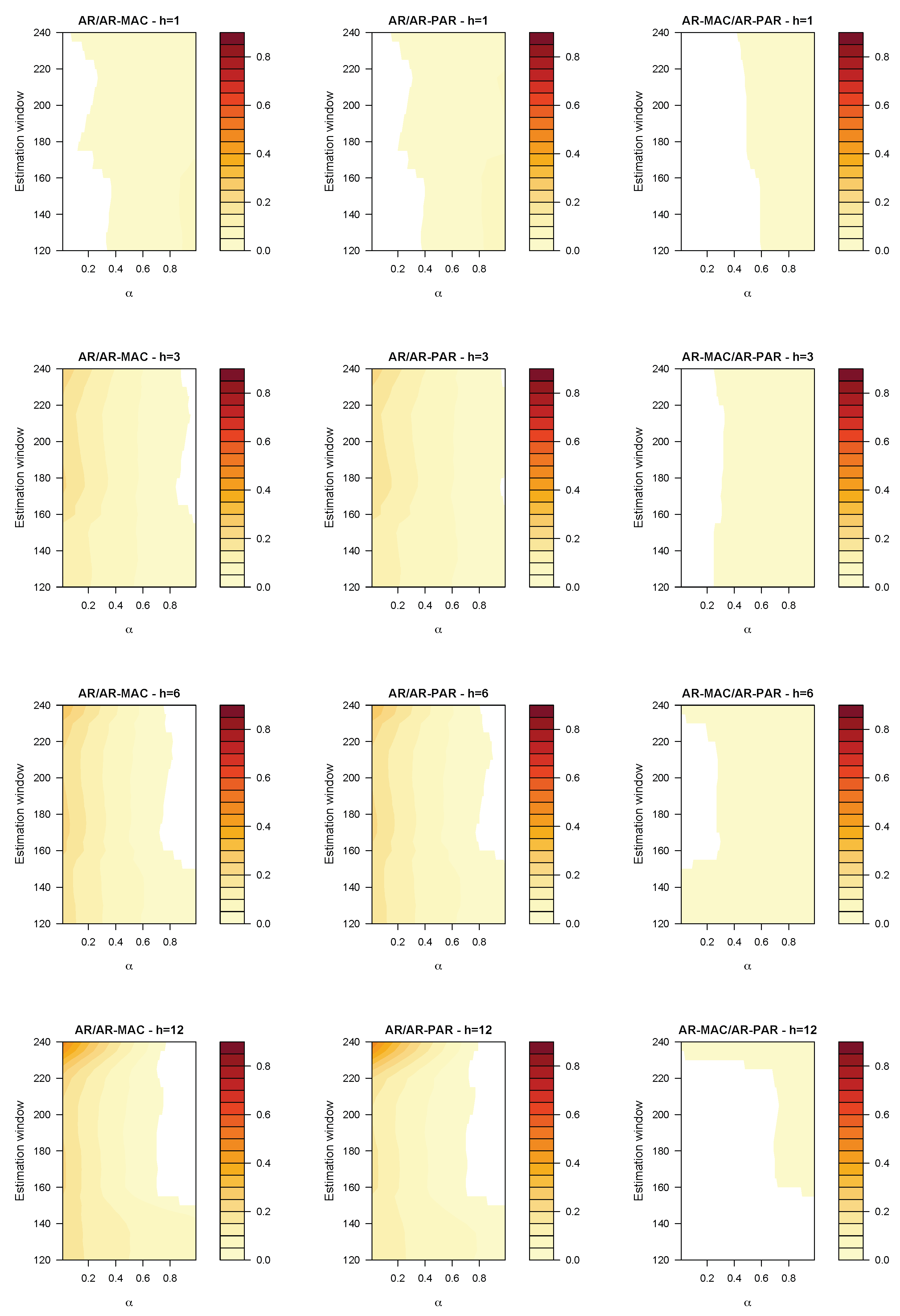
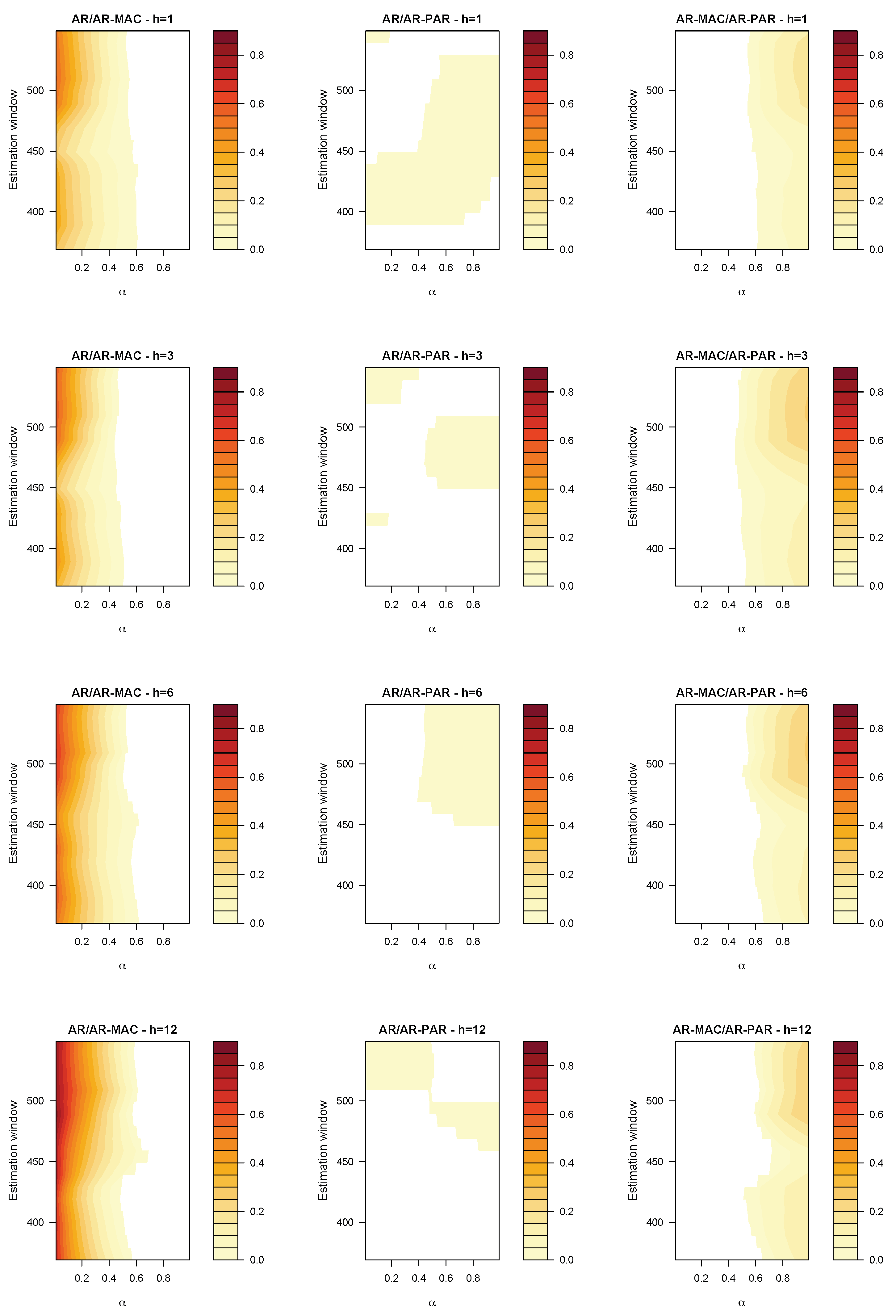
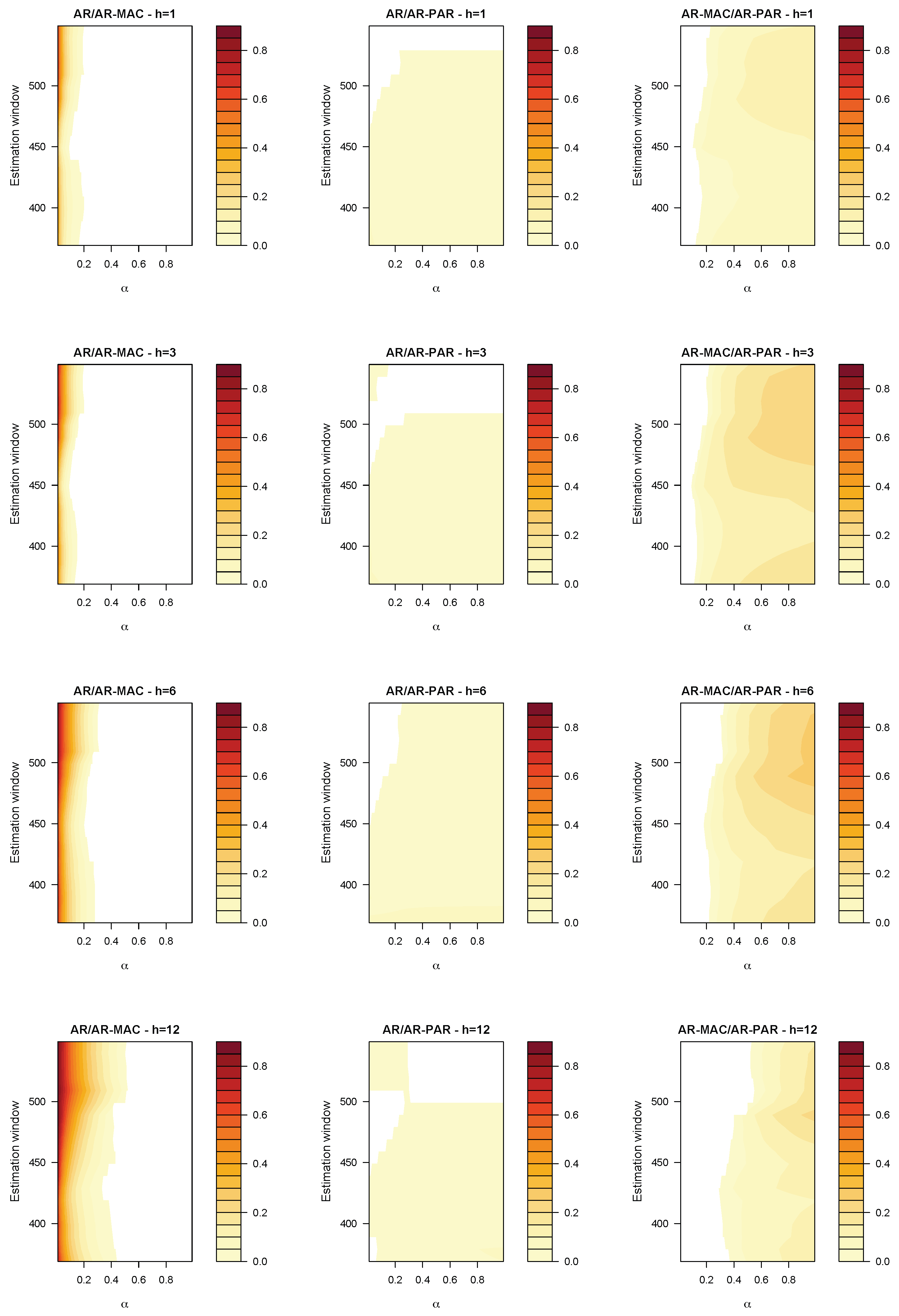
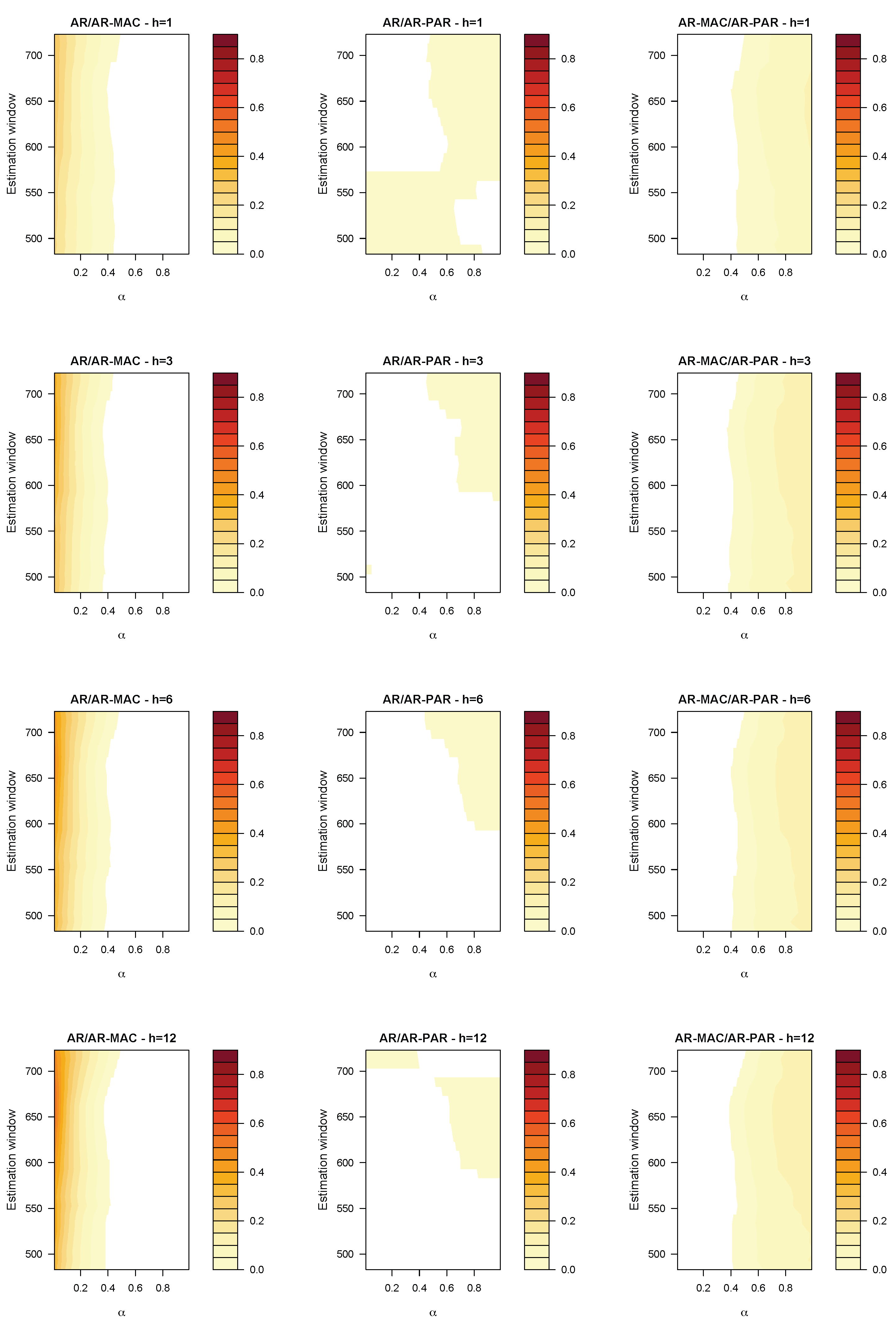
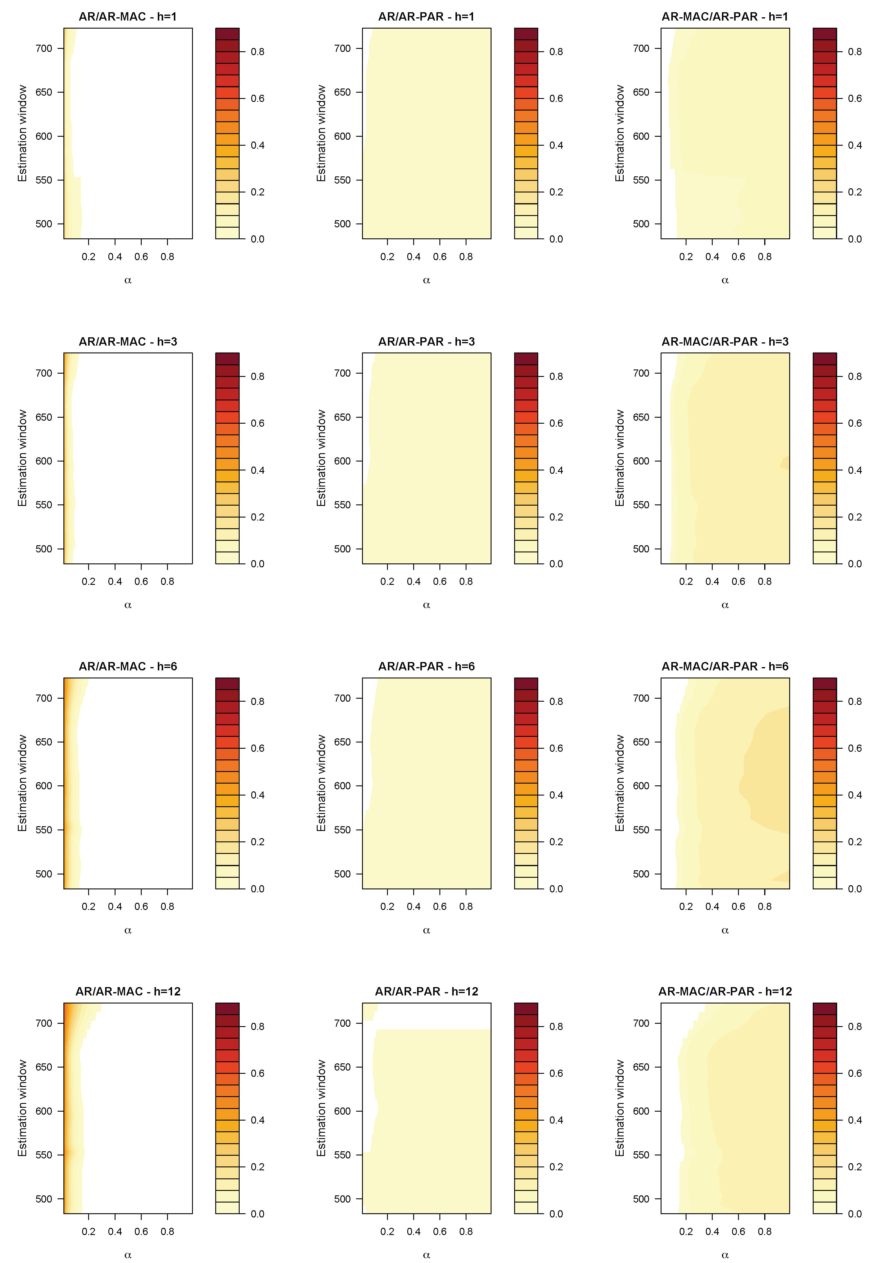
4.1. Baseline Results
4.2. An Extension Based on Historical Data
4.3. A Comparison of PAR and PEAR
4.4. Extensions Based on Quantile Regressions
4.5. Relation to the Existing Literature
5. Concluding Remarks
Author Contributions
Funding
Data Availability Statement
Acknowledgments
Conflicts of Interest
Appendix A
| Panel A: PAR | |||||||||
| Quantile | 0.1 | 0.2 | 0.3 | 0.4 | 0.5 | 0.6 | 0.7 | 0.8 | 0.9 |
| Canada | 1.402 | 2.108 ** | 2.994 *** | 2.507 ** | 2.531 ** | 2.193 ** | 2.232 ** | 2.108 ** | 1.707 * |
| France | 1.152 | 1.811 * | 2.017 ** | 2.154 ** | 2.006 ** | 2.089 ** | 1.82 * | 2.357 ** | 1.849 * |
| Japan | 1.817 * | 2.199 ** | 2.78 *** | 2.819 *** | 2.927 *** | 3.028 *** | 3.064 *** | 2.525 ** | 2.042 ** |
| Germany | 2.644 *** | 4.368 *** | 5.163 *** | 5.249 *** | 5.853 *** | 6.063 *** | 5.573 *** | 4.779 *** | 3.225 *** |
| Italy | 1.648 * | 2.407 ** | 3.082 *** | 3.203 *** | 3.097 *** | 2.759 *** | 2.992 *** | 3.545 *** | 2.24 ** |
| US | 1.316 | 2.181 ** | 2.46 ** | 2.318 ** | 2.566 ** | 2.441 ** | 2.188 ** | 2.353 ** | 1.884 * |
| UK | 1.696 * | 2.557 ** | 2.558 ** | 2.9 *** | 3.486 *** | 3.514 *** | 2.976 *** | 2.818 *** | 1.402 |
