Study of Steam-Induced Convection in a Rotating Vertical Flow Channel
Abstract
1. Introduction
2. Equipment and Instrumentation
2.1. Experimental Setup
2.2. PIV Technique
3. Empirical Correlations and Physical Analysis
3.1. Vertical Upward Injection of Steam into a Pool of Subcooled Water
3.1.1. Overall Jet/Plume Layout
3.1.2. Overall Jet/Plume Layout
3.1.3. Steam Condensation
4. Results and Discussion
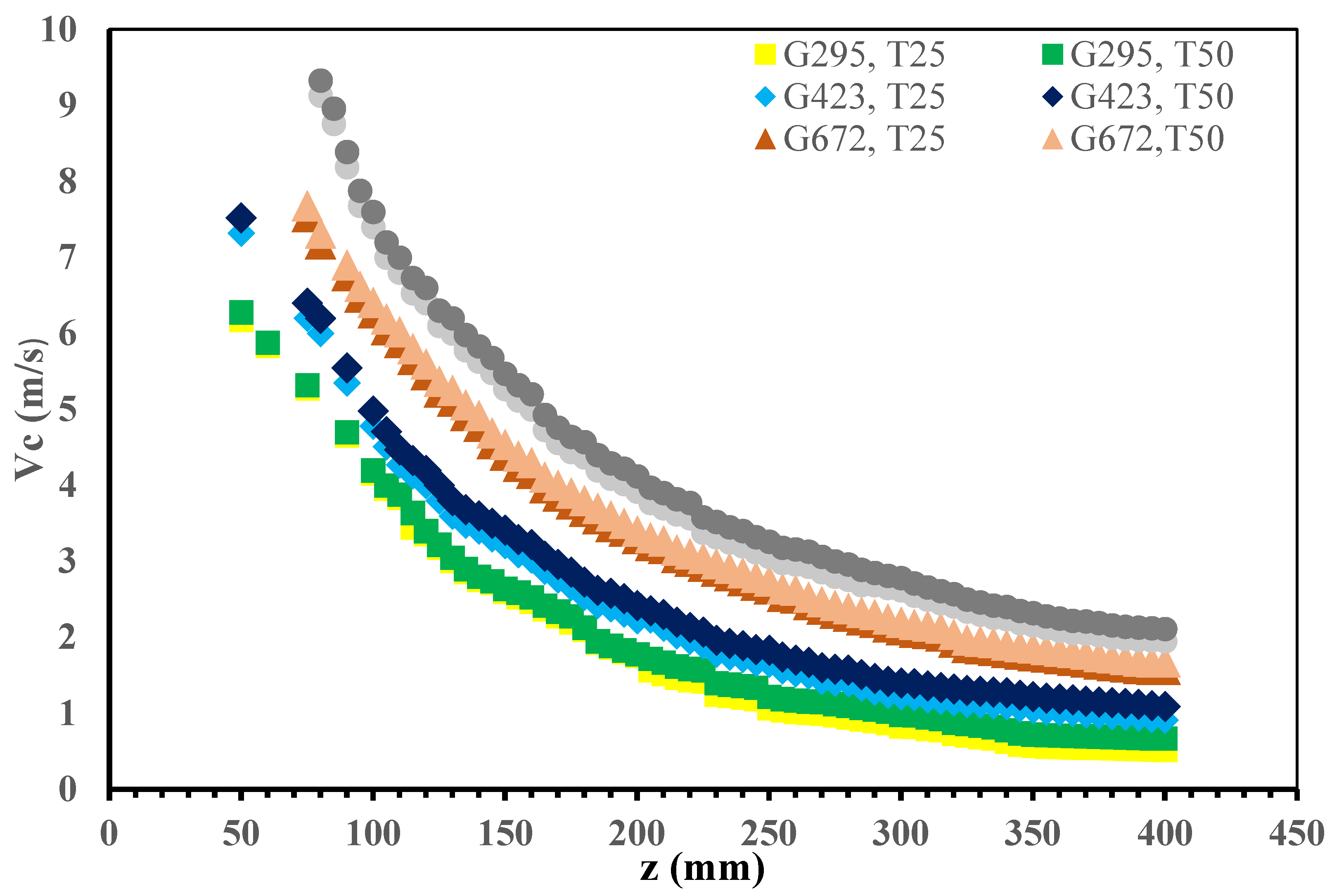
4.1. Steam Jet Length to Diameter Ratio (Lj/de)
Maximum Swelling of the Steam Jet
4.2. Single Phase Thermal Plume
4.2.1. Mean Axial Velocity
4.2.2. Mean velocity Profiles along the Vertical Height
4.2.3. Self-Similarity
4.3. Vertical Steam Submerged Injection in Pool of Water
Radial Growth of a Liquid Thermal Jet
5. Conclusions
- The condensation of the steam jet submerged in the subcooled water supports the measurements, which show that with increase in steam mass flux and water temperatures ranging from 295–883 kg/m2s and 25–50 °C, respectively, the normalized the steam jet length, as well as the maximum swelling ratio, which were in the range 1.7–6.2 and 1.075–1.49, respectively. The normalized steam jet length compared to the steam mass flux of 672 kg/m2s and 50 °C was found to be in agreement with the correlation suggested by Kerney et al. (1972) [28].
