Mathematical Analysis of Mixed Convective Peristaltic Flow for Chemically Reactive Casson Nanofluid
Abstract
:1. Introduction
2. Statement
3. Numerical Results and Analysis
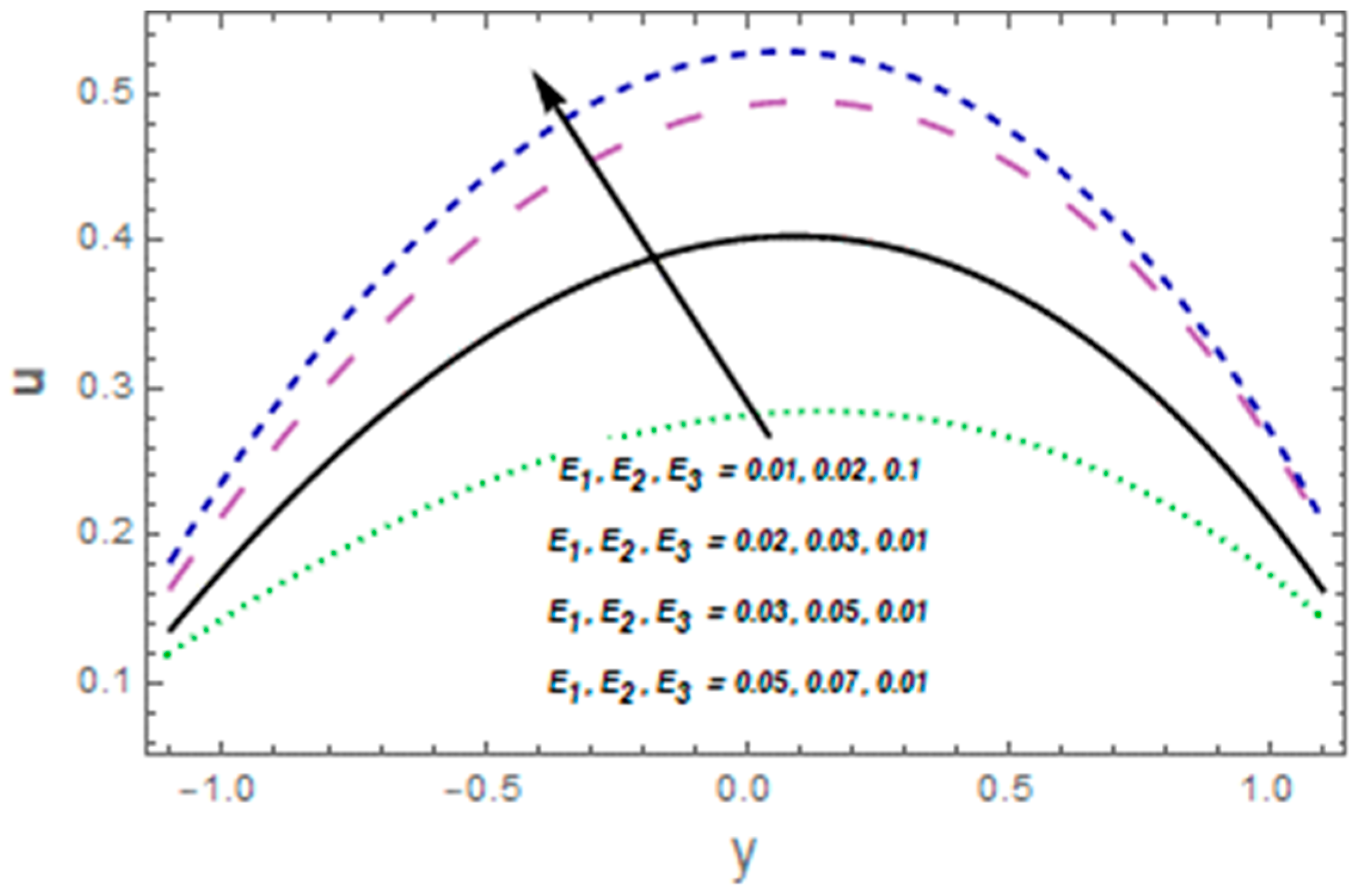
3.1. Velocity
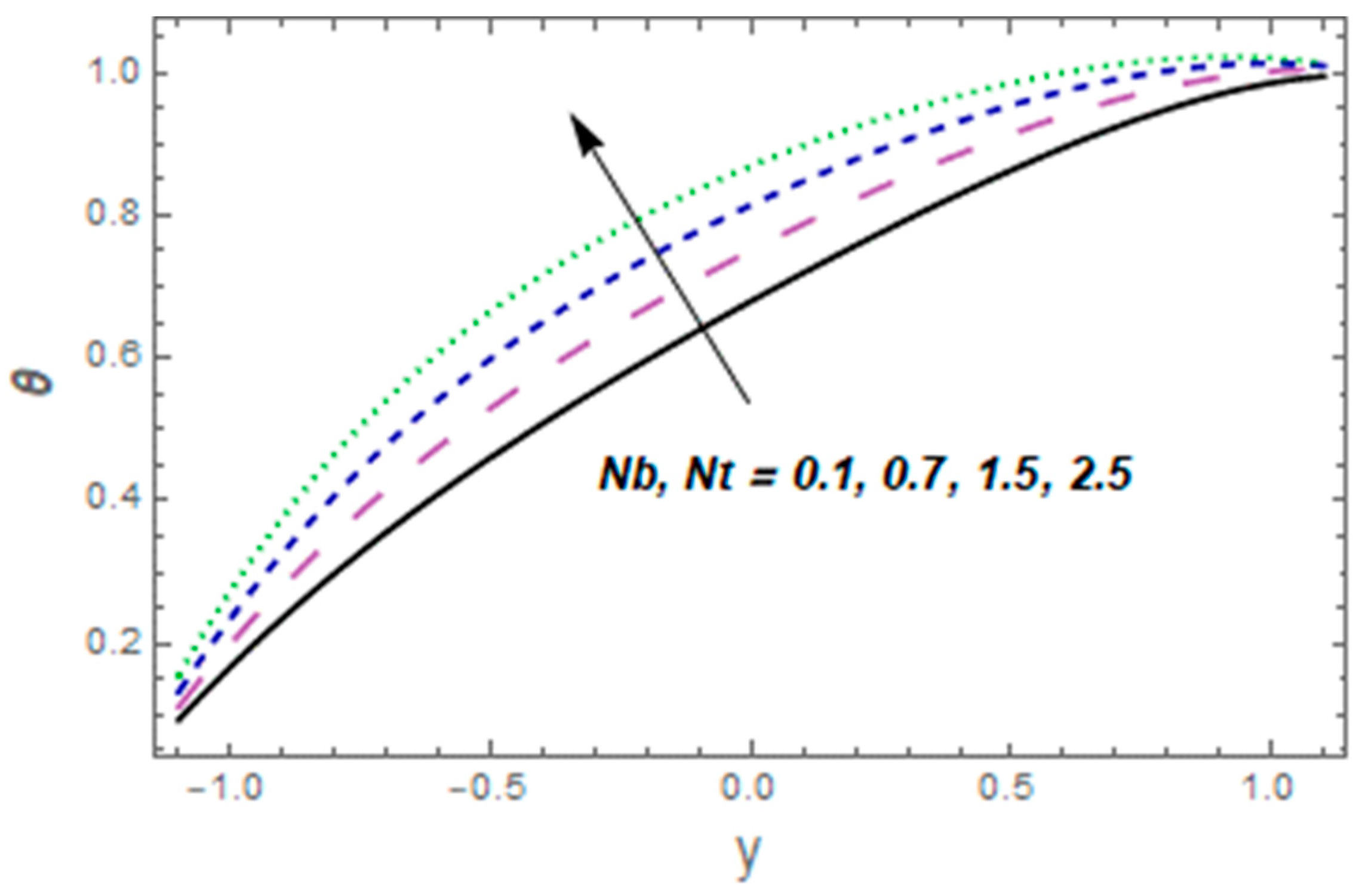
3.2. Temperature
3.3. Heat Transfer Rate
3.4. Concentration Field
4. Results Validation
5. Conclusions
- The velocity of the flowing fluid increased with velocity slip and Casson fluid parameters .
- By enhancing the thermal Grashof number velocity was enhanced.
- Temperature raised for larger values of nanofluid parameters known as thermophoresis and Brownian motion .
- The opposite trend was noticed for radiation parameter and Brinkman number against temperature.
- The rate of heat transfer was enhanced for Casson fluid and thermal Grashof number .
- The role of Hall current number and thermal slip parameter in heat transfer rate was inverse.
- Concentration declined via chemical reaction and thermophoresis .
- Temperature and concentration heightened for elastic parameters and and lessened for .