| Switzerland | 1.771 * | 1.762 * | 2.088 ** | 2.571 ** | 2.755 *** | 3.218 *** | 3.542 *** | 2.963 *** | 1.803 * |
| Panel B: PEAR | |||||||||
| Quantile | 0.1 | 0.2 | 0.3 | 0.4 | 0.5 | 0.6 | 0.7 | 0.8 | 0.9 |
| Canada | 1.292 | 1.319 | 1.847 * | 2.39 ** | 2.393 ** | 1.977 ** | 1.719 * | 1.226 | 1.866 * |
| France | 1.513 | 1.787 * | 2.116 ** | 1.862 * | 2.498 ** | 2.246 ** | 2.834 *** | 2.711 *** | 1.492 |
| Japan | 1.343 | 2.093 ** | 2.094 ** | 2.031 ** | 1.858 * | 1.893 * | 1.663 * | 1.451 | 1.199 |
| Germany | 1.247 | 1.433 | 1.306 | 1.818 * | 1.684 * | 1.962 ** | 2.39 ** | 1.973 ** | 1.934 * |
| Italy | 1.009 | 1.01 | 1.141 | 1.242 | 1.508 | 1.449 | 2.624 *** | 2.811 *** | 1.658 * |
| US | 1.076 | 1.676 * | 1.991 ** | 1.684 * | 2.145 ** | 2.264 ** | 2.007 ** | 1.516 | 1.398 |
| UK | 1.203 | 2.258 ** | 1.919 * | 1.768 * | 2.548 ** | 2.712 *** | 2.924 *** | 2.972 *** | 1.233 |
| Switzerland | 1.377 | 1.424 | 2.185 ** | 2.892 *** | 2.401 ** | 2.945 *** | 2.137 ** | 2.005 ** | 1.411 |
| Panel A: PAR | |||||||||
| Quantile | 0.1 | 0.2 | 0.3 | 0.4 | 0.5 | 0.6 | 0.7 | 0.8 | 0.9 |
| Canada | 5.177 *** | 6.789 *** | 7.959 *** | 8.647 *** | 8.871 *** | 8.709 *** | 8.213 *** | 6.860 *** | 5.247 *** |
| France | 5.483 *** | 7.812 *** | 8.300 *** | 8.667 *** | 8.234 *** | 8.069 *** | 7.794 *** | 6.547 *** | 4.848 *** |