- The PIV measurements of the axial mean velocity at a steam mass flux of 295 kg/m2s and 672 kg/m2s were obtained at different downstream locations of the single-phase turbulent plume, which exhibits consolidated self-similar features of the plume in an axisymmetric shape, including the constants used to determine the plume’s shape.
- The mean axial velocity profiles of the thermal water plume support self-similarity, with the spreading of the velocity profiles being similar to the non-condensed single-phase jets occurring at the similar Reynolds numbers.
Author Contributions
Funding
Data Availability Statement
Conflicts of Interest
References
- Sideman, S. Direct Contact Heat Transfer between Immiscible Liquids. In Advances in Chemical Engineering; Elsevier: Amsterdam, The Netherlands, 1966; Volume 6, pp. 207–286. ISBN 0065-2377. [Google Scholar]
- Van Wissen, R.J.; Schreel, K.R.; Van Der Geld, C.W. Particle Image Velocimetry Measurements of a Steam-Driven Confined Turbulent Water Jet. J. Fluid Mech. 2005, 530, 353–368. [Google Scholar] [CrossRef]
- Norman, T.L.; Revankar, S.T. Jet-Plume Condensation of Steam–Air Mixtures in Subcooled Water, Part 1: Experiments. Nucl. Eng. Des. 2010, 240, 524–532. [Google Scholar] [CrossRef]
- Meng, Z.; Zhang, W.; Liu, J.; Yan, R.; Shen, G. Experimental Study on the Condensation of Sonic Steam in the Underwater Environment. Nucl. Eng. Technol. 2019, 51, 987–995. [Google Scholar] [CrossRef]
- Jo, B.; Erkan, N.; Okamoto, K. Richardson Number Criteria for Direct-Contact-Condensation-Induced Thermal Stratification Using Visualization. Prog. Nucl. Energy 2020, 118, 103095. [Google Scholar] [CrossRef]
- Panchapakesan, N.R.; Lumley, J.L. Turbulence Measurements in Axisymmetric Jets of Air and Helium. Part 1. Air Jet. J. Fluid Mech. 1993, 246, 197–223. [Google Scholar] [CrossRef]
- Hussein, H.J.; Capp, S.P.; George, W.K. Velocity Measurements in a High-Reynolds-Number, Momentum-Conserving, Axisymmetric, Turbulent Jet. J. Fluid Mech. 1994, 258, 31–75. [Google Scholar] [CrossRef]
- Fellouah, H.; Ball, C.G.; Pollard, A. Reynolds Number Effects within the Development Region of a Turbulent Round Free Jet. Int. J. Heat Mass Transf. 2009, 52, 3943–3954. [Google Scholar] [CrossRef]
- Mi, J.; Kalt, P.; Nathan, G.; Wong, C. PIV Measurements of a Turbulent Jet Issuing from Round Sharp-Edged Plate. Exp. Fluids 2007, 42, 625–637. [Google Scholar] [CrossRef]
- Wolf, M.; Lüthi, B.; Holzner, M.; Krug, D.; Kinzelbach, W.; Tsinober, A. Investigations on the Local Entrainment Velocity in a Turbulent Jet. Phys. Fluids 2012, 24, 105110. [Google Scholar] [CrossRef]
- Monin, A.S.; Yaglom, A.M. Statistical Fluid Mechanics, Volume II: Mechanics of Turbulence; Courier Corporation: Chelmsford, MA, USA, 2013; Volume 2, ISBN 0-486-31814-1. [Google Scholar]
- Pope, S.B. Turbulent Flows. Meas. Sci. Technol. 2001, 12, 2020–2021. [Google Scholar] [CrossRef]
- George, W.K. The Self-Preservation of Turbulent Flows and Its Relation to Initial Conditions and Coherent Structures. Adv. Turbul. 1989, 3973. [Google Scholar]