Author Contributions
Funding
Data Availability Statement
Acknowledgments
Conflicts of Interest
Nomenclature
| Cartesian coordinates | gravitational acceleration | ||
| velocity components | coefficient of viscous damping | ||
| wave amplitude | elastic tension | ||
| time | mass per unit area | ||
| wave speed | radiation parameter | ||
| damping half channel width | Casson fluid parameter | ||
| amplitude ratio | Slip parameters | ||
| pressure | stream function | ||
| Nanofluid density | Fluid temperature at the upper wall | ||
| thermal diffusivity | Fluid temperature at the lower wall | ||
| thermal conductivity | Fluid concentration at the upper wall | ||
| wavelength | Fluid concentration at the lower wall | ||
| electrical conductivity | mean temperature | ||
| applied magnetic field | Reynolds number | ||
| kinematic viscosity | wave number | ||
| thermal expansion coefficients | Eckert number | ||
| concentration expansion coefficients | Prandtl number | ||
| Brownian motion coefficient | Hartman number | ||
| thermophoretic diffusion coefficient | thermal Grashof number | ||
| Brownian motion parameter | concentration Grashof number | ||
| wall parameters | Chemical reaction parameter | ||
| thermophoresis parameter | fluid temperature | ||
| fluid concentration |
References
- Choi, S.U.S. Enhancing thermal conductivity of fluids with nanoparticles. In Developments and Applications of Non-Newtonian Flows; Siginer, D.A., Wang, H.P., Eds.; Argonne National Lab. (ANL): Argonne, IL, USA, 1995; Volume 231, pp. 99–105. [Google Scholar]
- Chon, C.H.; Kihm, K.D.; Lee, S.P.; Choi, S.U.S. Empirical correlation finding the role of temperature and particle size for nanofluid (Al2O3) thermal conductivity enhancement. Appl. Phys. Lett. 2005, 87, 153107. [Google Scholar] [CrossRef]
- Buongiorno, J. Convective transport in nanofluids. ASME J. Heat Transf. 2006, 128, 240–250. [Google Scholar] [CrossRef]
- Tripathi, D.; Bég, O.A. A study on peristaltic flow of nanofluids: Application in drug delivery systems. Int. J. Heat Mass Transf. 2014, 70, 61–70. [Google Scholar] [CrossRef]
- Hayat, T.; Nisar, Z.; Ahmad, B.; Yasmin, H. Simultaneous effects of slip and wall properties on MHD peristaltic motion of nanofluid with Joule heating. J. Magn. Magn. Mater. 2015, 395, 48–58. [Google Scholar] [CrossRef]
- Atashafrooz, M.; Sajjadi, H.; Delouei, A.A. Interacting influences of Lorentz force and bleeding on the hydrothermal behaviors of nanofluid flow in a trapezoidal recess with the second law of thermodynamics analysis. Int. Commun. Heat Mass Transf. 2020, 110, 104411. [Google Scholar] [CrossRef]
- Ahmed, B.; Hayat, T.; Alsaedi, A.; Abbasi, F.M. Entropy generation analysis for peristaltic motion of Carreau–Yasuda nanomaterial. Phys. Scr. 2020, 95, 055804. [Google Scholar] [CrossRef]
- Alsaedi, A.; Nisar, Z.; Hayat, T.; Ahmad, B. Analysis of mixed convection and hall current for MHD peristaltic transport of nanofluid with compliant wall. Int. Commun. Heat Mass Transf. 2021, 121, 105121. [Google Scholar] [CrossRef]
- Abbasi, F.M.; Gul, M.; Shanakhat, I.; Anjum, H.J.; Shehzad, S.A. Entropy generation analysis for magnetized peristaltic movement of nanofluid through a non-uniform asymmetric channel with variable thermal conductivity. Chin. J. Phys. 2022, 78, 111–131. [Google Scholar] [CrossRef]