| Japan | 5.485 *** | 7.351 *** | 8.820 *** | 9.851 *** | 9.671 *** | 9.033 *** | 8.752 *** | 7.779 *** | 5.446 *** |
| Germany | 6.541 *** | 8.528 *** | 9.589 *** | 10.21 *** | 10.67 *** | 10.44 *** | 9.787 *** | 8.435 *** | 6.268 *** |
| Italy | 5.222 *** | 7.163 *** | 8.332 *** | 9.020 *** | 9.381 *** | 8.751 *** | 8.231 *** | 7.261 *** | 5.484 *** |
| US | 5.359 *** | 6.668 *** | 7.806 *** | 8.251 *** | 8.874 *** | 8.685 *** | 8.507 *** | 7.187 *** | 4.969 *** |
| UK | 5.423 *** | 7.762 *** | 8.704 *** | 9.134 *** | 9.256 *** | 9.114 *** | 8.516 *** | 7.580 *** | 5.664 *** |
| Switzerland | 5.077 *** | 6.799 *** | 7.961 *** | 8.752 *** | 9.011 *** | 8.949 *** | 8.244 *** | 7.246 *** | 5.307 *** |
| Panel B: PEAR | |||||||||
| Quantile | 0.1 | 0.2 | 0.3 | 0.4 | 0.5 | 0.6 | 0.7 | 0.8 | 0.9 |
| Canada | 3.679 *** | 4.859 *** | 5.784 *** | 6.134 *** | 5.943 *** | 5.806 *** | 5.617 *** | 4.950 *** | 3.819 *** |
| France | 3.750 *** | 5.024 *** | 6.260 *** | 6.285 *** | 6.556 *** | 6.128 *** | 5.516 *** | 5.094 *** | 3.701 *** |
| Japan | 3.497 *** | 4.854 *** | 5.503 *** | 5.735 *** | 5.866 *** | 5.910 *** | 5.570 *** | 5.143 *** | 3.584 *** |
| Germany | 3.983 *** | 5.217 *** | 6.128 *** | 6.914 *** | 6.893 *** | 6.843 *** | 6.267 *** | 5.277 *** | 3.716 *** |