- Salizzoni, P.; Hunt, G.R.; A L I Z Z O N I 2 A N D, P.S. Dynamical Variability of Axisymmetric Buoyant Plumes Managing Air for Green Inner Cities (MAGIC) View Project Optimisation of Smoke Control in Tunnels View Project Dynamical Variability of Axisymmetric Buoyant Plumes. Artic. J. Fluid Mech. 2015. [Google Scholar] [CrossRef]
- Mistry, D.; Philip, J.; Dawson, J.R.; Marusic, I. Entrainment at Multi-Scales across the Turbulent/Non-Turbulent Interface in an Axisymmetric Jet. J. Fluid Mech. 2016, 802, 690–725. [Google Scholar] [CrossRef]
- Weimer, J.; Faeth, G.; Olson, D. Penetration of Vapor Jets Submerged in Subcooled Liquids. AIChE J. 1973, 19, 552–558. [Google Scholar] [CrossRef]
- Chen, L.D.; Faeth, G.M. Condensation of Submerged Vapor Jets in Subcooled Liquids. J. Heat Transf. 1982, 104, 774–780. [Google Scholar] [CrossRef]
- Chun, M.H.; Kim, Y.S.; Park, J.W. An Investigation of Direct Condensation of Steam Jet in Subcooled Water. Int. Commun. Heat Mass Transf. 1996, 23, 947–958. [Google Scholar] [CrossRef]
- Choo, Y.J.; Song, C.-H. PIV Measurements of Turbulent Jet and Pool Mixing Produced by a Steam Jet Discharge in a Subcooled Water Pool. Nucl. Eng. Des. 2010, 240, 2215–2224. [Google Scholar] [CrossRef]
- Wu, X.-Z.; Yan, J.-J.; Shao, S.-F.; Cao, Y.; Liu, J.-P. Experimental Study on the Condensation of Supersonic Steam Jet Submerged in Quiescent Subcooled Water: Steam Plume Shape and Heat Transfer. Int. J. Multiph. Flow 2007, 33, 1296–1307. [Google Scholar] [CrossRef]
- Xu, Q.; Guo, L.; Zou, S.; Chen, J.; Zhang, X. Experimental Study on Direct Contact Condensation of Stable Steam Jet in Water Flow in a Vertical Pipe. Int. J. Heat Mass Transf. 2013, 66, 808–817. [Google Scholar] [CrossRef]
- Khan, A.; Haq, N.U.; Chughtai, I.R.; Shah, A.; Sanaullah, K. Experimental Investigations of the Interface between Steam and Water Two Phase Flows. Int. J. Heat Mass Transf. 2014, 73, 521–532. [Google Scholar] [CrossRef]
- Sanaullah, K.; Khan, A.; Takriff, M.S.; Zen, H.; Shah, A.; Chughtai, I.R.; Jamil, T.; Fong, L.S.; Haq, N.U. Determining Potential of Subcooling to Attenuate Hydrodynamic Instabilities for Steam–Water Two Phase Flow. Int. J. Heat Mass Transf. 2015, 84, 178–197. [Google Scholar] [CrossRef]
- Khan, A.; Takriff, M.S.; Rosli, M.I.; Othman, N.T.A.; Sanaullah, K.; Rigit, A.R.H.; Shah, A.; Ullah, A.; Mushtaq, M.U. Turbulence Dissipation & Its Induced Entrainment in Subsonic Swirling Steam Injected in Cocurrent Flowing Water. Int. J. Heat Mass Transf. 2019, 145, 118716. [Google Scholar] [CrossRef]
- Norman, T.L.; Park, H.-S.; Revankar, S.T.; Ishii, M.; Kelly, J.M. Thermal Stratification and Mixing in an Open Water Pool by Submerged Mixtures of Steam and Air. In Proceedings of the Energy Conversion and Resources; ASMEDC: Chicago, IL, USA, 2006; pp. 137–151. [Google Scholar]
- Chen, X.; Tian, M.; Qu, X.; Zhang, Y. Numerical Investigation on the Interfacial Characteristics of Steam Jet Condensation in Subcooled Water Flow in a Restricted Channel. Int. J. Heat Mass Transf. 2019, 137, 908–921. [Google Scholar] [CrossRef]
- Kim, Y.S.; Youn, Y.J. Experimental Study of Turbulent Jet Induced by Steam Jet Condensation through a Hole in a Water Tank. Int. Commun. Heat Mass Transf. 2008, 35, 21–29. [Google Scholar] [CrossRef]