- Akbar, Y.; Alotaibi, H.; Iqbal, J.; Nisar, K.S.; Alharbi, K.A.M. Thermodynamic analysis for bioconvection peristaltic transport of nanofluid with gyrotactic motile microorganisms and Arrhenius activation energy. Case Stud. Therm. Eng. 2022, 34, 102055. [Google Scholar]
- Hina, S.; Kayani, S.M.; Mustafa, M. Aiding or opposing electro-osmotic flow of Carreau—Yasuda nanofluid induced by peristaltic waves using Buongiorno model. Waves Random Complex Media 2022, 1–17. [Google Scholar] [CrossRef]
- Muhammad, K.; Abdelmohsen, S.A.; Abdelbacki, A.M.; Aziz, A. Cattaneo-Christov (C–C) heat flux in Darcy-Forchheimer (DF) flow of fourth-grade nanomaterial with convective heat and mass conditions. Case Stud. Therm. Eng. 2022, 3, 102152. [Google Scholar] [CrossRef]
- Atashafrooz, M.; Sajjadi, H.; Delouei, A.A. Simulation of combined convective-radiative heat transfer of hybrid nanofluid flow inside an open trapezoidal enclosure considering the magnetic force impacts. J. Magn. Magn. Mater. 2023, 567, 170354. [Google Scholar] [CrossRef]
- Nisar, Z.; Yasmin, H. Analysis of motile gyrotactic micro-organisms for the bioconvection peristaltic flow of Carreau-Yasuda bionanomaterials. Coatings 2023, 13, 314. [Google Scholar] [CrossRef]
- Yasmin, H.; Giwa, S.O.; Noor, S.; Aybar, H.Ş. Reproduction of Nanofluid Synthesis, Thermal Properties and Experiments in Engineering: A Research Paradigm Shift. Energies 2023, 16, 1145. [Google Scholar] [CrossRef]
- Akram, S.; Athar, M.; Saeed, K.; Razia, A.; Muhammad, T.; Hussain, A. Hybrid double-diffusivity convection and induced magnetic field effects on peristaltic waves of Oldroyd 4-constant nanofluids in non-uniform channel. Alex. Eng. J. 2023, 65, 785–796. [Google Scholar] [CrossRef]
- Yasmin, H.; Giwa, S.O.; Noor, S.; Sharifpur, M. Thermal Conductivity Enhancement of Metal Oxide Nanofluids: A Critical Review. Nanomaterials 2023, 13, 597. [Google Scholar] [CrossRef]
- Iqbal, J.; Abbasi, F.M.; Alkinidri, M.; Alahmadi, H. Heat and mass transfer analysis for MHD bioconvection peristaltic motion of Powell-Eyring nanofluid with variable thermal characteristics. Case Stud. Therm. Eng. 2023, 43, 102692. [Google Scholar] [CrossRef]
- Latham, T.W. Fluid Motion in a Peristaltic Pump. Master’s Thesis, MIT, Cambridge, MA, USA, 1966. [Google Scholar]
- Shapiro, A.H.; Jaffrin, M.Y.; Weinberg, S.L. Peristaltic pumping with long wavelength at low Reynolds number. J. Fluid Mech. 1969, 37, 799–825. [Google Scholar] [CrossRef]
- Shugan, I.V.; Smirnov, N.N. Peristaltic mass transfer in a channel under standing walls vibrations. Phys. Syst. Vib. 2001, 9, 71–78. [Google Scholar]
- Ellahi, R.; Bhatti, M.M.; Vafai, K. Effects of heat and mass transfer on peristaltic flow in a non-uniform rectangular duct. Int. J. Heat Mass Transf. 2014, 71, 706–719. [Google Scholar] [CrossRef]
- Tripathi, D.; Bhushan, S.; Bég, O.A. Transverse magnetic field driven modification in unsteady peristaltic transport with electrical double layer effects. Colloids Surf. A Physicochem. Eng. Asp. 2016, 506, 32–39. [Google Scholar] [CrossRef]
- Nisar, Z.; Hayat, T.; Alsaedi, A.; Ahmad, B. Significance of activation energy in radiative peristaltic transport of Eyring-Powell nanofluid. Int. Commun. Heat Mass Transf. 2020, 116, 104655. [Google Scholar] [CrossRef]
- Iqbal, N.; Yasmin, H.; Bibi, A.; Attiya, A.A. Peristaltic motion of Maxwell fluid subject to convective heat and mass conditions. Ain Shams Eng. J. 2021, 12, 3121–3131. [Google Scholar] [CrossRef]