| Italy | 3.861 *** | 4.894 *** | 5.365 *** | 5.744 *** | 5.947 *** | 5.887 *** | 5.876 *** | 5.227 *** | 3.968 *** |
| US | 3.874 *** | 5.287 *** | 5.744 *** | 6.228 *** | 6.091 *** | 5.865 *** | 5.543 *** | 5.184 *** | 3.579 *** |
| UK | 4.203 *** | 5.858 *** | 6.194 *** | 6.692 *** | 6.543 *** | 6.338 *** | 6.021 *** | 5.288 *** | 3.676 *** |
| Switzerland | 3.454 *** | 5.167 *** | 6.309 *** | 6.345 *** | 6.871 *** | 6.594 *** | 6.078 *** | 5.042 *** | 3.496 *** |








References
- Gupta, R.; Kanda, P.T.; Wohar, M.E. Predicting stock market movements in the United States: The role of presidential approval ratings. Int. Rev. Financ. 2021, 21, 324–335. [Google Scholar] [CrossRef]
- Engle, R.F.; Rangel, J.G. The Spline-GARCH model for low frequency volatility and its global macroeconomic causes. Rev. Financ. Stud. 2008, 21, 1187–1222. [Google Scholar] [CrossRef]
- Rangel, J.G.; Engle, R.F. The Factor-Spline-GARCH model for high and low frequency correlations. J. Bus. Econ. Stat. 2011, 30, 109–124. [Google Scholar] [CrossRef]
- Asgharian, H.; Hou, A.J.; Javed, F. The importance of the macroeconomic variables in forecasting stock return variance: A GARCH MIDAS approach. J. Forecast. 2013, 32, 600–612. [Google Scholar] [CrossRef]
- Engle, R.F.; Ghysels, E.; Sohn, B. Stock market volatility and macroeconomic fundamentals. Rev. Econ. Stat. 2013, 95, 776–797. [Google Scholar] [CrossRef]