- Kerney, P.J.; Faeth, G.M.; Olson, D.R. Penetration Characteristics of a Submerged Steam Jet. AIChE J. 1972, 18, 548–553. [Google Scholar] [CrossRef]
- Jeje, A.; Asante, B.; Ross, B. Steam Bubbling Regimes and Direct Contact Condensation Heat Transfer in Highly Subcooled Water. Chem. Eng. Sci. 1990, 45, 639–650. [Google Scholar] [CrossRef]
- Gulawani, S.S.; Joshi, J.B.; Shah, M.S.; RamaPrasad, C.S.; Shukla, D.S. CFD Analysis of Flow Pattern and Heat Transfer in Direct Contact Steam Condensation. Chem. Eng. Sci. 2006, 61, 5204–5220. [Google Scholar] [CrossRef]
- Kim, H.Y.; Bae, Y.Y.; Song, C.H.; Park, J.K.; Choi, S.M. Experimental Study on Stable Steam Condensation in a Quenching Tank. Int. J. Energy Res. 2001, 25, 239–252. [Google Scholar] [CrossRef]
- Khan, A.; Sanaullah, K.; Takriff, M.S.; Zen, H.; Fong, L.S. Inclined Injection of Supersonic Steam into Subcooled Water: A CFD Analysis. Adv. Mater. Res. 2013, 845, 101–107. [Google Scholar] [CrossRef]
- Khan, A.; Sanaullah, K.; Takriff, M.S.; Zen, H.; Rigit, A.R.H.; Shah, A.; Chughtai, I.R.; Jamil, T. Pressure Stresses Generated Due to Supersonic Steam Jet Induced Hydrodynamic Instabilities. Chem. Eng. Sci. 2016, 146, 44–63. [Google Scholar] [CrossRef]
- Jirka, G.H.; Harleman, D.R.F. Stability and Mixing of a Vertical Plane Buoyant Jet in Confined Depth. J. Fluid Mech. 1979, 94, 275–304. [Google Scholar] [CrossRef]
- Qiu, B.; Yang, Q.; Meng, F.; Zhang, D.; Chong, D.; Liu, J.; Yan, J. Experimental Investigation on the Interface Shape of Bubble Condensation for Vertical Upward Steam Jet at Low Mass Flux. Int. J. Heat Mass Transf. 2020, 157, 119909. [Google Scholar] [CrossRef]
- Khan, A.; Sanaullah, K.; Ghazwani, H.A.S.; Ullah, A.; Rigit, A.R.H. Buoyancy Effects on the Supersonic Steam Jet Injection into Cocurrently and Countercurrently Flowing Water. Arch. Appl. Mech. 2021, 91, 3125–3149. [Google Scholar] [CrossRef]
- Kuz, V.A. Evaporation of Small Drops. J. Appl. Phys. 1991, 69, 7034–7036. [Google Scholar] [CrossRef]
- Simpson, M.E.; Chan, C.K. Hydrodynamics of a Subsonic Vapor Jet in Subcooled Liquid. J. Heat Transf. 1982, 104, 271–278. [Google Scholar] [CrossRef]
- Townsend, A. The Structure of Turbulent Shear Flow; Cambridge University Press: Cambridge, UK, 1980; ISBN 0-521-29819-9. [Google Scholar]













| Investigations | Injector Diameter (mm) | Injector Exit Orientation | Steam Mass Flux (kg/m2s) or Flowrate (g/s) | Water Subcooling (°C) | Flow Regimes |
|---|---|---|---|---|---|
| [29] | 0.4–9.5 | Horizontal injection | 332–2050 | 28–79 | Vapor cavity |
| [3] | 4.45–10.85 | Horizontal, vertical, L = 0.12 m | 330–550 kg/m2s | 17-82 | SC-IOC *, CO-BCO * |
| [4] | 5 | Vertical upward | <1.6 g/s, 1.6–6.1 g/s | 16.5 | Discreet bubbling transition to unstable axisymmetric jet |
| [5] | 1.6 | Vertical upward | 15–22 cm/s bubble rise velocity | 15–100 | Bubbling, bubble oscillation, bubble collapse at pressures > 10.3 bars |
| [6] | 3.0 | Vertical upward, z0 = 0 | Steam inlet pressure: 0.3 MPa (T = 135 °C) | 25–60 | Turbulent steam jet, followed by thermally stratified plume |
| [7] | 2.2 and 3.0 | Horizontal | 298–723 | 20–70 | Supersonic jet |