- Khushi, S.; Abbasi, F.M. Hall current and Joule heating effects on peristalsis of TiO2–Ag/EG hybrid nanofluids via a curved channel with heat transfer. Waves Random Complex Media 2022, 1–24. [Google Scholar] [CrossRef]
- Nisar, Z.; Hayat, T.; Alsaedi, A.; Ahmad, B. Mathematical modeling for peristalsis of couple stress nanofluid. Math. Meth. Appl. Sci. 2022, 1–19. [Google Scholar] [CrossRef]
- Javed, M.; Aslam, R.; Ibrahim, N. Peristaltic mechanism in a micro wavy channel. Therm. Sci. Eng. Prog. 2023, 38, 101530. [Google Scholar] [CrossRef]
- Yasin, M.; Hina, S.; Naz, R.; Abdeljawad, T.; Sohail, M. Numerical Examination on Impact of Hall Current on Peristaltic Flow of Eyring-Powell Fluid under Ohmic-Thermal Effect with Slip Conditions. Curr. Nanosci. 2023, 19, 49–62. [Google Scholar]
- Zhang, S.; Liang, W.; Li, C.; Wu, P.; Chen, X.D.; Dai, B.; Deng, R.; Lei, Z. Study on the effect of wall structures and peristalsis of bionic reactor on mixing. Chem. Eng. Sci. 2023, 267, 118373. [Google Scholar] [CrossRef]
- Shugan, I.V.; Smirnov, N.N.; Legros, J.C. Streaming flows in a channel with elastic walls. Phys. Fluids 2002, 14, 3502–3511. [Google Scholar] [CrossRef]
- Nisar, Z.; Hayat, T.; Alsaedi, A.; Ahmad, B. Wall properties and convective conditions in MHD radiative peristalsis flow of Eyring–Powell nanofluid. J. Therm. Anal. Calorim. 2021, 144, 1199–1208. [Google Scholar] [CrossRef]
- Choudhari, R.; Makinde, O.D.; Mebarek-Oudina, F.; Vaidya, H.; Prasad, K.V.; Devaki, P. Analysis of third-grade liquid under the influence of wall slip and variable fluid properties in an inclined peristaltic channel. Heat Transf. 2022, 51, 6528–6547. [Google Scholar] [CrossRef]
- Abd-Alla, A.M.; Abo-Dahab, S.M.; Thabet, E.N.; Bayones, F.S.; Abdelhafez, M.A. Heat and mass transfer in a peristaltic rotating frame Jeffrey fluid via porous medium with chemical reaction and wall properties. Alex. Eng. J. 2023, 66, 405–420. [Google Scholar] [CrossRef]
- Casson, N. A flow equation for the pigment oil suspension of the printing ink type. Rheology Disper. Syst. 1959, 84–102. [Google Scholar]
- Divya, B.B.; Manjunatha, G.; Rajashekhar, C.; Vaidya, H.; Prasad, K.V. Analysis of temperature dependent properties of a peristaltic MHD flow in a non-uniform channel: A Casson fluid model. Ain Shams Eng. J. 2021, 12, 2181–2191. [Google Scholar] [CrossRef]
- Abbas, Z.; Rafiq, M.Y.; Hasnain, J.; Javed, T. Peristaltic transport of a Casson fluid in a non-uniform inclined tube with Rosseland approximation and wall properties. Arab. J. Sci. Eng. 2021, 46, 1997–2007. [Google Scholar] [CrossRef]
- Priam, S.S.; Nasrin, R. Numerical appraisal of time-dependent peristaltic duct flow using Casson fluid. Int. J. Mech. Sci. 2022, 233, 107676. [Google Scholar] [CrossRef]
- Hafez, N.M.; Abd-Alla, A.M.; Metwaly, T.M.N. Influences of rotation and mass and heat transfer on MHD peristaltic transport of Casson fluid through inclined plane. Alex. Eng. J. 2023, 68, 665–692. [Google Scholar] [CrossRef]
- Akram, J.; Akbar, N.S.; Maraj, E. Chemical reaction and heat source/sink effect on magnetonano Prandtl-Eyring fluid peristaltic propulsion in an inclined symmetric channel. Chin. J. Phys. 2020, 65, 300–313. [Google Scholar] [CrossRef]
- Nisar, Z.; Hayat, T.; Alsaedi, A.; Momani, S. Peristaltic flow of chemically reactive Carreau-Yasuda nanofluid with modified Darcy’s expression. Mater. Today Commun. 2022, 33, 104532. [Google Scholar] [CrossRef]