- Conrad, C.; Loch, K. Anticipating long term stock market volatility. J. Appl. Econom. 2015, 30, 1090–1114. [Google Scholar] [CrossRef]
- Fang, T.; Lee, T.-H.; Su, Z. Predicting the long-term stock market volatility: A GARCH-MIDAS model with variable selection. J. Empir. Financ. 2020, 58, 3–49. [Google Scholar] [CrossRef]
- Chong, J.; Halcoussis, D.; Phillips, M. Does market volatility impact presidential approval? J. Public Aff. 2011, 11, 387–394. [Google Scholar] [CrossRef]
- Berlemann, M.; Enkelmann, S. The economic determinants of U.S. presidential approval: A survey. Eur. J. Political Econ. 2014, 36, 41–54. [Google Scholar] [CrossRef]
- Choi, S.-W.; James, P.; Li, Y.; Olson, E. Presidential approval and macroeconomic conditions: Evidence from a nonlinear model. Appl. Econ. 2016, 48, 4558–4572. [Google Scholar] [CrossRef]
- Dickerson, B. Economic perceptions, presidential approval, and causality: The moderating role of the economic context. Am. Politics Res. 2016, 44, 1037–1065. [Google Scholar] [CrossRef]
- Adrangi, B.; Macri, J. Does the Misery Index influence a U.S. President’s political re-election prospects? J. Risk Financ. Manag. 2019, 12, 22. [Google Scholar] [CrossRef]
- Shiller, R.J. Do stock prices move too much to be justified by subsequent changes in dividends? Am. Econ. Rev. 1981, 75, 421–436. [Google Scholar]