| [8] | 50.8 | Horizontal | 17.8 *, 20 and 50 g/s * 0.5% air mass fraction | 60–66 | Bubbling turbulent jet |
| [9] | 2.5 | Vertical upward and vertical downward | 300.28–650.77 | 30–60 | Turbulent jet (vertical up) and pool mixing (vertical down) |
| [10] | 8 | Vertical upward | 150–500 (water rate 0.14–6.65 kg/s) | 20–70 | Hemispherical, conical, ellipsoidal, cylindrical, divergent steam plume |
| [11] | 6 and 8 | Vertical upward | 8.34–50.13 | 40–85 | Bubble regime |
| Parameters | Operating Range |
|---|---|
| Steam inlet absolute pressure ps (bars) | 3.0–8.5 |
| Steam mass flux at nozzle exit Ge (kg/m2s) | 295–883 |
| Ambient pressure at submerged nozzle exit pa (bars) | 1.07–1.073 |
| Water temperature Tf °C (K) | 25–50 (298–323) |
| Submerged height of nozzle exits hsub (m) | 0.61 |
| Vessel inner diameter (m) | 0.12 |
| Nozzle exit diameter de (m) | 0.006 |
| Investigation | Ge (kg/m2s) | Subcooled Water Temperature (K) | Max Swelling Ratio (Djmax/de) |
|---|---|---|---|
| Chun et al. (1996) [18] | 200–1500 | 293–343 | 1.0–2.3 |
| Kim et al. (2005) [27] | 250–1188 | 293–343 | 1.05–2.3 |
| Wu et al. (2007) [20] | 298–723 | 293–343 | 1.08–1.95 |
| Our Values | 295–883 | 298–323 | 1.075–1.49 |
| Exp. Case | C (m2/s) | z0 (m) | S |
|---|---|---|---|
| G295T25 | 0.653–0.672 | −0.042 to −0.0453 | 0.0887 |
| G295T50 | 0.691–0.707 | −0.037 to −0.042 | 0.0893 |
| G423T25 | 0.863–0.893 | −0.0343 to −0.0392 | 0.0907 |
| G423T50 | 0.897–0.924 | −0.0303 to −0.0327 | 0.0917 |
| G672T25 | 1.223–1.38 | −0.0281 to −0.0305 | 0.0936 |
| G672T50 | 1.254–1.423 | −0.023 to −0.024 | 0.0957 |
| G883T25 | 1.412–1.632 | −0.0235 to −0.0253 | 0.0953 |
| G883T50 | 1.453–1.493 | −0.0197 to −0.0213 | 0.0973 |
Disclaimer/Publisher’s Note: The statements, opinions and data contained in all publications are solely those of the individual author(s) and contributor(s) and not of MDPI and/or the editor(s). MDPI and/or the editor(s) disclaim responsibility for any injury to people or property resulting from any ideas, methods, instructions or products referred to in the content. |
© 2022 by the authors. Licensee MDPI, Basel, Switzerland. This article is an open access article distributed under the terms and conditions of the Creative Commons Attribution (CC BY) license (https://creativecommons.org/licenses/by/4.0/).
Share and Cite
Zwawi, M.; Khan, A.; Bahadar, A.; Algarni, M. Study of Steam-Induced Convection in a Rotating Vertical Flow Channel. Mathematics 2023, 11, 79. https://doi.org/10.3390/math11010079
Zwawi M, Khan A, Bahadar A, Algarni M. Study of Steam-Induced Convection in a Rotating Vertical Flow Channel. Mathematics. 2023; 11(1):79. https://doi.org/10.3390/math11010079
Chicago/Turabian StyleZwawi, Mohammed, Afrasyab Khan, Ali Bahadar, and Mohammed Algarni. 2023. "Study of Steam-Induced Convection in a Rotating Vertical Flow Channel" Mathematics 11, no. 1: 79. https://doi.org/10.3390/math11010079
APA StyleZwawi, M., Khan, A., Bahadar, A., & Algarni, M. (2023). Study of Steam-Induced Convection in a Rotating Vertical Flow Channel. Mathematics, 11(1), 79. https://doi.org/10.3390/math11010079