- Vaidya, H.; Prasad, K.V.; Khan, M.I.; Oudina, F.M.; Tlili, I.; Rajashekhar, C.; Elattar, S.; Khan, M.I.; Al-Gamdi, S.G. Combined effects of chemical reaction and variable thermal conductivity on MHD peristaltic flow of Phan-Thien-Tanner liquid through inclined channel. Case Stud. Therm. Eng. 2022, 36, 102214. [Google Scholar] [CrossRef]
- Hayat, T.; Nisar, Z.; Alsaedi, A. Bioconvection and Hall current analysis for peristalsis of nanofluid. Int. Commun. Heat Mass Transf. 2021, 129, 105693. [Google Scholar] [CrossRef]
- Hussein, S.A.; Ahmed, S.E.; Arafa, A.A.M. Electrokinetic peristaltic bioconvective Jeffrey nanofluid flow with activation energy for binary chemical reaction, radiation and variable fluid properties. Z. Angew. Math. Mech. 2023, 103, e202200284. [Google Scholar] [CrossRef]
- Abbasi, A.; Khan, S.U.; Farooq, W.; Mughal, F.M.; Khan, M.I.; Prasannakumara, B.C.; El-Wakad, M.T.; Guedri, K.; Galal, A.M. Peristaltic flow of chemically reactive Ellis fluid through an asymmetric channel: Heat and mass transfer analysis. Ain Shams Eng. J. 2023, 14, 101832. [Google Scholar] [CrossRef]
- Saba, S.; Abbasi, F.M.; Shehzad, S.A. Magnetized peristaltic transportation of Boron-Nitride and Ethylene-Glycol nanofluid through a curved channel. Chem. Phys. Lett. 2022, 803, 139860. [Google Scholar] [CrossRef]























| Parameters | Concentration | |||||
|---|---|---|---|---|---|---|
| 0.1 | 0.7 | 0.5 | 1 | 0.1 | 0.5 | 0.2484573 |
| 0.3 | 0.7 | 0.5 | 1 | 0.1 | 0.5 | 0.1952146 |
| 0.1 | 1 | 0.5 | 1 | 0.1 | 0.5 | 0.2464970 |
| 0.1 | 1.5 | 0.5 | 1 | 0.1 | 0.5 | 0.2430272 |
| 0.1 | 0.7 | 0.9 | 1 | 0.1 | 0.5 | 0.2365245 |
| 0.1 | 0.7 | 1.5 | 1 | 0.1 | 0.5 | 0.2226838 |
| 0.1 | 0.7 | 0.5 | 2 | 0.1 | 0.5 | 0.1589335 |
| 0.1 | 0.7 | 0.5 | 3 | 0.1 | 0.5 | 0.1100197 |
| 0.1 | 0.7 | 0.5 | 1 | 0.2 | 0.5 | 0.2265843 |
| 0.1 | 0.7 | 0.5 | 1 | 0.3 | 0.5 | 0.2076794 |
| 0.1 | 0.7 | 0.5 | 1 | 0.1 | 0.7 | 0.2152228 |
| 0.1 | 0.7 | 0.5 | 1 | 0.1 | 1 | 0.2209559 |
Disclaimer/Publisher’s Note: The statements, opinions and data contained in all publications are solely those of the individual author(s) and contributor(s) and not of MDPI and/or the editor(s). MDPI and/or the editor(s) disclaim responsibility for any injury to people or property resulting from any ideas, methods, instructions or products referred to in the content. |
© 2023 by the authors. Licensee MDPI, Basel, Switzerland. This article is an open access article distributed under the terms and conditions of the Creative Commons Attribution (CC BY) license (https://creativecommons.org/licenses/by/4.0/).
Share and Cite
Yasmin, H.; Nisar, Z. Mathematical Analysis of Mixed Convective Peristaltic Flow for Chemically Reactive Casson Nanofluid. Mathematics 2023, 11, 2673. https://doi.org/10.3390/math11122673
Yasmin H, Nisar Z. Mathematical Analysis of Mixed Convective Peristaltic Flow for Chemically Reactive Casson Nanofluid. Mathematics. 2023; 11(12):2673. https://doi.org/10.3390/math11122673
Chicago/Turabian StyleYasmin, Humaira, and Zahid Nisar. 2023. "Mathematical Analysis of Mixed Convective Peristaltic Flow for Chemically Reactive Casson Nanofluid" Mathematics 11, no. 12: 2673. https://doi.org/10.3390/math11122673
APA StyleYasmin, H., & Nisar, Z. (2023). Mathematical Analysis of Mixed Convective Peristaltic Flow for Chemically Reactive Casson Nanofluid. Mathematics, 11(12), 2673. https://doi.org/10.3390/math11122673