- Shiller, R.J. The use of volatility measures in assessing market efficiency. J. Financ. 1981, 36, 291–304. [Google Scholar]
- Bernanke, B.S. Nonmonetary effects of the financial crises in the propagation of the Great Depression. Am. Econ. Rev. 1983, 73, 257–276. [Google Scholar]
- Schwert, G.W. Why does stock market volatility change over time. J. Financ. 1989, 44, 1115–1153. [Google Scholar] [CrossRef]
- Fauvelle-Aymar, C.; Stegmaier, M. The stock market and U.S. presidential approval. Elect. Stud. 2013, 32, 411–417. [Google Scholar] [CrossRef]
- Black, F. Studies of stock price volatility changes. In Proceedings of the 1976 Meeting of the Business and Economic Statistics Section; American Statistical Association: Washington, DC, USA, 1976; pp. 177–181. [Google Scholar]
- Campbell, J.Y. Viewpoint: Estimating the equity premium. Can. J. Econ. 2008, 41, 1–21. [Google Scholar] [CrossRef]
- Rapach, D.E.; Zhou, G. Forecasting stock returns. In Handbook of Economic Forecasting; Elliott, G., Timmermann, A., Eds.; Elsevier: Amsterdam, The Netherlands, 2013; Volume 2 (Part A), pp. 328–383. [Google Scholar]
- Rapach, D.E.; Zhou, G. Asset Pricing: Time-Series Predictability. Oxford Research Encyclopedia of Economics and Finance. 2022. Available online: https://oxfordre.com/economics (accessed on 1 April 2023).
- Poon, S.-H.; Granger, C.W.J. Forecasting volatility in financial markets: A review. J. Econ. Lit. 2003, 41, 478–539. [Google Scholar] [CrossRef]
- Rapach, D.E.; Wohar, M.E.; Strauss, J. Forecasting stock return volatility in the presence of structural breaks. In Forecasting in the Presence of Structural Breaks and Model Uncertainty, Volume 3 of Frontiers of Economics and Globalization; Rapach, D.E., Wohar, M.E., Eds.; Emerald: Bingley, UK, 2008; pp. 381–416. [Google Scholar]
- Andersen, T.G.; Bollerslev, T. Answering the skeptics: Yes, standard volatility models do provide accurate forecasts. Int. Econ. Rev. 1998, 39, 885–905. [Google Scholar] [CrossRef]
- Gkillas, K.; Gupta, R.; Pierdzioch, C. Forecasting realized oil-price volatility: The role of financial stress and asymmetric loss. J. Int. Money Financ. 2020, 104, 102137. [Google Scholar] [CrossRef]
- Santa-Clara, P.; Valkanov, R. The presidential puzzle: Political cycles and the stock market. J. Financ. 2003, 58, 1841–1872. [Google Scholar] [CrossRef]
- Pástor, L.; Veronesi, P. Political cycles and stock returns. J. Political Econ. 2020, 128, 4011–4045. [Google Scholar] [CrossRef]
- Gupta, R.; Nel, J.; Pierdzioch, C. Investor confidence and forecastability of US stock market realized volatility: Evidence from machine learning. J. Behav. Financ. 2022, 24, 111–122. [Google Scholar] [CrossRef]
- Salisu, A.A.; Gupta, R.; Ogbonna, A.E. A moving average heterogeneous autoregressive model for forecasting the realized volatility of the US stock market: Evidence from over a century of data. Int. J. Financ. Econ. 2022, 27, 384–400. [Google Scholar] [CrossRef]
- Segnon, M.; Gupta, R.; Wilfling, B. Forecasting stock market volatility with regime switching GARCH-MIDAS: The role of geopolitical risks. Int. J. Forecast. 2023. In Press. [Google Scholar] [CrossRef]
- Chen, Z.; Da, Z.; Huang, D.; Wang, L. Presidential economic approval rating and the cross-section of stock returns. J. Financ. Econ. 2023, 147, 106–131. [Google Scholar] [CrossRef]
- Ludvigson, S.C.; Ng, S. Macro factors in bond risk premia. Rev. Financ. Stud. 2009, 22, 5027–5067. [Google Scholar] [CrossRef]
- Ludvisgon, S.C.; Ng, S. A factor analysis of bond risk premia. In Handbook of Empirical Economics and Finance; Ulah, A., Giles, D., Eds.; Chapman and Hall: London, UK, 2011; pp. 313–372. [Google Scholar]
- Jurado, K.; Ludvigson, S.C.; Ng, S. Measuring uncertainty. Am. Econ. Rev. 2015, 105, 1177–1216. [Google Scholar] [CrossRef]
- Ludvigson, S.C.; Ma, S.; Ng, S. Uncertainty and business cycles: Exogenous impulse or endogenous response? Am. Econ. J. Macroecon. 2021, 13, 369–410. [Google Scholar] [CrossRef]
- Campbell, J.Y.; Shiller, R.J. Stock prices, earnings, and expected dividends. J. Financ. 1988, 43, 661–676. [Google Scholar] [CrossRef]
- Campbell, J.Y.; Shiller, R.J. Valuation ratios and the long-run stock market outlook. J. Portf. Manag. 1998, 24, 11–26. [Google Scholar] [CrossRef]
- Welch, I.; Goyal, A. A Comprehensive Look at The Empirical Performance of Equity Premium Prediction. Rev. Financ. Stud. 2008, 21, 1455–1508. [Google Scholar] [CrossRef]
- Rapach, D.E.; Strauss, J.; Zhou, G. Out-of-Sample Equity Premium Prediction: Combination Forecasts and Links to the Real Economy. Rev. Financ. Stud. 2010, 23, 821–862. [Google Scholar] [CrossRef]
- Meligkotsidou, L.; Panopoulou, E.; Vrontos, I.D.; Vrontos, S.D. A Quantile Regression Approach to Equity Premium Prediction. J. Forecast. 2014, 33, 558–576. [Google Scholar] [CrossRef]
- Elliott, G.; Timmermann, A.; Komunjer, I. Estimation and testing of forecast rationality under flexible loss. Rev. Econ. Stud. 2005, 72, 1107–1125. [Google Scholar] [CrossRef]
- Elliott, G.; Komunjer, I.; Timmermann, A. Biases in macroeconomic forecasts: Irrationality or asymmetric loss? J. Eur. Econ. Assoc. 2008, 6, 122–157. [Google Scholar] [CrossRef]
- R Core Team. R: A Language and Environment for Statistical Computing; R Foundation for Statistical Computing: Vienna, Austria, 2023; Available online: https://www.R-project.org/ (accessed on 1 April 2023).
- Diebold, F.X.; Mariano, R.S. Comparing Predictive Accuracy. J. Bus. Econ. Stat. 1995, 13, 253–263. [Google Scholar]
- Harvey, D.; Leybourne, S.; Newbold, P. Testing the equality of prediction mean squared errors. Int. J. Forecast. 1997, 13, 281–291. [Google Scholar] [CrossRef]
- Balcilar, M.; Gupta, R.; Nguyen, D.K.; Wohar, M.E. Causal effects of the United States and Japan on Pacific-Rim stock markets: Nonparametric quantile causality approach. Appl. Econ. 2018, 50, 5712–5727. [Google Scholar] [CrossRef]
- Bloom, N. The Impact of Uncertainty Shocks. Econometrica 2009, 77, 623–685. [Google Scholar]
- Bloom, N. Fluctuations in Uncertainty. J. Econ. Perspect. 2014, 28, 153–175. [Google Scholar] [CrossRef]
- Brogaard, J.; Dai, L.; Ngo, P.T.H.; Zhang, B. Global Political Uncertainty and Asset Prices. Rev. Financ. Stud. 2020, 33, 1737–1780. [Google Scholar] [CrossRef]








| Variable | Minimum | Mean | Median | Maximum | Std. Dev. |
|---|---|---|---|---|---|
| RV | −0.3342 | 2.5312 | 2.4277 | 6.7017 | 0.9616 |
| F1 | −1.2677 | −0.0025 | −0.0439 | 2.2000 | 0.3939 |
| F2 | −1.3317 | 0.0002 | 0.0039 | 1.4519 | 0.2682 |
| F3 | −1.4702 | 0.0004 | 0.0089 | 1.2412 | 0.2612 |
| F4 | −1.0588 | 0.0005 | −0.0044 | 0.9315 | 0.2294 |
| F5 | −0.8510 | −0.0001 | −0.0196 | 1.2255 | 0.2100 |
| F6 | −0.7028 | −0.0003 | 0.0031 | 0.6766 | 0.1990 |
| F7 | −1.2655 | 0.0001 | 0.0105 | 0.4835 | 0.1737 |
| F8 | −0.7008 | 0.0013 | −0.0047 | 0.4821 | 0.1538 |
| MU1 | 0.5270 | 0.6536 | 0.6252 | 1.2166 | 0.1060 |
| MU3 | 0.6527 | 0.7911 | 0.7611 | 1.2797 | 0.1079 |
| MU12 | 0.7996 | 0.9171 | 0.9012 | 1.1773 | 0.0713 |
| FU1 | 0.5948 | 0.9071 | 0.8833 | 1.5499 | 0.1679 |
| FU3 | 0.6871 | 0.9469 | 0.9307 | 1.4237 | 0.1332 |
| FU12 | 0.8831 | 0.9870 | 0.9843 | 1.1343 | 0.0485 |
| PAR | 3.2321 | 3.9157 | 3.9120 | 4.4773 | 0.2305 |
Disclaimer/Publisher’s Note: The statements, opinions and data contained in all publications are solely those of the individual author(s) and contributor(s) and not of MDPI and/or the editor(s). MDPI and/or the editor(s) disclaim responsibility for any injury to people or property resulting from any ideas, methods, instructions or products referred to in the content. |
© 2023 by the authors. Licensee MDPI, Basel, Switzerland. This article is an open access article distributed under the terms and conditions of the Creative Commons Attribution (CC BY) license (https://creativecommons.org/licenses/by/4.0/).
Share and Cite
Gupta, R.; Jaichand, Y.; Pierdzioch, C.; van Eyden, R. Realized Stock-Market Volatility of the United States and the Presidential Approval Rating. Mathematics 2023, 11, 2964. https://doi.org/10.3390/math11132964
Gupta R, Jaichand Y, Pierdzioch C, van Eyden R. Realized Stock-Market Volatility of the United States and the Presidential Approval Rating. Mathematics. 2023; 11(13):2964. https://doi.org/10.3390/math11132964
Chicago/Turabian StyleGupta, Rangan, Yuvana Jaichand, Christian Pierdzioch, and Reneé van Eyden. 2023. "Realized Stock-Market Volatility of the United States and the Presidential Approval Rating" Mathematics 11, no. 13: 2964. https://doi.org/10.3390/math11132964
APA StyleGupta, R., Jaichand, Y., Pierdzioch, C., & van Eyden, R. (2023). Realized Stock-Market Volatility of the United States and the Presidential Approval Rating. Mathematics, 11(13), 2964. https://doi.org/10.3390/math11132964

